Sign in to use this feature.

Years

Between: -

Subjects

remove_circle_outline
remove_circle_outline
remove_circle_outline
remove_circle_outline
remove_circle_outline
remove_circle_outline
remove_circle_outline
remove_circle_outline
remove_circle_outline

Journals

remove_circle_outline
remove_circle_outline
remove_circle_outline
remove_circle_outline
remove_circle_outline
remove_circle_outline
remove_circle_outline
remove_circle_outline
remove_circle_outline
remove_circle_outline
remove_circle_outline
remove_circle_outline
remove_circle_outline
remove_circle_outline

Article Types

Countries / Regions

remove_circle_outline
remove_circle_outline
remove_circle_outline
remove_circle_outline
remove_circle_outline
remove_circle_outline

Search Results (1,027)

Search Parameters:
Keywords = good environmental practices

Order results
Result details
Results per page
Select all
Export citation of selected articles as:
20 pages, 2673 KB  
Article
Dynamics of Tilapia Lake Virus in Recirculating Aquaculture Systems and the Impact of Vaccination on Outbreak Control
by Montakarn Sresung, Jidapa Yamkasem, Supitchaya Theplhar, Piyathip Setthawong, Surapong Rattanakul, Skorn Mongkolsuk, Kwanrawee Sirikanchana, Win Surachetpong and Tuchakorn Lertwanakarn
Viruses 2026, 18(1), 96; https://doi.org/10.3390/v18010096 - 9 Jan 2026
Viewed by 106
Abstract
Tilapia lake virus (TiLV) is a highly virulent pathogen that has caused substantial mortality in tilapia farms, particularly those with open-water systems. However, TiLV can also emerge and persist in closed environments, such as recirculating aquaculture systems (RAS), where environmental accumulation and repeated [...] Read more.
Tilapia lake virus (TiLV) is a highly virulent pathogen that has caused substantial mortality in tilapia farms, particularly those with open-water systems. However, TiLV can also emerge and persist in closed environments, such as recirculating aquaculture systems (RAS), where environmental accumulation and repeated exposure may intensify infection and sustain outbreaks. In this case study, we conducted three field experiments to better understand TiLV dynamics among Nile tilapia in RAS. In experiment I, we quantified the TiLV levels in the fish, water, and sediment to compare outbreak and no-outbreak conditions and found that the TiLV concentrations in liver samples and the water were significantly higher in the outbreak ponds and positively correlated with increased fish mortality. In experiment II, we used a side-by-side field trial to evaluate the protective efficacy of a TiLV vaccine and its effects on the viral loads in the fish and aquatic environment during outbreaks. The vaccinated fish showed substantially lower cumulative mortality (16.7%) than the unvaccinated controls (37.7%), with a relative percent survival of 55.6%. Additionally, the TiLV concentrations in the pond water of the vaccinated group were significantly lower. In experiment III, we compared the TiLV patterns between RAS and non-RAS operations to determine how water recirculation influences viral accumulation and outbreak severity. The results revealed limited viral accumulation and shorter disease outbreak duration in the non-RAS. Overall, our findings showed that the TiLV levels in the rearing water were closely linked with disease severity in the RAS-based tilapia hatcheries. Continuous water recirculation allowed the virus to build up in the system, which led to more prolonged outbreaks, while the non-RAS conditions with regular water discharge showed lower viral loads and faster recovery. The vaccinated fish had better survival rates and released less virus into the water, which helped reduce infection pressure across the ponds. Together, these results suggest that combining vaccination with good water management and molecular monitoring can provide a practical, noninvasive way to detect and control TiLV outbreaks in intensive farming systems. Full article
(This article belongs to the Special Issue Viral Pathogenesis and Novel Vaccines for Fish Viruses)
26 pages, 2307 KB  
Article
Ecological and Microbial Processes in Green Waste Co-Composting for Pathogen Control and Evaluation of Compost Quality Index (CQI) Toward Agricultural Biosafety
by Majda Oueld Lhaj, Rachid Moussadek, Hatim Sanad, Khadija Manhou, M’hamed Oueld Lhaj, Meriem Mdarhri Alaoui, Abdelmjid Zouahri and Latifa Mouhir
Environments 2026, 13(1), 43; https://doi.org/10.3390/environments13010043 - 9 Jan 2026
Viewed by 165
Abstract
Composting represents a sustainable and effective strategy for converting organic waste into nutrient-rich soil amendments, providing a safer alternative to raw manure, which poses significant risks of soil, crop, and water contamination through pathogenic microorganisms. This study, conducted under semi-arid Moroccan conditions, investigated [...] Read more.
Composting represents a sustainable and effective strategy for converting organic waste into nutrient-rich soil amendments, providing a safer alternative to raw manure, which poses significant risks of soil, crop, and water contamination through pathogenic microorganisms. This study, conducted under semi-arid Moroccan conditions, investigated the efficiency of co-composting green garden waste with sheep manure in an open window system, with the objective of assessing pathogen inactivation and evaluating compost quality. The process, conducted over 120 days, maintained thermophilic temperatures exceeding 55 °C, effectively reducing key pathogens including Escherichia coli, total coliforms, Staphylococcus aureus, and sulfite-reducing Clostridia (SRC), while Salmonella was not detected throughout the composting period. Pathogen reductions exceeded 3.52-log despite moderate temperature fluctuations, indicating that additional sanitization mechanisms beyond heat contributed to inactivation. Compost quality, assessed using the CQI, classified Heap 2 (fallen leaves + sheep manure) as good quality (4.06) and Heap 1 (green waste + sheep manure) as moderate quality (2.47), corresponding to differences in microbial dynamics and compost stability. These findings demonstrate that open windrow co-composting is a practical, low-cost, and effective method for safe organic waste management. It supports sustainable agriculture by improving soil health, minimizing environmental and public health risks, and providing guidance for optimizing composting protocols to meet regulatory safety standards. Full article
(This article belongs to the Special Issue Circular Economy in Waste Management: Challenges and Opportunities)
Show Figures

Figure 1

27 pages, 4143 KB  
Article
The Effects of Trichilia claussenii Extract on the Efficacy of Entomopathogenic Fungi Produced by Submerged Fermentation
by Lissara Polano Ody, Leonardo Ramon de Mesquita Gomes, Gustavo Ugalde, Franciéle dos Santos Soares, Jerson Vanderlei Carús Guedes, Denise Tonato, Marcio Antonio Mazutti, Marcus Vinícius Tres and Giovani Leone Zabot
Fermentation 2026, 12(1), 38; https://doi.org/10.3390/fermentation12010038 - 8 Jan 2026
Viewed by 199
Abstract
The search for sustainable pest management alternatives has intensified due to the risks of chemical pesticides. Entomopathogenic fungi and plant extracts, rich in insecticidal secondary metabolites, are among the most promising approaches. Integrating these agents can enhance complementary mechanisms and reduce environmental impact. [...] Read more.
The search for sustainable pest management alternatives has intensified due to the risks of chemical pesticides. Entomopathogenic fungi and plant extracts, rich in insecticidal secondary metabolites, are among the most promising approaches. Integrating these agents can enhance complementary mechanisms and reduce environmental impact. This study evaluated the insecticidal potential of fungi produced by submerged fermentation (Beauveria bassiana, Metarhizium anisopliae, Trichoderma asperelloides, Isaria javanica, and Cordyceps fumosorosea) applied alone and combined with Trichilia claussenii extract against Euschistus heros and Spodoptera frugiperda. Fermentation showed good fungal adaptation and high sporulation, especially B. bassiana (8.33 × 108 spores mL−1) and T. asperelloides (9.42 × 107 spores mL−1). Adding the plant extract increased colony-forming units, notably for M. anisopliae (7.40 × 107 CFU mL−1) and B. bassiana (1.55 × 108 CFU mL−1). In bioassays, cell suspensions were more effective than isolated metabolites, reaching 97.8% mortality for E. heros and 91.5% for S. frugiperda with B. bassiana plus extract. These results indicate that combining entomopathogenic fungi with T. claussenii extract is a promising strategy for developing efficient and sustainable biopesticides, contributing directly to integrated pest management practices with reduced environmental impact. Full article
Show Figures

Figure 1

23 pages, 4022 KB  
Article
Machine Learning—Driven Analysis of Agricultural Nonpoint Source Pollution Losses Under Variable Meteorological Conditions: Insights from 5 Year Site-Specific Tracking
by Ran Jing, Yinghui Xie, Zheng Hu, Xingjian Yang, Xueming Lin, Wenbin Duan, Feifan Zeng, Tianyi Chen, Xin Wu, Xiaoming He and Zhen Zhang
Sustainability 2026, 18(2), 590; https://doi.org/10.3390/su18020590 - 7 Jan 2026
Viewed by 144
Abstract
Agricultural nonpoint source pollution is emerging as one of the increasingly serious environmental concerns all over the world. This study conducted field experiments in Zengcheng District, Guangzhou City, from 2019 to 2023 to explore the mechanisms by which different crop types, fertilization modes, [...] Read more.
Agricultural nonpoint source pollution is emerging as one of the increasingly serious environmental concerns all over the world. This study conducted field experiments in Zengcheng District, Guangzhou City, from 2019 to 2023 to explore the mechanisms by which different crop types, fertilization modes, and meteorological conditions affect the loss of nitrogen and phosphorus in agricultural nonpoint source pollution. In rice and corn, the CK and PK treatment groups showed significant fitting advantages, such as the R2 of rice-CK reaching 0.309. MAE was 0.395, and the R2 of corn-PK was as high as 0.415. For compound fertilization groups such as NPK and OF, the model fitting ability decreased, such as the R2 of rice-NPK dropping to 0.193 and the R2 of corn-OF being only 0.168. In addition, the overall performance of the model was limited in the modeling of total phosphorus. A relatively good fit was achieved in corn (such as NPK group R2 = 0.272) and in vegetables and citrus. R2 was mostly below 0.25. The results indicated that fertilization management, crop types, and meteorological conditions affected nitrogen and phosphorus losses in agricultural runoff. Cornfields under conventional nitrogen, phosphorus, and potassium fertilizer (NPK) and conventional nitrogen and potassium fertilizer treatment without phosphorus fertilizer (NK) treatments exhibited the highest nitrogen losses, while citrus fields showed elevated phosphorus concentrations under NPK and PK treatments. Organic fertilizer treatments led to moderate nutrient losses but greater variability. Organic fertilizer treatments resulted in moderate nutrient losses but showed greater interannual variability. Meteorological drivers differed among crop types. Nitrogen enrichment was mainly associated with high temperature and precipitation, whereas phosphorus loss was primarily triggered by short-term extreme weather events. Linear regression models performed well under simple fertilization scenarios but struggled with complex nutrient dynamics. Crop-specific traits such as flooding in rice fields, irrigation in corn, and canopy coverage in citrus significantly influenced nutrient migration. The findings of this study highlight that nutrient losses are jointly regulated by crop systems, fertilization practices, and meteorological variability, particularly under extreme weather conditions. These findings underscore the necessity of crop-specific and climate-adaptive nutrient management strategies to reduce agricultural nonpoint source pollution. By integrating long-term field observations with machine learning–based analysis, this study provides scientific evidence to support sustainable fertilizer management, protection of water resources, and environmentally responsible agricultural development in subtropical regions. The proposed approaches contribute to sustainable land and water resource utilization and climate-resilient agricultural systems, aligning with the goals of sustainable development in rapidly urbanizing river basins. Full article
Show Figures

Figure 1

20 pages, 7211 KB  
Article
Point-Cloud Filtering Algorithm for Port-Environment Perception Based on 128-Line Array Single-Photon LiDAR
by Wenhao Zhao, Zhaomin Lv, Ziqiang Peng and Xiaokai She
Appl. Sci. 2026, 16(2), 570; https://doi.org/10.3390/app16020570 - 6 Jan 2026
Viewed by 207
Abstract
Light detection and ranging (LiDAR) has been widely used in navigation and environmental perception owing to its excellent beam directivity and high spatial resolution. Among its modalities, single-photon (photon-counting) LiDAR offers higher detection sensitivity at long ranges and under weak-return conditions and has [...] Read more.
Light detection and ranging (LiDAR) has been widely used in navigation and environmental perception owing to its excellent beam directivity and high spatial resolution. Among its modalities, single-photon (photon-counting) LiDAR offers higher detection sensitivity at long ranges and under weak-return conditions and has therefore attracted considerable attention. However, this high sensitivity also introduces substantial background counts into the raw measurements; without effective filtering, downstream tasks such as image reconstruction and target recognition are hindered. In this work, a 128-line single-photon LiDAR system for port-environment perception was designed, and a histogram-based statistical filtering engineering solution was proposed. The algorithm incorporates distance-based piecewise adaptive parameterization and adjacent-channel fusion while maintaining a small memory footprint and facilitating deployment. Field experiments using datasets collected in Qingdao and Shanghai demonstrated good denoising performance at ranges up to 2.4 km. In simulation experiments using synthetic data with ground truth, an F1 score of 0.9091 was achieved by RA-ACF HSF, outperforming the baseline methods DBSCAN (0.6979) and ROR (0.7500). The proposed system and method provide a practical engineering solution for maritime navigation and port-environment perception. Full article
Show Figures

Figure 1

32 pages, 3408 KB  
Review
Weaving the Future: The Role of Novel Fibres and Molecular Traceability in Circular Textiles
by Sofia Pereira de Sousa, Marta Nunes da Silva, Carlos Braga and Marta W. Vasconcelos
Appl. Sci. 2026, 16(1), 497; https://doi.org/10.3390/app16010497 - 4 Jan 2026
Viewed by 316
Abstract
The textile sector provides essential goods, yet it remains environmentally and socially intensive, driven by high water use, pesticide dependent monocropping, chemical pollution during processing, and growing waste streams. This review examines credible pathways to sustainability by integrating emerging plant-based fibres from hemp, [...] Read more.
The textile sector provides essential goods, yet it remains environmentally and socially intensive, driven by high water use, pesticide dependent monocropping, chemical pollution during processing, and growing waste streams. This review examines credible pathways to sustainability by integrating emerging plant-based fibres from hemp, abaca, stinging nettle, and pineapple leaf fibre. These underutilised crops combine favourable agronomic profiles with competitive mechanical performance and are gaining momentum as the demand for demonstrably sustainable textiles increases. However, conventional fibre identification methods, including microscopy and spectroscopy, often lose reliability after wet processing and in blended fabrics, creating opportunities for mislabelling, greenwashing, and weak certification. We synthesise how advanced molecular approaches, including DNA fingerprinting, species-specific assays, and metagenomic tools, can support the authentication of fibre identity and provenance and enable linkage to Digital Product Passports. We also critically assess environmental Life Cycle Assessment (LCA) and social assessment frameworks, including S-LCA and SO-LCA, as complementary methodologies to quantify climate burden, water use, labour conditions, and supply chain risks. We argue that aligning fibre innovation with molecular traceability and harmonised life cycle evidence is essential to replace generic sustainability claims with verifiable metrics, strengthen policy and certification, and accelerate transparent, circular, and socially responsible textile value chains. Key research priorities include validated marker panels and reference libraries for non-cotton fibres, expanded region-specific LCA inventories and end-of-life scenarios, scalable fibre-to-fibre recycling routes, and practical operationalisation of SO-LCA across diverse enterprises. Full article
Show Figures

Figure 1

16 pages, 1790 KB  
Article
Socioeconomic Drivers of Household Plastic Waste Mismanagement and Implications for Water Resource Sustainability in Guyanese Communities
by Seon Hamer and Temitope D. Timothy Oyedotun
Sustainability 2026, 18(1), 484; https://doi.org/10.3390/su18010484 - 3 Jan 2026
Viewed by 218
Abstract
This research investigates the socioeconomic factors that lead to ineffective plastic waste management in household areas and their consequences for water sustainability in four villages in Guyana: Mon Repos, Lusignan, De Endragt, and Good Hope. The study uses a household survey (N = [...] Read more.
This research investigates the socioeconomic factors that lead to ineffective plastic waste management in household areas and their consequences for water sustainability in four villages in Guyana: Mon Repos, Lusignan, De Endragt, and Good Hope. The study uses a household survey (N = 384), chi-square tests, and a binary logistic model. It finds that labour status, schooling, and earnings affect unsafe disposal practices like dumping, incineration, or leaving garbage. The risk of inappropriate disposal is 20%, higher than the 6.8% among university graduates. The unemployed are at highest risk, with 32.7% at high risk. Low-income individuals (≤GYD $85,000) have a 21.9% rate, which is 2.5 times higher than the 7.6% rate among higher-income individuals. Strikingly, 63.2% of the high-risk households reported seeing “some” or “vast” amounts of dumped garbage in the close vicinity. It suggests a greater possibility of water contamination. Lacking direct proof of water quality, the strong correlation between socioeconomic disadvantage, litter visibility, and proximity to drainage infrastructure is one of the environmental justice concerns. The findings show plastic littering to be a structural issue associated with inequality, rather than purely individual behaviour, beyond the lack of access to sound waste management services. From a sustainability perspective, there needs to be a priority on straightforward strategies that encompass waste infrastructure development alongside poverty reduction and sustainable management practices. If these intrinsic disparities are not addressed, efforts to protect community water resources and realise SDGs 6, 10, and 12 will likely be futile. Full article
Show Figures

Figure 1

17 pages, 3005 KB  
Article
Methodological Advancement in Resistive-Based, Real-Time Spray Deposition Assessment with Multiplexed Acquisition
by Ayesha Ali, Lorenzo Becce, Andreas Gronauer and Fabrizio Mazzetto
AgriEngineering 2026, 8(1), 3; https://doi.org/10.3390/agriengineering8010003 - 1 Jan 2026
Viewed by 257
Abstract
The use of agrochemicals remains indispensable for ensuring fruit production; however, their excessive or inefficient application poses significant environmental and health concerns. Rapid detection of spray deposition is crucial for assessing sprayer performance, improving precision application, and reducing drift and chemical waste. In [...] Read more.
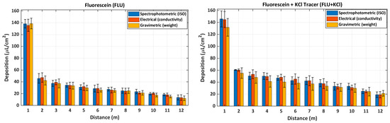
The use of agrochemicals remains indispensable for ensuring fruit production; however, their excessive or inefficient application poses significant environmental and health concerns. Rapid detection of spray deposition is crucial for assessing sprayer performance, improving precision application, and reducing drift and chemical waste. In this context, real-time monitoring technologies represent a promising tool to promote sustainable and efficient crop protection practices. This study refines previous experiences with an array of resistive sensors to quickly measure spray deposition. First, a multi-point calibration curve is introduced to improve the sensors’ accuracy. Furthermore, a multiplexed acquisition system (Sciospec ISX-5) is employed to enable time-resolved measurements of the whole sensor array. The method is validated by spectrophotometry and weight measurements. Wind tunnel trials with fluorescein (FLU) and fluorescein + potassium chloride (FLU + KCl) tracing solutions were conducted. The conductivity of the latter was higher than the former, without biasing the measurement. Both tracers showed good correlation between deposition and conductivity (R2 = 0.997 for FLU and 0.995 for FLU + KCl), and the maximum deviation from the spectrophotometric estimates was <10%. Time-resolved measurement showed the build-up of deposition over time, potentially indicating the dimensional composition of the sprayed cloud. The improved workflow provides array-wide, sequential deposition measurements, enabling faster on-site acquisition and efficient analysis. The results demonstrate strong potential for scaling the method to field applications, supporting its further development into real-time deposition mapping tools that could guide precision spraying, optimize agrochemical use, and reduce environmental drift. Full article
Show Figures

Figure 1

25 pages, 12678 KB  
Article
A Multi-Indicator Hazard Mechanism Framework for Flood Hazard Assessment and Risk Mitigation: A Case Study of Rizhao, China
by Yunjia Ma, Xinyue Li, Yumeng Yang, Shanfeng He, Hao Guo and Baoyin Liu
Land 2026, 15(1), 82; https://doi.org/10.3390/land15010082 - 31 Dec 2025
Viewed by 263
Abstract
Urban flooding has become a critical environmental challenge under global climate change and rapid urbanization. This study develops a multi-indicator hazard mechanism framework for flood hazard assessment in Rizhao, a coastal city in China, by integrating three fundamental hydrological processes: runoff generation, flow [...] Read more.
Urban flooding has become a critical environmental challenge under global climate change and rapid urbanization. This study develops a multi-indicator hazard mechanism framework for flood hazard assessment in Rizhao, a coastal city in China, by integrating three fundamental hydrological processes: runoff generation, flow convergence, and drainage. Based on geospatial data—including DEM, road networks, land cover, and soil characteristics—six key indicators were evaluated using the TOPSIS method: runoff curve number, impervious surface percentage, topographic wetness index, time of concentration, pipeline density, and distance to rivers. The results show that extreme-hazard zones, covering 6.41% of the central urban area, are primarily clustered in northern sectors, where flood susceptibility is driven by the synergistic effects of high imperviousness, short concentration time, and inadequate drainage infrastructure. Independent validation using historical flood records confirmed the model’s reliability, with 83.72% of documented waterlogging points located in predicted high-hazard zones and an AUC value of 0.737 indicating good discriminatory performance. Based on spatial hazard patterns and causal mechanisms, an integrated mitigation strategy system of “source reduction, process regulation, and terminal enhancement” is proposed. This strategy provides practical guidance for pipeline rehabilitation and sponge city implementation in Rizhao’s resilience planning, while the developed hazard mechanism framework of “runoff–convergence–drainage” provides a transferable methodology for flood hazard assessment in large-scale urban environments. Full article
Show Figures

Figure 1

23 pages, 329 KB  
Article
Education for Sustainability: Knowledge, Attitudes and Behaviors of Secondary School Teachers
by Efstathios Loupas, George Zafeiropoulos, Aristotelis Martinis, Magdalini Mallinou and Aikaterini Kouveli
World 2026, 7(1), 1; https://doi.org/10.3390/world7010001 - 26 Dec 2025
Viewed by 319
Abstract
This study attempts to analyze the environmental knowledge, attitudes and behaviors of secondary school teachers, as well as the factors influencing these dimensions. It also investigates the extent to which teachers prioritize Environmental Education (Ε.Ε.) within their courses. A mixed-methods approach was used, [...] Read more.
This study attempts to analyze the environmental knowledge, attitudes and behaviors of secondary school teachers, as well as the factors influencing these dimensions. It also investigates the extent to which teachers prioritize Environmental Education (Ε.Ε.) within their courses. A mixed-methods approach was used, incorporating both quantitative and qualitative modes of inquiry. Two hundred and seventy questionnaire respondents took part in the research. The responses obtained from the questionnaires were analyzed using both statistical and thematic methods. Data triangulation was applied to enhance the validity and reliability of the findings. The analysis revealed that secondary school teachers have an overall good level of environmental knowledge, although they lack some details. Teachers also exhibited positive attitudes and behaviors toward environmental issues. Significant correlations were found between environmental attitudes and behaviors, as well as between environmental knowledge and behaviors. The implementation of E.E. by secondary school teachers was characterized by a strong influence of the curriculum. Teachers reported integrating E.E. primarily through their own pro-environmental practices, particularly in relation to waste management. The main restrictions that prevent secondary school teachers from including E.E. are time constraints and the negative feedback they receive. Regarding the support offered to teachers in relation to E.E., secondary school teachers reported that existing teacher education programs are predominantly theoretical, with insufficient emphasis on practical applications. Based on these findings, this research proposes suggestions for restructuring teacher training programs to incorporate more applied components that better support the integration of E.E. into classroom practice. Furthermore, the study aims to investigate secondary students at the secondary educational stage, and their knowledge and attitudes towards the environment using different variables. Employing a descriptive survey model, data were collected from a sample of 270 secondary school teachers using the ‘Environmental Knowledge Test’ and ‘Environmental Attitude Scale’. The results indicated that teachers’ environmental knowledge and attitudes towards the environment did not significantly differ by gender. Finally, the study concludes with several recommendations derived from these results. Full article
Show Figures

Graphical abstract

23 pages, 8742 KB  
Article
Ecovillages as Living Labs for Social Innovation: The Case of Torri Superiore
by Maristella Bergaglio, Valentina Capocefalo, Alice Giulia Dal Borgo and Giuseppe Gambazza
Sustainability 2026, 18(1), 188; https://doi.org/10.3390/su18010188 - 24 Dec 2025
Viewed by 344
Abstract
Italian inner areas face population decline, limited access to services and fragile infrastructure; however, the micro-mechanisms through which community practices generate tangible improvements often remain unclear. Still, local communitarian initiatives, such as those represented by ecovillages, can be an effective response to the [...] Read more.
Italian inner areas face population decline, limited access to services and fragile infrastructure; however, the micro-mechanisms through which community practices generate tangible improvements often remain unclear. Still, local communitarian initiatives, such as those represented by ecovillages, can be an effective response to the ongoing process of marginalisation, becoming true living labs for place-based transitions. Through the analysis of the Torri Superiore Ecovillage (Imperia, Italy), a recognised and well-known good practice in the national and international ecovillage circuit, we want to find answers to three research questions: (RQ1) To what extent can an ecovillage act as a living lab for social innovation and ecological transition in inner areas? (RQ2) Which demographic and governance conditions enable territorial resilience and which ones block it? (RQ3) Which environmental practices generate locally significant improvements and with what limitations? Based on qualitative and interpretative evidence (2016–2025)—field observations, internal documents and testimonies—and on essential demographic indicators (ISTAT/SNAI), this study examines the Torri Superiore Ecovillage as a small-scale living lab. Torri Superiore and the surrounding municipalities are ageing and have reduced demographic bases; however selective immigration and heterogeneity of skills act as partial buffers. The governance of the Torri Superiore Ecovillage combines clear rules, participatory routines and coordination mechanisms, promoting problem solving while remaining sensitive to leadership burdens. The “bridging” between multiple actors enables terrace maintenance, local water resource management, agroecological practices, renewable energy adoption, waste prevention/composting and light mobility to achieve tangible environmental improvements on a small scale. We frame transferability as analytical (not statistical), specify the enabling conditions (sufficient active participants, stable routines, territorial management) and outline the relevant policy implications for SNAI classes and a lightweight longitudinal observatory. Full article
Show Figures

Figure 1

29 pages, 4226 KB  
Article
Interpretable Assessment of Streetscape Quality Using Street-View Imagery and Satellite-Derived Environmental Indicators: Evidence from Tianjin, China
by Yankui Yuan, Fengliang Tang, Shengbei Zhou, Yuqiao Zhang, Xiaojuan Li, Sen Wang, Lin Wang and Qi Wang
Buildings 2026, 16(1), 1; https://doi.org/10.3390/buildings16010001 - 19 Dec 2025
Viewed by 421
Abstract
Amid accelerating climate change, intensifying urban heat island effects, and rising public demand for livable, walkable streets, there is an urgent practical need for interpretable and actionable evidence on streetscape quality. Yet, research on streetscape quality has often relied on single data sources [...] Read more.
Amid accelerating climate change, intensifying urban heat island effects, and rising public demand for livable, walkable streets, there is an urgent practical need for interpretable and actionable evidence on streetscape quality. Yet, research on streetscape quality has often relied on single data sources and linear models, limiting insight into multidimensional perception; evidence from temperate monsoon cities remains scarce. Using Tianjin’s main urban area as a case study, we integrate street-view imagery with remote sensing imagery to characterize satellite-derived environmental indicators at the point scale and examine the following five perceptual outcomes: comfort, aesthetics, perceived greenness, summer heat perception, and willingness to linger. We develop a three-step interpretable assessment, as follows: Elastic Net logistic regression to establish directional and magnitude baselines; Generalized Additive Models with a logistic link to recover nonlinear patterns and threshold bands with Benjamini–Hochberg false discovery rate control and binned probability calibration; and Shapley additive explanations to provide parallel validation and global and local explanations. The results show that the Green View Index is consistently and positively associated with all five outcomes, whereas Spatial Balance is negative across the observed range. Sky View Factor and the Building Visibility Index display heterogeneous forms, including monotonic, U-shaped, and inverted-U patterns across outcomes; Normalized Difference Vegetation Index and Land Surface Temperature are likewise predominantly nonlinear with peak sensitivity in the midrange. In total, 54 of 55 smoothing terms remain significant after Benjamini–Hochberg false discovery rate correction. The summer heat perception outcome is highly imbalanced: 94.2% of samples are labeled positive. Overall calibration is good. On a standardized scale, we delineate optimal and risk intervals for key indicators and demonstrate the complementary explanatory value of street-view imagery and remote sensing imagery for people-centered perceptions. In Tianjin, a temperate monsoon megacity, the framework provides reproducible, actionable, design-relevant evidence to inform streetscape optimization and offers a template that can be adapted to other cities, subject to local calibration. Full article
Show Figures

Figure 1

19 pages, 5723 KB  
Article
EDM-UNet: An Edge-Enhanced and Attention-Guided Model for UAV-Based Weed Segmentation in Soybean Fields
by Jiaxin Gao, Feng Tan and Xiaohui Li
Agriculture 2025, 15(24), 2575; https://doi.org/10.3390/agriculture15242575 - 12 Dec 2025
Viewed by 300
Abstract
Weeds will compete with soybeans for resources such as light, water and nutrients, inhibit the growth of soybeans, and reduce their yield and quality. Aiming at the problems of low efficiency, high environmental risk and insufficient weed identification accuracy in complex farmland scenarios [...] Read more.
Weeds will compete with soybeans for resources such as light, water and nutrients, inhibit the growth of soybeans, and reduce their yield and quality. Aiming at the problems of low efficiency, high environmental risk and insufficient weed identification accuracy in complex farmland scenarios of traditional weed management methods, this study proposes a weed segmentation method for soybean fields based on unmanned aerial vehicle remote sensing. This method enhances the channel feature selection capability by introducing a lightweight ECA module, improves the target boundary recognition by combining Canny edge detection, and designs directional consistency filtering and morphological post-processing to optimize the spatial structure of the segmentation results. The experimental results show that the EDM-UNet method achieves the best performance effect on the self-built dataset, and the MIoU, Recall and Precision on the test set reach 89.45%, 93.53% and 94.78% respectively. In terms of model inference speed, EDM-UNet also performs well, with an FPS of 40.36, which can meet the requirements of real-time detection models. Compared with the baseline network model, the MIoU, Recall and Precision of EDM-UNet increased by 6.71%, 5.67% and 3.03% respectively, and the FPS decreased by 11.25. In addition, performance evaluation experiments were conducted under different degrees of weed interference conditions. The models all showed good detection effects, verifying that the model proposed in this study can accurately segment weeds in soybean fields. This research provides an efficient solution for weed segmentation in complex farmland environments that takes into account both computational efficiency and segmentation accuracy, and has significant practical value for promoting the development of smart agricultural technology. Full article
(This article belongs to the Section Artificial Intelligence and Digital Agriculture)
Show Figures

Figure 1

22 pages, 4216 KB  
Article
Development of an Adapted Water Quality Index for the Danube River Using Objective Weighting Methods
by Atila Bezdan and Jovana Bezdan
Hydrology 2025, 12(12), 329; https://doi.org/10.3390/hydrology12120329 - 11 Dec 2025
Viewed by 517
Abstract
The Danube River is one of Europe’s largest transboundary rivers, characterized by substantial spatial heterogeneity in environmental conditions, monitoring practices, and water management frameworks. Developing a harmonized approach for basin-wide surface-water quality assessment is therefore essential. This study presents the development and application [...] Read more.
The Danube River is one of Europe’s largest transboundary rivers, characterized by substantial spatial heterogeneity in environmental conditions, monitoring practices, and water management frameworks. Developing a harmonized approach for basin-wide surface-water quality assessment is therefore essential. This study presents the development and application of an adapted Water Quality Index (Danube WQI) for assessing and monitoring water quality along the Danube River, one of Europe’s largest and most complex transboundary systems. The Danube WQI is based on established WQI methodologies and integrates two objective weighting approaches—the Entropy Weight Method (EWM) and the CRITIC (Criteria Importance Through Inter-Criteria Correlation) method—to minimize subjectivity and improve the robustness of parameter weighting. Long-term water quality data from the TransNational Monitoring Network (TNMN) of the International Commission for the Protection of the Danube River (ICPDR) were used, covering 42 stations across nine countries (1996–2022). Nine parameters were selected: dissolved oxygen (DO), biochemical oxygen demand (BOD5), total nitrogen (TN), nitrate (NO3), ammonium (NH4), total phosphorus (TP), orthophosphate (PO4), electrical conductivity (EC), and pH. During the formation of sub-indices and rating curves, national water quality standards from the Danube countries were harmonized to ensure consistent parameter classification. Results indicate that the Danube River generally exhibits very good water quality, with most sections belonging to the first and second quality classes. Comparison with the Canadian Water Quality Index (CWQI) confirmed similar results but demonstrated higher seasonal sensitivity of the Danube WQI. Additionally, rankings obtained using the PROMETHEE II multicriteria method showed strong agreement with the Danube WQI classifications, further confirming the robustness of the proposed index. The proposed index provides a harmonized and transferable framework that can support integrated water management and policy evaluation across the Danube River Basin and within the EU Water Framework Directive context. Full article
Show Figures

Figure 1

32 pages, 1895 KB  
Article
A Hybrid AI-Stochastic Framework for Predicting Dynamic Labor Productivity in Sustainable Repetitive Construction Activities
by Naif Alsanabani, Khalid Al-Gahtani, Ayman Altuwaim and Abdulrahman Bin Mahmoud
Sustainability 2025, 17(24), 11097; https://doi.org/10.3390/su172411097 - 11 Dec 2025
Viewed by 283
Abstract
Accurate real-time prediction of labor productivity is crucial for the successful management of construction projects. However, it remains a significant challenge due to the dynamic and uncertain nature of construction environments. Existing models, while valuable for planning and post-analysis, often rely on historical [...] Read more.
Accurate real-time prediction of labor productivity is crucial for the successful management of construction projects. However, it remains a significant challenge due to the dynamic and uncertain nature of construction environments. Existing models, while valuable for planning and post-analysis, often rely on historical data and static assumptions, rendering them inadequate for providing actionable, real-time insights during construction. This study addresses this gap by suggesting a novel hybrid AI-stochastic framework that integrates a Long Short-Term Memory (LSTM) network with Markov Chain modeling for dynamic productivity forecasting in repetitive construction activities. The LSTM component captures complex, long-term temporal dependencies in productivity data, while the Markov Chain models probabilistic state transitions (Low, Medium, High productivity) to account for inherent volatility and uncertainty. A key innovation is the use of a Bayesian-adjusted Transition Probability Matrix (TPM) to mitigate the “cold start” problem in new projects with limited initial data. The framework was rigorously validated across four distinct case studies, demonstrating robust performance with Mean Absolute Percentage Error (MAPE) values predominantly in the “Good” range (10–20%) for both the training and test datasets. A comprehensive sensitivity analysis further revealed the model’s stability under data perturbations, though performance varied with project characteristics. By enabling more efficient resource utilization and reducing project delays, the proposed framework contributes directly to sustainable construction practices. The model’s ability to provide accurate real-time predictions helps minimize material waste, reduce unnecessary labor costs, optimize equipment usage, and decrease the overall environmental impact of construction projects. Full article
Show Figures

Figure 1

Back to TopTop