Sign in to use this feature.

Years

Between: -

Subjects

remove_circle_outline
remove_circle_outline
remove_circle_outline
remove_circle_outline
remove_circle_outline
remove_circle_outline
remove_circle_outline

Journals

Article Types

Countries / Regions

Search Results (21)

Search Parameters:
Keywords = friendly jamming

Order results
Result details
Results per page
Select all
Export citation of selected articles as:
17 pages, 2889 KB  
Technical Note
Increasing Computational Efficiency of a River Ice Model to Help Investigate the Impact of Ice Booms on Ice Covers Formed in a Regulated River
by Karl-Erich Lindenschmidt, Mojtaba Jandaghian, Saber Ansari, Denise Sudom, Sergio Gomez, Stephany Valarezo Plaza, Amir Ali Khan, Thomas Puestow and Seok-Bum Ko
Water 2026, 18(2), 218; https://doi.org/10.3390/w18020218 - 14 Jan 2026
Viewed by 347
Abstract
The formation and stability of river ice covers in regulated waterways are critical for uninterrupted hydro-electric operations. This study investigates the modelling of ice cover development in the Beauharnois Canal along the St. Lawrence River with the presence and absence of ice booms. [...] Read more.
The formation and stability of river ice covers in regulated waterways are critical for uninterrupted hydro-electric operations. This study investigates the modelling of ice cover development in the Beauharnois Canal along the St. Lawrence River with the presence and absence of ice booms. Ice booms are deployed in this canal to promote the rapid formation of a stable ice cover during freezing events, minimizing disruptions to dam operations. Remote sensing data were used to assess the spatial extent and temporal evolution of an ice cover and to calibrate the river ice model RIVICE. The model was applied to simulate ice formation for the 2019–2020 ice season, first for the canal with a series of three ice booms and then rerun under a scenario without booms. Comparative analysis reveals that the presence of ice booms facilitates the development of a relatively thinner and more uniform ice cover. In contrast, the absence of booms leads to thicker ice accumulations and increased risk of ice jamming, which could impact water management and hydroelectric generation operations. Computational efficiencies of the RIVICE model were also sought. RIVICE was originally compiled with a Fortran 77 compiler, which restricted modern optimization techniques. Recompiling with NVFortran significantly improved performance through advanced instruction scheduling, cache management, and automatic loop analysis, even without explicit optimization flags. Enabling optimization further accelerated execution, albeit marginally, reducing redundant operations and memory traffic while preserving numerical integrity. Tests across varying ice cross-sectional spacings confirmed that NVFortran reduced runtimes by roughly an order of magnitude compared to the original model. A test GPU (Graphics Processing Unit) version was able to run the data interpolation routines on the GPU, but frequent data transfers between the CPU (Central Processing Unit) and GPU caused by shared memory blocks and fixed-size arrays made it slower than the original CPU version. Achieving efficient GPU execution would require substantial code restructuring to eliminate global states, adopt persistent data regions, and parallelize at higher level loops, or alternatively, rewriting in a GPU-friendly language to fully exploit modern architectures. Full article
Show Figures

Figure 1

19 pages, 4221 KB  
Article
Bio-Based Interpolyelectrolyte Complexes for the Stabilization of Pickering-like Emulsions
by Francisco Joel Guerrero-Vasquez, Francisco Ortega, Ramón G. Rubio and Eduardo Guzmán
Colloids Interfaces 2025, 9(1), 9; https://doi.org/10.3390/colloids9010009 - 22 Jan 2025
Cited by 3 | Viewed by 1753
Abstract
This work studies the stabilization of Pickering-like emulsions using dispersions of interpolyelectrolyte complexes (IPECs) formed by chitosan (CS) and sodium alginate (ALG), two polymers from natural resources, as the aqueous phase and soybean oil as the oil phase. The ability of these bio-based [...] Read more.
This work studies the stabilization of Pickering-like emulsions using dispersions of interpolyelectrolyte complexes (IPECs) formed by chitosan (CS) and sodium alginate (ALG), two polymers from natural resources, as the aqueous phase and soybean oil as the oil phase. The ability of these bio-based IPECs to form stable emulsions was evaluated by varying the compositional ratio of CS to ALG (Z-ratio) and the oil volume fraction (ϕo). Turbidity, zeta potential, and dynamic light scattering measurements revealed the dependence of IPEC properties on the Z-ratio, with phase separation observed near stoichiometric ratios. Phase diagram analysis showed that stable oil-in-water (O/W) and water-in-oil (W/O) emulsions could be obtained under certain combinations of the Z-ratio and ϕo. Emulsion stability increased with higher Z-ratios due to increased interfacial activity of the complexes and reduced coalescence. Emulsions with high ϕo exhibited transitions from discrete droplets to bicontinuous interfacially jammed emulsion gels (bijels), suggesting tunable morphologies. These results highlight the potential of CHI-ALG IPECs as eco-friendly and efficient stabilizers of Pickering-like emulsions for applications in food, cosmetics and pharmaceuticals. Full article
Show Figures

Figure 1

14 pages, 1096 KB  
Article
An Integrated Approach to Develop Innovative, Sustainable, and Effective Cosmetic Ingredients: The Case Report of Fatty-Acids-Enriched Wild Strawberry Waste Extract
by Marta Faggian, Silvia Lucchetti, Sara Ferrari, Gabriele De Nadai, Stefano Francescato, Giovanni Baratto, Nicola De Zordi, Silvia-Maria Stanic, Gregorio Peron, Stefania Sut, Alessandra Semenzato and Stefano Dall’Acqua
Appl. Sci. 2024, 14(22), 10603; https://doi.org/10.3390/app142210603 - 17 Nov 2024
Cited by 3 | Viewed by 2483
Abstract
The sourcing of raw materials with low environmental impact, e.g., “upcycled” ingredients from short supply chains, has currently become necessary, and agri-food waste represents a very attractive hub to produce innovative cosmetic extracts. In this paper, an integrated approach considering all the different [...] Read more.
The sourcing of raw materials with low environmental impact, e.g., “upcycled” ingredients from short supply chains, has currently become necessary, and agri-food waste represents a very attractive hub to produce innovative cosmetic extracts. In this paper, an integrated approach considering all the different steps, starting from material selection, extraction, chemical characterization, biological activity evaluation, and environmental impact calculation, was adopted to obtain innovative, sustainable, and effective cosmetic raw materials from food waste. As case report, a supercritical CO2 extract obtained from wild-strawberry-processing waste after jam production (WSWSCO2 extract) was developed. The fatty acids profile of the waste material and WSWSCO2 extract was investigated via a GC–MS method, and mainly polyunsaturated fatty acids (PUFAs) such as linoleic and linolenic acids were detected. Furthermore, the ability of the WSWSCO2 extract to inhibit 5α-reductase type 1 expression in skin fibroblasts was assessed, confirming significant efficacy at the dose of 5 mg/mL. Finally, in view of the eco-sustainability approach, the environmental impact related to WSWSCO2 extract was calculated using a life cycle assessment (LCA) analytical approach, considering different parameters and indicators (e.g., carbon footprint) and verifying the eco-friendly approach in extract development and production. Although further research is needed, for example, to check the full composition of the extract and its effect on skin cells, these results suggest that the WSWSCO2 extract may represent an innovative and sustainable ingredient for cosmetic applications especially in topical preparation for the treatment of some androgenic-related discomfort, such as acne and androgenic alopecia, reflecting the potentiality of the holistic and pioneering approach related to ingredient development presented in this study for the cosmetic sector. Full article
(This article belongs to the Special Issue Cosmetics Ingredients Research - 2nd Edition)
Show Figures

Figure 1

29 pages, 4478 KB  
Article
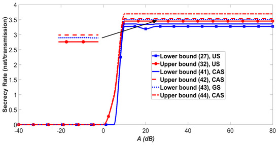
Secrecy Rate Bounds in Spatial Modulation-Based Visible Light Communications under Signal-Dependent Noise Conditions
by Yahya M. Al-Moliki, Ali H. Alqahtani, Mohammed T. Alresheedi and Yahya Al-Harthi
Photonics 2024, 11(10), 934; https://doi.org/10.3390/photonics11100934 - 3 Oct 2024
Viewed by 1550
Abstract
This study examines the physical-layer security of an indoor visible light communication (VLC) system using spatial modulation (SM), which consists of several transmitters, an authorized receiver, and a passive adversary. The SM technique is applied at the transmitters so that only one transmitter [...] Read more.
This study examines the physical-layer security of an indoor visible light communication (VLC) system using spatial modulation (SM), which consists of several transmitters, an authorized receiver, and a passive adversary. The SM technique is applied at the transmitters so that only one transmitter is operational at any given time. A uniform selection (US) strategy is employed to choose the active transmitter. The two scenarios under examination encompass the conditions of non-negativity and average optical intensity, as well as the conditions of non-negativity, average optical intensity, and peak optical intensity. The secrecy rate is then obtained for these two scenarios while accounting for both signal-independent noise and signal-dependent noise. Additionally, the high signal-to-noise ratio (SNR) asymptotic behavior of the derived secrecy rate constraints is investigated. A channel-adaptive selection (CAS) strategy and a greedy selection (GS) scheme are utilized to select the active transmitter, aiming to enhance the secrecy performance. The current numerical findings affirm a pronounced convergence between the lower and upper bounds characterizing the secrecy rate. Notably, marginal asymptotic differentials in performance emerge at elevated SNRs. Furthermore, the GS system outperforms the CAS scheme and the US method, in that order. Additionally, the impact of friendly optical jamming on the secrecy rate is investigated. The results show that optical jamming significantly enhances the secrecy rate, particularly at higher power levels. Full article
(This article belongs to the Section Optical Communication and Network)
Show Figures

Figure 1

19 pages, 7383 KB  
Article
Global Navigation Satellite Systems Signal Vulnerabilities in Unmanned Aerial Vehicle Operations: Impact of Affordable Software-Defined Radio
by Andrej Novák, Kristína Kováčiková, Branislav Kandera and Alena Novák Sedláčková
Drones 2024, 8(3), 109; https://doi.org/10.3390/drones8030109 - 20 Mar 2024
Cited by 20 | Viewed by 3940
Abstract
Spoofing, alongside jamming of the Global Navigation Satellite System signal, remains a significant hazard during general aviation or Unmanned Aerial Vehicle operations. As aircraft utilize various support systems for navigation, such as INS, an insufficient Global Navigation Satellite System signal renders Unmanned Aerial [...] Read more.
Spoofing, alongside jamming of the Global Navigation Satellite System signal, remains a significant hazard during general aviation or Unmanned Aerial Vehicle operations. As aircraft utilize various support systems for navigation, such as INS, an insufficient Global Navigation Satellite System signal renders Unmanned Aerial Vehicles nearly uncontrollable, thereby posing increased danger to operations within airspace and to individuals on the ground. This paper primarily focuses on assessing the impact of the budget friendly Software-Defined Radio, HackRF One 1.0, on the safety of Unmanned Aerial Vehicles operations. Considering the widespread use of Software-Defined Radio devices today, with some being reasonably inexpensive, understanding their influence on Unmanned Aerial Vehicles safety is crucial. The generation of artificial interference capable of posing a potential threat in expanding Unmanned Aerial Vehicles airspace is deemed unacceptable. Full article
(This article belongs to the Section Drone Communications)
Show Figures

Figure 1

14 pages, 4863 KB  
Article
Tailored Gas Sensors as Rapid Technology to Support the Jams Production
by Giuseppe Greco, Estefanía Núñez-Carmona, Dario Genzardi, Linda Bianchini, Pierpaolo Piccoli, Ivano Zottele, Armando Tamanini, Carola Motolose, Antonello Scalmato, Giorgio Sberveglieri and Veronica Sberveglieri
Chemosensors 2023, 11(7), 403; https://doi.org/10.3390/chemosensors11070403 - 19 Jul 2023
Cited by 3 | Viewed by 2003
Abstract
Nowadays, innovation in food technologies is fundamental and consumers are increasingly aware and demanding. To create a final product that is more and more appealing, health and safety guidelines are pushing towards new challenges. It is precisely due to the high quality required [...] Read more.
Nowadays, innovation in food technologies is fundamental and consumers are increasingly aware and demanding. To create a final product that is more and more appealing, health and safety guidelines are pushing towards new challenges. It is precisely due to the high quality required by the producers that the aim discussed in this project has been conceived. Until today, the controls on the entire production line have been slowed down by the limitations of the technologies involved, including the high cost of instrumentation for microbiological analysis, the need for qualified personnel to carry them out, the long execution times and the invasiveness of the techniques themselves. This project has, therefore, proposed a user-friendly solution that is minimally invasive, fast and at a lower cost. This system makes use of classical microbiological analysis and, in parallel, use of an innovative electronic-nose small sensor system (S3+), which can be trained to recognize the volatile fingerprint of a specific product and customized for a specific use. The aim of this project was to develop a system that is able to detect the mold contamination on fruit and vegetable jams and marmalades, using a new kind of innovative metal semiconductor gas sensor (MOS) device. The application of this technology has, therefore, made it possible to classify various samples of uncontaminated and contaminated fruit and vegetable preparations. Thanks to the classification implemented by a data-driven algorithm, it has been possible to build an anomaly detector that is able to recognize the occurrence of possible contamination, thus acting as an early alert system in the food chain. All this will occur in less than 1 min once the system is trained, in contrast with classical microbiological or chemical techniques that normally require longer timeframes to obtain a result and involve the use of reagents, increasing the costs. Full article
Show Figures

Figure 1

25 pages, 965 KB  
Article
Wireless Local Area Networks Threat Detection Using 1D-CNN
by Marek Natkaniec and Marcin Bednarz
Sensors 2023, 23(12), 5507; https://doi.org/10.3390/s23125507 - 12 Jun 2023
Cited by 15 | Viewed by 4788
Abstract
Wireless Local Area Networks (WLANs) have revolutionized modern communication by providing a user-friendly and cost-efficient solution for Internet access and network resources. However, the increasing popularity of WLANs has also led to a rise in security threats, including jamming, flooding attacks, unfair radio [...] Read more.
Wireless Local Area Networks (WLANs) have revolutionized modern communication by providing a user-friendly and cost-efficient solution for Internet access and network resources. However, the increasing popularity of WLANs has also led to a rise in security threats, including jamming, flooding attacks, unfair radio channel access, user disconnection from access points, and injection attacks, among others. In this paper, we propose a machine learning algorithm to detect Layer 2 threats in WLANs through network traffic analysis. Our approach uses a deep neural network to identify malicious activity patterns. We detail the dataset used, including data preparation steps, such as preprocessing and division. We demonstrate the effectiveness of our solution through series of experiments and show that it outperforms other methods in terms of precision. The proposed algorithm can be successfully applied in Wireless Intrusion Detection Systems (WIDS) to enhance the security of WLANs and protect against potential attacks. Full article
(This article belongs to the Special Issue Intrusion Detection Systems for Broadband Wireless Sensor Networks)
Show Figures

Figure 1

23 pages, 1529 KB  
Article
Citizen Perception and Ex Ante Acceptance of a Low-Emission Zone Implementation in a Medium-Sized Spanish City
by Montaña Jiménez-Espada, Francisco Manuel Martínez García and Rafael González-Escobar
Buildings 2023, 13(1), 249; https://doi.org/10.3390/buildings13010249 - 16 Jan 2023
Cited by 12 | Viewed by 4125
Abstract
The public decision-making process at the municipal level becomes extremely complicated for government managers when unpopular measures must be adopted. In this sense, citizen participation processes become a tool of undoubted added value that allows municipalities to adapt their policies to the needs [...] Read more.
The public decision-making process at the municipal level becomes extremely complicated for government managers when unpopular measures must be adopted. In this sense, citizen participation processes become a tool of undoubted added value that allows municipalities to adapt their policies to the needs and feelings of their inhabitants. The aim of this research was to focus on addressing the point of view of the citizens of a medium-sized Spanish city in the face of the imminent implementation of a low-emission zone, in order to identify which aspects were of concern to citizens. The methodology used in the research was based on a declared preferences survey that allowed us to determine the daily behaviour of the user in terms of urban mobility and to anticipate the citizen’s reaction to the implementation of socially unacceptable initiatives, such as restrictions on access, circulation, and the parking of vehicles. The results obtained in relation to the consultation on alternative measures to tackle pollution, noise and traffic jams showed that citizens are receptive to improvements in universal accessibility, subsidies for public transport, increased road safety for PMV’s infrastructure, subsidies for the purchase of environmentally friendly vehicles and PMV, and the promotion of pedestrianisation. However, there are undoubted threats to the implementation of the LEZ, such as the lack of acceptance of the measure. Therefore, it is considered imperative for public administrations to work on the search for sustainable actions that contribute to improving the degree of compliance with the measure, while at the same time making an effort to disseminate the advantages of the LEZ for the quality of life and health of citizens (through information campaigns). There is a knowledge gap in scientific research on the ex ante assessment of the effects of possible transport measures to improve air quality in city centres and consultation through citizen participation. It is estimated that the resolution of this research gap could contribute to a more feasible, reasonable, and effective implementation of various urban mobility policies in medium-sized Spanish cities. Full article
(This article belongs to the Special Issue Advances in Sustainable and Smart Cities)
Show Figures

Figure 1

28 pages, 1050 KB  
Article
Physical Layer Security in Two-Way SWIPT Relay Networks with Imperfect CSI and a Friendly Jammer
by Maymoona Hayajneh and Thomas Aaron Gulliver
Entropy 2023, 25(1), 122; https://doi.org/10.3390/e25010122 - 6 Jan 2023
Cited by 6 | Viewed by 3220
Abstract
In this paper, the security of two-way relay communications in the presence of a passive eavesdropper is investigated. Two users communicate via a relay that depends solely on energy harvesting to amplify and forward the received signals. Time switching is employed at the [...] Read more.
In this paper, the security of two-way relay communications in the presence of a passive eavesdropper is investigated. Two users communicate via a relay that depends solely on energy harvesting to amplify and forward the received signals. Time switching is employed at the relay to harvest energy and obtain user information. A friendly jammer is utilized to hinder the eavesdropping from wiretapping the information signal. The eavesdropper employs maximal ratio combining and selection combining to improve the signal-to-noise ratio of the wiretapped signals. Geometric programming (GP) is used to maximize the secrecy capacity of the system by jointly optimizing the time switching ratio of the relay and transmit power of the two users and jammer. The impact of imperfect channel state information at the eavesdropper for the links between the eavesdropper and the other nodes is determined. Further, the secrecy capacity when the jamming signal is not perfectly cancelled at the relay is examined. The secrecy capacity is shown to be greater with a jammer compared to the case without a jammer. The effect of the relay, jammer, and eavesdropper locations on the secrecy capacity is also studied. It is shown that the secrecy capacity is greatest when the relay is at the midpoint between the users. The closer the jammer is to the eavesdropper, the higher the secrecy capacity as the shorter distance decreases the signal-to-noise ratio of the jammer. Full article
(This article belongs to the Collection Feature Papers in Information Theory)
Show Figures

Figure 1

15 pages, 754 KB  
Review
Anthocyanins from Agro-Industrial Food Waste: Geographical Approach and Methods of Recovery—A Review
by Zoriţa Diaconeasa, Cristian I. Iuhas, Huseyin Ayvaz, Mustafa Mortas, Anca Farcaş, Mihaela Mihai, Corina Danciu and Andreea Stanilă
Plants 2023, 12(1), 74; https://doi.org/10.3390/plants12010074 - 23 Dec 2022
Cited by 36 | Viewed by 5288
Abstract
Drastic growth in the amount of global food waste produced is observed every year, not only due to incessant population growth but also economic growth, lifestyle, and diet changes. As a result of their increasing health awareness, people are focusing more on healthy [...] Read more.
Drastic growth in the amount of global food waste produced is observed every year, not only due to incessant population growth but also economic growth, lifestyle, and diet changes. As a result of their increasing health awareness, people are focusing more on healthy diets rich in fruits and vegetables. Thus, following worldwide fruit and vegetable consumption and their processing in various industries (juice, jams, wines, preserves), significant quantities of agro-industrial waste are produced (pomace, peels, seeds) that still contain high concentrations of bioactive compounds. Among bioactive compounds, anthocyanins have an important place, with their multiple beneficial effects on health; therefore, their extraction and recovery from food waste have become a topic of interest in recent years. Accordingly, this review aims to summarize the primary sources of anthocyanins from food waste and the novel eco-friendly extraction methods, such as pulsed electric field extraction, enzyme-assisted extraction, supercritical fluid extraction, pressurized liquid extraction, microwave-assisted extraction, and ultrasonic-assisted extraction. The advantages and disadvantages of these techniques will also be covered to encourage future studies and opportunities focusing on improving these extraction techniques. Full article
(This article belongs to the Special Issue Antioxidant Activity of Plant Extracts)
Show Figures

Figure 1

25 pages, 5035 KB  
Article
A Systems Analysis of Energy Usage and Effectiveness of a Counter-Unmanned Aerial System Using a Cyber-Attack Approach
by Chee Hoe Lee, Christian Thiessen, Douglas L. Van Bossuyt and Britta Hale
Drones 2022, 6(8), 198; https://doi.org/10.3390/drones6080198 - 9 Aug 2022
Cited by 5 | Viewed by 5050
Abstract
Existing counter-unmanned aerial system (C-UAS) defensive mechanisms rely heavily on radio frequency (RF) jamming techniques that require a large amount of energy to operate. The effects of RF jamming result in undesirable consequences, such as the jamming of other nearby friendly radio devices [...] Read more.
Existing counter-unmanned aerial system (C-UAS) defensive mechanisms rely heavily on radio frequency (RF) jamming techniques that require a large amount of energy to operate. The effects of RF jamming result in undesirable consequences, such as the jamming of other nearby friendly radio devices as well as the increase in RF footprint for local operators. Current cybersecurity analysis of commercial off-the-shelf (COTS) UASs have revealed multiple vulnerabilities that give rise to opportunities to conduct C-UAS operations in the cyber domain. This is achieved by performing cyber-attacks on adversarial UASs through hijacking the device-specific communication’s link on a narrow RF band and without the need for broad-spectrum RF energy bursts during C-UAS operations, which can result in lower energy usage to accomplish the same outcome. This article validates the cyber-attack C-UAS (CyC-UAS) concept through reviewing recent C-UAS operational experimental scenarios and conducting analysis on the collected data. Then, a simulation model of a defense facility is constructed to analyze and validate specific mission scenarios of interest and several proposed concepts of operation. A comparison of the energy requirements between CyC-UAS and existing C-UAS techniques is performed to assess energy efficiency and trade-offs of different C-UAS approaches. In this article, the comparison of energy requirements between the CyC-UAS prototype and existing C-UAS products that utilize RF jamming methods reveals that CyC-UAS achieves significant energy savings while not affecting other telecommunication devices operating at the same frequencies. While both the C-UAS techniques adopt the denial-of-service strategy, the CyC-UAS is able to achieve the same mission by consuming much less energy. Therefore, the CyC-UAS concept shows promise as a new, lower energy, and lower collateral damage approach to defending against UAS. Full article
Show Figures

Figure 1

22 pages, 1487 KB  
Article
Design of Relay Switching to Combat an Eavesdropper in IoT-NOMA Wireless Networks
by Thanh-Nam Tran, Van-Cuu Ho, Thoai Phu Vo, Khanh Ngo Nhu Tran and Miroslav Voznak
Future Internet 2022, 14(3), 71; https://doi.org/10.3390/fi14030071 - 24 Feb 2022
Cited by 2 | Viewed by 3415
Abstract
The requirements of low latency, low cost, less energy consumption, high flexibility, high network capacity, and high data safety are crucial challenges for future Internet of Things (IoT) wireless networks. Motivated by these challenges, this study deals with a novel design of green-cooperative [...] Read more.
The requirements of low latency, low cost, less energy consumption, high flexibility, high network capacity, and high data safety are crucial challenges for future Internet of Things (IoT) wireless networks. Motivated by these challenges, this study deals with a novel design of green-cooperative IoT network, which employed coupled relays consisting of one IoT relay selected for forwarding signals to multiple IoT devices while another IoT relay transmitted jamming signals to an eavesdropper. For flexibility, all IoT nodes were powered by solar energy enough to sustain themselves, in order to consume less energy. To reach low latency, the study adopted the emerging non-orthogonal multiple access technique to serve multiple IoT devices simultaneously. Furthermore, the study adopted the simultaneous wireless information and power transfer technique which transmits wireless data for information processing and energy for energy harvesting. The study sketched a novel transmission block time period framework which plotted how a signal could travel via an individual IoT model. Maximizing the achievable bit-rate of IoT devices was considered to improve network capacity and data safety as well. Aiming at enhancing secrecy performance, a rest IoT relay played a role as a friendly jammer to transmit a jamming signal to an eavesdropper using energy harvested from the power splitting protocol. The results achieved in this study showed that the proposed model satisfied the requirements of future green IoT wireless networks. Derivatives leading to closed-form expressions are presented and verified by simulation results. The investigated results demonstrated that a friendly jammer based on radio frequency and energy harvesting strongly forces the intercept probability performance of the eavesdropper towards one, while outage probability performance of IoT devices towards zero showed that the signal to noise ratio tends to infinity. Full article
(This article belongs to the Special Issue 6G Wireless Channel Measurements and Models: Trends and Challenges)
Show Figures

Figure 1

16 pages, 2218 KB  
Article
Cooperative Friendly Jamming Techniques for Drone-Based Mobile Secure Zone
by Ga-Hye Jeon, Ji-Hyun Lee, Yeon-Su Sung, Hyun-Ju Park, You-Jin Lee, Sun-Woo Yun and Il-Gu Lee
Sensors 2022, 22(3), 865; https://doi.org/10.3390/s22030865 - 24 Jan 2022
Cited by 14 | Viewed by 6088
Abstract
Threats of eavesdropping and information leakages have increased sharply owing to advancements in wireless communication technology. In particular, the Internet of Things (IoT) has become vulnerable to sniffing or jamming attacks because broadcast communication is usually conducted in open-network environments. Although improved security [...] Read more.
Threats of eavesdropping and information leakages have increased sharply owing to advancements in wireless communication technology. In particular, the Internet of Things (IoT) has become vulnerable to sniffing or jamming attacks because broadcast communication is usually conducted in open-network environments. Although improved security protocols have been proposed to overcome the limitations of wireless-communication technology and to secure safe communication channels, they are difficult to apply to mobile communication networks and IoT because complex hardware is required. Hence, a novel security model with a lighter weight and greater mobility is needed. In this paper, we propose a security model applying cooperative friendly jamming using artificial noise and drone mobility, which are autonomous moving objects, and we demonstrate the prevention of eavesdropping and improved security through simulations and field tests. The Cooperative Friendly Jamming Techniques for Drone-based Mobile Secure Zone (CFJ-DMZ) can set a secure zone in a target area to support a safe wireless mobile communication network through friendly jamming, which can effectively reduce eavesdropping threats. According to the experimental results, the average information leakage rate of the eavesdroppers in CFJ-DMZ-applied scenarios was less than or equal to 3%, an average improvement of 92% over conventional methods. Full article
Show Figures

Figure 1

16 pages, 2229 KB  
Article
Qualitative Validation Approach Using Digital Model for the Health Management of Electromechanical Actuators
by Pablo Garza, Suresh Perinpanayagam, Sohaib Aslam and Andrew Wileman
Appl. Sci. 2020, 10(21), 7809; https://doi.org/10.3390/app10217809 - 4 Nov 2020
Cited by 14 | Viewed by 3981
Abstract
An efficient and all-inclusive health management encompassing condition-based maintenance (CBM) environment plays a pivotal role in enhancing the useful life of mission-critical systems. Leveraging high fidelity digital modelling and simulation, scalable to digital twin (DT) representation, quadruples their performance prediction and health management [...] Read more.
An efficient and all-inclusive health management encompassing condition-based maintenance (CBM) environment plays a pivotal role in enhancing the useful life of mission-critical systems. Leveraging high fidelity digital modelling and simulation, scalable to digital twin (DT) representation, quadruples their performance prediction and health management regime. The work presented in this paper does exactly the same for an electric braking system (EBS) of a more-electric aircraft (MEA) by developing a highly representative digital model of its electro-mechanical actuator (EMA) and integrating it with the digital model of anti-skid braking system (ABS). We have shown how, when supported with more-realistic simulation and the application of a qualitative validation approach, various fault modes (such as open circuit, circuit intermittence, and jamming) are implemented in an EMA digital model, followed by their impact assessment. Substantial performance degradation of an electric braking system is observed along with associated hazards as different fault mode scenarios are introduced into the model. With the subsequent qualitative validation of an EMA digital model, a complete performance as well as reliability profile of an EMA can be built to enable its wider deployment and safe integration with a larger number of aircraft systems to achieve environmentally friendly objectives of the aircraft industry. Most significantly, the qualitative validation provides an efficient method of identifying various fault modes in an EMA through rapid monitoring of associated sensor signals and their comparative analysis. It is envisaged that when applied as an add-on in digital twin environment, it would help enhance its CBM capability and improve the overall health management regime of electric braking systems in more-electric aircraft. Full article
(This article belongs to the Section Applied Industrial Technologies)
Show Figures

Figure 1

15 pages, 4523 KB  
Article
A Novel Design and Implementation of Autonomous Robotic Car Based on ROS in Indoor Scenario
by Chunmei Liu, Chengmin Zhou, Wen Cao, Fei Li and Pengfei Jia
Robotics 2020, 9(1), 19; https://doi.org/10.3390/robotics9010019 - 24 Mar 2020
Cited by 12 | Viewed by 10804
Abstract
Pervasive deployment of autonomous vehicle all over the world is an undisputed trend in the future. Autonomous vehicle will inevitably play an essential role in decreasing traffic jams, reducing threats from driving while intoxicated (DWI), and assisting the handicapped to get around. At [...] Read more.
Pervasive deployment of autonomous vehicle all over the world is an undisputed trend in the future. Autonomous vehicle will inevitably play an essential role in decreasing traffic jams, reducing threats from driving while intoxicated (DWI), and assisting the handicapped to get around. At the same time, the new energy vehicles (NEV) especially the electromobile is gradually adopted by several governments like Germany, USA and China as compulsive transportation tools from the standpoint of environmental friendliness. Taking these two crucial trends into consideration, this article proposes a scheme of autonomous robotic car based on robot operation system (ROS) in electromobile-like car which can be easily transplanted to commercial electromobile. In this article, the design and implementation of robotic car are demonstrated in detail which involves overall architecture of functional modules, hardware design, obstacle avoidance, localization and mapping, land detection and tracking, velocity control and indoor navigation. All software modules and hardware are integrated in NVIDIA Jetson TX1 and TRAXXAS car. Full article
(This article belongs to the Section Industrial Robots and Automation)
Show Figures

Figure 1

Back to TopTop