Sign in to use this feature.

Years

Between: -

Subjects

remove_circle_outline
remove_circle_outline
remove_circle_outline
remove_circle_outline
remove_circle_outline
remove_circle_outline
remove_circle_outline
remove_circle_outline
remove_circle_outline

Journals

Article Types

Countries / Regions

Search Results (113)

Search Parameters:
Keywords = fractional derivative with constant order

Order results
Result details
Results per page
Select all
Export citation of selected articles as:
24 pages, 4130 KB  
Article
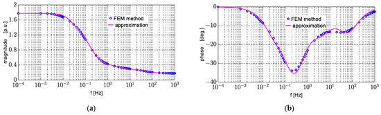
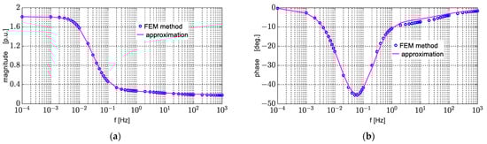
Analysis of Electromechanical Swings of a Turbogenerator Based on a Fractional-Order Circuit Model
by Jan Staszak
Energies 2025, 18(19), 5170; https://doi.org/10.3390/en18195170 - 28 Sep 2025
Abstract
This paper addresses the issue of rotor swings in a high-power synchronous generator during stable operation with a stiff power grid. The analysis of electromechanical swings was conducted using a circuit model incorporating fractional-order derivatives. Assuming that variations in the load angle under [...] Read more.
This paper addresses the issue of rotor swings in a high-power synchronous generator during stable operation with a stiff power grid. The analysis of electromechanical swings was conducted using a circuit model incorporating fractional-order derivatives. Assuming that variations in the load angle under small disturbances from a stable equilibrium are minor, a linearized differential equation describing the electrodynamic state of the synchronous machine was derived. Based on this linearized equation of motion and the identified parameters of the equivalent circuit, calculations were performed for a 200 MW turbogenerator. The results indicate that the electromechanical swings are characterized by a constant pulsation and a low damping factor. Calculations were also carried out using a lumped-parameter equivalent circuit model. Based on the obtained results, it can be stated that the fractional-order model provides a more accurate fit of the frequency characteristics compared with the classical model with the same number of rotor equivalent circuits. The relative approximation errors for the fractional-order model are, for the d-axis (one rotor equivalent circuit), relative magnitude error δm = 1.53% and relative phase error δφ = 6.32%, and for the q-axis (two rotor equivalent circuits), δm = 3.2% and δφ = 8.3%. To achieve comparable approximation accuracy for the classical model, the rotor electrical circuit must be replaced with two equivalent circuits in the d-axis and four equivalent circuits in the q-axis, yielding relative errors of δm = 2.85% and δφ = 6.51% for the d-axis, and δm = 1.86% and δφ = 5.49% for the q-axis. Full article
(This article belongs to the Special Issue Electric Machinery and Transformers III)
Show Figures

Figure 1

23 pages, 441 KB  
Article
Numerical Approximation for a Stochastic Caputo Fractional Differential Equation with Multiplicative Noise
by James Hoult and Yubin Yan
Mathematics 2025, 13(17), 2835; https://doi.org/10.3390/math13172835 - 3 Sep 2025
Viewed by 395
Abstract
We investigate a numerical method for approximating stochastic Caputo fractional differential equations driven by multiplicative noise. The nonlinear functions f and g are assumed to satisfy the global Lipschitz conditions as well as the linear growth conditions. The noise is approximated by a [...] Read more.
We investigate a numerical method for approximating stochastic Caputo fractional differential equations driven by multiplicative noise. The nonlinear functions f and g are assumed to satisfy the global Lipschitz conditions as well as the linear growth conditions. The noise is approximated by a piecewise constant function, yielding a regularized stochastic fractional differential equation. We prove that the error between the exact solution and the solution of the regularized equation converges in the L2((0,T)×Ω) norm with an order of O(Δtα1/2), where α(1/2,1] is the order of the Caputo fractional derivative, and Δt is the time step size. Numerical experiments are provided to confirm that the simulation results are consistent with the theoretical convergence order. Full article
Show Figures

Figure 1

11 pages, 1039 KB  
Article
A Random Riemann–Liouville Integral Operator
by Jorge Sanchez-Ortiz, Omar U. Lopez-Cresencio, Martin P. Arciga-Alejandre and Francisco J. Ariza-Hernandez
Mathematics 2025, 13(15), 2524; https://doi.org/10.3390/math13152524 - 6 Aug 2025
Viewed by 324
Abstract
In this work, we propose a definition of the random fractional Riemann–Liouville integral operator, where the order of integration is given by a random variable. Within the framework of random operator theory, we study this integral with a random kernel and establish results [...] Read more.
In this work, we propose a definition of the random fractional Riemann–Liouville integral operator, where the order of integration is given by a random variable. Within the framework of random operator theory, we study this integral with a random kernel and establish results on the measurability of the random Riemann–Liouville integral operator, which we show to be a random endomorphism of L1[a,b]. Additionally, we derive the semigroup property for these operators as a probabilistic version of the constant-order Riemann–Liouville integral. To illustrate the behavior of this operator, we present two examples involving different random variables acting on specific functions. The sample trajectories and estimated probability density functions of the resulting random integrals are then explored via Monte Carlo simulation. Full article
Show Figures

Figure 1

27 pages, 1937 KB  
Article
Dynamic Analysis of a Fractional Breast Cancer Model with Incommensurate Orders and Optimal Control
by Yanling Zhao and Ruiqing Shi
Fractal Fract. 2025, 9(6), 371; https://doi.org/10.3390/fractalfract9060371 - 6 Jun 2025
Viewed by 671
Abstract
This paper constructs a fundamental mathematical model to depict the therapeutic effects of two drugs on breast cancer patients. The model is described by fractional order differential equations with two control variables. Two scenarios are considered: the constant control and the optimal control. [...] Read more.
This paper constructs a fundamental mathematical model to depict the therapeutic effects of two drugs on breast cancer patients. The model is described by fractional order differential equations with two control variables. Two scenarios are considered: the constant control and the optimal control. For the constant control scenario, the existence and uniqueness of the solution of the system are proved by using the fixed point theorem and combining with the Caputo–Fabrizio fractional derivative; then, the sufficient conditions for the existence and stability of the system’s equilibriums are derived. For the optimal control scenario, the optimal control solution is obtained by using the Pontryagin’s maximum principle. To further validate the effectiveness of the theoretical results, numerical simulations were conducted. The results show that the parameters have significant sensitivity to the dynamic behavior of the system. Full article
(This article belongs to the Section General Mathematics, Analysis)
Show Figures

Figure 1

35 pages, 24700 KB  
Article
Optimizing Load Frequency Control of Multi-Area Power Renewable and Thermal Systems Using Advanced Proportional–Integral–Derivative Controllers and Catch Fish Algorithm
by Saleh A. Alnefaie, Abdulaziz Alkuhayli and Abdullah M. Al-Shaalan
Fractal Fract. 2025, 9(6), 355; https://doi.org/10.3390/fractalfract9060355 - 29 May 2025
Viewed by 1108
Abstract
Renewable energy sources (RESs) are increasingly combined into the power system due to market liberalization and environmental and economic benefits, but their weather-dependent variability causes power production and demand mismatches, leading to issues like frequency and regional power transmission fluctuations. To maintain synchronization [...] Read more.
Renewable energy sources (RESs) are increasingly combined into the power system due to market liberalization and environmental and economic benefits, but their weather-dependent variability causes power production and demand mismatches, leading to issues like frequency and regional power transmission fluctuations. To maintain synchronization in power systems, frequency must remain constant; disruptions in the proper balance of production and load might produce frequency variations, risking serious issues. Therefore, a mechanism known as load frequency control (LFC) or automated generation control (AGC) is needed to keep the frequency and tie-line power within predefined stable limits. In this study, advanced proportional–integral–derivative PID controllers such as fractional-order PID (FOPID), cascaded PI(PDN), and PI(1+DD) for LFC in a two-area power system integrated with RES are optimized using the catch fish optimization algorithm (CFA). The controllers’ optimal gains are attained through using the integral absolute error (IAE) and ITAE objective functions. The performance of LFC with CFA-tuned PID, PI, cascaded PI(PDN), and FOPID, PI(1+DD) controllers is compared to other optimization techniques, including sine cosine algorithm (SCA), particle swarm optimization (PSO), brown bear algorithm (BBA), and grey wolf optimization (GWO), in a two-area power system combined with RESs under various conditions. Additionally, by contrasting the performance of the PID, PI, cascaded PI(PDN), and FOPID, PI(1+DD) controllers, the efficiency of the CFA is confirmed. Additionally, a sensitivity analysis that considers simultaneous modifications of the frequency bias coefficient (B) and speed regulation (R) within a range of ±25% validates the efficacy and dependability of the suggested CFA-tuned PI(1+DD). In the complex dynamics of a two-area interconnected power system, the results show how robust the suggested CFA-tuned PI(1+DD) control strategy is and how well it can stabilize variations in load frequency and tie-line power with a noticeably shorter settling time. Finally, the results of the simulation show that CFA performs better than the GWO, BBA, SCA, and PSO strategies. Full article
Show Figures

Figure 1

21 pages, 2699 KB  
Article
Formulation and Numerical Verification of a New Rheological Model for Creep Behavior of Tropical Wood Species Based on Modified Variable-Order Fractional Element
by Loic Chrislin Nguedjio, Jeanne Sandrine Mabekou Takam, Benoit Blaysat, Pierre Kisito Talla and Rostand Moutou Pitti
Forests 2025, 16(5), 824; https://doi.org/10.3390/f16050824 - 15 May 2025
Cited by 1 | Viewed by 523
Abstract
This paper aims to develop a rheological model with fewer parameters that accurately describes the primary and secondary creep behavior of wood materials. The models studied are grounded in Riemann–Liouville fractional calculus theory. A comparison was conducted between the constant-order fractional Zener model [...] Read more.
This paper aims to develop a rheological model with fewer parameters that accurately describes the primary and secondary creep behavior of wood materials. The models studied are grounded in Riemann–Liouville fractional calculus theory. A comparison was conducted between the constant-order fractional Zener model and the variable-order fractional Maxwell model, with four parameters each. Using experimental creep data from four-point bending tests on two tropical wood species, along with an optimization algorithm, the variable-order fractional model demonstrated greater effectiveness. The selected fractional derivative order, modeled as a linearly increasing function of time, helped to elucidate the internal mechanisms in the wood structure during creep tests. Analyzing the parameters of this order function enabled an interpretation of their physical meanings, showing a direct link to the material’s mechanical properties. The Sobol indices have demonstrated that the slope of this function is the most influential factor in determining the model’s behavior. Furthermore, to enhance descriptive performance, this model was adjusted by incorporating stress non-linearity to account for the effects of the variation in constant loading level in wood. Consequently, this new formulation of rheological models, based on variable-order fractional derivatives, not only allows for a satisfactory simulation of the primary and secondary creep of wood but also provides deeper insights into the mechanisms driving the viscoelastic behavior of this material. Full article
Show Figures

Figure 1

22 pages, 2193 KB  
Article
Novel Hybrid Function Operational Matrices of Fractional Integration: An Application for Solving Multi-Order Fractional Differential Equations
by Seshu Kumar Damarla and Madhusree Kundu
AppliedMath 2025, 5(2), 55; https://doi.org/10.3390/appliedmath5020055 - 10 May 2025
Viewed by 1129
Abstract
Although fractional calculus has evolved significantly since its origin in the 1695 correspondence between Leibniz and L’Hôpital, the numerical treatment of multi-order fractional differential equations remains a challenge. Existing methods are often either computationally expensive or reliant on complex operational frameworks that hinder [...] Read more.
Although fractional calculus has evolved significantly since its origin in the 1695 correspondence between Leibniz and L’Hôpital, the numerical treatment of multi-order fractional differential equations remains a challenge. Existing methods are often either computationally expensive or reliant on complex operational frameworks that hinder their broader applicability. In the present study, a novel numerical algorithm is proposed based on orthogonal hybrid functions (HFs), which were constructed as linear combinations of piecewise constant sample-and-hold functions and piecewise linear triangular functions. These functions, belonging to the class of degree-1 orthogonal polynomials, were employed to obtain the numerical solution of multi-order fractional differential equations defined in the Caputo sense. A generalized one-shot operational matrix was derived to explicitly express the Riemann–Liouville fractional integral of HFs in terms of the HFs themselves. This allowed the original multi-order fractional differential equation to be transformed directly into a system of algebraic equations, thereby simplifying the solution process. The developed algorithm was then applied to a range of benchmark problems, including both linear and nonlinear multi-order FDEs with constant and variable coefficients. Numerical comparisons with well-established methods in the literature revealed that the proposed approach not only achieved higher accuracy but also significantly reduced computational effort, demonstrating its potential as a reliable and efficient numerical tool for fractional-order modeling. Full article
Show Figures

Figure 1

19 pages, 2109 KB  
Article
Robust Frequency Regulation Management System in a Renewable Hybrid Energy Network with Integrated Storage Solutions
by Subhranshu Sekhar Pati, Umamani Subudhi and Sivkumar Mishra
Electricity 2025, 6(2), 22; https://doi.org/10.3390/electricity6020022 - 1 May 2025
Viewed by 1131
Abstract
The rapid proliferation of renewable energy sources (RESs) has significantly reduced system inertia, thereby intensifying stability challenges in modern power grids. To address these issues, this study proposes a comprehensive approach to improve the grid stability concerning RESs and load disturbances. The methodology [...] Read more.
The rapid proliferation of renewable energy sources (RESs) has significantly reduced system inertia, thereby intensifying stability challenges in modern power grids. To address these issues, this study proposes a comprehensive approach to improve the grid stability concerning RESs and load disturbances. The methodology integrates controlled energy storage systems, including ultra-capacitors (UC), superconducting magnetic energy storage (SMES), and battery storage, alongside a robust frequency regulation management system (FRMS). Central to this strategy is the implementation of a novel controller which combines a constant with proportional–integral–derivative (PID) and modified fractional-order (MFO) control, forming 1+MFOPID controller. The controller parameters are optimized using a novel formulation of an improved objective function that incorporates both frequency and time domain characteristics to achieve superior performance. The efficacy of the proposed controller is validated by comparing its performance with conventional PID and fractional-order PID controllers. System stability is further analyzed using eigenvector analysis. Additionally, this study evaluates the performance of various energy storage systems and their individual contributions to frequency regulation, with a particular emphasis on the synergistic benefits of battery storage in conjunction with other storages. Finally, sensitivity analysis is conducted to assess the impact of parameter uncertainties in the system design, reinforcing the robustness of the proposed approach. Full article
Show Figures

Figure 1

16 pages, 13982 KB  
Article
Exploring Chaos in Fractional Order Systems: A Study of Constant and Variable-Order Dynamics
by Reem Allogmany, Nada A. Almuallem, Reima Daher Alsemiry and Mohamed A. Abdoon
Symmetry 2025, 17(4), 605; https://doi.org/10.3390/sym17040605 - 16 Apr 2025
Cited by 3 | Viewed by 768
Abstract
Fractional calculus generalizes well-known differentiation and integration to noninteger orders, allowing a more accurate framework for modeling complex dynamical behaviors. The application of fractional-order systems is quite wide in engineering, biology, and physics because they inherently capture the memory effects and long-range dependencies. [...] Read more.
Fractional calculus generalizes well-known differentiation and integration to noninteger orders, allowing a more accurate framework for modeling complex dynamical behaviors. The application of fractional-order systems is quite wide in engineering, biology, and physics because they inherently capture the memory effects and long-range dependencies. Out of these, fractional jerk chaotic systems have gained attention regarding their applications in secure communication, signal processing, and control systems. This work develops a comparative analysis of a fractional jerk system that includes constant- and variable-order derivatives to contribute to chaos–stability analysis. Additionally, this study uncovers novel chaotic behaviors, further expanding our understanding of complex dynamical systems. The results yield new insights into using variable-order dynamics to enable chaotic systems to better adapt to real applications. Full article
(This article belongs to the Special Issue Symmetry and Its Applications in Partial Differential Equations)
Show Figures

Figure 1

19 pages, 4462 KB  
Article
Variable-Order Time-Fractional Kelvin Peridynamics for Rock Steady Creep
by Chang Liu, Tiantian Dong, Yuhang Qi and Xu Guo
Fractal Fract. 2025, 9(4), 197; https://doi.org/10.3390/fractalfract9040197 - 23 Mar 2025
Cited by 3 | Viewed by 526
Abstract
A variable-order time-fractional Kelvin peridynamics model is proposed, where the variable order is utilized to reflect the changes of viscosity in viscoelastic materials to effectively capture the damage and deformation of rock steady creep. The corresponding constitutive model is established by coupling a [...] Read more.
A variable-order time-fractional Kelvin peridynamics model is proposed, where the variable order is utilized to reflect the changes of viscosity in viscoelastic materials to effectively capture the damage and deformation of rock steady creep. The corresponding constitutive model is established by coupling a spring and an Abel dashpot. Through the Caputo definition of fractional-order derivatives, finite increment formulations for the constitutive model are derived to facilitate numerical implementation by an explicit time integration scheme. We accordingly introduce a model parameter evaluation method for practical applications. To verify the validity and correctness of the model, constant-order time-fractional peridynamics is used to compare with the proposed model via a sandstone compress creep numerical test, and the results show that the latter can simulate nonlinear creep behavior more efficiently. Additionally, the numerical simulation of practical engineering is conducted. Compared with constant-order time-fractional peridynamics, the proposed model can improve the simulation accuracy by 16.7% with fewer model parameters. Full article
Show Figures

Figure 1

18 pages, 795 KB  
Article
Investigation of Delay-Induced Hopf Bifurcation in a Fractional Neutral-Type Neural Network
by Shuai Li, Xinyu Song and Chengdai Huang
Fractal Fract. 2025, 9(3), 189; https://doi.org/10.3390/fractalfract9030189 - 19 Mar 2025
Viewed by 482
Abstract
This paper investigates stability switches induced by Hopf bifurcation in a fractional three-neuron network that incorporates both neutral time delay and communication delay, as well as a general structure. Initially, we simplified the characteristic equation by eliminating trigonometric terms associated with purely imaginary [...] Read more.
This paper investigates stability switches induced by Hopf bifurcation in a fractional three-neuron network that incorporates both neutral time delay and communication delay, as well as a general structure. Initially, we simplified the characteristic equation by eliminating trigonometric terms associated with purely imaginary roots, enabling us to derive the Hopf bifurcation conditions for communication delay while treating the neutral time delay as a constant. The results reveal that communication delay can drive a stable equilibrium into instability once it exceeds the Hopf bifurcation threshold. Furthermore, we performed a sensitivity analysis to identify the fractional order and neutral delay as the two most sensitive parameters influencing the bifurcation value for the illustrative example. Notably, in contrast to neural networks with only retarded delays, our numerical observations show that the Hopf bifurcation curve is non-monotonic, highlighting that the neural network with a fixed communication delay can exhibit stability switches and eventually stabilize as the neutral delay increases. Full article
Show Figures

Figure 1

27 pages, 392 KB  
Article
L1 Scheme for Semilinear Stochastic Subdiffusion with Integrated Fractional Gaussian Noise
by Xiaolei Wu and Yubin Yan
Fractal Fract. 2025, 9(3), 173; https://doi.org/10.3390/fractalfract9030173 - 12 Mar 2025
Viewed by 762
Abstract
This paper considers a numerical method for solving the stochastic semilinear subdiffusion equation which is driven by integrated fractional Gaussian noise and the Hurst parameter H(1/2,1). The finite element method is employed for spatial [...] Read more.
This paper considers a numerical method for solving the stochastic semilinear subdiffusion equation which is driven by integrated fractional Gaussian noise and the Hurst parameter H(1/2,1). The finite element method is employed for spatial discretization, while the L1 scheme and Lubich’s first-order convolution quadrature formula are used to approximate the Caputo time-fractional derivative of order α(0,1) and the Riemann–Liouville time-fractional integral of order γ(0,1), respectively. Using the semigroup approach, we establish the temporal and spatial regularity of the mild solution to the problem. The fully discrete solution is expressed as a convolution of a piecewise constant function with the inverse Laplace transform of a resolvent-related function. Based on the Laplace transform method and resolvent estimates, we prove that the proposed numerical scheme has the optimal convergence order O(τmin{H+α+γ1ε,α}),ε>0. Numerical experiments are presented to validate these theoretical convergence orders and demonstrate the effectiveness of this method. Full article
28 pages, 2636 KB  
Article
Analytical Solutions and Stability Analysis of a Fractional-Order Open-Loop CSTR Model for PMMA Polymerization
by Luis-Felipe Velázquez-León, Martín Rivera-Toledo and Guillermo Fernández-Anaya
Processes 2025, 13(3), 793; https://doi.org/10.3390/pr13030793 - 9 Mar 2025
Cited by 1 | Viewed by 996
Abstract
This study examines the asymptotic stability of a continuous stirred tank reactor (CSTR) used for poly(methyl methacrylate) (PMMA) polymerisation, utilizing nonlinear fractional-order mathematical models. By applying Taylor series and Laplace transform techniques analytically and incorporating real plant data, we focus exclusively on the [...] Read more.
This study examines the asymptotic stability of a continuous stirred tank reactor (CSTR) used for poly(methyl methacrylate) (PMMA) polymerisation, utilizing nonlinear fractional-order mathematical models. By applying Taylor series and Laplace transform techniques analytically and incorporating real plant data, we focus exclusively on the chemical reaction effects in the kinetic constants, disregarding mass transport phenomena. Our results confirm that fractional derivatives significantly enhance the stability and performance of dynamic models compared to traditional integer-order approaches. Specifically, we analyze the stability of a linearized fractional-order system at steady state, demonstrating that the system maintains asymptotic stability within feasible operational limits. Variations in the fractional order reveal distinct impacts on stability regions and system performance, with optimal values leading to improved monomer conversion, polymer concentration, and weight-average molecular weight. Comparative analyses between fractional- and integer-order models show that fractional-order operators broaden stability regions and enable precise tuning of process variables. These findings underscore the efficiency gains achievable through fractional differential equations in polymerisation reactors, positioning fractional calculus as a powerful tool for optimizing CSTR-based polymer production. Full article
(This article belongs to the Section Chemical Processes and Systems)
Show Figures

Graphical abstract

14 pages, 3462 KB  
Article
Equation of State Parameters of hcp-Fe Up to Super-Earth Interior Conditions
by Yanyao Zhang, Shichang Zhang, Dongyang Kuang and Chao Xiong
Crystals 2025, 15(3), 221; https://doi.org/10.3390/cryst15030221 - 26 Feb 2025
Viewed by 773
Abstract
Equation of state (EoS) parameters of hexagonal close-packed iron (hcp-Fe), the dominant core component in large terrestrial planets, is crucial for studying interior structures of super-Earths. However, EoS parameters at interior conditions of super-Earths remain poorly constrained, and extrapolating from Earth’s core conditions [...] Read more.
Equation of state (EoS) parameters of hexagonal close-packed iron (hcp-Fe), the dominant core component in large terrestrial planets, is crucial for studying interior structures of super-Earths. However, EoS parameters at interior conditions of super-Earths remain poorly constrained, and extrapolating from Earth’s core conditions introduces significant uncertainties at TPa pressures. Here, we compiled experimental static and dynamic compression data and theoretical data up to 1374 GPa and 12,000 K from the literature to refine the EoS of hcp-Fe. Using the third-order Birch–Murnaghan and Mie–Grüneisen–Debye equations, we obtained V0 (unit-cell volume) = 6.756 (10) cm3/mol, KT0 (isothermal bulk modulus) = 174.7 (17) GPa, KT0 (pressure derivative of KT0) = 4.790 (14), θ0 (Debye temperature) = 1209 (73) K, γ0 (Grüneisen parameters) = 2.86 (10), and q (volume-independent constant) = 0.84 (5) at ambient conditions. These parameters were then incorporated into an interior model of CoRoT-7b and Kepler-10b, which includes four solid compositional layers (forsterite, MgSiO3 perovskite, post-perovskite, and hcp-Fe). The model yields the core mass fractions (CMF) of 0.1709 in CoRoT-7b and 0.2216 in Kepler-10b, suggesting a Mars-like interior structure. Extrapolation uncertainties (±10–20% in density) can change CMF by −12.6 to 21.2%, highlighting the necessity of precise EoS constraints at the super-Earth interior conditions. Full article
(This article belongs to the Section Inorganic Crystalline Materials)
Show Figures

Figure 1

15 pages, 293 KB  
Article
Solvability of Boundary Value Problems for Differential Equations Combining Ordinary and Fractional Derivatives of Non-Autonomous Variable Order
by Mohammed Said Souid, Amar Benkerrouche, Souad Guedim, Sandra Pinelas and Abdelkader Amara
Symmetry 2025, 17(2), 184; https://doi.org/10.3390/sym17020184 - 25 Jan 2025
Cited by 1 | Viewed by 988
Abstract
This study introduces a novel approach for investigating the solvability of boundary value problems for differential equations that incorporate both ordinary and fractional derivatives, specifically within the context of non-autonomous variable order. Unlike traditional methods in the literature, which often rely on generalized [...] Read more.
This study introduces a novel approach for investigating the solvability of boundary value problems for differential equations that incorporate both ordinary and fractional derivatives, specifically within the context of non-autonomous variable order. Unlike traditional methods in the literature, which often rely on generalized intervals and piecewise constant functions, we propose a new fractional operator better suited for this problem. We analyze the existence and uniqueness of solutions, establishing the conditions necessary for these properties to hold using the Krasnoselskii fixed-point theorem and Banach’s contraction principle. Our study also addresses the Ulam–Hyers stability of the proposed problems, examining how variations in boundary conditions influence the solution dynamics. To support our theoretical framework, we provide numerical examples that not only validate our findings but also demonstrate the practical applicability of these mixed derivative equations across various scientific domains. Additionally, concepts such as symmetry may offer further insights into the behavior of solutions. This research contributes to a deeper understanding of complex differential equations and their implications in real-world scenarios. Full article
(This article belongs to the Section Mathematics)
Back to TopTop