Physiological Stress Signatures of Waterborne Glyphosate Exposure in Apostichopus japonicus: Insights for Aquatic Ecotoxicology
Abstract
1. Introduction
2. Materials and Methods
2.1. Animals and Acclimation
2.2. Experimental Design and Waterborne Exposure
2.3. Sampling Strategy and Sample Sizes for Different Endpoints
2.4. Glyphosate Analysis
2.5. Digestive Enzyme Assays
2.6. Immune and Antioxidant Biomarkers
2.7. Gut Microbiota Analysis
2.8. Statistical Analysis
3. Results
3.1. Acute Phenotypic Responses and Exposure Verification in Water
3.2. Tissue Distribution of Glyphosate After Waterborne Exposure
3.3. Digestive Enzyme Responses in the Intestine
3.4. Innate Immune and Oxidative Stress Enzymes in Coelomic Fluid
3.5. Gut Microbiota Shifts Revealed by 16S rRNA Gene Sequencing
3.5.1. Community Composition Overview
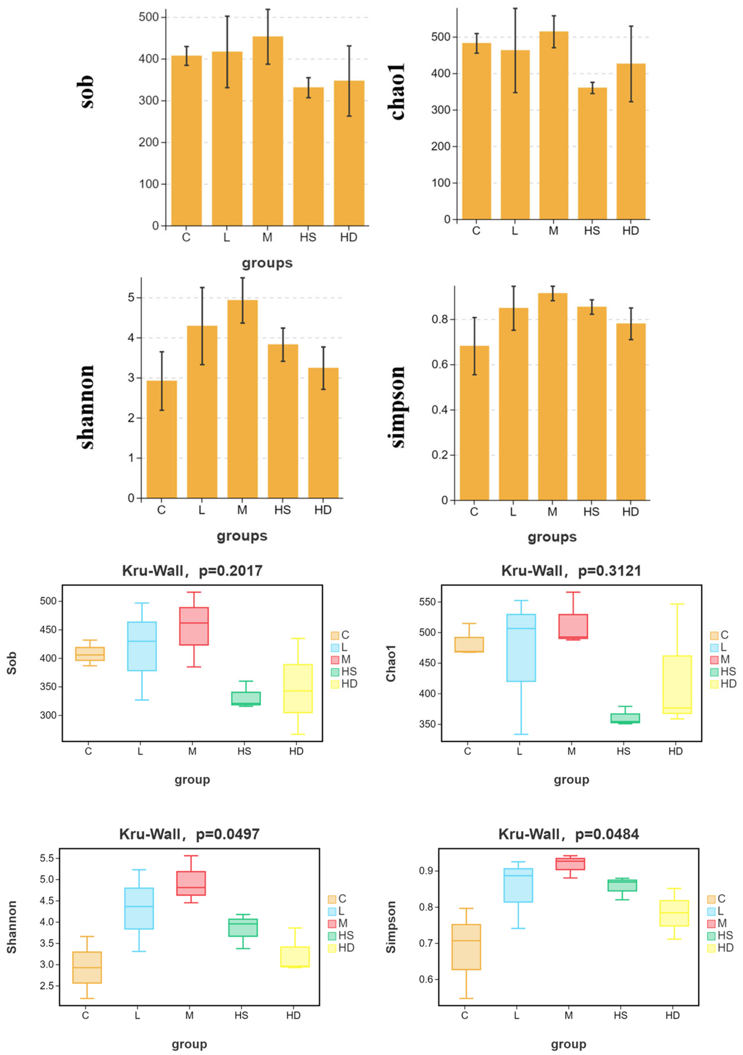
3.5.2. Alpha Diversity Patterns
3.5.3. Beta Diversity and PERMANOVA
3.5.4. Differential Taxa Identified by LefSe
4. Discussion
4.1. Exposure Characterization and Environmental Relevance
4.2. Acute Lethality Indicates Limited Tolerance at the Highest Exposure
4.3. Tissue Distribution Suggests Uptake via External Epithelia and Rapid Systemic Exposure
4.4. Oxidative Stress Is a Central Mechanism Linking Internal Dose to Functional Impairment
4.5. Digestive Enzyme Inhibition Implies Reduced Digestive Capacity and Energy Reallocation Under Stress
4.6. Microbiome Dysbiosis Provides a Sensitive and Integrative Endpoint
4.7. Implications for Aquatic Ecotoxicology and Sea Cucumber Aquaculture
4.8. Limitations and Future Directions
5. Conclusions
Author Contributions
Funding
Institutional Review Board Statement
Informed Consent Statement
Data Availability Statement
Acknowledgments
Conflicts of Interest
References
- Duke, S.O.; Powles, S.B. Glyphosate: A once-in-a-century herbicide. Pest Manag. Sci. 2008, 64, 319–325. [Google Scholar] [CrossRef] [PubMed]
- Klátyik, S.; Simon, G.; Oláh, M.; Takács, E. Aquatic ecotoxicity of glyphosate, its formulations, and co-formulants: Evidence from 2010 to 2023. Environ. Sci. Eur. 2024, 36, 26. [Google Scholar] [CrossRef]
- Duke, S.O. The history and current status of glyphosate. Pest Manag. Sci. 2018, 74, 1027–1034. [Google Scholar] [CrossRef]
- Rodríguez-Gil, J.L.; Prosser, R.S.; Duke, S.O.; Solomon, K.R. Ecotoxicology of Glyphosate, Its Formulants, and Environmental Degradation Products. Rev. Environ. Contam. Toxicol. 2021, 255, 129–205. [Google Scholar] [CrossRef] [PubMed]
- Carretta, L.; Masin, R.; Zanin, G. Review of studies analysing glyphosate and aminomethylphosphonic acid (AMPA) occurrence in groundwater. Environ. Rev. 2022, 30, 88–109. [Google Scholar] [CrossRef]
- Álvarez Bayona, M.A.; Maturana Córdoba, A.; Gallardo Amaya, R.J.; Muñoz Acevedo, A. Occurrence of glyphosate in surface and drinking water sources in Cúcuta, Norte de Santander, and its removal using membrane technology. Front. Environ. Sci. 2022, 10, 941836. [Google Scholar] [CrossRef]
- Tresnakova, N.; Stara, A.; Velisek, J. Effects of Glyphosate and Its Metabolite AMPA on Aquatic Organisms. Appl. Sci. 2021, 11, 9004. [Google Scholar] [CrossRef]
- European Food Safety Authority (EFSA). Peer review of the pesticide risk assessment of the active substance glyphosate. EFSA J. 2023, 21, e08164. [Google Scholar] [CrossRef]
- United States Environmental Protection Agency (US EPA). EPA Withdraws Glyphosate Interim Decision. 2022. Available online: https://www.epa.gov/pesticides/epa-withdraws-glyphosate-interim-decision (accessed on 18 February 2026).
- International Agency for Research on Cancer (IARC). Some Organophosphate Insecticides and Herbicides. IARC Monographs on the Evaluation of Carcinogenic Risks to Humans; IARC: Lyon, France, 2017; Volume 112. [Google Scholar]
- Rendón-von Osten, J.; Borges-Ramírez, M.M.; Ruiz-Velazco, N.G.; Helguera, E.; Arellano-Aguilar, O.; Peregrina-Lucano, A.A.; Lozano-Kasten, F. Glyphosate and AMPA in Groundwater, Surface Water, and Soils Related To Different Types of Crops in Mexico. Bull. Environ. Contam. Toxicol. 2025, 114, 44. [Google Scholar] [CrossRef]
- Li, Z.-M.; Kannan, K. Occurrence and Distribution of Glyphosate and Aminomethylphosphonic Acid in Surface Water, Drinking Water, Wastewater and Other Water Types from New York State, USA. Water Res. 2025, 286, 124232. [Google Scholar] [CrossRef]
- Wang, S.; Liu, B.; Yuan, D.; Ma, J. A simple method for the determination of glyphosate and aminomethylphosphonic acid in seawater matrix with high performance liquid chromatography and fluorescence detection. Talanta 2016, 161, 700–706. [Google Scholar] [CrossRef] [PubMed]
- Nedelkoska, T.V.; Low, G.K.-C. High-performance liquid chromatographic determination of glyphosate in water and plant material after pre-column derivatisation with 9-fluorenylmethyl chloroformate. Anal. Chim. Acta 2004, 511, 145–153. [Google Scholar] [CrossRef]
- Alonso, B.; Griffero, L.; Bentos Pereira, H.; Pareja, L.; Pérez Parada, A. Determination of glyphosate and AMPA in freshwater and soil from agroecosystems by 9-fluorenylmethoxycarbonyl chloride derivatization and liquid chromatography-fluorescence detection and tandem mass spectrometry. MethodsX 2022, 9, 101730. [Google Scholar] [CrossRef] [PubMed]
- Huang, Y.; Huang, Q.; Zhou, K.; Luo, X.; Long, W.; Yin, Z.; Huang, Z.; Hong, Y. Effects of glyphosate on neurotoxicity, oxidative stress and immune suppression in red swamp crayfish, Procambarus clarkii. Aquat. Toxicol. 2024, 275, 107050. [Google Scholar] [CrossRef]
- Ribeiro, Y.M.; Moreira, D.P.; Weber, A.A.; Sales, C.F.; Melo, R.M.C.; Bazzoli, N.; Rizzo, E.; Paschoalini, A.L. Adverse effects of herbicides in freshwater Neotropical fish: A review. Aquat. Toxicol. 2022, 252, 106293. [Google Scholar] [CrossRef]
- Mazuryk, J.; Klepacka, K.; Kutner, W.; Sharma, P.S. Glyphosate: Impact on the microbiota-gut-brain axis and the immune-nervous system, and clinical cases of multiorgan toxicity. Ecotoxicol. Environ. Saf. 2024, 271, 115965. [Google Scholar] [CrossRef]
- Gallardo-Gómez, Ú.; Juárez-Jiménez, B.; Correa-Galeote, D.; Zafra-Gómez, A. Sea cucumbers as bioindicators of pollution and sea cucumber microbiomes as markers of environmental stress: A review. J. Environ. Chem. Eng. 2025, 13, 119246. [Google Scholar] [CrossRef]
- Yu, J.; Sawabe, T.; Yamano, R.; Koike, S.; Sakai, Y.; Mino, S. Inferring potential causative microbial factors of intestinal atrophic disease in the sea cucumber Apostichopus japonicus. Front. Mar. Sci. 2023, 10, 1225318. [Google Scholar] [CrossRef]
- Zamora, L.N.; Yuan, X.; Carton, A.G.; Slater, M.J. Role of deposit-feeding sea cucumbers in integrated multitrophic aquaculture: Progress, problems, potential and future challenges. Rev. Aquac. 2018, 10, 57–74. [Google Scholar] [CrossRef]
- Mohsen, M.; Ismail, S.; Yuan, X.; Yu, Z.; Lin, C.; Yang, H. Sea cucumber physiological response to abiotic stress: Emergent con-taminants and climate change. Sci. Total Environ. 2024, 928, 172208. [Google Scholar] [CrossRef]
- Cui, L.; Xie, Y.; Luo, K.; Wang, M.; Liu, L.; Li, C.; Tian, X. Physiological and intestinal microbiota responses of sea cucumber Apostichopus japonicus to various stress and signatures of intestinal microbiota dysbiosis. Front. Microbiol. 2024, 15, 1528275. [Google Scholar] [CrossRef] [PubMed]
- Huo, D.; Su, F.; Zhang, L.; Yang, H.; Sun, L. Temperature and dissolved oxygen influence the immunity, digestion, and antioxidant level in sea cucumber Apostichopus japonicus. Front. Mar. Sci. 2022, 9, 1094814. [Google Scholar] [CrossRef]
- European Food Safety Authority (EFSA). Conclusion on the peer review of the pesticide risk assessment of the active substance glyphosate. EFSA J. 2015, 13, 4302. [Google Scholar] [CrossRef]
- U.S. Environmental Protection Agency (EPA). Glyphosate: Interim Registration Review Decision Case Number 0178. 2020. Available online: https://www.epa.gov/ingredients-used-pesticide-products/glyphosate (accessed on 18 February 2026).
- Zhao, J.; Chen, J.; Tian, X.; Jiang, L.; Cui, Q.; Sun, Y.; Wu, N.; Liu, G.; Ding, Y.; Wang, J. Amantadine Toxicity in Apostichopus japonicus Revealed by Proteomics. Toxics 2023, 11, 226. [Google Scholar] [CrossRef]
- Tian, X.; Li, H.; Zhang, X.; Xu, Y.; Zhang, H.; Han, D.; Liu, H.; Wang, B.; Cui, Y.; Liu, H.; et al. Effects of Acute and Chronic Exposure to Semicarbazide on the Sea Cucumber Apostichopus japonicus. Front. Environ. Sci. 2021, 9, 682221. [Google Scholar] [CrossRef]
- Wang, L.; Pei, H.; Xing, T.; Chen, D.; Chen, Y.; Hao, Z.; Tian, Y.; Ding, J. Gut bacteria and host metabolism: The keys to sea cucumber (Apostichopus japonicus) quality traits. Food Chem. 2025, 482, 144178. [Google Scholar] [CrossRef]
- Chen, D.; Pei, H.; Chen, Y.; Liu, A.; Xing, T.; Zhang, H.; Wang, L. Dietary Glycine and Methyl Donors Remodel Gut Microbiota to Enhance Collagen Synthesis in Sea Cucumber (Apostichopus japonicus). Biology 2025, 14, 1246. [Google Scholar] [CrossRef]
- SN/T 1923-2007; Determination of Glyphosate Residues in Food for Import and Export—HPLC-MS/MS Method. General Administration of Quality Supervision, Inspection and Quarantine of the People’s Republic of China (AQSIQ): Beijing, China, 2007.
- Mohsen, M.; Chenggang, L.; Sui, Y.; Yang, H. Fate of Microplastic Fibers in the Coelomic Fluid of the Sea Cucumber Apostichopus japonicus. Environ. Toxicol. Chem. 2023, 42, 205–212. [Google Scholar] [CrossRef]
- Yan, B.; Sun, Y.; Fu, K.; Zhang, Y.; Lei, L.; Men, J.; Guo, Y.; Wu, S.; Han, J.; Zhou, B. Effects of glyphosate exposure on gut-liver axis: Metabolomic and mechanistic analysis in grass carp (Ctenopharyngodon idellus). Sci. Total Environ. 2023, 902, 166062. [Google Scholar] [CrossRef]
- Zhao, Y.; Jia, C.; Gao, F.; Zhang, H. Gut microbiota of sea cucumbers, with a focus on Apostichopus japonicus. In The World of Sea Cucumbers; Academic Press: Cambridge, MA, USA, 2024; pp. 469–482. [Google Scholar] [CrossRef]
- Moraes, J.S.; Ballesteros, M.L.; Hued, A.C.; Bonifacio, A.F.; Azambuja, T.G.; Vaz, B.D.S.; Martins, C.M.G. Glyphosate and its formulated product Roundup Transorb R® affect locomotor activity and reproductive and developmental parameters in Jenynsia lineata fish: An intergenerational study. Chemosphere 2024, 362, 142541. [Google Scholar] [CrossRef]
- Iwalaye, O.A.; Moodley, G.K.; Robertson-Andersson, D.V. The possible routes of microplastics uptake in sea cucumber Holothuria cinerascens (Brandt, 1835). Environ. Pollut. 2020, 264, 114644. [Google Scholar] [CrossRef]
- Zhu, M.; Wang, Z.; Chen, J.; Xie, H.; Zhao, H.; Yuan, X. Bioaccumulation, Biotransformation, and Multicompartmental Toxicokinetic Model of Antibiotics in Sea Cucumber (Apostichopus japonicus). Environ. Sci. Technol. 2020, 54, 13175–13185. [Google Scholar] [CrossRef]
- Drewek, A.; Lubawy, J.; Domek, P.; Polak, J.; Słocińska, M.; Dzięgelewska, A.; Klimaszyk, P. Behavioral and Biochemical Effects of Glyphosate-Based Herbicide Roundup on Unionid Mussels: Are Mussels Good Indicators of Water Pollution with Glyphosate-Based Pesticides? Water 2024, 16, 1882. [Google Scholar] [CrossRef]
- Sun, Y.; Wang, S.; Wang, C.; Wang, M.; Kang, W.; Qu, L.; Song, J.; Zhao, C.; Wang, Q. Impact of Starfish Predatory Pressure on the Immune and Antioxidant Functions of Sea Cucumber Apostichopus japonicus. Fishes 2024, 9, 337. [Google Scholar] [CrossRef]
- Song, M.; Zhang, S.; Xiao, K.; Zhang, X.; Li, C. Intestinal microbiota protects Vibrio splendidus-induced intestinal epithelium damage by inhibiting apoptosis and promoting proliferation in Apostichopus japonicus. Aquaculture 2024, 588, 740924. [Google Scholar] [CrossRef]
- Matsuzaki, R.; Gunnigle, E.; Geissen, V.; Clarke, G.; Nagpal, J.; Cryan, J.F. Pesticide exposure and the microbiota-gut-brain axis. ISME J. 2023, 17, 1153–1166. [Google Scholar] [CrossRef]









Disclaimer/Publisher’s Note: The statements, opinions and data contained in all publications are solely those of the individual author(s) and contributor(s) and not of MDPI and/or the editor(s). MDPI and/or the editor(s) disclaim responsibility for any injury to people or property resulting from any ideas, methods, instructions or products referred to in the content. |
© 2026 by the authors. Licensee MDPI, Basel, Switzerland. This article is an open access article distributed under the terms and conditions of the Creative Commons Attribution (CC BY) license.
Share and Cite
Sun, J.; Kuang, S.; Yang, H. Physiological Stress Signatures of Waterborne Glyphosate Exposure in Apostichopus japonicus: Insights for Aquatic Ecotoxicology. Toxics 2026, 14, 282. https://doi.org/10.3390/toxics14040282
Sun J, Kuang S, Yang H. Physiological Stress Signatures of Waterborne Glyphosate Exposure in Apostichopus japonicus: Insights for Aquatic Ecotoxicology. Toxics. 2026; 14(4):282. https://doi.org/10.3390/toxics14040282
Chicago/Turabian StyleSun, Jingchun, Shaoping Kuang, and Hongsheng Yang. 2026. "Physiological Stress Signatures of Waterborne Glyphosate Exposure in Apostichopus japonicus: Insights for Aquatic Ecotoxicology" Toxics 14, no. 4: 282. https://doi.org/10.3390/toxics14040282
APA StyleSun, J., Kuang, S., & Yang, H. (2026). Physiological Stress Signatures of Waterborne Glyphosate Exposure in Apostichopus japonicus: Insights for Aquatic Ecotoxicology. Toxics, 14(4), 282. https://doi.org/10.3390/toxics14040282

