Secure Communication in Cooperative SWIPT NOMA Systems with Non-Linear Energy Harvesting and Friendly Jamming
Abstract
1. Introduction
- We propose a store-and-transmit (SaT) scheme providing multi-transmit-power levels (MTPLs) at the EH relay. This simplifies the design of EH transceivers, reduces the energy wasted due to ineffective connectivity, and enables the relay to store a part of energy to maintain its important activities (for the harvest-to-transmit (HtT) scheme, the EH relay uses all the harvested energy to transmit information and maintains its important activities with its limited battery reserves). Moreover, the SaT scheme allows the calculations in performance to become analytically tractable. By using accordant MTPLs, the obtained analytical results for the SaT scheme can allow evaluations in the system performance of the HtT scheme.
- Three performance metrics, SOP, average achievable secrecy rate (AASR) and average stored energy (ASE), are studied for performance evaluation. We derive closed-form expressions for the SOP (for the whole communication and for the case that the relay is active) and the AASR of each user; in addition, we derive an exact analytical expression for the ASE. We use Montes-Carlo simulations to verify the accuracy of the analytical results.
- Finally, the effect of various key system parameters, the location of jammer, target secrecy rates, NOMA power-allocation factors, transmit-power strategies (TPSs) at the EH relay, on the system performance, is studied to provide insight into the system design.
2. System Model and Preliminary Results
2.1. System Model
2.2. Non-Liner Energy Harvesting Model and Store-and-Transmit Protocol
2.3. Communication in the First Time Slot
2.4. Communication in the Second Time Slot
2.5. The Achievable Secrecy Rates
3. System Performance Analysis
3.1. The Secrecy Outage Probability (SOP)
3.2. The Average Achievable Secrecy Rate (AASR)
3.2.1. The Average Achievable Secrecy Rate for
3.2.2. The Average Achievable Secrecy Rate for
3.3. The Average Stored Energy (ASE)
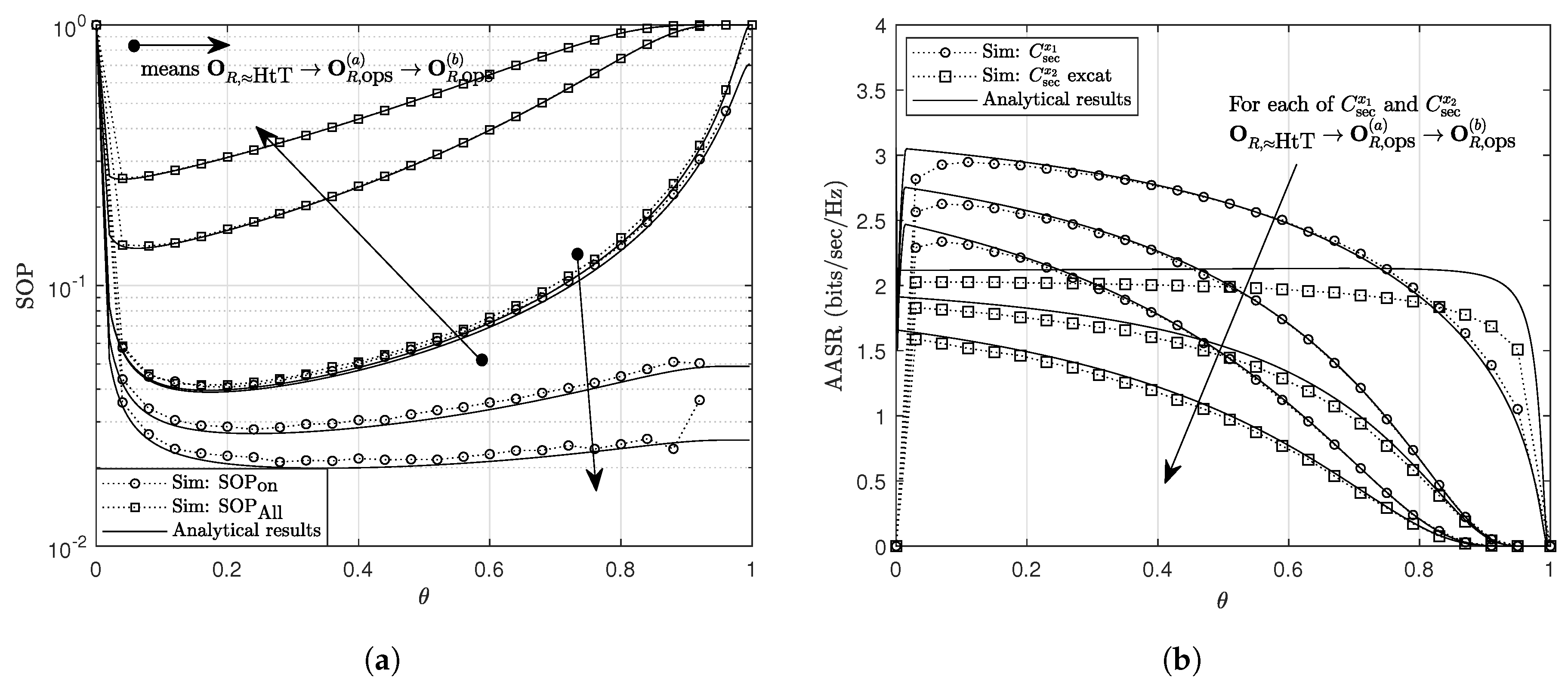
4. Results and Discussions
5. Conclusions
Author Contributions
Funding
Conflicts of Interest
Appendix A. Proof for Proposition 3
Appendix A.1. Calculation for
Appendix A.2. Calculation for
Appendix B. Proof for Proposition 4
Appendix B.1. Calculation for
Appendix B.2. Calculation for
Appendix B.3. Calculation for
Appendix C. Proof for Proposition 5
Appendix D. Proof for Proposition 6
Appendix D.1. Calculation for in the case of
Appendix D.2. Calculation for in the case of
References
- Zhang, R.; Ho, C. MIMO Broadcasting for Simultaneous Wireless Information and Power Transfer. IEEE Trans. Wirel. Commun. 2013, 12, 1989–2001. [Google Scholar] [CrossRef]
- Liu, L.; Zhang, R.; Chua, K. Wireless Information Transfer with Opportunistic Energy Harvesting. IEEE Trans. Wirel. Commun. 2013, 12, 288–300. [Google Scholar] [CrossRef]
- Liu, L.; Zhang, R.; Chua, K. Wireless Information; Power Transfer: A Dynamic Power Splitting Approach. IEEE Trans. Commun. 2013, 61, 3990–4001. [Google Scholar] [CrossRef]
- Zhu, G.; Zhong, C.; Suraweera, H.; Karagiannidis, G.; Zhang, Z.; Tsiftsis, T. Wireless Information and Power Transfer in Relay Systems With Multiple Antennas and Interference. IEEE Trans. Commun. 2015, 63, 1400–1418. [Google Scholar] [CrossRef]
- Muncuk, U.; Alemdar, K.; Sarode, J.; Chowdhury, K. Multiband Ambient RF Energy Harvesting Circuit Design for Enabling Batteryless Sensors and IoT. IEEE Internet Things 2018, 5, 2700–2714. [Google Scholar] [CrossRef]
- Yang, Z.; Xu, W.; Pan, Y.; Pan, C.; Chen, M. Optimal Fairness-Aware Time and Power Allocation in Wireless Powered Communication Networks. IEEE Trans. Commun. 2018, 66, 3122–3135. [Google Scholar] [CrossRef]
- Niu, H.; Zhang, B.; Guo, D. Outage Constrained Robust Beamforming and Power Splitting for Secure MISO SWIPT Channel. IEEE Wirel. Commun. Lett. 2017, 6, 826–829. [Google Scholar] [CrossRef]
- Zhu, Z.; Chu, Z.; Zhou, F.; Niu, H.; Wang, Z.; Lee, I. Secure Beamforming Designs for Secrecy MIMO SWIPT Systems. IEEE Wirel. Commun. Lett. 2018, 7, 424–427. [Google Scholar] [CrossRef]
- Nguyen-Huu, P.; Ho-Van, K.; Bao, V. Secrecy outage analysis of energy harvesting two-way relaying networks with friendly jammer. IET Commun. 2019, 13, 1877–1885. [Google Scholar] [CrossRef]
- Liu, W.; Zhou, X.; Durrani, S.; Popovski, P. Secure Communication with a Wireless-Powered Friendly Jammer. IEEE Trans. Wirel. Commun. 2016, 15, 401–415. [Google Scholar] [CrossRef]
- Xing, H.; Wong, K.; Chu, Z.; Nallanathan, A. To Harvest and Jam: A Paradigm of Self-Sustaining Friendly Jammers for Secure AF Relaying. IEEE Trans. Signal Process. 2015, 63, 6616–6631. [Google Scholar] [CrossRef]
- Diamantoulakis, P.; Pappi, K.; Ding, Z.; Karagiannidis, G. Wireless-Powered Communications With Non-Orthogonal Multiple Access. IEEE Trans. Wirel. Commun. 2016, 15, 8422–8436. [Google Scholar] [CrossRef]
- Tang, J.; Yu, Y.; Liu, M.; So, D.; Zhang, X.; Li, Z.; Wong, K. Joint Power Allocation and Splitting Control for SWIPT-enabled NOMA Systems. IEEE Trans. Wirel. Commun. 2020, 19, 120–133. [Google Scholar] [CrossRef]
- Liu, Y.; Ding, H.; Shen, J.; Xiao, R.; Yang, H. Outage Performance Analysis for SWIPT-Based Cooperative Non-Orthogonal Multiple Access Systems. IEEE Commun. Lett. 2019, 23, 1501–1505. [Google Scholar] [CrossRef]
- Wang, Y.; Wu, Y.; Zhou, F.; Chu, Z.; Wu, Y.; Yuan, F. Multi-Objective Resource Allocation in a NOMA Cognitive Radio Network With a Practical Non-Linear Energy Harvesting Model. IEEE Access 2018, 6, 12973–12982. [Google Scholar] [CrossRef]
- Yang, Z.; Xu, W.; Pan, Y.; Pan, C.; Chen, M. Energy Efficient Resource Allocation in Machine-to-Machine Communications With Multiple Access and Energy Harvesting for IoT. IEEE Internet Things 2018, 5, 229–245. [Google Scholar] [CrossRef]
- Yang, Z.; Pan, Y.; Xu, W.; Guan, R.; Wang, Y.; Chen, M. Energy efficient resource allocation for machine-to-machine communications with NOMA and energy harvesting. In Proceedings of the 2017 IEEE Conference on Computer Communications Workshops (INFOCOM WKSHPS), Atlanta, GA, USA, 1–4 May 2017; pp. 145–150. [Google Scholar]
- Vo, V.; So-In, C.; Tran, H.; Tran, D.; Heng, S.; Aimtongkham, P.; Nguyen, A. On Security and Throughput for Energy Harvesting Untrusted Relays in IoT Systems Using NOMA. IEEE Access 2019, 7, 149341–149354. [Google Scholar] [CrossRef]
- Tang, J.; Dai, T.; Cui, M.; Zhang, X.; Shojaeifard, A.; Wong, K.; Li, Z. Optimization for Maximizing Sum Secrecy Rate in SWIPT-Enabled NOMA Systems. IEEE Access 2018, 6, 43440–43449. [Google Scholar] [CrossRef]
- Wang, D.; Men, S. Secure Energy Efficiency for NOMA Based Cognitive Radio Networks with Nonlinear Energy Harvesting. IEEE Access 2018, 6, 62707–62716. [Google Scholar] [CrossRef]
- Boshkovska, E.; Ng, D.; Zlatanov, N.; Schober, R. Practical Non-Linear Energy Harvesting Model and Resource Allocation for SWIPT Systems. IEEE Commun. Lett. 2015, 19, 2082–2085. [Google Scholar] [CrossRef]
- Chen, Y.; Zhao, N.; Alouini, M. Wireless Energy Harvesting Using Signals From Multiple Fading Channels. IEEE Trans. Commun. 2017, 65, 5027–5039. [Google Scholar] [CrossRef]
- Gradshteyn, I.; Ryzhik, I.; Jeffrey, A.; Zwillinger, D. Table of Integral, Series and Products, 7th ed.; Elsevier: Amsterdam, The Netherlands, 2007. [Google Scholar]
- Li, H.; Zhang, Q.; Yuan, H. Channel state information based key generation vs. side-channel analysis key information leakage. In Proceedings of the 2011 5th International Conference on Network and System Security, Milan, Italy, 6–8 September 2011. [Google Scholar]
- Le, T.; Mayaram, K.; Fiez, T. Efficient Far-Field Radio Frequency Energy Harvesting for Passively Powered Sensor Networks. IEEE J. Solid-State Circuits 2008, 43, 1287–1302. [Google Scholar] [CrossRef]
- Guo, J.; Zhu, X. An improved analytical model for RF-DC conversion efficiency in microwave rectifiers. In Proceedings of the 2012 IEEE/MTT-S International Microwave Symposium Digest, Montreal, QC, Canada, 17–22 June 2012. [Google Scholar]
- Boshkovska, E.; Ng, D.; Zlatanov, N.; Koelpin, A.; Schober, R. Robust Resource Allocation for MIMO Wireless Powered Communication Networks Based on a Non-Linear EH Model. IEEE Trans. Commun. 2017, 65, 1984–1999. [Google Scholar] [CrossRef]
- Nasir, A.; Zhou, X.; Durrani, S.; Kennedy, R. Relaying Protocols for Wireless Energy Harvesting and Information Processing. IEEE Trans. Wirel. Commun. 2013, 12, 3622–3636. [Google Scholar] [CrossRef]
- Zheng, T.; Wang, H.; Liu, F.; Lee, M. Outage Constrained Secrecy Throughput Maximization for DF Relay Networks. IEEE Trans. Commun. 2015, 63, 1741–1755. [Google Scholar] [CrossRef]
- Murray, G.; Edward, W. A Table of Integrals of the Exponential Integral. NIST J. Res. 1969, 73B, 191–210. [Google Scholar]







| Parameters – | Parameters – | Parameters – |
|---|---|---|
| Functions | Analytical Expressions | Cases |
|---|---|---|
| Functions | Analytical Expressions | Cases |
|---|---|---|
| . | ||
© 2020 by the authors. Licensee MDPI, Basel, Switzerland. This article is an open access article distributed under the terms and conditions of the Creative Commons Attribution (CC BY) license (http://creativecommons.org/licenses/by/4.0/).
Share and Cite
Tuan, V.P.; Hong, I.-P. Secure Communication in Cooperative SWIPT NOMA Systems with Non-Linear Energy Harvesting and Friendly Jamming. Sensors 2020, 20, 1047. https://doi.org/10.3390/s20041047
Tuan VP, Hong I-P. Secure Communication in Cooperative SWIPT NOMA Systems with Non-Linear Energy Harvesting and Friendly Jamming. Sensors. 2020; 20(4):1047. https://doi.org/10.3390/s20041047
Chicago/Turabian StyleTuan, Van Phu, and Ic-Pyo Hong. 2020. "Secure Communication in Cooperative SWIPT NOMA Systems with Non-Linear Energy Harvesting and Friendly Jamming" Sensors 20, no. 4: 1047. https://doi.org/10.3390/s20041047
APA StyleTuan, V. P., & Hong, I.-P. (2020). Secure Communication in Cooperative SWIPT NOMA Systems with Non-Linear Energy Harvesting and Friendly Jamming. Sensors, 20(4), 1047. https://doi.org/10.3390/s20041047

