Experimental Study on the Optimization of Rust Removal Effect on Surface Erosion of Grade A Marine Steel by Ultra-High-Pressure Water Jet
Abstract
1. Introduction
2. Materials and Methods
2.1. Materials
2.2. Experimental Equipment and Instruments
2.3. Experimental Factors
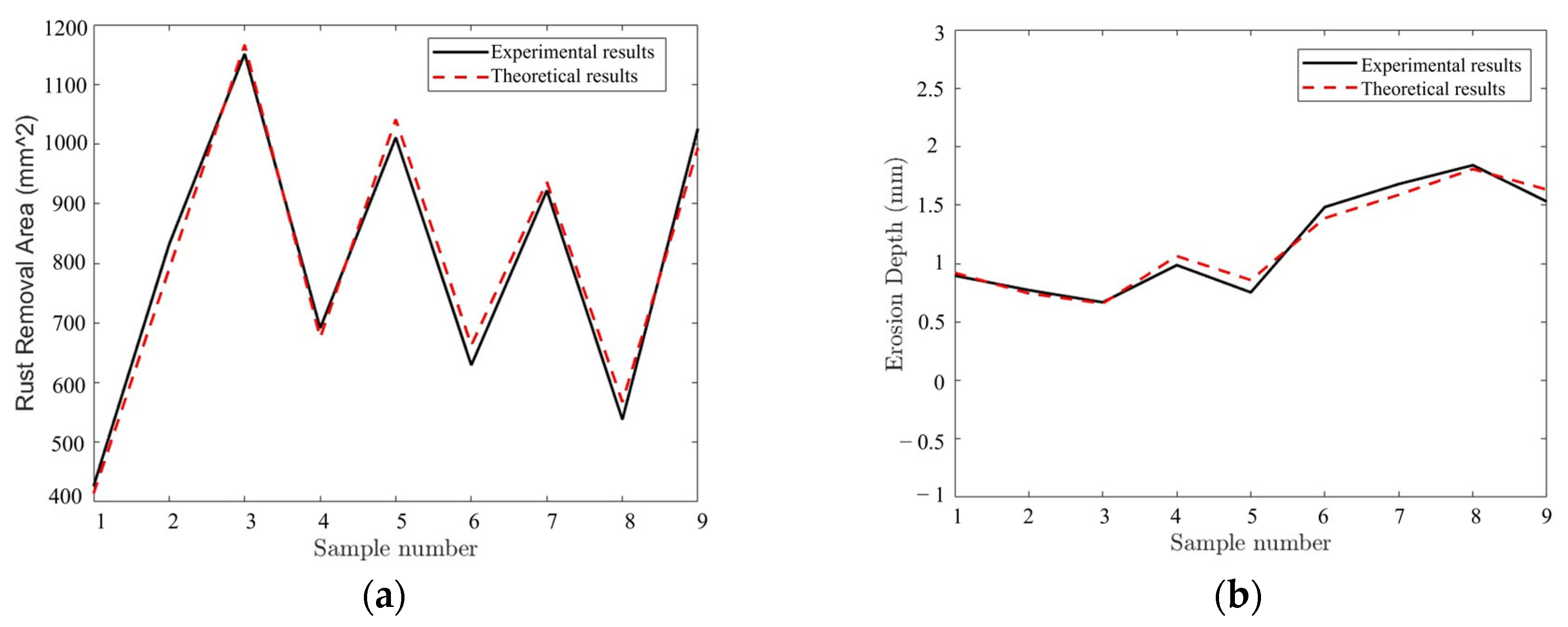
3. Results and Analysis
3.1. Orthogonal Experiment
3.2. Range Analysis
3.3. The Optimal Process Parameters
- In the range analysis of rust removal efficiency, the jet pressure factor had the least effect on rust removal efficiency, while in the range analysis of rust removal quality, the jet pressure factor had the greatest effect. To balance both efficiency and quality, the optimal jet pressure was selected to be 160 MPa.
- In the range analysis of rust removal quality, the standoff distance factor had the least impact on the rust removal quality, while in the range analysis of rust removal efficiency, the standoff distance factor had the greatest impact. Thus, the jet standoff distance with the greatest impact on efficiency was selected as 90 mm.
- In the range analysis of both rust removal efficiency and rust removal quality, the optimal nozzle traverse speed was 240 mm/min.
4. Microscopic Topography Analysis
5. Conclusions
- The range analysis of rust removal efficiency indicates that the primary and secondary relationships of the process parameters affecting rust removal efficiency are nozzle traverse speed > standoff distance > jet pressure. A comprehensive comparison of these factors shows that the best combination of rust removal efficiency is jet pressure of 200 MPa, standoff distance of 90 mm, and nozzle traverse speed of 240 mm/min.
- The range analysis of rust removal quality reveals that the primary and secondary relationships of the process parameters affecting the quality of rust removal are jet pressure > nozzle traverse speed > standoff distance. A comprehensive comparison of these factors shows that the best combination of rust removal quality is jet pressure of 160 MPa, standoff distance of 60 mm, and nozzle traverse speed of 240 mm/min.
- The jet pressure had the least effect on the rust removal efficiency but the greatest effect on rust removal quality; the standoff distance had the greatest effect on the rust removal efficiency but the least effect on rust removal quality; the nozzle traverse speed for obtaining the best rust removal efficiency and rust removal quality was the same. Therefore, the best combination of rust removal effect for grade A marine steel is jet pressure of 160 MPa, standoff distance of 90 mm, and nozzle traverse speed of 240 mm/min.
- At present, the changing law of the material surface peeling process after the jet interacts with the solid needs to be further studied. In the future, we will consider conducting research in this direction to further improve the ultra-high-pressure water jet rust removal mechanism.
Author Contributions
Funding
Institutional Review Board Statement
Informed Consent Statement
Data Availability Statement
Conflicts of Interest
References
- Wang, H.; Liao, H.; Niu, W.; Xu, J.; Liu, Y.; He, Y. Enhancing rock drilling efficiency: Evaluating the effectiveness of ultra-high-pressure water jet slotting technology in granite drilling. Geoenergy Sci. Eng. 2023, 228, 212075. [Google Scholar] [CrossRef]
- Wang, H.-J.; Liao, H.J.; Wei, J.; Liu, J.-S.; Niu, W.-L.; Liu, Y.-W.; Guan, Z.-C.; Sellami, H.; Latham, J.-P. Stress release mechanism of deep bottom hole rock by ultra-high-pressure water jet slotting. Pet. Sci. 2023, 20, 1828–1842. [Google Scholar] [CrossRef]
- Wang, H.; Liao, H.; Wei, J.; Liu, Y.; Niu, W.; Latham, J.; Xiang, J.; Liu, J.; Chen, J. Pressure Drop Model and Jet Features of Ultra High Pressure Water Jet for Downhole Intensifier. J. Energy Resour. Technol. 2022, 144, 123005. [Google Scholar] [CrossRef]
- Cao, S.; Ge, Z.; Zhang, D.; Zhou, Z.; Lu, Y.; Zhao, H. An experimental study of ultra-high pressure water jet-induced fracture mechanisms and pore size evolution in reservoir rocks. Int. J. Rock Mech. Min. Sci. 2022, 150, 104995. [Google Scholar] [CrossRef]
- Cai, C.; Wang, X.; Yuan, X.; Kang, Y.; Wang, Z.; Huang, M.; Chen, H. Experimental investigation on perforation of shale with ultra-high pressure abrasive water jet: Shape, mechanism and sensitivity. J. Nat. Gas Sci. Eng. 2019, 67, 196–213. [Google Scholar] [CrossRef]
- Labus, T.J.; Savanick, G.A. An Overview of Waterjet Fundamentals and Applications; WaterJet Technology Association: St. Louis, MO, USA, 2001. [Google Scholar]
- Li, M.; Wu, H.; Sun, Y. Corrosion Performance of Welded Joints for E40 Marine Steel. Metals 2023, 13, 1528. [Google Scholar] [CrossRef]
- Lu, S.; Chen, S.; Dou, W.; Sun, J.; Wang, Y.; Fu, M.; Chu, W.; Liu, G. Mitigation of EH36 ship steel biocorrosion using an antimicrobial peptide as a green biocide enhancer. Bioelectrochemistry 2023, 154, 108526. [Google Scholar] [CrossRef]
- Qiao, K.; Liu, Z.; Sun, Z.; Wang, X. Effects of low temperature overload and cycling temperature on fatigue crack growth behavior of ship steels in Arctic environments. Ocean Eng. 2023, 288, 116090. [Google Scholar] [CrossRef]
- Li, Y.C.; Zhu, W.J.; Sun, L.L.; Li, L.Y. Correlation between welding structure and corrosion behavior of high strength low alloy (HSLA) ship steel in Cl-containing solutions. Int. J. Electrochem. Sci. 2023, 18, 100295. [Google Scholar] [CrossRef]
- Wang, D.; Yan, L.; Yin, W.; Zhang, P.; Wang, Z.; Li, G.; Hu, X.; Li, B.; Zhang, W.; Zhu, J. Study on the Tensile and Fatigue Properties of the FH36 Ship Steel Plates at Room and Low Temperatures. Metals 2023, 13, 1563. [Google Scholar] [CrossRef]
- Ruben, M.C.; Melchor, M.S.; Fernándo, L.J. Misorientation Angle Study on Cleavage Fracture Propagation Surfaces of a Grade a Ship Steel, through Charpy and Four-Point Double-Notch Bend Tests. Mater. Sci. Forum 2024, 1121, 3–22. [Google Scholar]
- Teimourian, H.; Shabgard, M.; Momber, A. De-painting with high-speed water jets: Paint removal process and substrate surface roughness. Prog. Org. Coat. 2010, 69, 455–462. [Google Scholar] [CrossRef]
- Kumar, S.S.; Premkumar, I.J.I.; Muthalagu, R.; Vijayakumar, S.; Pradeep, A.; Sri, M.N.S. Examination of Abrasive water jet machining for Al hybrid composites using RSM-Central composite design. Interactions 2024, 245, 220. [Google Scholar] [CrossRef]
- Soori, M.; Arezoo, B. Minimization of surface roughness and residual stress in abrasive water jet cutting of titanium alloy Ti6Al4V. Proc. Inst. Mech. Eng. Part E J. Process Mech. Eng. 2024, 238, 1613–1625. [Google Scholar] [CrossRef]
- Park, S.; Kainuma, S.; Yang, M.; Kim, A.; Ikeda, T.; Toyota, Y.; Arakawa, T. Advancements in abrasive water-jet treatment for efficient surface cleaning and comprehensive corrosion removal in steel structures. J. Build. Eng. 2024, 84, 108623. [Google Scholar] [CrossRef]
- Zhao, Y.; Zhao, X.; Chen, X.; Song, J.; Cui, Y.; Niu, F.; Du, X.; Lu, W.; Zuo, D. Modeling and analysis of plastic abrasive jet flow characteristics. J. Manuf. Process. 2024, 123, 96–111. [Google Scholar] [CrossRef]
- Zhang, W.; Liu, D.; Zhang, Y.; Dai, Y.; Zhu, H.; Huang, C.; Feng, S. Numerical investigations on the material response of nickel-based superalloys during abrasive waterjet milling. J. Manuf. Process. 2024, 120, 878–894. [Google Scholar] [CrossRef]
- Zou, X.; Fu, L.; Wu, L.; Zuo, W. Research on Multiphase Flow and Nozzle Wear in a High-Pressure Abrasive Water Jet Cutting Head. Machines 2023, 11, 614. [Google Scholar] [CrossRef]
- Dong, Y.; Liu, W.; Zhang, H.; Zhang, H. On-line Recycling of Abrasives in Abrasive Water Jet Cleaning. Procedia CIRP 2014, 15, 278–282. [Google Scholar] [CrossRef]
- Wang, H.; Hongfen, W. Application of High Pressure Water Jet Technology in Cleaning Polymerization Vessel. IOP Conf. Ser. Earth Environ. Sci. 2020, 598, 012090. [Google Scholar] [CrossRef]
- Xu, X.; Meng, Z.; Lv, H. Exploration on Application of High Pressure Water Jet Cleaning Technology. MATEC Web Conf. 2021, 353, 01006. [Google Scholar] [CrossRef]
- Xue, X.; Chen, Z.; Ren, Q.; Su, J.; Han, C.; Pang, L. Paint Removal of Airplane & Water Jet Application. Int. J. Fluid Mach. Syst. 2014, 7, 125–129. [Google Scholar]
- Zhou, R.; Cao, Y.; Shi, W.; Yang, Y.; Cheng, S.; Wang, Z. Experimental study on surface erosion of Grade-A marine steel with different curvatures by ultra-high pressure water jet. J. Mater. Res. Technol. 2024, 31, 3025–3034. [Google Scholar] [CrossRef]
- Chen, J.Y.; Chen, S.Z.; Zhao, T.W.; Huang, L.W. Optimisation strategy to enhance the performance and efficiency of self-rotary water-jet derusting sprayers. Ocean Eng. 2024, 303, 117620. [Google Scholar] [CrossRef]
- Huang, L.-Y.; Chen, Z.S. Effect of technological parameters on hydrodynamic performance of ultra-high-pressure water-jet nozzle. Appl. Ocean Res. 2022, 129, 103410. [Google Scholar] [CrossRef]
- Peng, W.; Ma, Y.; Li, B.; Wang, X.; Peng, P.; Wang, J. Flow Field Simulation and Nozzle Parameter Optimization of Rust Removal Robot Based on High-Pressure Water Jet Technology. J. Phys. Conf. Ser. 2024, 2729, 012006. [Google Scholar] [CrossRef]
- Zhang, S.; Tao, X.; Lu, J.; Wang, X.; Zeng, Z.; Pang, X. Theoretical Analysis and Simulation of High Pressure Water Jet Cleaning Process. Open Mech. Eng. J. 2015, 9, 527–531. [Google Scholar] [CrossRef]
- Gu, B.; Hu, R.; Wang, L.; Xu, G. Study on the Influence Rule of High-Pressure Water Jet Nozzle Parameters on the Effect of Hydraulic Slotting. Geofluids 2022, 2022, 4510194. [Google Scholar] [CrossRef]
- Zheng, H.-X.; Luo, Y.; Zang, J.-Y.; Zhang, Q. Effect of Nozzle Outlet Type on the Flow Field Velocity and Impact Pressure of High-Pressure Water Jet Peening. J. Fluids Eng. 2022, 144, 071201. [Google Scholar] [CrossRef]
- Zhang, J.; Li, X.; Kou, J.; Zhang, D. Identifying the processes and characterizing the pressure zone of water jet impacting on solid surface. Adv. Mech. Eng. 2022, 14, 16878132221129703. [Google Scholar] [CrossRef]
- Zhou, L.; Hang, J.; Bai, L.; Krzemianowski, Z.; El-Emam, M.A.; Yasser, E.; Agarwal, R. Application of entropy production theory for energy losses and other investigation in pumps and turbines: A review. Appl. Energy 2022, 318, 119211. [Google Scholar] [CrossRef]
- Yang, Z.; Zou, Y.; Shi, S.; Xu, T.; Liang, Y.; Qiang, Y.; Cheng, Y.; Xu, G.; Li, Z. Optimization of SD-3 Nickel-Based Alloy Coating by Single Channel Laser Cladding Using Orthogonal Experimental Method. Trans. Indian Inst. Met. 2024, 77, 1509–1518. [Google Scholar] [CrossRef]
- Cao, Y.-P.; Cheng, S.-M.; Shi, W.-D.; Yang, Y.-F.; Wang, G.-W. Experimental study on surface erosion of grade A marine steel by ultrahigh-pressure water jet. Water 2022, 14, 1953. [Google Scholar] [CrossRef]
- Özdemir, E.; Sarici, D.E. Estimation of mode I fracture toughness of rocks exposed to different environmental conditions using simple and linear multiple regression. Mech. Time-Depend. Mater. 2024, 28, 3199–3215. [Google Scholar] [CrossRef]
- Coulibaly, B.D.; Chaibi, G.; El Khomssi, M. Statistical Modeling of the Cobb–Douglas Production Function: A Multiple Linear Regression Approach in Presence of Stable Distribution Noise. Lobachevskii J. Math. 2024, 45, 1008–1022. [Google Scholar] [CrossRef]







| Chemical Composition (Mass Fraction %) | ||||
|---|---|---|---|---|
| C | Mn | Si | Cu | Cr |
| 0.17 | 0.64 | 0.21 | 0.02 | 0.02 |
| Factor | Jet Pressure P (MPa) | Standoff Distance L (mm) | Nozzle Traverse Speed V (mm/min) | |
|---|---|---|---|---|
| Level | ||||
| 1 | 160 | 30 | 120 | |
| 2 | 180 | 60 | 180 | |
| 3 | 200 | 90 | 240 | |
| Sample No. | 1 | 2 | 3 | 4 | 5 | 6 | 7 | 8 | 9 |
|---|---|---|---|---|---|---|---|---|---|
| Rust removal width/mm | 3.55 | 4.62 | 4.80 | 3.84 | 4.21 | 5.24 | 3.84 | 4.48 | 5.70 |
| Sample No. | Jet Pressure P (MPa) | Standoff Distance L (mm) | Nozzle Traverse Speed v (mm/min) | Rust Removal Area S (mm2) | Standard Deviation |
|---|---|---|---|---|---|
| 1 | 160 | 30 | 120 | 426.36 | 0.016 |
| 2 | 160 | 60 | 180 | 831.60 | 0.022 |
| 3 | 160 | 90 | 240 | 1151.28 | 0.008 |
| 4 | 180 | 30 | 180 | 691.20 | 0.022 |
| 5 | 180 | 60 | 240 | 1010.88 | 0.024 |
| 6 | 180 | 90 | 120 | 629.28 | 0.008 |
| 7 | 200 | 30 | 240 | 921.96 | 0.016 |
| 8 | 200 | 60 | 120 | 538.08 | 0.016 |
| 9 | 200 | 90 | 180 | 1026.00 | 0.024 |
| Sample No. | Jet Pressure P (MPa) | Standoff Distance L (mm) | Nozzle Traverse Speed v (mm/min) | Erosion Depth h (mm) | Standard Deviation |
|---|---|---|---|---|---|
| 1 | 160 | 30 | 120 | 0.896 | 0.00082 |
| 2 | 160 | 60 | 180 | 0.772 | 0.00217 |
| 3 | 160 | 90 | 240 | 0.668 | 0.00082 |
| 4 | 180 | 30 | 180 | 0.986 | 0.00164 |
| 5 | 180 | 60 | 240 | 0.753 | 0.00164 |
| 6 | 180 | 90 | 120 | 1.483 | 0.00217 |
| 7 | 200 | 30 | 240 | 1.680 | 0.00245 |
| 8 | 200 | 60 | 120 | 1.841 | 0.00217 |
| 9 | 200 | 90 | 180 | 1.530 | 0.00164 |
| Factor | Jet Pressure P (MPa) | Standoff Distance L (mm) | Nozzle Traverse Speed V (mm/min) |
|---|---|---|---|
| Kj1 | 2409.24 | 2039.52 | 1593.72 |
| Kj2 | 2331.36 | 2380.56 | 2548.80 |
| Kj3 | 2486.04 | 2806.56 | 3084.12 |
| Tj1 | 803.08 | 679.84 | 531.24 |
| Tj2 | 777.12 | 793.52 | 849.60 |
| Tj3 | 828.68 | 935.52 | 1028.04 |
| Range (Rj) | 51.56 | 255.68 | 496.80 |
| Primary and secondary relationships | Nozzle traverse speed > standoff distance > jet pressure | ||
| Optimal level | 200 MPa | 90 mm | 240 mm/min |
| Optimal combination | Jet pressure of 200 MPa, standoff distance of 90 mm, nozzle traverse speed of 240 mm/min | ||
| Factor | Jet Pressure P (MPa) | Standoff Distance L (mm) | Nozzle Traverse Speed V (mm/min) |
|---|---|---|---|
| Kj1 | 2.336 | 3.562 | 4.220 |
| Kj2 | 3.222 | 3.366 | 3.288 |
| Kj3 | 5.051 | 3.681 | 3.101 |
| Tj1 | 0.779 | 1.187 | 1.407 |
| Tj2 | 1.074 | 1.122 | 1.096 |
| Tj3 | 1.684 | 1.227 | 1.034 |
| Range (Rj) | 0.905 | 0.105 | 0.373 |
| Primary and secondary relationships | Jet pressure > nozzle traverse speed > standoff distance | ||
| Optimal level | 160 Mpa | 60 mm | 240 mm/min |
| Optimal combination | Jet pressure of 160 MPa, standoff distance of 60 mm, nozzle traverse speed of 240 mm/min | ||
| Sample No. | 1 | 2 | 3 | 4 | 5 | 6 | 7 | 8 | 9 |
|---|---|---|---|---|---|---|---|---|---|
| Ra/μm | 9.004 | 8.019 | 6.327 | 8.528 | 7.767 | 8.214 | 10.013 | 10.256 | 8.889 |
| Rz/μm | 51.155 | 34.536 | 32.447 | 49.996 | 43.948 | 44.036 | 52.789 | 53.004 | 38.518 |
Disclaimer/Publisher’s Note: The statements, opinions and data contained in all publications are solely those of the individual author(s) and contributor(s) and not of MDPI and/or the editor(s). MDPI and/or the editor(s) disclaim responsibility for any injury to people or property resulting from any ideas, methods, instructions or products referred to in the content. |
© 2024 by the authors. Licensee MDPI, Basel, Switzerland. This article is an open access article distributed under the terms and conditions of the Creative Commons Attribution (CC BY) license (https://creativecommons.org/licenses/by/4.0/).
Share and Cite
Zhang, Q.; Cao, Y.; Shi, W.; Zhou, R.; Cheng, S.; Wang, Z. Experimental Study on the Optimization of Rust Removal Effect on Surface Erosion of Grade A Marine Steel by Ultra-High-Pressure Water Jet. Metals 2024, 14, 1335. https://doi.org/10.3390/met14121335
Zhang Q, Cao Y, Shi W, Zhou R, Cheng S, Wang Z. Experimental Study on the Optimization of Rust Removal Effect on Surface Erosion of Grade A Marine Steel by Ultra-High-Pressure Water Jet. Metals. 2024; 14(12):1335. https://doi.org/10.3390/met14121335
Chicago/Turabian StyleZhang, Qingbo, Yupeng Cao, Weidong Shi, Rui Zhou, Shuming Cheng, and Zhengang Wang. 2024. "Experimental Study on the Optimization of Rust Removal Effect on Surface Erosion of Grade A Marine Steel by Ultra-High-Pressure Water Jet" Metals 14, no. 12: 1335. https://doi.org/10.3390/met14121335
APA StyleZhang, Q., Cao, Y., Shi, W., Zhou, R., Cheng, S., & Wang, Z. (2024). Experimental Study on the Optimization of Rust Removal Effect on Surface Erosion of Grade A Marine Steel by Ultra-High-Pressure Water Jet. Metals, 14(12), 1335. https://doi.org/10.3390/met14121335

