Deep Eutectic Solvent Based on Choline Hydroxide for Advanced Aqueous Lubrication
Abstract
1. Introduction
2. Materials and Methods
2.1. Materials Details
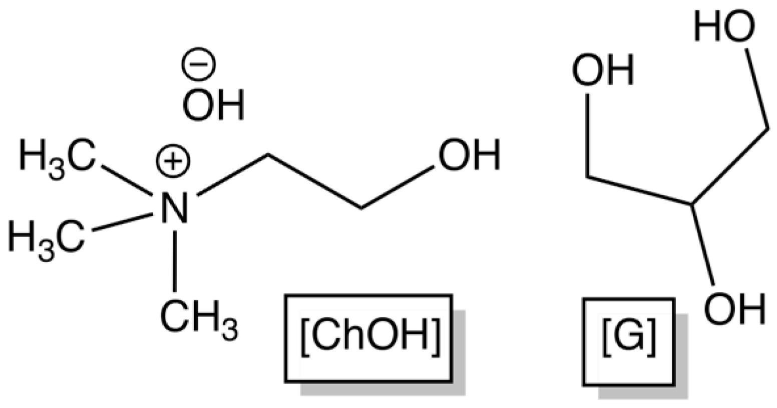
2.2. Preparation of Choline Hydroxide DES-Based Lubricants
2.3. Characterization
2.4. Electrochemical Tests
2.5. Tribological Tests
3. Results
3.1. Characterization of the Novel DES: Choline Hydroxide–Glycerol
3.2. Tribological Performance
3.2.1. Wettability
3.2.2. Tribological Analysis
3.2.3. Electrochemical Analysis
3.2.4. Surface Analysis
4. Conclusions
Supplementary Materials
Author Contributions
Funding
Data Availability Statement
Conflicts of Interest
References
- Mannekote, J.K.; Kailas, S.V.; Venkatesh, K.; Kathyayini, N. Environmentally Friendly Functional Fluids from Renewable and Sustainable Sources—A Review. Renew. Sustain. Energy Rev. 2018, 81, 1787–1801. [Google Scholar] [CrossRef]
- Hörner, D. Recent Trends in Environmentally Friendly Lubricants. J. Synth. Lubr. 2002, 18, 327–347. [Google Scholar] [CrossRef]
- Donato, M.T.; Colaço, R.; Branco, L.C.; Saramago, B. A Review on Alternative Lubricants: Ionic Liquids as Additives and Deep Eutectic Solvents. J. Mol. Liq. 2021, 333, 116004. [Google Scholar] [CrossRef]
- Sernaglia, M.; Bartolomé, M.; Viesca, J.L.; González, R.; Battez, A.H. Application of Deep Eutectic Solvents in Lubrication: A Review. J. Mol. Liq. 2025, 427, 127464. [Google Scholar] [CrossRef]
- Abranches, D.O.; Coutinho, J.A.P. Everything You Wanted to Know about Deep Eutectic Solvents but Were Afraid to Be Told. Annu. Rev. Chem. Biomol. Eng. 2023, 14, 141–163. [Google Scholar] [CrossRef] [PubMed]
- Meredith, L.; Elbourne, A.; Greaves, T.L.; Bryant, G.; Bryant, S.J. Physico-Chemical Characterisation of Glycerol- and Ethylene Glycol-Based Deep Eutectic Solvents. J. Mol. Liq. 2024, 394, 123777. [Google Scholar] [CrossRef]
- Smith, E.L.; Abbott, A.P.; Ryder, K.S. Deep Eutectic Solvents (DESs) and Their Applications. Chem. Rev. 2014, 114, 11060–11082. [Google Scholar] [CrossRef]
- Yeow, A.T.H.; Hayyan, A.; Hayyan, M.; Usman Mohd Junaidi, M.; Saleh, J.; Jefrey Basirun, W.; Roslan Mohd Nor, M.; Al Abdulmonem, W.; Zulhaziman, M.; Mohamed Zuki, F.; et al. A Comprehensive Review on the Physicochemical Properties of Deep Eutectic Solvents. Results Chem. 2024, 7, 101378. [Google Scholar] [CrossRef]
- Omar, K.A.; Sadeghi, R. Physicochemical Properties of Deep Eutectic Solvents: A Review. J. Mol. Liq. 2022, 360, 119524. [Google Scholar] [CrossRef]
- Zhang, Q.; De Oliveira Vigier, K.; Royer, S.; Jérôme, F. Deep Eutectic Solvents: Syntheses, Properties and Applications. Chem. Soc. Rev. 2012, 41, 7108–7146. [Google Scholar] [CrossRef] [PubMed]
- Abbott, A.P.; Capper, G.; Davies, D.L.; Rasheed, R.K.; Tambyrajah, V. Novel Solvent Properties of Choline Chloride/Urea Mixtures. Chem. Commun. 2003, 39, 70–71. [Google Scholar] [CrossRef]
- Álvarez, M.S.; Longo, M.A.; Rodríguez, A.; Deive, F.J. The Role of Deep Eutectic Solvents in Catalysis. A Vision on Their Contribution to Homogeneous, Heterogeneous and Electrocatalytic Processes. J. Ind. Eng. Chem. 2024, 132, 36–49. [Google Scholar] [CrossRef]
- Guzmán, E. Catalysis With Deep Eutectic Solvents: Challenges and Opportunities. ChemCatChem 2025, 17, e202500522. [Google Scholar] [CrossRef]
- Zhong, Y.; Wu, J.; Kang, H.; Liu, R. Choline Hydroxide Based Deep Eutectic Solvent for Dissolving Cellulose. Green Chem. 2022, 24, 2464–2475. [Google Scholar] [CrossRef]
- Abbott, A.P. Deep Eutectic Solvents and Their Application in Electrochemistry. Curr. Opin. Green Sustain. Chem. 2022, 36, 100649. [Google Scholar] [CrossRef]
- Carriazo, D.; Serrano, M.C.; Gutiérrez, M.C.; Ferrer, M.L.; del Monte, F. Deep-Eutectic Solvents Playing Multiple Roles in the Synthesis of Polymers and Related Materials. Chem. Soc. Rev. 2012, 41, 4996–5014. [Google Scholar] [CrossRef]
- Tomé, L.I.N.; Baião, V.; da Silva, W.; Brett, C.M.A. Deep Eutectic Solvents for the Production and Application of New Materials. Appl. Mater. Today 2018, 10, 30–50. [Google Scholar] [CrossRef]
- Lawes, S.D.A.; Hainsworth, S.V.; Blake, P.; Ryder, K.S.; Abbott, A.P. Lubrication of Steel/Steel Contacts by Choline Chloride Ionic Liquids. Tribol. Lett. 2010, 37, 103–110. [Google Scholar] [CrossRef]
- Kumar Patro, B.D.; Shivakumar; Suvin, P.S.; Dalimba, U.; Kreivaitis, R. Effect of Temperature on Tribological Behavior of L–Proline–Based Green Deep Eutectic Solvents for Ti6Al4V Interfaces: A Study of Novel Potential Lubricant. Tribol. Int. 2025, 208, 110667. [Google Scholar] [CrossRef]
- Li, Y.; Li, Y.; Li, H.; Fan, X.; Yan, H.; Cai, M.; Xu, X.; Zhu, M. Insights into the Tribological Behavior of Choline Chloride—Urea and Choline Chloride—Thiourea Deep Eutectic Solvents. Friction 2023, 11, 76–92. [Google Scholar] [CrossRef]
- Shi, Y.; Mu, L.; Feng, X.; Lu, X. Friction and Wear Behavior of CF/PTFE Composites Lubricated by Choline Chloride Ionic Liquids. Tribol. Lett. 2013, 49, 413–420. [Google Scholar] [CrossRef]
- Wu, C.; Han, Y.; Zhao, H.; Zheng, C.; Li, X.; Ni, J. Effect of Choline Chloride/Multiple Diols Deep Eutectic Solvents on the Friction and Vibration Performance of Si3N4/GCr15 Hybrid Ceramic Ball Bearings. Tribol. Int. 2024, 198, 109845. [Google Scholar] [CrossRef]
- Donato, M.T.; Diogo, H.P.; Deuermeier, J.; Colaço, R.; Branco, L.C.; Saramago, B. Hydrophobic Deep Eutectic Solvents with Anti-Wear Properties for MEMS/NEMS. J. Mol. Liq. 2024, 393, 123643. [Google Scholar] [CrossRef]
- Antunes, M.; Campinhas, A.-S.; de Sá Freire, M.; Caetano, F.; Diogo, H.P.; Colaço, R.; Branco, L.C.; Saramago, B. Deep Eutectic Solvents (DES) Based on Sulfur as Alternative Lubricants for Silicon Surfaces. J. Mol. Liq. 2019, 295, 111728. [Google Scholar] [CrossRef]
- Garcia, I.; Guerra, S.; de Damborenea, J.; Conde, A. Reduction of the Coefficient of Friction of Steel-Steel Tribological Contacts by Novel Graphene-Deep Eutectic Solvents (DESs) Lubricants. Lubricants 2019, 7, 37. [Google Scholar] [CrossRef]
- Gao, Q.; Liu, S.; Hou, K.; Miao, X.; Li, Z.; Wang, J. Tribological Properties of MoSx/RGO Nanohybrids as Additives in Deep Eutectic Solvent. Tribol. Int. 2023, 186, 108652. [Google Scholar] [CrossRef]
- Liñeira del Río, J.M.; Aourdou, A.; García-Marquínez, G.; Amado, J.M.; Tobar, M.J. Deep Eutectic Solvents as Green and Novel Lubricant Additives for Castor Oil with High Tribological Performance. Lubricants 2025, 13, 456. [Google Scholar] [CrossRef]
- Prado, D.M.; Gonzaga, A.N.; Carter, B.; Burda, C. Thermodynamic Water Activity Explains the Unusual Electrochemical Stability of Aqueous Deep Eutectic Solvents. Chem. Eur. J. 2025, 31, e202500717. [Google Scholar] [CrossRef] [PubMed]
- El Achkar, T.; Fourmentin, S.; Greige-Gerges, H. Deep Eutectic Solvents: An Overview on Their Interactions with Water and Biochemical Compounds. J. Mol. Liq. 2019, 288, 111028. [Google Scholar] [CrossRef]
- Ma, C.; Laaksonen, A.; Liu, C.; Lu, X.; Ji, X. The Peculiar Effect of Water on Ionic Liquids and Deep Eutectic Solvents. Chem. Soc. Rev. 2018, 47, 8685–8720. [Google Scholar] [CrossRef]
- Abbott, A.P.; Ahmed, E.I.; Harris, R.C.; Ryder, K.S. Evaluating Water Miscible Deep Eutectic Solvents (DESs) and Ionic Liquids as Potential Lubricants. Green Chem. 2014, 16, 4156–4161. [Google Scholar] [CrossRef]
- Florindo, C.; Oliveira, F.S.; Rebelo, L.P.N.; Fernandes, A.M.; Marrucho, I.M. Insights into the Synthesis and Properties of Deep Eutectic Solvents Based on Cholinium Chloride and Carboxylic Acids. ACS Sustain. Chem. Eng. 2014, 2, 2416–2425. [Google Scholar] [CrossRef]
- Du, C.; Zhao, B.; Chen, X.B.; Birbilis, N.; Yang, H. Effect of Water Presence on Choline Chloride-2urea Ionic Liquid and Coating Platings from the Hydrated Ionic Liquid. Sci. Rep. 2016, 6, 29225. [Google Scholar] [CrossRef] [PubMed]
- Ma, J.; Xu, J.; Pang, S.; Zhou, W.; Xia, B.; An, Y. Novel Environmentally Friendly Lubricants for Drilling Fluids Applied in Shale Formation. Energy Fuels 2021, 35, 8153–8162. [Google Scholar] [CrossRef]
- Zhou, X.; Pang, S.; Zhao, L.; An, Y. Performance Evaluation of a Novel Environmentally Friendly Lubricants for Water-Based Drilling Fluids. J. Dispers. Sci. Technol. 2025, 1–10. [Google Scholar] [CrossRef]
- Buzolic, J.J.; Tiecco, M.; Atkin, R.; Li, H. Tuning the Nanostructure and Tribological Properties of a Non-Ionic Deep Eutectic Solvent with Water Addition. J. Colloid Interface Sci. 2025, 683, 722–730. [Google Scholar] [CrossRef]
- Hallett, J.E.; Hayler, H.J.; Perkin, S. Nanolubrication in Deep Eutectic Solvents. Phys. Chem. Chem. Phys. 2020, 22, 20253–20264. [Google Scholar] [CrossRef]
- Gao, Q.; Liu, S.; Hou, K.; Li, Z.; Wang, J.; Yang, S. Peculiar Effect of Water on Tribological Properties of Natural Deep Eutectic Solvent. Langmuir 2024, 40, 26936–26946. [Google Scholar] [CrossRef]
- Yu, M.; Zhang, J.; Joedicke, A.; Booth, J.; Reddyhoff, T. Using Electrical Impedance Spectroscopy to Identify Equivalent Circuit Models of Lubricated Contacts with Complex Geometry: In-Situ Application to Mini Traction Machine. Tribol. Int. 2024, 192, 109286. [Google Scholar] [CrossRef]
- Lvovich, V.F.; Smiechowski, M.F. Impedance Characterization of Industrial Lubricants. Electrochim. Acta 2006, 51, 1487–1496. [Google Scholar] [CrossRef]
- Duque, A.; Sanjuan, A.; Bou-Ali, M.M.; Alonso, R.M.; Campanero, M.A. Physicochemical Characterization of Hydrophobic Type III and Type V Deep Eutectic Solvents Based on Carboxylic Acids. J. Mol. Liq. 2023, 392, 123431. [Google Scholar] [CrossRef]
- Mudalige, A.; Pemberton, J.E. Raman Spectroscopy of Glycerol/D2O Solutions. Vib. Spectrosc. 2007, 45, 27–35. [Google Scholar] [CrossRef]
- Hadjiivanov, K.I.; Panayotov, D.A.; Mihaylov, M.Y.; Ivanova, E.Z.; Chakarova, K.K.; Andonova, S.M.; Drenchev, N.L. Power of Infrared and Raman Spectroscopies to Characterize Metal-Organic Frameworks and Investigate Their Interaction with Guest Molecules. Chem. Rev. 2021, 121, 1286–1424. [Google Scholar] [CrossRef]
- de Souza, Í.F.T.; Ribeiro, M.C.C. A Raman Spectroscopy and Rheology Study of the Phase Transitions of the Ionic Liquid Choline Acetate. J. Mol. Liq. 2021, 322, 114530. [Google Scholar] [CrossRef]
- Yuniarto, K.; Purwanto, Y.A.; Purwanto, S.; Welt, B.A.; Purwadaria, H.K.; Sunarti, T.C. Infrared and Raman Studies on Polylactide Acid and Polyethylene Glycol-400 Blend. AIP Conf. Proc. 2016, 1725, 020101. [Google Scholar] [CrossRef]
- Mostaza, P.; Avilés, M.D.; Martínez-Rubio, P.M.; Bermúdez, M.D.; Carrión-Vilches, F.J. Novel Water-Based Biolubricants Using Choline Ionic Liquids. Lubricants 2025, 13, 122. [Google Scholar] [CrossRef]
- Westerholt, A.; Weschta, M.; Bösmann, A.; Tremmel, S.; Korth, Y.; Wolf, M.; Schlücker, E.; Wehrum, N.; Lennert, A.; Uerdingen, M.; et al. Halide-Free Synthesis and Tribological Performance of Oil-Miscible Ammonium and Phosphonium-Based Ionic Liquids. ACS Sustain. Chem. Eng. 2015, 3, 797–808. [Google Scholar] [CrossRef]
- Rahimi, E.; Offoiach, R.; Baert, K.; Terryn, H.; Lekka, M.; Fedrizzi, L. Role of Phosphate, Calcium Species and Hydrogen Peroxide on Albumin Protein Adsorption on Surface Oxide of Ti6Al4V Alloy. Materialia 2021, 15, 100988. [Google Scholar] [CrossRef]
- Giray, D.; Şeref Sönmez, M.; Yamanoglu, R.; Ismail Yavuz, H.; Muratal, O. Characterization of Corrosion Products Formed in High-Strength Dual-Phase Steels under an Accelerated Corrosion Test. Eng. Sci. Technol. Int. J. 2024, 57, 101796. [Google Scholar] [CrossRef]
- Cui, Y.; Liu, S.; Smith, K.; Yu, K.; Hu, H.; Jiang, W.; Li, Y. Characterization of Corrosion Scale Formed on Stainless Steel Delivery Pipe for Reclaimed Water Treatment. Water Res. 2016, 88, 816–825. [Google Scholar] [CrossRef] [PubMed]
- Reinert, L.; Lasserre, F.; Gachot, C.; Grützmacher, P.; Maclucas, T.; Souza, N.; Mücklich, F.; Suarez, S. Long-Lasting Solid Lubrication by CNT-Coated Patterned Surfaces. Sci. Rep. 2017, 7, 42873. [Google Scholar] [CrossRef]
- Nins, B.; Penagos, J.J.; Moreira, L.; Münch, D.; Falqueto, P.; Viáfara, C.C.; da Costa, A.R. Abrasiveness of Iron Ores: Analysis of Service-Worn Conveyor Belts and Laboratory Dry Sand/Rubber Wheel Tests. Wear 2022, 506–507, 204439. [Google Scholar] [CrossRef]
- Gialanella, S.; Girardi, F.; Ischia, G.; Lonardelli, I.; Mattarelli, M.; Montagna, M. On the Goethite to Hematite Phase Transformation. J. Therm. Anal. Calorim. 2010, 102, 867–873. [Google Scholar] [CrossRef]
- Yu, X.; Jiang, Z.; Wei, D.; Zhou, C.; Huang, Q.; Yang, D. Tribological Properties of Magnetite Precipitate from Oxide Scale in Hot-Rolled Microalloyed Steel. Wear 2013, 302, 1286–1294. [Google Scholar] [CrossRef]
- Sun, C.; Ding, F.; Li, W.; Yang, Z.; Ma, Z.; Song, C. Effects of Relative Humidity on Iron-Oxide Composition and Wear Mechanism on Steel Friction Interface. Wear 2025, 582–583, 206360. [Google Scholar] [CrossRef]
- Vedaei-Sabegh, A.; Morin, J.B.; Champliaud, H.; Jahazi, M. Influence of Thermally Grown Oxides on Interfacial Friction during Hot Deformation of Large-Size Forging Ingots. J. Mater. Res. Technol. 2022, 21, 3412–3424. [Google Scholar] [CrossRef]
- Urtis, L.A.; Arcifa, A.; Zhang, P.; Du, J.; Fantauzzi, M.; Rauber, D.; Hempelmann, R.; Kraus, T.; Rossi, A.; Spencer, N.D. Influence of Water on Tribolayer Growth When Lubricating Steel with a Fluorinated Phosphonium Dicyanamide Ionic Liquid. Lubricants 2019, 7, 27. [Google Scholar] [CrossRef]
- Jagst, E. Surface Functional Group Characterization Using Chemical Derivatization X-Ray Photoelectron Spectroscopy (CD-XPS). Doctoral Dissertation, Freien Universität Berlin, Berlin, Germany, 2010. [Google Scholar]
- Hryniewicz, T.; Rokosz, K. Analysis of XPS Results of AISI 316L SS Electropolished and Magnetoelectropolished at Varying Conditions. Surf. Coat. Technol. 2010, 204, 2583–2592. [Google Scholar] [CrossRef]
- Wijanarko, W.; Khanmohammadi, H.; Espallargas, N. Ionic Liquids as Boundary Additives in Water-Based and PAO Lubricants. Friction 2022, 10, 1405–1423. [Google Scholar] [CrossRef]
- Erdogan, Y.K.; Ercan, B. Anodized Nanostructured 316L Stainless Steel Enhances Osteoblast Functions and Exhibits Anti-Fouling Properties. ACS Biomater. Sci. Eng. 2023, 9, 693–704. [Google Scholar] [CrossRef]















| Lubricants | pH |
|---|---|
| 1% [ChOH][G] | 12.6 (±0.1) |
| 10% [ChOH][G] | 12.9 (±0.1) |
| [ChOH][G] | 13.4 (±0.1) |
| Test Parameter | Value | Schematic of the Tribosystem |
|---|---|---|
| Sliding distance (m) | 500 | ![]() |
| Applied load (N) | 1.0 | |
| Sliding speed (m/s) | 0.1 | |
| Mean contact pressure (GPa) | 1.30 | |
| Maximum contact pressure (GPa) | 1.95 | |
| Sliding radius (mm) | 9.0 | |
| Lubricant volume (ml) | 0.2 | |
| Temperature (°C) | 22.2 ± 0.5 | |
| Relative Humidity (%) | 57 ± 4 |
| Lubricant | Initial | After 5 min |
|---|---|---|
| Water | ![]() 48.2° (±2.1) | ![]() 42.4° (±1.8) |
| 1% [ChOH][G] | ![]() 66.4° (±3.6) | ![]() 52.6° (±1.0) |
| 10% [ChOH][G] | ![]() 55.5° (±5.3) | ![]() 29.2° (±2.2) |
| [ChOH][G] | ![]() 79.1° (±1.8) | ![]() 46.7° (±3.5) |
| Lubricant | COF | K × 10−6 (mm3/N·m) |
|---|---|---|
| Water | 0.426 (±0.018) | 19.10 (±1.75) |
| 1% [ChOH][G] | 0.401 (±0.027) | 8.96 (±0.46) |
| 10% [ChOH][G] | 0.234 (±0.013) | 3.80 (±0.40) |
| [ChOH][G] | 0.093 (±0.009) | 7.23 (±0.53) |
| Lubricant | Ecorr (mV) | Icorr (µA) | Vcorr (µm/Year) | Circuit Model | Rs (Ω·cm2) | Cdl × 10−5 (F/cm) | Rct × 106 (Ω·cm2) |
|---|---|---|---|---|---|---|---|
| Water | 0.005 | 0.032 | 0.299 | (QR)(QR) | 1.28 × 104 | 3.75 | 2.40 |
| 1% [ChOH][G] | 6.295 | 0.076 | 0.712 | R(QR) | 82.44 | 3.41 | 8.63 |
| 10% [ChOH][G] | −101.07 | 0.105 | 0.984 | R(QR) | 7.07 | 2.35 | 0.42 |
| [ChOH][G] | 1.073 | 0.171 | 1.602 | R(QR) | 29.18 | 2.28 | 1.42 |
| Lubricant | Wear Track | Fe (%) | C (%) | O (%) | Cr (%) |
|---|---|---|---|---|---|
| Water | in. | 58.58 | 2.46 | 4.92 | 14.63 |
| out. | 64.86 | 2.97 | 0.23 | 15.83 | |
| 1% [ChOH][G] | in. | 61.73 | 2.63 | 8.41 | 14.14 |
| out. | 68.51 | 2.24 | 1.36 | 16.21 | |
| 10% [ChOH][G] | in. | 64.18 | 4.12 | 2.5 | 15.21 |
| out. | 67.08 | 1.68 | 0.2 | 16.17 | |
| [ChOH][G] | in. | 64.76 | 3.49 | 2.89 | 15.11 |
| out. | 67.02 | 1.98 | 0.25 | 16.12 |
| Lubricant | Hematite | Goethite | Magnetite |
|---|---|---|---|
| Water | 16.7% | 43.7% | 39.6% |
| 1% [ChOH][G] | 18.8% | 40.5% | 40.7% |
| 10% [ChOH][G] | 18.5% | 53.8% | 27.7% |
| Neat [ChOH][G] | 18.7% | 49.5% | 31.7% |
Disclaimer/Publisher’s Note: The statements, opinions and data contained in all publications are solely those of the individual author(s) and contributor(s) and not of MDPI and/or the editor(s). MDPI and/or the editor(s) disclaim responsibility for any injury to people or property resulting from any ideas, methods, instructions or products referred to in the content. |
© 2026 by the authors. Licensee MDPI, Basel, Switzerland. This article is an open access article distributed under the terms and conditions of the Creative Commons Attribution (CC BY) license.
Share and Cite
Carrión-Vilches, F.J.; Jiménez, A.E.; Mostaza, P.; Bermúdez, M.-D.; Avilés, M.-D. Deep Eutectic Solvent Based on Choline Hydroxide for Advanced Aqueous Lubrication. Lubricants 2026, 14, 106. https://doi.org/10.3390/lubricants14030106
Carrión-Vilches FJ, Jiménez AE, Mostaza P, Bermúdez M-D, Avilés M-D. Deep Eutectic Solvent Based on Choline Hydroxide for Advanced Aqueous Lubrication. Lubricants. 2026; 14(3):106. https://doi.org/10.3390/lubricants14030106
Chicago/Turabian StyleCarrión-Vilches, Francisco J., Ana Eva Jiménez, Paloma Mostaza, María-Dolores Bermúdez, and María-Dolores Avilés. 2026. "Deep Eutectic Solvent Based on Choline Hydroxide for Advanced Aqueous Lubrication" Lubricants 14, no. 3: 106. https://doi.org/10.3390/lubricants14030106
APA StyleCarrión-Vilches, F. J., Jiménez, A. E., Mostaza, P., Bermúdez, M.-D., & Avilés, M.-D. (2026). Deep Eutectic Solvent Based on Choline Hydroxide for Advanced Aqueous Lubrication. Lubricants, 14(3), 106. https://doi.org/10.3390/lubricants14030106










