Sign in to use this feature.

Years

Between: -

Subjects

remove_circle_outline
remove_circle_outline
remove_circle_outline
remove_circle_outline
remove_circle_outline
remove_circle_outline
remove_circle_outline
remove_circle_outline
remove_circle_outline

Journals

Article Types

Countries / Regions

Search Results (63)

Search Parameters:
Keywords = flavin oxidase

Order results
Result details
Results per page
Select all
Export citation of selected articles as:
30 pages, 1996 KB  
Review
Electrochemical Choline Sensing: Biological Context, Electron Transfer Pathways and Practical Design Strategies
by Angel A. J. Torriero, Sarah M. Thiak and Ashwin K. V. Mruthunjaya
Biomolecules 2026, 16(1), 23; https://doi.org/10.3390/biom16010023 - 23 Dec 2025
Viewed by 307
Abstract
Choline is a central metabolite that connects membrane turnover, neurotransmission, and one-carbon metabolism, and its reliable measurement across diverse biological matrices remains a significant analytical challenge. This review brings together biological context, electrochemical mechanisms, and device engineering to define realistic performance targets for [...] Read more.
Choline is a central metabolite that connects membrane turnover, neurotransmission, and one-carbon metabolism, and its reliable measurement across diverse biological matrices remains a significant analytical challenge. This review brings together biological context, electrochemical mechanisms, and device engineering to define realistic performance targets for choline sensors in blood, cerebrospinal fluid, extracellular space, and milk. We examine enzymatic sensor architectures ranging from peroxide-based detection to mediated electron transfer via ferrocene derivatives, quinones, and osmium redox polymers and assess how applied potential, oxygen availability, and film structure shape electron-transfer pathways. Evidence for direct electron transfer with choline oxidase is critically evaluated, with emphasis on the essential controls needed to distinguish true flavin-based communication from peroxide-related artefacts. We also examine bienzymatic formats that allow operation at low or negative bias and discuss strategies for matrix-matched validation, selectivity, drift control, and resistance to fouling. To support reliable translation, we outline reporting standards that include matrix-specific concentration ranges, reference electrode notation, mediator characteristics, selectivity panels, and access to raw electrochemical traces. By connecting biological requirements to mechanistic pathways and practical design considerations, this review provides a coherent framework for developing choline sensors that deliver stable, reproducible performance in real samples. Full article
(This article belongs to the Section Chemical Biology)
Show Figures

Figure 1

25 pages, 2321 KB  
Review
The Role of Renalase in Cardiovascular Disease: A Comprehensive Review of Its Molecular Biology, Genetic Associations, and Clinical Significance
by Siarhei A. Dabravolski, Andrey V. Omelchenko, Elizaveta R. Korchagina, Olga N. Maltseva, Vsevolod V. Pavshintsev and Tatiana I. Kovyanova
Life 2025, 15(10), 1581; https://doi.org/10.3390/life15101581 - 10 Oct 2025
Viewed by 1072
Abstract
Renalase, a flavin adenine dinucleotide (FAD)-dependent enzyme/hormone, has emerged as a molecule of significant interest in cardiovascular medicine since its discovery nearly two decades ago. Initially proposed as a catecholamine-degrading enzyme crucial for blood pressure regulation, its functional repertoire has expanded to include [...] Read more.
Renalase, a flavin adenine dinucleotide (FAD)-dependent enzyme/hormone, has emerged as a molecule of significant interest in cardiovascular medicine since its discovery nearly two decades ago. Initially proposed as a catecholamine-degrading enzyme crucial for blood pressure regulation, its functional repertoire has expanded to include potential α-NAD(P)H oxidase/anomerase activity and roles as a signalling cytokine. This review synthesises the current understanding of renalase, encompassing its fundamental biology, intricate gene regulation by transcriptional factors, microRNAs, and physiological stimuli, and its implications in cardiovascular health and disease. A central focus is the critical appraisal of circulating renalase as a clinical biomarker. We critically evaluate findings from preclinical animal and cellular models related to atherosclerosis, heart failure, and blood pressure control. Furthermore, this review examines the extensive literature on RNLS gene polymorphisms and their associations with human cardiovascular phenotypes, alongside the complex and often context-dependent data regarding circulating renalase levels as a potential clinical biomarker in conditions such as hypertension, coronary artery disease, atrial fibrillation, and heart failure. While renalase shows context-specific promise, its multifaceted biology and the current methodological disparities limit its immediate clinical application. This review concludes by outlining a clear path forward, emphasising the need for standardised research and mechanistic studies to unlock the true diagnostic and therapeutic potential of renalase in CVD. Full article
(This article belongs to the Section Physiology and Pathology)
Show Figures

Figure 1

25 pages, 6054 KB  
Review
Recent Advances in Biocatalytic Dearomative Spirocyclization Reactions
by Xiaorui Chen, Changtong Zhu, Luyun Ji, Changmei Liu, Yan Zhang, Yijian Rao and Zhenbo Yuan
Catalysts 2025, 15(7), 673; https://doi.org/10.3390/catal15070673 - 10 Jul 2025
Cited by 2 | Viewed by 3266
Abstract
Spirocyclic architectures, which feature two rings sharing a single atom, are common in natural products and exhibit beneficial biological and material properties. Due to the significance of these architectures, biocatalytic dearomative spirocyclization has recently emerged as a powerful approach for constructing three-dimensional spirocyclic [...] Read more.
Spirocyclic architectures, which feature two rings sharing a single atom, are common in natural products and exhibit beneficial biological and material properties. Due to the significance of these architectures, biocatalytic dearomative spirocyclization has recently emerged as a powerful approach for constructing three-dimensional spirocyclic frameworks under mild, sustainable conditions and with exquisite stereocontrol. This review surveys the latest advances in biocatalyzed spirocyclization of all-carbon arenes (phenols and benzenes), aza-aromatics (indoles and pyrroles), and oxa-aromatics (furans). We highlight cytochrome P450s, flavin-dependent monooxygenases, multicopper oxidases, and novel metalloenzyme platforms that effect regio- and stereoselective oxidative coupling, epoxidation/semi-pinacol rearrangement, and radical-mediated cyclization to produce diverse spirocycles. Mechanistic insights gleaned from structural, computational, and isotope-labeling studies are discussed where necessary to help the readers further understand the reported reactions. Collectively, these examples demonstrate the transformative potential of biocatalysis to streamline access to spirocyclic scaffolds that are challenging to prepare through traditional methods, underscoring biocatalysis as a transformative tool for synthesizing pharmaceutically relevant spiroscaffolds while adhering to green chemistry paradigms to ultimately contribute to a cleaner and more sustainable future. Full article
(This article belongs to the Section Biocatalysis)
Show Figures

Graphical abstract

18 pages, 2256 KB  
Review
L-gulono-γ-lactone Oxidase, the Key Enzyme for L-Ascorbic Acid Biosynthesis
by Abdul Aziz M. Gad and Agnieszka Sirko
Curr. Issues Mol. Biol. 2024, 46(10), 11057-11074; https://doi.org/10.3390/cimb46100657 - 1 Oct 2024
Cited by 5 | Viewed by 4589
Abstract
L-ascorbic acid (AsA, vitamin C) plays a vital role in preventing various diseases, particularly scurvy. AsA is known for its antioxidant properties, which help protect against reactive oxygen species generated from metabolic activities; however, at high doses, it may exhibit pro-oxidative effects. The [...] Read more.
L-ascorbic acid (AsA, vitamin C) plays a vital role in preventing various diseases, particularly scurvy. AsA is known for its antioxidant properties, which help protect against reactive oxygen species generated from metabolic activities; however, at high doses, it may exhibit pro-oxidative effects. The final step in AsA biosynthesis is catalyzed by L-gulono-γ-lactone oxidase (GULO). This enzyme is present in many organisms, but some animals, including humans, guinea pigs, bats, and other primates, are unable to synthesize AsA due to the absence of a functional GULO gene. The GULO enzyme belongs to the family of aldonolactone oxidoreductases (AlORs) and contains two conserved domains, an N-terminal FAD-binding region and a C-terminal HWXK motif capable of binding the flavin cofactor. In this review, we explore AsA production, the biosynthetic pathways of AsA, and the localization of GULO-like enzymes in both animal and plant cells. Additionally, we compare the amino acid sequences of AlORs across different species and summarize the findings related to their enzymatic activity. Interestingly, a recombinant C-terminal rat GULO (the cytoplasmic domain of the rat GULO expressed in Escherichia coli) demonstrated enzymatic activity. This suggests that the binding of the flavin cofactor to the HWXK motif at the C-terminus is sufficient for the formation of the enzyme’s active site. Another enzyme, GULLO7 from Arabidopsis thaliana, also lacks the N-terminal FAD-binding domain and is strongly expressed in mature pollen, although its activity has not been specifically measured. Full article
(This article belongs to the Special Issue Latest Review Papers in Molecular Biology 2024)
Show Figures

Figure 1

23 pages, 7409 KB  
Article
Computational Screening of T-Muurolol for an Alternative Antibacterial Solution against Staphylococcus aureus Infections: An In Silico Approach for Phytochemical-Based Drug Discovery
by Soham Bhattacharya, Pijush Kanti Khanra, Adrish Dutta, Neha Gupta, Zahra Aliakbar Tehrani, Lucie Severová, Karel Šrédl, Marek Dvořák and Eloy Fernández-Cusimamani
Int. J. Mol. Sci. 2024, 25(17), 9650; https://doi.org/10.3390/ijms25179650 - 6 Sep 2024
Cited by 11 | Viewed by 2671
Abstract
Staphylococcus aureus infections present a significant threat to the global healthcare system. The increasing resistance to existing antibiotics and their limited efficacy underscores the urgent need to identify new antibacterial agents with low toxicity to effectively combat various S. aureus infections. Hence, in [...] Read more.
Staphylococcus aureus infections present a significant threat to the global healthcare system. The increasing resistance to existing antibiotics and their limited efficacy underscores the urgent need to identify new antibacterial agents with low toxicity to effectively combat various S. aureus infections. Hence, in this study, we have screened T-muurolol for possible interactions with several S. aureus-specific bacterial proteins to establish its potential as an alternative antibacterial agent. Based on its binding affinity and interactions with amino acids, T-muurolol was identified as a potential inhibitor of S. aureus lipase, dihydrofolate reductase, penicillin-binding protein 2a, D-Ala:D-Ala ligase, and ribosome protection proteins tetracycline resistance determinant (RPP TetM), which indicates its potentiality against S. aureus and its multi-drug-resistant strains. Also, T-muurolol exhibited good antioxidant and anti-inflammatory activity by showing strong binding interactions with flavin adenine dinucleotide (FAD)-dependent nicotinamide adenine dinucleotide phosphate (NAD(P)H) oxidase, and cyclooxygenase-2. Consequently, molecular dynamics (MD) simulation and recalculating binding free energies elucidated its binding interaction stability with targeted proteins. Furthermore, quantum chemical structure analysis based on density functional theory (DFT) depicted a higher energy gap between the highest occupied molecular orbital and lowest unoccupied molecular orbital (EHOMO-LUMO) with a lower chemical potential index, and moderate electrophilicity suggests its chemical hardness and stability and less polarizability and reactivity. Additionally, pharmacological parameters based on ADMET, Lipinski’s rules, and bioactivity score validated it as a promising drug candidate with high activity toward ion channel modulators, nuclear receptor ligands, and enzyme inhibitors. In conclusion, the current findings suggest T-muurolol as a promising alternative antibacterial agent that might be a potential phytochemical-based drug against S. aureus. This study also suggests further clinical research before human application. Full article
(This article belongs to the Special Issue Recent Advances in Medicinal Plants and Natural Products)
Show Figures

Figure 1

2 pages, 142 KB  
Abstract
Is the Generation of Active Vitamin B6 Dependent upon Riboflavin Status? New Analysis of Data from RCTs of Riboflavin Supplementation
by Ryan Barlow, Helene McNulty, Catherine Hughes, Kristina Pentieva, Geraldine Horigan, Yvonne Lamers and Mary Ward
Proceedings 2023, 91(1), 436; https://doi.org/10.3390/proceedings2023091436 - 5 Aug 2024
Viewed by 1510
Abstract
Background and objectives: Riboflavin in the form flavin mononucleotide (FMN) acts as a cofactor for the pyridoxine phosphate oxidase required to generate pyridoxal 5′-phosphate (PLP), the active form of vitamin B6 in tissues. Few human studies have investigated this metabolic interaction between riboflavin [...] Read more.
Background and objectives: Riboflavin in the form flavin mononucleotide (FMN) acts as a cofactor for the pyridoxine phosphate oxidase required to generate pyridoxal 5′-phosphate (PLP), the active form of vitamin B6 in tissues. Few human studies have investigated this metabolic interaction between riboflavin and vitamin B6. The primary objective of this study was to examine the response of plasma PLP to riboflavin supplementation in individuals with the MTHFR 677TT genotype. A secondary objective was to consider whether the dose of riboflavin (1.6 mg/d vs. 10 mg/d) affects the PLP response. Methods: Data from four randomised controlled trials (RCTs) of riboflavin supplementation previously conducted at this centre were accessed to identify 209 participants of 19–60 years meeting the inclusion criteria (≤60 years, MTHFR 677TT genotype, not taking a vitamin B6 supplement). In the original RCTs, participants were randomly assigned to receive a placebo (n = 85) or 1.6 mg/d of riboflavin (n = 87) for 16 weeks. In one trial only, a higher riboflavin dose, 10 mg/d (n = 37), was administered. Plasma PLP was measured via reversed phase HPLC with fluorescence detection. Riboflavin status was assessed using the functional assay, erythrocyte glutathione reductase activation coefficient (EGRac). Results: riboflavin supplementation resulted in a decrease (p < 0.001) in the mean EGRac values, from 1.34 (1.32, 1.37) to 1.21 (1.19, 1.22). Correspondingly, PLP increased (p = 0.027), an effect driven by those with a sub-optimal riboflavin status at baseline (EGRac > 1.26), whereby PLP increased by 5.2 nmol/L, from 44.9 (40.3, 49.4) to 50.1 (44.6, 55.6) nmol/L (p = 0.042), while with the optimal baseline riboflavin (EGRac ≤ 1.26), there was no significant PLP response to the intervention. Although 10 mg/d vs. 1.6 mg/d of riboflavin resulted in a greater EGRac response (p = 0.012), there was no significant effect of riboflavin dose on the PLP response. Discussion: These results provide randomised trial evidence that optimising riboflavin status leads to an increase in plasma PLP, confirming the metabolic dependency of vitamin B6 on FMN. The findings indicate that riboflavin intake may need to be considered when setting dietary recommendations for vitamin B6 in adults. Further work is needed to explore the impact of the common MTHFR C677T polymorphism of the interrelationship of these B vitamins. Full article
(This article belongs to the Proceedings of The 14th European Nutrition Conference FENS 2023)
22 pages, 724 KB  
Article
Glyphosate-Induced Phosphonatase Operons in Soil Bacteria of the Genus Achromobacter
by Dmitry O. Epiktetov, Alexey V. Sviridov, Sergey V. Tarlachkov, Tatyana V. Shushkova, Ilya Yu. Toropygin and Alexey A. Leontievsky
Int. J. Mol. Sci. 2024, 25(12), 6409; https://doi.org/10.3390/ijms25126409 - 10 Jun 2024
Cited by 4 | Viewed by 2070
Abstract
Achromobacter insolitus and Achromobacter aegrifaciens, bacterial degraders of the herbicide glyphosate, were found to induce phosphonatase (phosphonoacetaldehyde hydrolase, EC 3.11.1.1) when grown on minimal media with glyphosate as the sole source of phosphorus. The phosphonatases of the strains were purified to an [...] Read more.
Achromobacter insolitus and Achromobacter aegrifaciens, bacterial degraders of the herbicide glyphosate, were found to induce phosphonatase (phosphonoacetaldehyde hydrolase, EC 3.11.1.1) when grown on minimal media with glyphosate as the sole source of phosphorus. The phosphonatases of the strains were purified to an electrophoretically homogeneous state and characterized. The enzymes differed in their kinetic characteristics and some other parameters from the previously described phosphonatases. The phosphonatase of A. insolitus was first revealed to separate into two stable forms, which had similar kinetic characteristics but interacted differently with affinity and ion-exchange resins. The genomes of the investigated bacteria were sequenced. The phosphonatase genes were identified, and their context was determined: the bacteria were shown to have gene clusters, which, besides the phosphonatase operon, included genes for LysR-type transcription activator (substrate sensor) and putative iron-containing oxygenase PhnHD homologous to monooxygenases PhnY and TmpB of marine organophosphonate degraders. Genes of 2-aminoethylphosphonate aminotransferase (PhnW, EC 2.6.1.37) were absent in the achromobacterial phosphonatase operons; instead, we revealed the presence of genes encoding the putative flavin oxidase HpnW. In silico simulation showed 1-hydroxy-2-aminoethylphosphonate to be the most likely substrate of the new monooxygenase, and a number of glycine derivatives structurally similar to glyphosate to be substrates of flavin oxidase. Full article
(This article belongs to the Section Biochemistry)
Show Figures

Figure 1

21 pages, 3862 KB  
Article
Identification and Evaluation of Olive Phenolics in the Context of Amine Oxidase Enzyme Inhibition and Depression: In Silico Modelling and In Vitro Validation
by Tom C. Karagiannis, Katherine Ververis, Julia J. Liang, Eleni Pitsillou, Siyao Liu, Sarah M. Bresnehan, Vivian Xu, Stevano J. Wijoyo, Xiaofei Duan, Ken Ng, Andrew Hung, Erik Goebel and Assam El-Osta
Molecules 2024, 29(11), 2446; https://doi.org/10.3390/molecules29112446 - 23 May 2024
Cited by 4 | Viewed by 3066
Abstract
The Mediterranean diet well known for its beneficial health effects, including mood enhancement, is characterised by the relatively high consumption of extra virgin olive oil (EVOO), which is rich in bioactive phenolic compounds. Over 200 phenolic compounds have been associated with Olea europaea [...] Read more.
The Mediterranean diet well known for its beneficial health effects, including mood enhancement, is characterised by the relatively high consumption of extra virgin olive oil (EVOO), which is rich in bioactive phenolic compounds. Over 200 phenolic compounds have been associated with Olea europaea, and of these, only a relatively small fraction have been characterised. Utilising the OliveNetTM library, phenolic compounds were investigated as potential inhibitors of the epigenetic modifier lysine-specific demethylase 1 (LSD1). Furthermore, the compounds were screened for inhibition of the structurally similar monoamine oxidases (MAOs) which are directly implicated in the pathophysiology of depression. Molecular docking highlighted that olive phenolics interact with the active site of LSD1 and MAOs. Protein–peptide docking was also performed to evaluate the interaction of the histone H3 peptide with LSD1, in the presence of ligands bound to the substrate-binding cavity. To validate the in silico studies, the inhibitory activity of phenolic compounds was compared to the clinically approved inhibitor tranylcypromine. Our findings indicate that olive phenolics inhibit LSD1 and the MAOs in vitro. Using a cell culture model system with corticosteroid-stimulated human BJ fibroblast cells, the results demonstrate the attenuation of dexamethasone- and hydrocortisone-induced MAO activity by phenolic compounds. The findings were further corroborated using human embryonic stem cell (hESC)-derived neurons stimulated with all-trans retinoic acid. Overall, the results indicate the inhibition of flavin adenine dinucleotide (FAD)-dependent amine oxidases by olive phenolics. More generally, our findings further support at least a partial mechanism accounting for the antidepressant effects associated with EVOO and the Mediterranean diet. Full article
Show Figures

Figure 1

23 pages, 5517 KB  
Review
Pyridoxal 5′-Phosphate Biosynthesis by Pyridox-(am)-ine 5′-Phosphate Oxidase: Species-Specific Features
by Maribel Rivero, Nerea Novo and Milagros Medina
Int. J. Mol. Sci. 2024, 25(6), 3174; https://doi.org/10.3390/ijms25063174 - 9 Mar 2024
Cited by 8 | Viewed by 7143
Abstract
Enzymes reliant on pyridoxal 5′-phosphate (PLP), the metabolically active form of vitamin B6, hold significant importance in both biology and medicine. They facilitate various biochemical reactions, particularly in amino acid and neurotransmitter metabolisms. Vitamin B6 is absorbed by organisms in [...] Read more.
Enzymes reliant on pyridoxal 5′-phosphate (PLP), the metabolically active form of vitamin B6, hold significant importance in both biology and medicine. They facilitate various biochemical reactions, particularly in amino acid and neurotransmitter metabolisms. Vitamin B6 is absorbed by organisms in its non-phosphorylated form and phosphorylated within cells via pyridoxal kinase (PLK) and pyridox-(am)-ine 5′-phosphate oxidase (PNPOx). The flavin mononucleotide-dependent PNPOx enzyme converts pyridoxine 5′-phosphate and pyridoxamine 5′-phosphate into PLP. PNPOx is vital for both biosynthesis and salvage pathways in organisms producing B6 vitamers. However, for those depending on vitamin B6 as a nutrient, PNPOx participates only in the salvage pathway. Transferring the PLP produced via PNPOx to client apo-enzymes is indispensable for their catalytic function, proper folding and targeting of specific organelles. PNPOx activity deficiencies due to inborn errors lead to severe neurological pathologies, particularly neonatal epileptic encephalopathy. PNPOx maintains PLP homeostasis through highly regulated mechanisms, including structural alterations throughout the catalytic cycle and allosteric PLP binding, influencing substrate transformation at the active site. Elucidation at the molecular level of the mechanisms underlying PNPOx activity deficiencies is a requirement to develop personalized approaches to treat related disorders. Finally, despite shared features, the few PNPOx enzymes molecularly and functionally studied show species-specific regulatory properties that open the possibility of targeting it in pathogenic organisms. Full article
Show Figures

Figure 1

16 pages, 4618 KB  
Article
Structure-Function Studies of Glucose Oxidase in the Presence of Carbon Nanotubes and Bio-Graphene for the Development of Electrochemical Glucose Biosensors
by Christina Alatzoglou, Eleni I. Tzianni, Michaela Patila, Maria G. Trachioti, Mamas I. Prodromidis and Haralambos Stamatis
Nanomaterials 2024, 14(1), 85; https://doi.org/10.3390/nano14010085 - 28 Dec 2023
Cited by 11 | Viewed by 3386
Abstract
In this work, we investigated the effect of multi-walled carbon nanotubes (MWCNTs) and bio-graphene (bG) on the structure and activity of glucose oxidase (GOx), as well as on the performance of the respective electrochemical glucose biosensors. Various spectroscopic techniques were applied to evaluate [...] Read more.
In this work, we investigated the effect of multi-walled carbon nanotubes (MWCNTs) and bio-graphene (bG) on the structure and activity of glucose oxidase (GOx), as well as on the performance of the respective electrochemical glucose biosensors. Various spectroscopic techniques were applied to evaluate conformational changes in GOx molecules induced by the presence of MWCNTs and bG. The results showed that MWCNTs induced changes in the flavin adenine dinucleotide (FAD) prosthetic group of GOx, and the tryptophan residues were exposed to a more hydrophobic environment. Moreover, MWCNTs caused protein unfolding and conversion of α-helix to β-sheet structure, whereas bG did not affect the secondary and tertiary structure of GOx. The effect of the structural changes was mirrored by a decrease in the activity of GOx (7%) in the presence of MWCNTs, whereas the enzyme preserved its activity in the presence of bG. The beneficial properties of bG over MWCNTs on GOx activity were further supported by electrochemical data at two glucose biosensors based on GOx entrapped in chitosan gel in the presence of bG or MWCNTs. bG-based biosensors exhibited a 1.33-fold increased sensitivity and improved reproducibility for determining glucose over the sweat-relevant concentration range of glucose. Full article
(This article belongs to the Special Issue Nanotechnology for Biosensors and Bioelectronics Applications)
Show Figures

Figure 1

18 pages, 3949 KB  
Article
Subfunctionalization of Parental Polyamine Oxidase (PAO) Genes in the Allopolyploid Tobacco Nicotiana tabacum (L.)
by Péter Benkő, Nikolett Kaszler, Katalin Gémes and Attila Fehér
Genes 2023, 14(11), 2025; https://doi.org/10.3390/genes14112025 - 30 Oct 2023
Cited by 4 | Viewed by 1894
Abstract
Polyamines play an important role in developmental and environmental stress responses in plants. Polyamine oxidases (PAOs) are flavin-adenine-dinucleotide-dependent enzymes associated with polyamine catabolism. In this study, 14 genes were identified in the tobacco genome that code for PAO proteins being named based on [...] Read more.
Polyamines play an important role in developmental and environmental stress responses in plants. Polyamine oxidases (PAOs) are flavin-adenine-dinucleotide-dependent enzymes associated with polyamine catabolism. In this study, 14 genes were identified in the tobacco genome that code for PAO proteins being named based on their sequence homology with Arabidopsis PAOs (AtPAO1-5): NtPAO1A-B; NtPAO2A-C, NtPAO4A-D, and NtPAO5A-E. Sequence analysis confirmed that the PAO gene family of the allopolyploid hybrid Nicotiana tabacum is not an exact combination of the PAO genes of the maternal Nicotiana sylvestris and paternal Nicotiana tomentosiformis ones. The loss of the N. sylvestris homeolog of NtPAO5E and the gain of an extra NtPAO2 copy, likely of Nicotiana othophora origin, was revealed. The latter adds to the few pieces of evidence suggesting that the paternal parent of N. tabacum was an introgressed hybrid of N. tomentosiformis and N. othophora. Gene expression analysis indicated that all 14 PAO genes kept their expression following the formation of the hybrid species. The homeologous gene pairs showed similar or opposite regulation depending on the investigated organ, applied stress, or hormone treatment. The data indicate that the expression pattern of the homeologous genes is diversifying in a process of subfunctionalization. Full article
(This article belongs to the Section Plant Genetics and Genomics)
Show Figures

Figure 1

31 pages, 10604 KB  
Review
A Concise Review of the Recent Structural Explorations of Chromones as MAO-B Inhibitors: Update from 2017 to 2023
by Reshma Susan Ipe, Sunil Kumar, Feba Benny, Jayalakshmi Jayan, Amritha Manoharan, Sachitra Thazhathuveedu Sudevan, Ginson George, Prashant Gahtori, Hoon Kim and Bijo Mathew
Pharmaceuticals 2023, 16(9), 1310; https://doi.org/10.3390/ph16091310 - 15 Sep 2023
Cited by 11 | Viewed by 3623
Abstract
Monoamine oxidases (MAOs) are a family of flavin adenine dinucleotide-dependent enzymes that catalyze the oxidative deamination of a wide range of endogenous and exogenous amines. Multiple neurological conditions, including Parkinson’s disease (PD) and Alzheimer’s disease (AD), are closely correlated with altered biogenic amine [...] Read more.
Monoamine oxidases (MAOs) are a family of flavin adenine dinucleotide-dependent enzymes that catalyze the oxidative deamination of a wide range of endogenous and exogenous amines. Multiple neurological conditions, including Parkinson’s disease (PD) and Alzheimer’s disease (AD), are closely correlated with altered biogenic amine concentrations in the brain caused by MAO. Toxic byproducts of this oxidative breakdown, including hydrogen peroxide, reactive oxygen species, and ammonia, can cause oxidative damage and mitochondrial dysfunction in brain cells. Certain MAO-B blockers have been recognized as effective treatment options for managing neurological conditions, including AD and PD. There is still a pressing need to find potent therapeutic molecules to fight these disorders. However, the focus of neurodegeneration studies has recently increased, and certain compounds are now in clinical trials. Chromones are promising structures for developing therapeutic compounds, especially in neuronal degeneration. This review focuses on the MAO-B inhibitory potential of several synthesized chromones and their structural activity relationships. Concerning the discovery of a novel class of effective chromone-based selective MAO-B-inhibiting agents, this review offers readers a better understanding of the most recent additions to the literature. Full article
(This article belongs to the Section Biopharmaceuticals)
Show Figures

Figure 1

18 pages, 3100 KB  
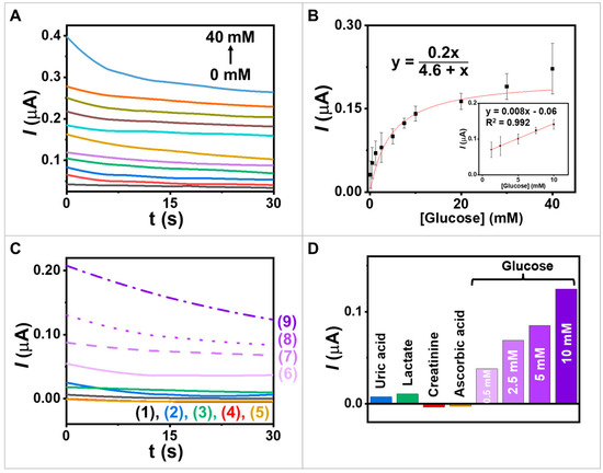
Article
Glucose Oxidase/Egg White Protein Microparticles with a Redox Mediator for Glucose Biosensors on a Screen-Printed Electrode and a Decomposable Electrode
by Natcha Rasitanon, Parinthorn Rattanapan, Kanyawee Kaewpradub, Chittanon Buranachai and Itthipon Jeerapan
Biosensors 2023, 13(8), 772; https://doi.org/10.3390/bios13080772 - 29 Jul 2023
Cited by 5 | Viewed by 3334
Abstract
Glucose oxidase (GOx) is a typical model enzyme used to create biosensors. Exploring a strategy to prepare ready-to-use functional enzymatic microparticles combining GOx and food-based proteins offers compelling advantages. However, no reports exist on the integration of egg white materials to synthesize functional [...] Read more.
Glucose oxidase (GOx) is a typical model enzyme used to create biosensors. Exploring a strategy to prepare ready-to-use functional enzymatic microparticles combining GOx and food-based proteins offers compelling advantages. However, no reports exist on the integration of egg white materials to synthesize functional biorecognition particles with glucose oxidation catalytic functions for electrochemical biosensors. Here, we demonstrate functional microparticles combining egg white proteins, GOx, and 9,10-phenanthrenequinone (PQ). The egg white proteins crosslink to form three-dimensional scaffolds to accommodate GOx and redox molecules. The PQ mediator enhances electron transfer between the electrode surface and the GOx enzyme’s flavin adenine dinucleotides. The functional microparticles are directly applied to the printed electrode. The performance of these microparticles is evaluated using a screen-printed carbon nanotube (CNT)-modified electrode coated with GOx/PQ/egg white protein microparticles. The analytical performance of the system exhibits a linear range of 0.125−40 mM, with a maximum current (Imax) and a Michaelis–Menten constant (Km) being 0.2 µA and 4.6 mM, respectively. Additionally, a decomposable electrode composed of CNTs and edible oil conjugated with functional enzyme microparticles is shown to undergo degradation under gastric conditions. Utilizing food-based proteins to accommodate enzymes and to create redox-active microparticles for catalyzing glucose oxidation offers advantages in developing affordable and degradable bioelectrodes. This concept holds promise for advancing biocompatible electrodes in biosensor and bioelectronics applications. Full article
(This article belongs to the Section Biosensor Materials)
Show Figures

Graphical abstract

15 pages, 2093 KB  
Review
XDH and XO Research and Drug Discovery—Personal History
by Takeshi Nishino
Molecules 2023, 28(11), 4440; https://doi.org/10.3390/molecules28114440 - 30 May 2023
Cited by 9 | Viewed by 8540
Abstract
The author will outline the research history of the main issues addressed in this paper. The author has worked on this research himself. XDH, which is responsible for purine degradation, is present in various organisms. However, conversion to XO only occurs in mammals. [...] Read more.
The author will outline the research history of the main issues addressed in this paper. The author has worked on this research himself. XDH, which is responsible for purine degradation, is present in various organisms. However, conversion to XO only occurs in mammals. The molecular mechanism of this conversion was elucidated in this study. The physiological and pathological significance of this conversion is presented. Finally, enzyme inhibitors were successfully developed, two of which are used as therapeutic agents for gout. Their wide application potential is also discussed. Full article
(This article belongs to the Special Issue Molybdenum and Tungsten Enzymes—State of the Art in Research)
Show Figures

Figure 1

12 pages, 3665 KB  
Article
Cloning of Three Cytokinin Oxidase/Dehydrogenase Genes in Bambusa oldhamii
by Chun-Yen Hsieh and Lu-Sheng Hsieh
Curr. Issues Mol. Biol. 2023, 45(3), 1902-1913; https://doi.org/10.3390/cimb45030123 - 27 Feb 2023
Cited by 2 | Viewed by 2455
Abstract
Cytokinin oxidase/dehydrogenase (CKX) catalyzes the irreversible breakdown of active cytokinins, which are a class of plant hormones that regulate cell division. According to conserved sequences of CKX genes from monocotyledons, PCR primers were designed to synthesize a probe for screening a bamboo genomic [...] Read more.
Cytokinin oxidase/dehydrogenase (CKX) catalyzes the irreversible breakdown of active cytokinins, which are a class of plant hormones that regulate cell division. According to conserved sequences of CKX genes from monocotyledons, PCR primers were designed to synthesize a probe for screening a bamboo genomic library. Cloned results of three genes encoding cytokinin oxidase were named as follows: BoCKX1, BoCKX2, and BoCKX3. In comparing the exon-intron structures among the above three genes, there are three exons and two introns in BoCKX1 and BoCKX3 genes, whereas BoCKX2 contains four exons and three introns. The amino acid sequence of BoCKX2 protein shares 78% and 79% identity with BoCKX1 and BoCKX3 proteins, respectively. BoCKX1 and BoCKX3 genes are particularly closely related given that the amino acid and nucleotide sequence identities are more than 90%. These three BoCKX proteins carried putative signal peptide sequences typical of secretion pathway, and a GHS-motif was found at N-terminal flavin adenine dinucleotide (FAD) binding domain, suggesting that BoCKX proteins might covalently conjugate with an FAD cofactor through a predicted histidine residue. Full article
(This article belongs to the Special Issue Functional Genomics and Comparative Genomics Analysis in Plants)
Show Figures

Figure 1

Back to TopTop