Sign in to use this feature.

Years

Between: -

Subjects

remove_circle_outline
remove_circle_outline
remove_circle_outline
remove_circle_outline
remove_circle_outline

Journals

Article Types

Countries / Regions

Search Results (25)

Search Parameters:
Keywords = grade A marine steel

Order results
Result details
Results per page
Select all
Export citation of selected articles as:
14 pages, 8101 KB  
Article
Field Exposure of Duplex Stainless Steel in the Marine Environment: The Impact of the Exposure Zone
by Saman Hosseinpour, Sukanya Hägg Mameng, Marie Almen and Mia Liimatainen
Corros. Mater. Degrad. 2025, 6(4), 63; https://doi.org/10.3390/cmd6040063 - 28 Nov 2025
Viewed by 595
Abstract
Owing to its corrosion resistance, stainless steel is a sustainable alternative to carbon steel as a structural material in challenging seawater environments. Studies on carbon steel indicate that among all marine corrosion zones (i.e., atmospheric zone, splash zone, tidal zone, and immersed zone), [...] Read more.
Owing to its corrosion resistance, stainless steel is a sustainable alternative to carbon steel as a structural material in challenging seawater environments. Studies on carbon steel indicate that among all marine corrosion zones (i.e., atmospheric zone, splash zone, tidal zone, and immersed zone), the rate of corrosion is particularly high in the splash zone, above the seawater level, due to the recurrent splashing of seawater with high levels of oxygen and chloride content. Nevertheless, the information on the extent of localized corrosion (i.e., pitting and crevice corrosion) on stainless steel in the splash and tidal zones is scarce and, in most cases, limited to standard austenitic grades. In this work, we present the pitting and crevice corrosion results on lean duplex, duplex, and super duplex stainless steels after two years of field exposure in the North Sea (site at Heligoland South Harbour). The standard austenitic grade 1.4404 (316L) was also exposed as a reference material in atmosphere and splash zone conditions. Parallel exposure of coupons in splash, tidal, and immersed zones allows comparison of the extent of corrosion in each zone and enables proper material selection for structural applications in marine environments. Full article
Show Figures

Figure 1

24 pages, 4712 KB  
Article
Bond Properties of Steel Bar in Polyoxymethylene-Fiber-Reinforced Coral Aggregate Concrete
by Zhuolin Xie, Lin Chen, Lepeng Huang, Junlong Jin, Jianmin Hua, Pow-Seng Yap and Yi Zhang
Polymers 2025, 17(21), 2954; https://doi.org/10.3390/polym17212954 - 6 Nov 2025
Viewed by 846
Abstract
The rapid expansion of island and reef infrastructure has intensified the demand for sustainable concrete materials, yet the scarcity of conventional aggregates and freshwater severely constrains their supply. More critically, the fundamental bonding mechanism between steel reinforcement and coral aggregate concrete (CAC) remains [...] Read more.
The rapid expansion of island and reef infrastructure has intensified the demand for sustainable concrete materials, yet the scarcity of conventional aggregates and freshwater severely constrains their supply. More critically, the fundamental bonding mechanism between steel reinforcement and coral aggregate concrete (CAC) remains poorly understood due to the highly porous, ion-rich nature of coral aggregates and the complex interfacial reactions at the steel–cement–coral interface. Moreover, the synergistic effect of polyoxymethylene (POM) fibers in modifying this interfacial behavior has not yet been systematically quantified. To fill this research gap, this study develops a C40-grade POM-fiber-reinforced CAC and investigates the composition–property relationship governing its bond performance with steel bars. A comprehensive series of pull-out tests was conducted to examine the effects of POM fiber dosage (0, 0.2%, 0.4%, 0.6%, 0.8%, and 1.0%), protective layer thickness (32, 48, and 67 mm), bar type, and anchorage length (2 d, 3 d, 5 d, and 6 d) on the interfacial bond behavior. Results reveal that a 0.6% POM fiber addition optimally enhanced the peak bond stress and restrained radial cracking, indicating a strong fiber-bridging contribution at the micro-interface. A constitutive bond–slip model incorporating the effects of fiber content and c/d ratio was established and experimentally validated. The findings elucidate the multiscale coupling mechanism among coral aggregate, POM fiber, and steel reinforcement, providing theoretical and practical guidance for the design of durable, low-carbon marine concrete structures. Full article
(This article belongs to the Special Issue Polymers in Civil Engineering)
Show Figures

Figure 1

17 pages, 5319 KB  
Article
Environmental Factors Influencing Stress Corrosion Cracking Behavior of Austenitic Stainless Steels in Simulated Seawater
by Chun-Ping Yeh, Kun-Chao Tsai and Jiunn-Yuan Huang
Materials 2025, 18(18), 4317; https://doi.org/10.3390/ma18184317 - 15 Sep 2025
Viewed by 1147
Abstract
Grade 304L stainless steel canisters are susceptible to crevice corrosion in marine environments. In the present study, white emery was utilized to create a simulation of dust accumulation. The corrosion testing was conducted at two distinct temperatures (35 °C and 45 °C) and [...] Read more.
Grade 304L stainless steel canisters are susceptible to crevice corrosion in marine environments. In the present study, white emery was utilized to create a simulation of dust accumulation. The corrosion testing was conducted at two distinct temperatures (35 °C and 45 °C) and three levels of relative humidity (45%, 55%, and 70% relative humidity). The chloride deposition density levels tested were 0.1 g/m2 and 1 g/m2. The test durations were 8000 h and 23,000 h. It is evident that with a chloride deposition density of 0.1 g/m2 at a temperature of 45 °C and a relative humidity of 70%, the onset of stress corrosion cracking (SCC) occurred after 8000 h in the white emery deposition tests. In contrast, at a 1 g/m2 chloride deposition density, the polytetrafluoroethylene (PTFE) crevice former test specimen exhibited continuous transgranular SCC within the same period. These quantitative findings emphasize the critical roles of salt load and environmental severity in the initiation of SCC. Full article
Show Figures

Figure 1

13 pages, 3560 KB  
Article
Experimental Study on the Parameter Optimization of an Ultra-High-Pressure Water Jet for Grade-A Marine Steel Based on Surface Roughness
by Wuyang Shan, Yupeng Cao, Weidong Shi, Zhengang Wang, Qingbo Zhang, Yongfei Yang and Rui Zhou
Metals 2025, 15(7), 796; https://doi.org/10.3390/met15070796 - 15 Jul 2025
Cited by 1 | Viewed by 704
Abstract
The selection of process parameters for an ultra-high-pressure water jet directly affects the adhesion ability of the subsequent coating on the ship’s surface. This study investigates the effect of jet pressure, standoff distance, and nozzle traverse speed on the surface roughness of grade-A [...] Read more.
The selection of process parameters for an ultra-high-pressure water jet directly affects the adhesion ability of the subsequent coating on the ship’s surface. This study investigates the effect of jet pressure, standoff distance, and nozzle traverse speed on the surface roughness of grade-A marine steel, aiming to optimize the process parameters and improve the quality of surface treatment. Based on single-factor experiments and orthogonal experiments, a three-factor, three-level experimental design was employed, considering jet pressure, standoff distance, and nozzle traverse speed. Scanning electron microscopy (SEM) and a confocal microscope were used to analyze the surface morphology and roughness of grade-A marine steel. The experimental results proved that surface roughness exhibited a nonlinear relationship with jet pressure, initially increasing and then decreasing as pressure rose. Conversely, surface roughness showed negative correlations with both standoff distance and nozzle traverse speed, progressively decreasing with increases in these parameters. Through hierarchical analysis, the effect hierarchy of the three factors on surface roughness was determined as follows: jet pressure > standoff distance > nozzle traverse speed. Parametric optimization revealed that a jet pressure of 150 MPa, a standoff distance of 25 mm, and a nozzle traverse speed of 180 mm/min collectively yielded a peak surface roughness of 62.549 μm. This value aligns with the pre-coating surface preparation standards for grade-A marine steel substrates, ensuring optimal adhesion for subsequent anti-corrosion treatments. Full article
(This article belongs to the Special Issue Fabricating Advanced Metallic Materials)
Show Figures

Figure 1

28 pages, 5425 KB  
Article
Atmospheric Corrosion of Different Steel Types in Urban and Marine Exposure
by Luca Paterlini, Andrea Brenna, Federica Ceriani, Matteo Gamba, Marco Ormellese and Fabio Bolzoni
Materials 2024, 17(24), 6211; https://doi.org/10.3390/ma17246211 - 19 Dec 2024
Cited by 5 | Viewed by 4747
Abstract
The aim of the present work is to study the atmospheric corrosion behavior of metals exposed to both urban (Milan, IT-Lombardia) and marine (Bonassola, IT-Liguria) atmospheres in Italy. A number of coupons (100 × 150 mm) of carbon steel (CS), hot-dip galvanized steel [...] Read more.
The aim of the present work is to study the atmospheric corrosion behavior of metals exposed to both urban (Milan, IT-Lombardia) and marine (Bonassola, IT-Liguria) atmospheres in Italy. A number of coupons (100 × 150 mm) of carbon steel (CS), hot-dip galvanized steel (GS) and different grades of stainless steel (SS) were exposed. At fixed periods of time, samples were characterized by means of Linear Polarization Resistance (LPR), mass loss tests and corrosion product analysis. The corrosion rate on carbon steel exposed to an urban atmosphere, obtained by means of mass loss tests and LPR, are in good agreement with the value estimated by the dose–response function according to the ISO 9223 standard. The yielded results can be classified in corrosivity class C2 of the same ISO 9223. Similar measurements on galvanized steel exhibited a coherent average corrosion rate. Higher corrosion rates were measured for samples exposed to a marine atmosphere for both materials, with values belonging to exposure classes C4-C5 for both materials. Stainless steel samples exhibited only superficial staining in the case of marine exposure, even after just a few months. Full article
Show Figures

Figure 1

14 pages, 2977 KB  
Article
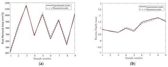
Experimental Study on the Optimization of Rust Removal Effect on Surface Erosion of Grade A Marine Steel by Ultra-High-Pressure Water Jet
by Qingbo Zhang, Yupeng Cao, Weidong Shi, Rui Zhou, Shuming Cheng and Zhengang Wang
Metals 2024, 14(12), 1335; https://doi.org/10.3390/met14121335 - 25 Nov 2024
Cited by 1 | Viewed by 1825
Abstract
To improve the rust removal effect of grade A marine steel by ultra-high-pressure water jets, the rust removal efficiency and rust removal quality are used as measurement standards. Taking jet pressure, standoff distance, and nozzle traverse speed as influencing factors, an orthogonal experimental [...] Read more.
To improve the rust removal effect of grade A marine steel by ultra-high-pressure water jets, the rust removal efficiency and rust removal quality are used as measurement standards. Taking jet pressure, standoff distance, and nozzle traverse speed as influencing factors, an orthogonal experimental table was established, and different combinations of process parameters were used to impact the surface of grade A marine steel. The rust removal efficiency is expressed by the rust removal area per unit time. The larger the rust removal area, the higher the rust removal efficiency. The rust removal quality is expressed by the erosion depth. The smaller the erosion depth, the higher the rust removal quality. Using the range analysis method to process the orthogonal experimental data, we determined the optimal process parameters for the rust removal efficiency and rust removal quality. The microscopic morphology of marine grade A steel after rust removal was observed using a confocal microscope to determine the sample with the best rust removal effect. The results indicate that the optimal process parameters for rust removal efficiency are jet pressure of 200 MPa, standoff distance of 90 mm, and nozzle traverse speed of 240 mm/min. The optimal process parameters for rust removal quality are jet pressure of 160 MPa, standoff distance of 60 mm, and nozzle traverse speed of 240 mm/min. The optimal process parameters for rust removal effect are jet pressure of 160 MPa, standoff distance of 90 mm, and nozzle traverse speed of 240 mm/min. By analyzing the microscopic morphology of the samples, the process parameters of the sample with the best rust removal effect were determined to be consistent with the optimal process parameters obtained by range analysis, verifying the accuracy of the optimal process parameters. Compared with the existing jet machining technology, the optimal process parameters obtained in this paper take into account both the rust removal quality and rust removal efficiency, and they improve the rust removal effect. Full article
(This article belongs to the Section Computation and Simulation on Metals)
Show Figures

Figure 1

15 pages, 6813 KB  
Article
Study of the Microstructure and Mechanical Properties of Steel Grades for Ship Hull Construction
by Siavash Imanian Ghazanlou, Ahmad Mobasher Amini, Félix-Antoine Carrier, Dilip K. Sarkar, Kashif Rehman and Mousa Javidani
Materials 2024, 17(23), 5687; https://doi.org/10.3390/ma17235687 - 21 Nov 2024
Cited by 4 | Viewed by 3032
Abstract
This paper comprehensively examines three structural steel grades’ microstructural features and mechanical properties, evaluating their suitability for shipbuilding applications. The steels analyzed include quench and tempered (Q and T) steel, thermomechanical controlled processed (TMCP) steel, and hot rolled (HR) steel. A microstructural characterization [...] Read more.
This paper comprehensively examines three structural steel grades’ microstructural features and mechanical properties, evaluating their suitability for shipbuilding applications. The steels analyzed include quench and tempered (Q and T) steel, thermomechanical controlled processed (TMCP) steel, and hot rolled (HR) steel. A microstructural characterization was performed using optical microscopy (OM), scanning electron microscopy (SEM), and electron backscatter diffraction (EBSD). The analysis was complemented by extensive mechanical testing including assessments of hardness, tensile, and Charpy impact tests across a range of temperatures. Additionally, corrosion behavior was evaluated using the potentiodynamic polarization test. The findings revealed that Q and T grade steel exhibited the most refined microstructure, characterized by a complex mixture of ferrite, tempered martensite, upper bainite, and Fe3C phases. In contrast, the TMCP grade steel demonstrated a balanced microstructure of polygonal ferrite and pearlite. Meanwhile, the HR grade steel contained polygonal ferrite and aligned pearlite. The tensile testing results demonstrated that the Q and T grade steel had superior hardness, yield strength (YS), and ultimate tensile strength (UTS), although it exhibited the lowest elongation % (El %). The TMCP grade steel met all ABS standards for marine steels, displaying optimal YS, UTS, and El %. Despite the superior YS of the HR grade steel, it did not meet the necessary criteria for UTS. Charpy impact tests revealed that the TMCP grade steel exhibited the highest impact energy absorption across a range of temperatures. As a result, the TMCP grade steel emerged as the optimal choice for ship construction, fulfilling all ABS requirements with a balanced combination of strength, ductility, and impact energy absorption. Additionally, the potentiodynamic polarization results revealed that the Q and T grade steel demonstrated the highest corrosion resistance. Following Q and T steel, the HR grade steel ranked second in corrosion resistance, with TMCP steel closely behind, showing only a slight difference. Full article
Show Figures

Graphical abstract

26 pages, 7826 KB  
Article
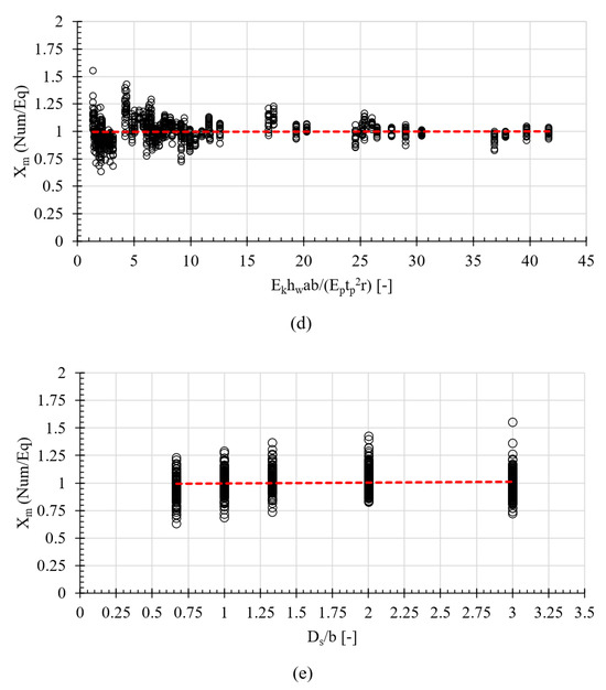
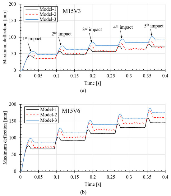
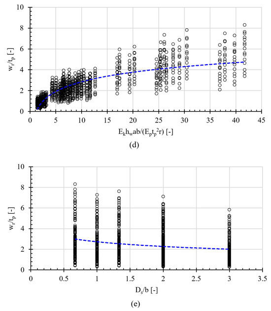
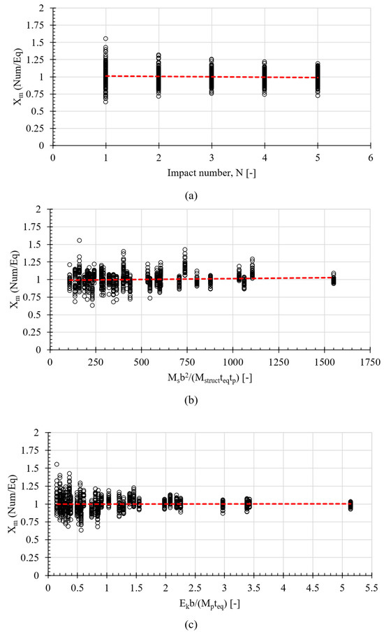
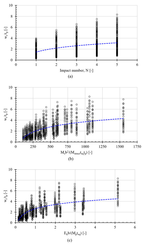
Practical Formula for Predicting the Residual Deflection Evolution of Steel Plates Subjected to Repeated Impacts
by Van-Vu Huynh, Sang-Rai Cho, Xuan-Phuong Dang and Dac Dung Truong
J. Mar. Sci. Eng. 2024, 12(6), 956; https://doi.org/10.3390/jmse12060956 - 6 Jun 2024
Cited by 3 | Viewed by 2138
Abstract
Offshore structures and ships can be progressively damaged due to repeated mass impacts induced by contacts with ships, ice floes, and dropped and/or floating other objects while in service. This paper aims to predict the residual deflection evolution of the marine structures under [...] Read more.
Offshore structures and ships can be progressively damaged due to repeated mass impacts induced by contacts with ships, ice floes, and dropped and/or floating other objects while in service. This paper aims to predict the residual deflection evolution of the marine structures under such impact repetitions. The side hull structures of the general ice-class vessels were selected for this study. The numerical simulations were performed to predict the deflection response of repeatedly impacted stiffened plates by using the software package Abaqus 6.13. For the simulations, the strain hardening of the relevant ice-class steel grade was adopted using the proposed constitutive equations, and the strain-rate hardening effects were taken into account by employing the existing formulations. The developed numerical model was substantiated against tests available in the open literature. Based on the validated model, a parametric study on various stiffened plates was performed. The evolution of the residual deflection of the repeatedly impacted plates with actual scantlings and various impact scenarios was investigated. A practical formula for the prediction of the residual deflection evolution of the plates under repeated mass impacts was proposed based on the regression analysis of the parametric study results. The reliability and accuracy of the proposed formula were confirmed through comparisons with numerical simulations and existing analytical formulations. It is expected that the proposed formula can be efficiently employed as a quick-hand tool for the reliable prediction of the residual deflection evolution incurred by repeated mass impacts. Full article
(This article belongs to the Section Ocean Engineering)
Show Figures

Figure 1

17 pages, 7752 KB  
Article
Experimental Study on Low-Cycle Fatigue Characteristics of Marine Structural Steel
by Dong Qin, Lu Xiayang and Xu Geng
J. Mar. Sci. Eng. 2024, 12(4), 651; https://doi.org/10.3390/jmse12040651 - 14 Apr 2024
Cited by 4 | Viewed by 2650
Abstract
This research focuses on the experimental investigation of the low-cycle fatigue characteristics of marine structural steel. The study aimed to explore the behavior of marine-grade steel under low-cycle fatigue conditions. The experimental parameters include the fatigue life of the material, crack propagation behavior, [...] Read more.
This research focuses on the experimental investigation of the low-cycle fatigue characteristics of marine structural steel. The study aimed to explore the behavior of marine-grade steel under low-cycle fatigue conditions. The experimental parameters include the fatigue life of the material, crack propagation behavior, and a comprehensive analysis of mechanical properties associated with various loading conditions. Based on the experimental results, a low-cycle fatigue crack propagation rate model for marine structural steel plates was established using CTOD as a characterization parameter. The primary objective of this research is likely to enhance the durability and safety of maritime structures, providing valuable technical insights for the field of naval engineering. Full article
(This article belongs to the Special Issue Safety and Reliability of Ship and Ocean Engineering Structures)
Show Figures

Figure 1

12 pages, 7024 KB  
Article
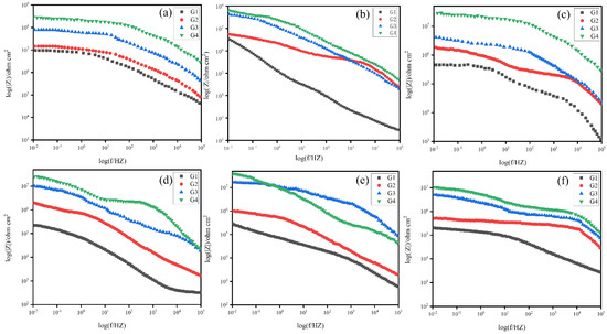
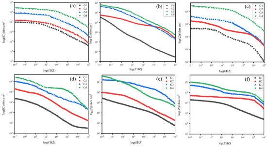
Effects of Passivation with Cu and W on the Corrosion Properties of Super Duplex Stainless Steel PRE 42
by Dohyung Kim, Seongjun Kim, Jinyong Park, Doo-In Kim, Byung-Hyun Shin and Jang-Hee Yoon
Metals 2024, 14(3), 284; https://doi.org/10.3390/met14030284 - 28 Feb 2024
Cited by 9 | Viewed by 2272
Abstract
Carbon steel is subjected to several pretreatments to enable its use in highly corrosive environments, such as marine structures. However, its surface treatment is problematic owing to various processes, and these problems can be solved by replacing it with super duplex stainless steel [...] Read more.
Carbon steel is subjected to several pretreatments to enable its use in highly corrosive environments, such as marine structures. However, its surface treatment is problematic owing to various processes, and these problems can be solved by replacing it with super duplex stainless steel (SDSS), which exhibits remarkable strength and corrosion resistance owing to its austenite and ferrite phases. EN 1.4410 and EN 1.4501 are the most extensively used SDSS grades in marine structures, as they exhibit exceptional strength and corrosion resistance in seawater. This study subjected EN 1.4410 and EN 1.4501 samples to specific heat treatment after casting and observed their structural alterations through field emission scanning electron microscopy. Their passivation states, with or without the Cu and W layers, were determined by examining their corrosion properties through open-circuit potential measurements, electrostatic polarisation tests, electrochemical impedance spectroscopy (EIS), and critical pitting temperature (CPT) analysis. The inclusion of Cu significantly improved the uniform corrosion resistance within the passivation layers, whereas the addition of W enhanced the pitting resistance (Epit, CPT). Additionally, the EIS analysis confirmed a double-layer structure in the passivation layer of EN 1.4501. Moreover, Cu did not act as a strengthening element of the passivation layer, whereas W significantly reinforced it. Full article
Show Figures

Figure 1

13 pages, 6614 KB  
Article
Characterization and Electrochemical Analysis of Acidic Condensate-Induced Corrosion on Aluminized Coating on Steel in Residential Heaters
by Dino Sulejmanovic, Jiheon Jun, Zhiming Gao and Yi-Feng Su
Coatings 2023, 13(9), 1631; https://doi.org/10.3390/coatings13091631 - 17 Sep 2023
Cited by 1 | Viewed by 1547
Abstract
Condensing furnace residential heaters are starting to replace outdated and less efficient non-condensing units in homes across the US. However, the burning of natural gas in these new units produces acidic gases, which can form acid droplets (H2SO4, HNO [...] Read more.
Condensing furnace residential heaters are starting to replace outdated and less efficient non-condensing units in homes across the US. However, the burning of natural gas in these new units produces acidic gases, which can form acid droplets (H2SO4, HNO3, H2CO3, etc.) that are corrosive to low-grade heat exchanger metallic materials. Type-1 aluminized steel has been used in industrial applications, such as marine, heating, and automobile parts, due to its resistance to oxidation at elevated temperature. Many components of the condensing furnaces, including heat exchangers, are made from type-1 aluminized steel. We investigated the interaction of type-1 aluminized steel substrates with two acidic condensate liquids by 500 h corrosion exposures as well as short-term electrochemical impedance measurements. SEM plan and cross-sectional view images revealed damage to the Al-Si rich layer and exposure of the steel substrate. The non-uniform damage in the Al-Si rich layer was likely attributed to a pitting corrosion mechanism and induced by high acidity of the condensate liquid. Electrochemical impedance measurements in an acidic condensate revealed lower corrosion resistance of the aluminized steel surface with a weld line, identifying welded sections as preferential corrosion initiation sites. Full article
(This article belongs to the Topic Properties of the Corroding Interface)
Show Figures

Figure 1

19 pages, 6902 KB  
Article
Corrosion Resistance of CeO2-GO/Epoxy Nanocomposite Coating in Simulated Seawater and Concrete Pore Solutions
by Xiaoyan Liu, Zitao Wu, Yaoyao Lyu, Tianyu Li, Heng Yang, Yanqi Liu, Ruidan Liu, Xian Xie, Kai Lyu and Surendra P. Shah
Polymers 2023, 15(12), 2602; https://doi.org/10.3390/polym15122602 - 7 Jun 2023
Cited by 13 | Viewed by 3316
Abstract
Reinforced concrete structures in the marine environment face serious corrosion risks. Coating protection and adding corrosion inhibitors are the most economical and effective methods. In this study, a nano-composite anti-corrosion filler with a mass ratio of CeO2:GO = 4:1 was prepared [...] Read more.
Reinforced concrete structures in the marine environment face serious corrosion risks. Coating protection and adding corrosion inhibitors are the most economical and effective methods. In this study, a nano-composite anti-corrosion filler with a mass ratio of CeO2:GO = 4:1 was prepared by hydrothermally growing cerium oxide on the surface of graphene oxide. The filler was mixed with pure epoxy resin at a mass fraction of 0.5% to prepare a nano-composite epoxy coating. The basic properties of the prepared coating were evaluated from the aspects of surface hardness, adhesion grade, and anti-corrosion performance on Q235 low carbon steel subjected to simulated seawater and simulated concrete pore solutions. Results showed that after 90 days of service, the corrosion current density of the nanocomposite coating mixed with corrosion inhibitor was the lowest (Icorr = 1.001 × 10−9 A/cm2), and the protection efficiency was up to 99.92%. This study provides a theoretical foundation for solving the corrosion problem of Q235 low carbon steel in the marine environment. Full article
(This article belongs to the Section Polymer Membranes and Films)
Show Figures

Figure 1

20 pages, 6112 KB  
Article
Empirical Study of Surface Deterioration Analysis Based on Random Fields for Reinforced Concrete Structures in Marine Environment
by Guixiang Yi, Xinyi Ye and Quanwang Li
Materials 2023, 16(11), 4150; https://doi.org/10.3390/ma16114150 - 2 Jun 2023
Cited by 5 | Viewed by 2031
Abstract
Corrosion-induced deterioration of the in-service marine reinforced concrete (RC) structures may result in unsatisfactory serviceability or insufficient safety. Surface deterioration analysis based on random fields can provide information regarding the future development of the surface damage of the in-service RC members, but its [...] Read more.
Corrosion-induced deterioration of the in-service marine reinforced concrete (RC) structures may result in unsatisfactory serviceability or insufficient safety. Surface deterioration analysis based on random fields can provide information regarding the future development of the surface damage of the in-service RC members, but its accuracy needs to be verified in order to broaden its applications in durability assessment. This paper performs an empirical study to verify the accuracy of the surface deterioration analysis based on random fields. The batch-casting effect is considered to establish the “step-shaped” random fields for stochastic parameters in order to better coordinate their actual spatial distributions. Inspection data from a 23-year-old high-pile wharf is obtained and analyzed in this study. The simulation results of the RC panel members’ surface deterioration are compared with the in-situ inspection results with respect to the steel cross-section loss, cracking proportion, maximum crack width, and surface damage grades. It shows that the simulation results coordinate well with the inspection results. On this basis, four maintenance options are established and compared in terms of the total amounts of RC panel members needing restoration and the total economic costs. It provides a comparative tool to aid the owners in selecting the optimal maintenance action given the inspection results, to minimize the lifecycle cost and guarantee the sufficient serviceability and safety of the structures. Full article
Show Figures

Figure 1

19 pages, 5547 KB  
Article
Friction Stir Lap Welding of Inconel 625 and a High Strength Steel
by Elisangela Pelizzari Bossle, Buchibabu Vicharapu, Guilherme Vieira Braga Lemos, Cleber Rodrigo de Lima Lessa, Luciano Bergmann, Jorge Fernandez dos Santos, Thomas Gabriel Rosauro Clarke and Amitava De
Metals 2023, 13(1), 146; https://doi.org/10.3390/met13010146 - 10 Jan 2023
Cited by 4 | Viewed by 3410
Abstract
The joining of dissimilar hard metals such as high-strength steel and nickel-based alloy is required for shipbuilding and offshore applications to enhance the strength, fracture toughness, and corrosion resistance of the exposed parts. However, the joining of these dissimilar alloys has remained a [...] Read more.
The joining of dissimilar hard metals such as high-strength steel and nickel-based alloy is required for shipbuilding and offshore applications to enhance the strength, fracture toughness, and corrosion resistance of the exposed parts. However, the joining of these dissimilar alloys has remained a major challenge due to the limited solubility of Fe and Ni in each other, which commonly results in the formation of brittle intermetallic compounds. We present here a novel investigation on the joining of overlapped nickel-based alloy 625 and marine-grade GL E36 steel plates by friction stir lap welding (FSLW). The interface microstructure and its influence on joint strength are rigorously tested. The main bonding mechanism is found to be the mechanical mixing of Fe and Ni along the interface. The interface thermal cycles are computed by a three-dimensional numerical heat transfer model and their effects on the microstructure are examined. Multiple micro tensile specimens are extracted from the stir zone to examine the through-thickness variation in the stir zone properties. The welded joint is characterized further by evaluating the interface microhardness distribution, lap-shear strength, and surface residual stresses. Full article
(This article belongs to the Special Issue New Advances in Dissimilar Material Joining)
Show Figures

Figure 1

13 pages, 2876 KB  
Article
Multi-Objective Optimization of Fiber Laser Cutting of Stainless-Steel Plates Using Taguchi-Based Grey Relational Analysis
by Yusuf Alptekin Turkkan, Muhammed Aslan, Alper Tarkan, Özgür Aslan, Celalettin Yuce and Nurettin Yavuz
Metals 2023, 13(1), 132; https://doi.org/10.3390/met13010132 - 9 Jan 2023
Cited by 20 | Viewed by 4712
Abstract
Stainless-steel has become a widely preferred material type in the marine, aerospace, sanitary, industrial equipment, and construction industries due to its superior corrosion resistance, high mechanic properties, high strength, formability, and thermal and electrical conductivity. In this study, a multi-objective optimization method based [...] Read more.
Stainless-steel has become a widely preferred material type in the marine, aerospace, sanitary, industrial equipment, and construction industries due to its superior corrosion resistance, high mechanic properties, high strength, formability, and thermal and electrical conductivity. In this study, a multi-objective optimization method based on grey relational analysis was employed to optimize the fiber laser-cutting parameters of cutting speed, focal position, frequency, and duty cycle. Surface roughness and kerf width, which are the two most important parameters that determine laser-cutting quality, were simultaneously optimized. In order to assign the optimum level of each parameter individually, the Taguchi technique was applied. The cutting surface morphology was examined according to the grey relational grade with a 3D optical profilometer, and maps of the cutting surfaces were created. According to the results achieved using Analysis of Variance (ANOVA), it was seen that the parameters that affected surface roughness and kerf width the most were duty cycle, with a contribution rate of 49.01%, and frequency, with a contribution rate of 31.2%. Frequency was the most important parameter in terms of multiple responses, with a contribution rate of 18.55%. Duty cycle and focal position were the second and third most effective parameters, respectively. It was determined that the optimum parameter values for minimum surface roughness and minimum kerf width that could be obtained with the fiber laser cutting of 20 mm thick AISI 304L (DIN EN 1.4301) material were 310 mm/min cutting speed, −11 mm focal position, 105 Hz frequency, and 60% duty cycle. Full article
(This article belongs to the Special Issue Optimization and Analysis of Metal Cutting Processes)
Show Figures

Figure 1

Back to TopTop