Sign in to use this feature.

Years

Between: -

Subjects

remove_circle_outline
remove_circle_outline
remove_circle_outline
remove_circle_outline
remove_circle_outline
remove_circle_outline
remove_circle_outline
remove_circle_outline
remove_circle_outline

Journals

remove_circle_outline
remove_circle_outline
remove_circle_outline
remove_circle_outline
remove_circle_outline
remove_circle_outline
remove_circle_outline
remove_circle_outline
remove_circle_outline
remove_circle_outline
remove_circle_outline
remove_circle_outline
remove_circle_outline

Article Types

Countries / Regions

remove_circle_outline
remove_circle_outline
remove_circle_outline
remove_circle_outline
remove_circle_outline
remove_circle_outline
remove_circle_outline
remove_circle_outline
remove_circle_outline

Search Results (1,624)

Search Parameters:
Keywords = fire climates

Order results
Result details
Results per page
Select all
Export citation of selected articles as:
21 pages, 1139 KB  
Article
Comparative Assessment of Energy and Emission Costs for Geothermal Heat Pumps and Fossil-Fuel Heating Systems Across U.S. Climatic Zones
by Md Shahin Alam, Shima Afshar, Seyed Ali Arefifar and Mohammad Haq
Processes 2026, 14(5), 876; https://doi.org/10.3390/pr14050876 - 9 Mar 2026
Abstract
In response to growing concerns over global warming and energy sustainability, transitioning from fossil-fuel-based heating systems to renewable alternatives is essential. This study evaluates the economic and environmental performance of geothermal heat pumps for building heating and compares it with conventional coal-fired boilers, [...] Read more.
In response to growing concerns over global warming and energy sustainability, transitioning from fossil-fuel-based heating systems to renewable alternatives is essential. This study evaluates the economic and environmental performance of geothermal heat pumps for building heating and compares it with conventional coal-fired boilers, natural-gas boilers, and diesel furnaces. Using the heating degree-day (HDD) method, heating energy demand was analyzed for four U.S. cities—Anchorage (AK), San Francisco (CA), Salt Lake City (UT), and Las Vegas (NV)—representing diverse climatic zones. The analysis integrates thermodynamic and economic parameters, including the coefficient of performance (COP = 2–5) and annual fuel-utilization efficiency (AFUE = 80–97%), to evaluate heating-system performance and operational cost across different climatic regions. Sensitivity analysis with ±10% variations in fuel and electricity prices and system efficiencies demonstrates that geothermal heating remains the most stable and emission-efficient option under all scenarios. Results indicate that geothermal systems, despite higher reported initial investment, achieve lower operational and emissions-related costs and offer a robust and sustainable solution for decarbonizing building-heating systems. For example, the estimated seasonal geothermal heating cost is $370.59 in Anchorage compared with $646.48 for coal heating and $3375.65 for diesel systems. Furthermore, policy evaluation indicates that federal and state incentives, such as investment tax credit under the Inflation Reduction Act and rebate programs, can reduce installation costs by 25–40%, improving economic feasibility, particularly in colder regions. The analysis focuses exclusively on energy and emissions-related costs and does not explicitly model capital investment or levelized cost metrics. Full article
(This article belongs to the Special Issue Optimization and Analysis of Energy System)
Show Figures

Figure 1

20 pages, 2510 KB  
Article
Analyzing the Effect of the 2015/16 Catastrophic El Niño Event on Wildfire Emissions in Southern Africa Using Lagged Correlation and Interrupted Time-Series Causal Impact Technique
by Lerato Shikwambana, Mahlatse Kganyago and Xiang Zhang
Earth 2026, 7(2), 42; https://doi.org/10.3390/earth7020042 - 6 Mar 2026
Viewed by 185
Abstract
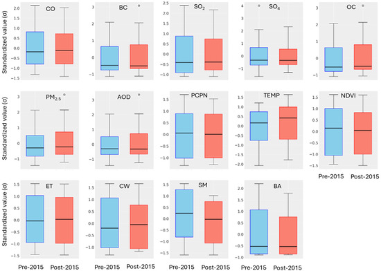
Southern Africa is highly sensitive to climate variability associated with the El Niño Southern Oscillation (ENSO), which strongly influences hydroclimate, vegetation dynamics, and atmospheric composition. This study examined the impacts of the 2015/16 El Niño on vegetation, meteorological conditions, and atmospheric emissions over [...] Read more.
Southern Africa is highly sensitive to climate variability associated with the El Niño Southern Oscillation (ENSO), which strongly influences hydroclimate, vegetation dynamics, and atmospheric composition. This study examined the impacts of the 2015/16 El Niño on vegetation, meteorological conditions, and atmospheric emissions over Southern Africa using satellite observations and reanalysis data. Time-lagged cross-correlation analysis of seasonally adjusted time-series was applied to characterize synchronous and delayed interactions among vegetation indices, hydrological variables, meteorological drivers, and air-quality parameters. Bayesian causal impact analysis was further used to quantify El Niño-induced anomalies by comparing observed conditions with counterfactual scenarios representing the absence of the event. The results showed that vegetation greenness responds primarily to concurrent moisture availability, with strong positive associations between NDVI, precipitation, soil moisture, and canopy water. Moisture-related variables exert delayed influences on atmospheric composition, highlighting the role of wet scavenging and dilution. Carbonaceous aerosols (black carbon [BC] and organic carbon [OC]), particulate matter [PM2.5], and aerosol optical depth exhibit strong synchronous coupling, indicating a dominant biomass-burning source. The causal impact analysis reveals statistically significant and sustained post-2015 increases in fire-related emissions (carbon monoxide [CO], BC, OC, PM2.5, and aerosol optical depth [AOD]), particularly during austral winter and dry seasons. In contrast, precipitation, soil moisture, evapotranspiration, and vegetation greenness show persistent negative anomalies, reflecting widespread drought stress under elevated temperatures. Overall, the findings demonstrate that the 2015/16 El Niño amplified fire emissions while suppressing ecosystem functioning across Southern Africa, underscoring strong climate–fire–vegetation feedback with important air-quality and environmental implications. Full article
Show Figures

Figure 1

21 pages, 15774 KB  
Article
Two-Phase Forest Damage Assessment with Sentinel-2 NDVI Double Differencing and UAV-Based Segmentation in the Sopron Mountains
by Norbert Ács, Bálint Heil, Botond Szász, Ádám Folcz, Márk Preisinger, Gyula Sándor and Kornél Czimber
Remote Sens. 2026, 18(5), 803; https://doi.org/10.3390/rs18050803 - 6 Mar 2026
Viewed by 94
Abstract
Due to climate change, drought periods are becoming more frequent and more intense, posing substantial stress to Central European forest stands, especially climatically sensitive conifer forests. The early detection and accurate spatial delineation of forest damage are essential for supporting adaptive forest management [...] Read more.
Due to climate change, drought periods are becoming more frequent and more intense, posing substantial stress to Central European forest stands, especially climatically sensitive conifer forests. The early detection and accurate spatial delineation of forest damage are essential for supporting adaptive forest management decisions. This study presents a two-tier, multi-step forest damage assessment approach that combines Sentinel-2 satellite-based NDVI double-difference analysis with UAV-based high-resolution photogrammetric evaluation. In the first phase, potential damaged forest patches were identified in two sample areas of the Sopron Mountains using double-difference maps derived from monthly window NDVI maxima calculated from Sentinel-2 data. In the second phase, UAV surveys were carried out over the selected forest compartments, resulting in individual-tree-level canopy segmentation and object-based NDVI analysis. The photogrammetric point clouds were combined with ground points derived from airborne laser scanning to enable the accurate generation of canopy height models. The results confirmed that NDVI double-difference analysis is suitable for the spatial detection of both gradual drought-related damage and sudden disturbances—such as forest fire—even under sequences of drought and moderate years occurring in a sporadic pattern. The UAV-based analysis corroborated the satellite observations in detail and enabled an accurate inventory of damaged trees as well as the exploration of their spatial distribution. The proposed methodology provides an efficient, cost-effective, and operational tool for multi-scale monitoring of forest damage, contributing to the timely recognition of climate-change impacts and to the substantiation of targeted forest management interventions. Full article
(This article belongs to the Section Biogeosciences Remote Sensing)
Show Figures

Figure 1

20 pages, 1103 KB  
Article
Who Does What? Shared Responsibility for Wildfire Management and the Imperative of Public Engagement: Evidence from Whistler, Western Canada
by Adeniyi P. Asiyanbi
Fire 2026, 9(3), 114; https://doi.org/10.3390/fire9030114 - 3 Mar 2026
Viewed by 214
Abstract
In Canada and elsewhere, there is an ascendancy of a whole-of-society approach that centres shared responsibility for wildfire management. This article engages the debates on the rise of shared responsibility for wildfire management to argue that this context demands a renewed research focus [...] Read more.
In Canada and elsewhere, there is an ascendancy of a whole-of-society approach that centres shared responsibility for wildfire management. This article engages the debates on the rise of shared responsibility for wildfire management to argue that this context demands a renewed research focus on understanding how the public allocates responsibility for wildfire management. We illustrate this argument through a case study of public engagement with wildfire risk and shared responsibility in Whistler, British Columbia, western Canada. Our case study draws on evidence from a quantitative survey administered to 1311 participants in the spring and summer of 2024. The study reveals a near-universal concern about wildfires among the participants and a high level of risk perception. This is consistent with community climate and wildfire reports and plans. This level of concern is driving a high level of mitigation activity completion among participants, even though the level of preparedness is mixed. Our study found a marked pattern of responsibility allocation across the phases of wildfire management. Participants put the municipal government at the forefront of mitigation, preparedness, and response. The provincial government was ranked as most responsible for recovery. Homeowner responsibility declined as one moves from mitigation and preparedness through to response and recovery. Private actors, such as insurance, have greater responsibility in the recovery phase. Multivariate General Linear Models (GLMs) show that how respondents allocate responsibility for various aspects of wildfire management is influenced by home ownership, prior wildfire experience, perceived preparedness, and commitment to bearing the costs of FireSmart assessment. We conclude that a sustained research commitment is needed to further elucidate the dynamics of public expectations and attitudes in the context of shared responsibility for wildfire management. Full article
(This article belongs to the Section Fire Social Science)
Show Figures

Figure 1

38 pages, 38502 KB  
Article
Study of Ozone Variability over Russia by Means of Measurements and Modeling
by Yana Virolainen, Georgy Nerobelov, Alexander Polyakov, Vladimir Zubov, Eugene Rozanov, Anastasia Imanova and Svetlana Akishina
Atmosphere 2026, 17(3), 265; https://doi.org/10.3390/atmos17030265 - 2 Mar 2026
Viewed by 283
Abstract
To improve diagnostics and prediction of changes caused by increased impact of anthropogenic activity, it is necessary to increase the comparative analysis of measurements and modeling of ozone—one of the climatically important atmospheric gases due to the decisive influence of stratospheric ozone on [...] Read more.
To improve diagnostics and prediction of changes caused by increased impact of anthropogenic activity, it is necessary to increase the comparative analysis of measurements and modeling of ozone—one of the climatically important atmospheric gases due to the decisive influence of stratospheric ozone on the radiation balance of the Earth-atmosphere system and the role of tropospheric ozone, the third most significant anthropogenic factor contributing to the greenhouse effect. This task is particularly relevant for Russia, as its geographical location makes it more vulnerable to climate change than other countries, whereas its regional tendencies in ozone variability have not yet been studied in sufficient detail. An analysis of IKFS-2 tropospheric ozone content (TrOC) measurements for 2015–2022 revealed that in Siberian, Far Eastern, North Caucasian, and Southern federal districts of Russia TrOC maximum, caused by photochemical formation of ground-level ozone, is observed in July (up to 30–35 DU for monthly means in surface-400 hPa layer). In Northwestern federal district, TrOC maximum (up to 25–30 DU), determined by meridional transport, is observed in late spring. No statistically significant linear trends in TrOC are detected. The WRF-Chem model qualitatively describes the seasonal variations of TrOC as well as the anomalous increase in TrOC caused by forest fires. The variability of total ozone content (TOC) is analyzed by OMI (2005–2023) and IKFS-2 (2015–2022) measurements as well as by SOCOLv3 simulations. Ozone negative anomalies in spring (up to 15% for monthly means) are generally observed with positive Arctic oscillation index values and a westerly phase of Quasi-biennial oscillations. For the 2008–2022 period, a statistically significant increase in TOC (+1.6–1.7% per year) is obtained for European Russia and Western and Central Siberia in November. Full article
(This article belongs to the Section Atmospheric Techniques, Instruments, and Modeling)
Show Figures

Figure 1

19 pages, 2070 KB  
Article
Impact of 2015 El Niño and Monsoonal Variability on Aerosol Optical Properties over Penang, Malaysia
by Hussaini Yusuf, Norhaslinda Mohamed Tahrin and Hwee San Lim
Atmosphere 2026, 17(3), 255; https://doi.org/10.3390/atmos17030255 - 28 Feb 2026
Viewed by 190
Abstract
Atmospheric aerosols in Southeast Asia, influenced by climate and seasonal circulation, are examined here. This study analyzes the impact of the 2015 El Niño and monsoonal variability on aerosol properties over Penang, Malaysia, from 2015–2019. Aerosol Optical Depth (AOD), Ångström Exponent (AE), Fine [...] Read more.
Atmospheric aerosols in Southeast Asia, influenced by climate and seasonal circulation, are examined here. This study analyzes the impact of the 2015 El Niño and monsoonal variability on aerosol properties over Penang, Malaysia, from 2015–2019. Aerosol Optical Depth (AOD), Ångström Exponent (AE), Fine Mode Fraction (FMF), and Single Scattering Albedo (SSA) were analyzed using AERONET observations, complemented by satellite-derived fire data and NOAA HYSPLIT back-trajectory analysis. Pronounced seasonal variability was observed, with elevated AOD during the Southwest Monsoon (0.72 ± 0.15) associated with biomass burning and mixed urban aerosols, and lower AOD during the Northeast Monsoon (0.47 ± 0.12) due to cleaner maritime air masses. The inter-monsoon period exhibited the lowest AOD (0.28 ± 0.10), reflecting enhanced wet scavenging and mixed aerosol sources. Interannually, the 2015 El Niño recorded substantially higher aerosol loading, including extreme AOD events (>1.75), driven by intensified regional fire activity under dry conditions. A statistically significant but weak correlation (R2 = 0.12, p = 0.047) indicates biomass burning contributed to AOD, though transport processes were the dominant driver. Trajectory analysis confirmed that aerosols originated from fire-affected Sumatra during the Southwest Monsoon and from the South China Sea during the Northeast Monsoon. These results show that climate and winds drive aerosol changes, so regional monitoring and cross-border air management in Southeast Asia are needed. Full article
Show Figures

Figure 1

21 pages, 4216 KB  
Article
Global Research Trends in Forest Fuels: A Bibliometric Visualization and Case Study in China (2010–2025)
by Xinshuang Lü, Tuo Li, Yurong Liang, Hu Lou and Long Sun
Forests 2026, 17(3), 308; https://doi.org/10.3390/f17030308 - 28 Feb 2026
Viewed by 180
Abstract
Frequent forest fires cause serious damage to ecosystems and socioeconomic systems, increasing the importance of fire prevention and risk assessment. Forest fuel is a fundamental determinant of forest fire behavior and a key component of fire risk management. However, a systematic synthesis of [...] Read more.
Frequent forest fires cause serious damage to ecosystems and socioeconomic systems, increasing the importance of fire prevention and risk assessment. Forest fuel is a fundamental determinant of forest fire behavior and a key component of fire risk management. However, a systematic synthesis of its global research evolution and emerging scientific challenges remains relatively insufficient. On the basis of 1257 publications retrieved from the Web of Science Core Collection (2010–2025) with the themes of “wildfire fuel” and “forest fuel,” this study employed CiteSpace for bibliometric analysis to systematically investigate research trends, collaboration patterns, and thematic evolution. The results show that forest fuel research has exhibited sustained growth overall, with notable peaks in 2016 and 2020, and reaching a historical high in 2023. The United States dominated both in publication output and institutional collaboration networks, forming a core research cluster together with Australia and Canada. Keyword co-occurrence and burst analyses revealed a shift in research hotspots—from early focus on forest fuel models and risk assessment at the wild–urban interface (WUI)—toward concerns about climate-change-driven fire seasonality, fuel moisture dynamics, and emergency response issues, reflecting the growing influence of climate change on wildfire patterns. Notably, this study identified several critical research gaps, including limitations in cross-regional integration of fuel moisture studies, insufficient attention to ignition prevention in WUI residential settings, and a lack of reproducible, open bibliometric workflows. By systematically mapping the knowledge structure and evolutionary trajectory of forest fuel research, this study provides a globally informed knowledge framework for the future advancement of forest fuel science and its deeper integration with forest fire management and policy making. Full article
(This article belongs to the Section Natural Hazards and Risk Management)
Show Figures

Figure 1

16 pages, 4019 KB  
Article
Climate-Driven Changes in Wildfire Hazard and Implications for Resilient Building Design
by Henry Lu, Abhishek Gaur, Sandy Erni, Jamie Sandison and Noureddine Bénichou
Fire 2026, 9(3), 104; https://doi.org/10.3390/fire9030104 - 26 Feb 2026
Viewed by 324
Abstract
Wildfires pose a significant hazard to buildings and communities located at the wildland–urban interface (WUI) in Canada. Climate change is expected to intensify the duration, frequency, and severity of the wildfires. Current hazard assessments rely on historical conditions and may underestimate future hazard. [...] Read more.
Wildfires pose a significant hazard to buildings and communities located at the wildland–urban interface (WUI) in Canada. Climate change is expected to intensify the duration, frequency, and severity of the wildfires. Current hazard assessments rely on historical conditions and may underestimate future hazard. This study adjusts fire intensity in national wildfire hazard maps to reflect projected changes in fire weather. Analysis is conducted for 393 National Building Code of Canada (NBC) reference locations under a 2.5 °C of global warming scenario, which corresponds to a 50-year future time-frame, a typical design life of buildings. The results show a strong upward shift in national hazard, with the number of locations in the “High” hazard class nearly doubling from 28 to 53. These findings highlight the need to integrate climate-informed hazard projections into future hazard mapping, building codes, and resilience planning. To date, no large-scale Canadian study has examined how climate-driven changes in wildfire hazard may influence the application of building design guidance at the national scale. This study provides an assessment of hazard sensitivity to climate change, highlighting the importance of considering projected fire weather conditions in national hazard assessments. Full article
Show Figures

Figure 1

16 pages, 3337 KB  
Article
Millennial-Scale Fire and Vegetation Change from a Rare Mid-Latitude Permafrost Fen (Beartooth Plateau, WY)
by David B. McWethy, Mio Alt and Anica Tipkemper-Wolfe
Fire 2026, 9(3), 103; https://doi.org/10.3390/fire9030103 - 26 Feb 2026
Viewed by 379
Abstract
Long-term fire histories are well-documented across most North American temperate forest systems, yet the fire regimes of high-alpine treeline environments remain poorly understood. Here, we present a millennial-scale fire history from the Sawtooth Fen Palsa (SFP), a rare permafrost fen palsa located in [...] Read more.
Long-term fire histories are well-documented across most North American temperate forest systems, yet the fire regimes of high-alpine treeline environments remain poorly understood. Here, we present a millennial-scale fire history from the Sawtooth Fen Palsa (SFP), a rare permafrost fen palsa located in the high-alpine treeline ecotone of the Beartooth Plateau, Wyoming, a permafrost system now unraveling due to recent decades of rapid warming. Analysis of paleoenvironmental proxies from peat sediments overlying the permafrost reveals a multi-century peak in fire activity at the beginning of the record, ca. 10,000 cal yr BP, coinciding with the afforestation of newly deglaciated, ice-free sites. This initial surge in high-severity fire activity was followed by a decline when solar-orbitally driven increases in growing-season temperatures likely promoted forest opening and more surface fire activity within the SFP watershed. High-severity fire activity increased again during the mid-Holocene (ca. 5800–5000 cal yr BP), when effective moisture increased, favoring subalpine forest expansion and increased connectivity of woody biomass (sagebrush and forest), enhancing the potential for canopy fire spread. Only two small fire episodes were recorded in recent millennia when a rapid change in the sedimentation rate may indicate a partial loss of the sediment record. Rapid warming in recent decades has triggered the formation of dozens of thermal collapse ponds across the fen palsa. The frequency of these features has more than doubled since 2000 CE, underscoring the degradation of underlying permafrost in response to changing climatic conditions. Continued warming is expected to cause the complete loss of the permafrost lens and alter ecosystem dynamics, disturbance regimes, and carbon and nutrient cycling in alpine systems throughout the Rocky Mountains. Full article
Show Figures

Figure 1

24 pages, 9445 KB  
Article
Exploring the Fire Regime in Gilé National Park, Zambézia Province, Central Mozambique
by João C. Domingos, Frédérique Montfort, Sá N. Lisboa, Victorino Buramuge, Annae Senkoro, Ivete S. Maquia, Ana I. Ribeiro-Barros and Natasha S. Ribeiro
Fire 2026, 9(3), 99; https://doi.org/10.3390/fire9030099 - 25 Feb 2026
Viewed by 378
Abstract
The Gilé National Park (PNAG for its acronym in Portuguese), located in central Mozambique is one of the most important protected areas in the country. It is one of the last remnants of intact Miombo woodlands, providing critical habitat for endemic biodiversity. Fires [...] Read more.
The Gilé National Park (PNAG for its acronym in Portuguese), located in central Mozambique is one of the most important protected areas in the country. It is one of the last remnants of intact Miombo woodlands, providing critical habitat for endemic biodiversity. Fires are an important ecological factor in Miombo, but changes in fire regimes may compromise the stability of this ecosystem and thus, the conservation value of PNAG. This study assessed fire patterns and mapped fire risk in support of adaptive management in the PNAG. We investigated Miombo fire regime over 23 years (2001 to 2023) in terms of return interval, frequency, temporal distribution, spatial density and intensity, extent, and severity, by using two Moderate-Resolution Imaging Spectroradiometer (MODIS) satellite products (MCD14ML active fire; MCD64A1 burned area). Primary risk drivers were established and spatial fire likelihood mapped, using the Random Forest algorithm. Analysis revealed pronounced late dry season burning (August–October) affecting approximately 60% of the PNAG annually, especially in central-northern and eastern landscapes. Remarkably, 88% of the park maintains a 1-to-2-year fire return interval across the entire fire season (May–October) while only 7% maintains return frequencies of 3-to-4-year cycles. The latter is important for maintaining Miombo ecosystem functionality. Medium to medium–high fire severity covered 98% of the total fire extension. Climate-related drivers and hunting activities were identified as key fire initiators, especially in central areas of the park. The findings demonstrate an urgent need for spatially differentiated fire management action through prescribed burning to maintain PNAG’s ecological resilience and conservation value. Full article
Show Figures

Figure 1

20 pages, 15718 KB  
Article
Assessing the Relationship Between Erosion Risk, Climate Change and Archaeological Heritage: Medieval Sites in the Basilicata Region, Italy
by Alessia Frisetti, Nicodemo Abate, Antonio Minervino Amodio, Dario Gioia, Giuseppe Corrado, Maria Danese, Gabriele Ciccone and Nicola Masini
Heritage 2026, 9(3), 89; https://doi.org/10.3390/heritage9030089 - 24 Feb 2026
Viewed by 431
Abstract
Climate change has among its effects the increasing frequency and intensity of natural disasters, such as landslides, floods, erosion and fires, with clear implications on both natural and anthropic hazards and risks. These natural phenomena pose a growing threat to archaeological heritage through [...] Read more.
Climate change has among its effects the increasing frequency and intensity of natural disasters, such as landslides, floods, erosion and fires, with clear implications on both natural and anthropic hazards and risks. These natural phenomena pose a growing threat to archaeological heritage through increased rates of soil erosion, flooding, and landslides. This study presents a multidisciplinary approach to assess the erosion risk affecting medieval rural settlements in the Basilicata Region of Southern Italy. This area is characterised by high-impact natural phenomena that have influenced settlement patterns in the past. The focus is on rural settlements that arose during the Middle Ages, some of which were abandoned as early as the late Middle Ages. This study has the dual objective of analysing the natural causes that may have led to the abandonment of many sites in ancient times and producing a predictive multi-risk map of the possible loss of cultural heritage sites. By integrating archaeological data, remote sensing, historical sources, and geospatial modelling, a multi-risk map was developed to identify areas at the highest risk. The results demonstrate the urgent need for proactive conservation strategies in the face of ongoing climatic change. Full article
Show Figures

Graphical abstract

28 pages, 11156 KB  
Article
Environmental Monitoring and Risk Assessment in Missile Stage Impact Zones Using Mapping Data and a Digital Passport Approach
by Aliya Kalizhanova, Anar Utegenova, Yerlan Bekeshev, Murat Kunelbayev and Zhazira Zhumabekova
Atmosphere 2026, 17(3), 229; https://doi.org/10.3390/atmos17030229 - 24 Feb 2026
Viewed by 272
Abstract
This paper proposes an approach to digitizing the environmental passport for areas where detachable parts of launch vehicles fall in Kazakhstan based on an interactive geographic information system platform and smart maps. An example is considered for zone U-4 (“Ulytau” district of the [...] Read more.
This paper proposes an approach to digitizing the environmental passport for areas where detachable parts of launch vehicles fall in Kazakhstan based on an interactive geographic information system platform and smart maps. An example is considered for zone U-4 (“Ulytau” district of the “Karaganda” region), which includes the fall zones of “Soyuz” launch vehicle blocks (IZ 26, 32, 34, 42, 56). The natural and climatic factors and hazards of the territory are analyzed: the total area of the zones under consideration exceeds 4.1 million hectares, annual precipitation varies between 218 and 289 mm, strong winds of 5.0–6.8 m/s are characteristic, and a high level of fire hazard can develop within 6–7 days. Data on fires for 2021 are provided. For an integrated assessment, a normalized system criterion, environmental sustainability indicator (0–1), has been introduced, aggregating four groups of criteria (chemical, mechanical, pyrogenic, biota) with a breakdown of contributions and calculation of uncertainty (σ and 95% CI). The system criterion of environmental sustainability map identifies local ‘hot spots’ with levels of around 0.8–1.0, while the uncertainty map shows maximums of up to 0.12–0.14 (with background values of ~0.02–0.08), which increases the validity of management decisions on monitoring and reclamation. Full article
(This article belongs to the Section Atmospheric Techniques, Instruments, and Modeling)
Show Figures

Graphical abstract

28 pages, 345 KB  
Article
Governance Failure and Wildfire Escalation: A Multi-Level Analysis of Institutional Preparedness, Corruption, and Emergency Response
by Umar Daraz, Štefan Bojnec and Younas Khan
Fire 2026, 9(2), 93; https://doi.org/10.3390/fire9020093 - 23 Feb 2026
Viewed by 312
Abstract
Wildfire escalation is increasingly threatening ecosystems and communities in Khyber Pakhtunkhwa (KP), Pakistan, particularly in forest and rangeland landscapes where ecological flammability interacts with human activity. While environmental and climatic drivers are well studied, governance factors remain underexplored despite their decisive role in [...] Read more.
Wildfire escalation is increasingly threatening ecosystems and communities in Khyber Pakhtunkhwa (KP), Pakistan, particularly in forest and rangeland landscapes where ecological flammability interacts with human activity. While environmental and climatic drivers are well studied, governance factors remain underexplored despite their decisive role in shaping how ecological risk translates into disasters. Regional forests show considerable ecological diversity, including chir pine-dominated stands, mixed temperate conifer forests, broadleaved oak-associated systems, and shrub rangeland mosaics, each differing in fuel structure and fire behavior. Dependence on fuelwood collection, grazing, and forest access further influences ignition probability and fire spread. This study examines how governance failures influence wildfire risk and severity through a Governance-Fire Risk Framework. Governance is treated as a determining institutional condition affecting prevention capacity, regulation of hazardous land use, fuel management, and emergency response effectiveness. A cross-sectional survey of 540 stakeholders from rural (Dir Lower, Dir Upper) and peri-urban districts (Swat, Mansehra, Abbottabad) was analyzed using SPSS (version 26) and AMOS (version 24) (CFA and SEM). Governance failure significantly escalates wildfire risk through delayed emergency response, regulatory non-compliance, political interference, and weak institutional coordination. Institutional preparedness and response capacity reduce risks, whereas corruption intensifies them. Corruption functions through illegal land conversion, diversion of fire management resources, procurement irregularities, nepotistic staffing, and selective enforcement, increasing ignition sources, fuel accumulation, and response delays. Rural districts show stronger governance-fire linkages. Wildfire escalation in KP is governance-driven in interaction with ecological conditions and community dependence on forest resources. Effective mitigation requires anti-corruption measures, rapid response systems, stronger enforcement, and improved preparedness. The study offers a transferable governance-focused framework for wildfire management in fire-prone developing regions. Full article
30 pages, 6011 KB  
Article
Climatic and Fuel Drivers of Lightning-Induced Forest Fire Burned Area in the Da Hinggan Ling Region, Northeast China
by Liming Lou, Wenbo Ma, Pengle Cheng, Hui Liu and Ying Huang
Remote Sens. 2026, 18(4), 657; https://doi.org/10.3390/rs18040657 - 21 Feb 2026
Viewed by 325
Abstract
Lightning-induced forest fires represent a dominant natural ignition source in boreal and temperate ecosystems, yet their climatic and biophysical controls remain poorly understood. This study investigates the spatiotemporal patterns and environmental drivers of 646 lightning-induced forest fires across the Da Hinggan Ling region, [...] Read more.
Lightning-induced forest fires represent a dominant natural ignition source in boreal and temperate ecosystems, yet their climatic and biophysical controls remain poorly understood. This study investigates the spatiotemporal patterns and environmental drivers of 646 lightning-induced forest fires across the Da Hinggan Ling region, Northeast China, during 2001–2024. Multi-source datasets from ERA5-Land, MODIS, and ETCCDI were integrated to quantify short-term meteorological variability, vegetation water status, and long-term climatic extremes. Using Random Forest and XGBoost models combined with SHAP interpretability analysis, we identified key predictors and nonlinear responses of burned area to environmental forcing. Results reveal pronounced interannual fluctuations in fire activity, with 2010, 2016, and 2022 emerging as compound extreme years characterized by co-occurring drought and heatwaves. Vegetation moisture index (NDMI), diurnal temperature range (DTR), and heatwave duration (HWDI) were the most influential variables controlling burned area variability. The total burned area and fire duration showed significant declining trends, while high burned-area fires exhibited spatial clustering in dry, low-LAI regions. These findings demonstrate that compound dry–hot conditions coupled with vegetation desiccation are the primary drivers of large lightning fires. The study provides a process-based understanding of climate–fuel–fire linkages and supports improved fire risk forecasting under a warming climate. Full article
Show Figures

Figure 1

29 pages, 2818 KB  
Article
Beyond the Footprint: Empirical Land Use and Environmental Patterns of Wind Energy in Mountainous Landscapes
by Andreas Vlamakis, Ioanna Eleftheriou, Sevie Dima, Efi Karra and Panagiotis Papastamatiou
Land 2026, 15(2), 344; https://doi.org/10.3390/land15020344 - 19 Feb 2026
Viewed by 608
Abstract
In a world of over 8.2 billion people, the land footprint of any infrastructure has become a critical factor in sustainable spatial planning. In the case of wind energy deployment, land use primarily involves hardstands, access roads, and interconnection infrastructure. This study focuses [...] Read more.
In a world of over 8.2 billion people, the land footprint of any infrastructure has become a critical factor in sustainable spatial planning. In the case of wind energy deployment, land use primarily involves hardstands, access roads, and interconnection infrastructure. This study focuses on Greece, a country with complex mountainous terrain, where Wind Power Stations are predominantly installed along ridgelines and slopes. Using GIS analysis based on digitization of actual on-site infrastructure, we measured the land coverage of wind energy facilities with a total installed capacity of nearly 2.6 GW. We found an average land-use intensity of 0.33 hectares per megawatt (ha/MW), placing it near the lower end of the range reported in international literature. For the subset of projects with available energy yield data, the value was 1.58 square meters per megawatt-hour (m2/MWh). This approach provides one of the largest, nationally representative, infrastructure-based estimates of actual wind energy land use in complex terrain. Applying these findings to the onshore wind deployment targets of Greece’s National Energy and Climate Plan (NECP) for 2030 and 2050, we estimate that only 0.02–0.03% of the country’s land area will be occupied by wind energy infrastructure. By comparison, lignite mining has already transformed approximately 0.13% of the national territory—almost four times more land than projected for wind energy use in 2050. Further spatial analysis was conducted to identify the land use categories associated with wind energy infrastructure, while for the subset of projects located within Natura 2000 protected areas, the types of affected habitats were also examined. Treating land coverage as a standalone proxy for environmental impact should be avoided; the study demonstrates the need for a context-sensitive interpretation of land use, accounting for ecological context, land-use compatibility, and positive co-benefits, such as improved forest accessibility, fire prevention works and recreation parks. Repowering maximizes land efficiency by extending wind farm lifetimes without expanding their footprint. Full article
Show Figures

Figure 1

Back to TopTop