Sign in to use this feature.

Years

Between: -

Subjects

remove_circle_outline
remove_circle_outline
remove_circle_outline
remove_circle_outline
remove_circle_outline
remove_circle_outline
remove_circle_outline
remove_circle_outline
remove_circle_outline

Journals

Article Types

Countries / Regions

Search Results (19)

Search Parameters:
Keywords = filamentous marine cyanobacteria

Order results
Result details
Results per page
Select all
Export citation of selected articles as:
23 pages, 3347 KB  
Article
Bioluminescent ATP-Metry in Assessing the Impact of Various Microplastic Particles on Fungal, Bacterial, and Microalgal Cells
by Olga Senko, Nikolay Stepanov, Aysel Aslanli and Elena Efremenko
Microplastics 2025, 4(4), 72; https://doi.org/10.3390/microplastics4040072 - 3 Oct 2025
Cited by 2 | Viewed by 888
Abstract
The concentration of intracellular adenosine triphosphate (ATP) is one of the most important characteristics of the metabolic state of the cells of microorganisms and their viability. This indicator, monitored by bioluminescent ATP-metry, and accumulation of the suspension biomass in the medium were used [...] Read more.
The concentration of intracellular adenosine triphosphate (ATP) is one of the most important characteristics of the metabolic state of the cells of microorganisms and their viability. This indicator, monitored by bioluminescent ATP-metry, and accumulation of the suspension biomass in the medium were used to assess the effect of particles of different synthetic microplastics (MPs) (non-biodegradable and biodegradable) on the cells of yeast, filamentous fungi, bacteria and phototrophic microorganisms (microalgae and cyanobacteria) co-exposed with polymer samples in different environments and concentrations. It was found that the effect of MPs on microorganisms depends on the concentration of MPs (1–5 g/L), as well as on the initial concentration of cells (104 or 107 cells/mL) in the exposure medium with polymers. It was shown that the lack of a sufficient number of nutrition sources in the medium with MPs is not fatal for the cells. The study of the effect of MPs on the photobacteria Photobacterium phosphoreum, widely used as a bioindicator for assessing the ecotoxicity of various environments, demonstrated a correlation between the residual bioluminescence of these cells and the level of their intracellular ATP in media with biodegradable polycaprolactone and polylactide, which had an inhibitory effect on these cells. Marine representatives of phototrophic microorganisms showed the greatest sensitivity to the presence of MPs, which was confirmed by both a decrease in the level of intracellular ATP and the concentration of their biomass. Among the eight microorganisms studied, bacteria of the genus Pseudomonas turned out to be not only the most tolerant to the presence of the seven MP samples used in the work, but also actively growing in their presence. Full article
Show Figures

Graphical abstract

16 pages, 2436 KB  
Article
Chemical Diversity of Marine Filamentous Benthic Cyanobacteria
by Fernanda O. Chagas, Paulo I. Hargreaves, Victoria Gabriela S. Trindade, Taiane B. M. Silva, Gabriela de A. Ferreira, Yasmin Pestana, Marina A. Alves, Paulo Sergio Salomon, Vincent A. Bielinski and Ricardo M. Borges
Phycology 2024, 4(4), 589-604; https://doi.org/10.3390/phycology4040032 - 26 Nov 2024
Viewed by 1912
Abstract
Genomic and chemical analysis has revealed that numerous species of filamentous cyanobacteria harbor complex secondary metabolisms tailored to their particular ecological niche. The metabolomic analysis of strains and environmental samples from benthic cyanobacterial mats (BCMs) from coral reefs has the potential to expand [...] Read more.
Genomic and chemical analysis has revealed that numerous species of filamentous cyanobacteria harbor complex secondary metabolisms tailored to their particular ecological niche. The metabolomic analysis of strains and environmental samples from benthic cyanobacterial mats (BCMs) from coral reefs has the potential to expand the library of marine cyanobacteria-derived natural products. In this study, cyanobacterial strains were obtained from phytobenthos collected from coral reefs in Abrolhos, Brazil and Ishigaki, Japan. Phylogenetic analysis of isolates shows high similarity to previously described members of benthic mats and also suggests the geographic expansion of the Adonisia lineage. Chemical analysis by untargeted liquid chromatography-high resolution mass spectrometry and data processing via MZmine and FBMN-GNPS confirmed the presence of a wide diversity of secondary metabolites. In addition, similarity analysis applying the newly developed tool DBsimilarity indicated the broad coverage of various biosynthetic and chemical classes of compounds previously reported for cyanobacteria. This report is one of the first applications of untargeted metabolomics workflow and similarity network construction for groups of marine filamentous cyanobacteria isolated from benthic mats on corals reefs. Full article
Show Figures

Figure 1

60 pages, 12200 KB  
Review
Marine Cyanobacteria: A Rich Source of Structurally Unique Anti-Infectives for Drug Development
by Lik Tong Tan and Nurul Farhana Salleh
Molecules 2024, 29(22), 5307; https://doi.org/10.3390/molecules29225307 - 10 Nov 2024
Cited by 7 | Viewed by 4647
Abstract
Marine cyanobacteria represent a promising yet underexplored source of novel natural products with potent biological activities. Historically, the focus has been on isolating cytotoxic compounds from marine cyanobacteria, but a substantial number of these photosynthetic microorganisms also produce diverse specialized molecules with significant [...] Read more.
Marine cyanobacteria represent a promising yet underexplored source of novel natural products with potent biological activities. Historically, the focus has been on isolating cytotoxic compounds from marine cyanobacteria, but a substantial number of these photosynthetic microorganisms also produce diverse specialized molecules with significant anti-infective properties. Given the global pressing need for new anti-infective lead compounds, this review provides a concise yet comprehensive overview of the current knowledge on anti-infective secondary metabolites derived from marine cyanobacteria. A majority of these molecules were isolated from free-living filamentous cyanobacteria, while several examples were derived from marine cyanobacterial symbionts. In addition, SAR studies and potent synthetic analogs based on selected molecules will be featured. With more than 200 molecules, this review presents their antibacterial, antifungal, antiviral, antiprotozoal, and molluscicidal activities, with the chemical and biological information covered in the literature up to September 2024. Full article
Show Figures

Figure 1

17 pages, 5528 KB  
Article
Genomic Analysis of a New Freshwater Cyanophage Lbo240-yong1 Suggests a New Taxonomic Family of Bacteriophages
by Qin Zhou, Dengfeng Li, Wei Lin, Linting Pan, Minhua Qian, Fei Wang, Ruqian Cai, Chenxin Qu and Yigang Tong
Viruses 2023, 15(4), 831; https://doi.org/10.3390/v15040831 - 24 Mar 2023
Cited by 3 | Viewed by 3124
Abstract
A worldwide ecological issue, cyanobacterial blooms in marine and freshwater have caused enormous losses in both the economy and the environment. Virulent cyanophages—specifically, infecting and lysing cyanobacteria—are key ecological factors involved in limiting the overall extent of the population development of cyanobacteria. Over [...] Read more.
A worldwide ecological issue, cyanobacterial blooms in marine and freshwater have caused enormous losses in both the economy and the environment. Virulent cyanophages—specifically, infecting and lysing cyanobacteria—are key ecological factors involved in limiting the overall extent of the population development of cyanobacteria. Over the past three decades, reports have mainly focused on marine Prochlorococcus and Synechococcus cyanophages, while information on freshwater cyanophages remained largely unknown. In this study, a novel freshwater cyanophage, named Lbo240-yong1, was isolated via the double-layer agar plate method using Leptolyngbya boryana FACHB-240 as a host. Transmission electron microscopy observation illustrated the icosahedral head (50 ± 5 nm in diameter) and short tail (20 ± 5 nm in length) of Lbo240-yong1. Experimental infection against 37 cyanobacterial strains revealed that host-strain-specific Lbo240-yong1 could only lyse FACHB-240. The complete genome of Lbo240-yong1 is a double-stranded DNA of 39,740 bp with a G+C content of 51.99%, and it harbors 44 predicted open reading frames (ORFs). A Lbo240-yong1 ORF shared the highest identity with a gene of a filamentous cyanobacterium, hinting at a gene exchange between the cyanophage and cyanobacteria. A BLASTn search illustrated that Lbo240-yong1 had the highest sequence similarity with the Phormidium cyanophage Pf-WMP4 (89.67% identity, 84% query coverage). In the proteomic tree based on genome-wide sequence similarities, Lbo240-yong1, three Phormidium cyanophages (Pf-WMP4, Pf-WMP3, and PP), one Anabaena phage (A-4L), and one unclassified Arthronema cyanophage (Aa-TR020) formed a monophyletic group that was more deeply diverging than several other families. Pf-WMP4 is the only member of the independent genus Wumpquatrovirus that belongs to the Caudovircetes class. Pf-WMP3 and PP formed the independent genus Wumptrevirus. Anabaena phage A-4L is the only member of the independent Kozyakovvirus genus. The six cyanopodoviruses share similar gene arrangements. Eight core genes were found in them. We propose, here, to set up a new taxonomic family comprising the six freshwater cyanopodoviruses infecting filamentous cyanobacteria. This study enriched the field’s knowledge of freshwater cyanophages. Full article
(This article belongs to the Section Bacterial Viruses)
Show Figures

Figure 1

14 pages, 2301 KB  
Article
Barbamide Displays Affinity for Membrane-Bound Receptors and Impacts Store-Operated Calcium Entry in Mouse Sensory Neurons
by Andrea Hough, Connor Criswell, Asef Faruk, Jane E. Cavanaugh, Benedict J. Kolber and Kevin J. Tidgewell
Mar. Drugs 2023, 21(2), 110; https://doi.org/10.3390/md21020110 - 2 Feb 2023
Cited by 2 | Viewed by 3698
Abstract
Marine cyanobacteria are a rich source of bio-active metabolites that have been utilized as leads for drug discovery and pharmacological tools for basic science research. Here, we describe the re-isolation of a well-known metabolite, barbamide, from Curaçao on three different occasions and the [...] Read more.
Marine cyanobacteria are a rich source of bio-active metabolites that have been utilized as leads for drug discovery and pharmacological tools for basic science research. Here, we describe the re-isolation of a well-known metabolite, barbamide, from Curaçao on three different occasions and the characterization of barbamide’s biological interactions with targets of the mammalian nervous system. Barbamide was originally discovered as a molluscicidal agent from a filamentous marine cyanobacterium. In our hands, we found little evidence of toxicity against mammalian cell cultures. However, barbamide showed several affinities when screened for binding affinity for a panel of 45 receptors and transporters known to be involved in nociception and sensory neuron activity. We found high levels of binding affinity for the dopamine transporter, the kappa opioid receptor, and the sigma receptors (sigma-1 and sigma-2 also known as transmembrane protein 97; TMEM97). We tested barbamide in vitro in isolated sensory neurons from female mice to explore its functional impact on calcium flux in these cells. Barbamide by itself had no observable impact on calcium flux. However, barbamide enhanced the effect of the TRPV1 agonist capsaicin and enhanced store-operated calcium entry (SOCE) responses after depletion of intracellular calcium. Overall, these results demonstrate the biological potential of barbamide at sensory neurons with implications for future drug development projects surrounding this molecule. Full article
(This article belongs to the Special Issue Bioactive Product from Marine Cyanobacteria)
Show Figures

Figure 1

15 pages, 2158 KB  
Article
Different Geographic Strains of Dinoflagellate Karlodinium veneficum Host Highly Diverse Fungal Community and Potentially Serve as Possible Niche for Colonization of Fungal Endophytes
by Yunyan Deng, Kui Wang, Zhangxi Hu, Qiang Hu and Yingzhong Tang
Int. J. Mol. Sci. 2023, 24(2), 1672; https://doi.org/10.3390/ijms24021672 - 14 Jan 2023
Cited by 5 | Viewed by 3026
Abstract
In numerous studies, researchers have explored the interactions between fungi and their hosting biota in terrestrial systems, while much less attention has been paid to the counterpart interactions in aquatic, and particularly marine, ecosystems. Despite the growing recognition of the potential functions of [...] Read more.
In numerous studies, researchers have explored the interactions between fungi and their hosting biota in terrestrial systems, while much less attention has been paid to the counterpart interactions in aquatic, and particularly marine, ecosystems. Despite the growing recognition of the potential functions of fungi in structuring phytoplankton communities, the current insights were mostly derived from phytoplankton hosts, such as diatoms, green microalgae, and cyanobacteria. Dinoflagellates are the second most abundant group of phytoplankton in coastal marine ecosystems, and they are notorious for causing harmful algal blooms (HABs). In this study, we used high-throughput amplicon sequencing to capture global snapshots of specific fungal assemblages associated with laboratory-cultured marine dinoflagellate. We investigated a total of 13 clonal cultures of the dinoflagellate Karlodinium veneficum that were previously isolated from 5 geographic origins and have been maintained in our laboratory from several months to more than 14 years. The total recovered fungal microbiome, which consisted of 349 ASVs (amplicon sequencing variants, sequences clustered at a 100% sequence identity), could be assigned to 4 phyla, 18 classes, 37 orders, 65 families, 97 genera, and 131 species. The fungal consortium displayed high diversity and was dominated by filamentous fungi and ascomycetous and basidiomycetous yeasts. A core set of three genera among all the detected fungi was constitutively present in the K. veneficum strains isolated from geographically distant regions, with the top two most abundant genera, Thyridium and Pseudeurotium, capable of using hydrocarbons as the sole or major source of carbon and energy. In addition, fungal taxa previously documented as endophytes in other hosts were also found in all tested strains of K. veneficum. Because host–endophyte interactions are highly variable and strongly case-dependent, these fungal taxa were not necessarily genuine endosymbionts of K. veneficum; instead, it raised the possibility that dinoflagellates could potentially serve as an alternative ecological niche for the colonization of fungal endophytes. Our findings lay the foundation for further investigations into the potential roles or functions of fungi in the regulation of the growth dynamics and HABs of marine dinoflagellates in the field. Full article
(This article belongs to the Special Issue Plant-Microbe Interactions 2.0)
Show Figures

Figure 1

15 pages, 1655 KB  
Article
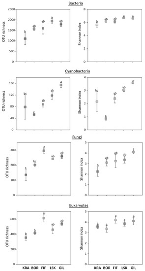
Microbial Diversity in Subarctic Biocrusts from West Iceland following an Elevation Gradient
by Ekaterina Pushkareva, Israel Barrantes, Peter Leinweber and Ulf Karsten
Microorganisms 2021, 9(11), 2195; https://doi.org/10.3390/microorganisms9112195 - 21 Oct 2021
Cited by 6 | Viewed by 3062
Abstract
Biological soil crusts (biocrusts) are essential communities of organisms in the Icelandic soil ecosystem, as they prevent erosion and cryoturbation and provide nutrients to vascular plants. However, biocrust microbial composition in Iceland remains understudied. To address this gap in knowledge, we applied high-throughput [...] Read more.
Biological soil crusts (biocrusts) are essential communities of organisms in the Icelandic soil ecosystem, as they prevent erosion and cryoturbation and provide nutrients to vascular plants. However, biocrust microbial composition in Iceland remains understudied. To address this gap in knowledge, we applied high-throughput sequencing to study microbial community composition in biocrusts collected along an elevation gradient (11–157 m a.s.l.) stretching away perpendicular to the marine coast. Four groups of organisms were targeted: bacteria and cyanobacteria (16S rRNA gene), fungi (transcribed spacer region), and other eukaryotes (18S rRNA gene). The amplicon sequencing of the 16S rRNA gene revealed the dominance of Proteobacteria, Bacteroidetes, and Actinobacteria. Within the cyanobacteria, filamentous forms from the orders Synechococcales and Oscillatoriales prevailed. Furthermore, fungi in the biocrusts were dominated by Ascomycota, while the majority of reads obtained from sequencing of the 18S rRNA gene belonged to Archaeplastida. In addition, microbial photoautotrophs isolated from the biocrusts were assigned to the cyanobacterial genera Phormidesmis, Microcoleus, Wilmottia, and Oscillatoria and to two microalgal phyla Chlorophyta and Charophyta. In general, the taxonomic diversity of microorganisms in the biocrusts increased following the elevation gradient and community composition differed among the sites, suggesting that microclimatic and soil parameters might shape biocrust microbiota. Full article
(This article belongs to the Section Environmental Microbiology)
Show Figures

Graphical abstract

18 pages, 5063 KB  
Article
Metabolomic Characterization of a cf. Neolyngbya Cyanobacterium from the South China Sea Reveals Wenchangamide A, a Lipopeptide with In Vitro Apoptotic Potential in Colon Cancer Cells
by Lijian Ding, Rinat Bar-Shalom, Dikla Aharonovich, Naoaki Kurisawa, Gaurav Patial, Shuang Li, Shan He, Xiaojun Yan, Arihiro Iwasaki, Kiyotake Suenaga, Chengcong Zhu, Haixi Luo, Fuli Tian, Fuad Fares, C. Benjamin Naman and Tal Luzzatto-Knaan
Mar. Drugs 2021, 19(7), 397; https://doi.org/10.3390/md19070397 - 16 Jul 2021
Cited by 12 | Viewed by 5602
Abstract
Metabolomics can be used to study complex mixtures of natural products, or secondary metabolites, for many different purposes. One productive application of metabolomics that has emerged in recent years is the guiding direction for isolating molecules with structural novelty through analysis of untargeted [...] Read more.
Metabolomics can be used to study complex mixtures of natural products, or secondary metabolites, for many different purposes. One productive application of metabolomics that has emerged in recent years is the guiding direction for isolating molecules with structural novelty through analysis of untargeted LC-MS/MS data. The metabolomics-driven investigation and bioassay-guided fractionation of a biomass assemblage from the South China Sea dominated by a marine filamentous cyanobacteria, cf. Neolyngbya sp., has led to the discovery of a natural product in this study, wenchangamide A (1). Wenchangamide A was found to concentration-dependently cause fast-onset apoptosis in HCT116 human colon cancer cells in vitro (24 h IC50 = 38 μM). Untargeted metabolomics, by way of MS/MS molecular networking, was used further to generate a structural proposal for a new natural product analogue of 1, here coined wenchangamide B, which was present in the organic extract and bioactive sub-fractions of the biomass examined. The wenchangamides are of interest for anticancer drug discovery, and the characterization of these molecules will facilitate the future discovery of related natural products and development of synthetic analogues. Full article
(This article belongs to the Special Issue Natural Product Genomics and Metabolomics of Marine Bacteria)
Show Figures

Figure 1

17 pages, 1205 KB  
Article
A Genome-Scale Metabolic Model of Anabaena 33047 to Guide Genetic Modifications to Overproduce Nylon Monomers
by John I. Hendry, Hoang V. Dinh, Debolina Sarkar, Lin Wang, Anindita Bandyopadhyay, Himadri B. Pakrasi and Costas D. Maranas
Metabolites 2021, 11(3), 168; https://doi.org/10.3390/metabo11030168 - 15 Mar 2021
Cited by 8 | Viewed by 4097
Abstract
Nitrogen fixing-cyanobacteria can significantly improve the economic feasibility of cyanobacterial production processes by eliminating the requirement for reduced nitrogen. Anabaena sp. ATCC 33047 is a marine, heterocyst forming, nitrogen fixing cyanobacteria with a very short doubling time of 3.8 h. We developed a [...] Read more.
Nitrogen fixing-cyanobacteria can significantly improve the economic feasibility of cyanobacterial production processes by eliminating the requirement for reduced nitrogen. Anabaena sp. ATCC 33047 is a marine, heterocyst forming, nitrogen fixing cyanobacteria with a very short doubling time of 3.8 h. We developed a comprehensive genome-scale metabolic (GSM) model, iAnC892, for this organism using annotations and content obtained from multiple databases. iAnC892 describes both the vegetative and heterocyst cell types found in the filaments of Anabaena sp. ATCC 33047. iAnC892 includes 953 unique reactions and accounts for the annotation of 892 genes. Comparison of iAnC892 reaction content with the GSM of Anabaena sp. PCC 7120 revealed that there are 109 reactions including uptake hydrogenase, pyruvate decarboxylase, and pyruvate-formate lyase unique to iAnC892. iAnC892 enabled the analysis of energy production pathways in the heterocyst by allowing the cell specific deactivation of light dependent electron transport chain and glucose-6-phosphate metabolizing pathways. The analysis revealed the importance of light dependent electron transport in generating ATP and NADPH at the required ratio for optimal N2 fixation. When used alongside the strain design algorithm, OptForce, iAnC892 recapitulated several of the experimentally successful genetic intervention strategies that over produced valerolactam and caprolactam precursors. Full article
(This article belongs to the Special Issue Genome-Scale Metabolic Models)
Show Figures

Figure 1

16 pages, 2592 KB  
Article
A Multi-Omics Characterization of the Natural Product Potential of Tropical Filamentous Marine Cyanobacteria
by Tiago Leão, Mingxun Wang, Nathan Moss, Ricardo da Silva, Jon Sanders, Sergey Nurk, Alexey Gurevich, Gregory Humphrey, Raphael Reher, Qiyun Zhu, Pedro Belda-Ferre, Evgenia Glukhov, Syrena Whitner, Kelsey L. Alexander, Robert Rex, Pavel Pevzner, Pieter C. Dorrestein, Rob Knight, Nuno Bandeira, William H. Gerwick and Lena Gerwickadd Show full author list remove Hide full author list
Mar. Drugs 2021, 19(1), 20; https://doi.org/10.3390/md19010020 - 6 Jan 2021
Cited by 27 | Viewed by 8343
Abstract
Microbial natural products are important for the understanding of microbial interactions, chemical defense and communication, and have also served as an inspirational source for numerous pharmaceutical drugs. Tropical marine cyanobacteria have been highlighted as a great source of new natural products, however, few [...] Read more.
Microbial natural products are important for the understanding of microbial interactions, chemical defense and communication, and have also served as an inspirational source for numerous pharmaceutical drugs. Tropical marine cyanobacteria have been highlighted as a great source of new natural products, however, few reports have appeared wherein a multi-omics approach has been used to study their natural products potential (i.e., reports are often focused on an individual natural product and its biosynthesis). This study focuses on describing the natural product genetic potential as well as the expressed natural product molecules in benthic tropical cyanobacteria. We collected from several sites around the world and sequenced the genomes of 24 tropical filamentous marine cyanobacteria. The informatics program antiSMASH was used to annotate the major classes of gene clusters. BiG-SCAPE phylum-wide analysis revealed the most promising strains for natural product discovery among these cyanobacteria. LCMS/MS-based metabolomics highlighted the most abundant molecules and molecular classes among 10 of these marine cyanobacterial samples. We observed that despite many genes encoding for peptidic natural products, peptides were not as abundant as lipids and lipopeptides in the chemical extracts. Our results highlight a number of highly interesting biosynthetic gene clusters for genome mining among these cyanobacterial samples. Full article
(This article belongs to the Special Issue Omics Profiling of Marine Environments for Drug Discovery)
Show Figures

Figure 1

1 pages, 147 KB  
Abstract
Ubiquity, Diversity, and Genomic Complexity of Cyanophages in Freshwater Environments
by Qi-Ya Zhang
Proceedings 2020, 50(1), 105; https://doi.org/10.3390/proceedings2020050105 - 24 Jun 2020
Viewed by 1416
Abstract
Cyanophages are viruses that infect cyanobacteria (also known as blue-green algae) and are ubiquitious in marine and freshwater environments. In recent years, freshwater cyanophages have attracted more attention because they can affect global freshwater ecosystems. The spatial distribution and morphological diversity of cyanophage [...] Read more.
Cyanophages are viruses that infect cyanobacteria (also known as blue-green algae) and are ubiquitious in marine and freshwater environments. In recent years, freshwater cyanophages have attracted more attention because they can affect global freshwater ecosystems. The spatial distribution and morphological diversity of cyanophage populations were examined in Lake Donghu with three trophic regions: hypertrophic, eutrophic, and mesotrophic regions. The surprisingly high viral abundance (ranging from 108 to 109 phage mL−1) and morphological diversity were detected. Most of them have tails and belong to the families Siphoviridae, Myoviridae, and Podoviridae. Various morphotypes were observed, such as prolate-headed virus-like particles and lemon-shaped virus-like particles. In addition, some cyanophages were studied by virological experiments and whole-genome analyses, combined with morphological observation. For example, three cyanophages were isolated and their whole genomes were sequenced. Contractile tail myonophage MaMV-DC infects bloom-forming cyanobacterium Microcystis aeruginosa. Tailless cyanophage Planktothrix agardhii virus isolated from Lake Donghu (PaV-LD) infects filamentous cyanobacterium. Short-tail podovirus A-4L can infect the model cyanobacterium Anabaena sp. strain PCC 7120. The MaMV-DC genome contains 169,223 bp encoding 170 putative open reading frames (ORFs). The PaV-LD genome posseses 95,299 bp encoding 142 putative ORFs. The genome of short-tail podovirus A-4L has 41,750 bp encoding 38 putative ORFs. There are significant differences in their genomic size and encoded tail proteins, but all three cyanophages contain genes that are not commonly found in phages. By studying the vast biodiversity of viruses in freshwater environments, these novel findings of cyanophages broaden our insights, and allow us to gain more useful knowledge about the global impact of these viruses in freshwater ecosystems. Full article
(This article belongs to the Proceedings of Viruses 2020—Novel Concepts in Virology)
30 pages, 3025 KB  
Review
Marine Cyanobacteria: A Source of Lead Compounds and their Clinically-Relevant Molecular Targets
by Lik Tong Tan and Ma Yadanar Phyo
Molecules 2020, 25(9), 2197; https://doi.org/10.3390/molecules25092197 - 8 May 2020
Cited by 53 | Viewed by 8162
Abstract
The prokaryotic filamentous marine cyanobacteria are photosynthetic microbes that are found in diverse marine habitats, ranging from epiphytic to endolithic communities. Their successful colonization in nature is largely attributed to genetic diversity as well as the production of ecologically important natural products. These [...] Read more.
The prokaryotic filamentous marine cyanobacteria are photosynthetic microbes that are found in diverse marine habitats, ranging from epiphytic to endolithic communities. Their successful colonization in nature is largely attributed to genetic diversity as well as the production of ecologically important natural products. These cyanobacterial natural products are also a source of potential drug leads for the development of therapeutic agents used in the treatment of diseases, such as cancer, parasitic infections and inflammation. Major sources of these biomedically important natural compounds are found predominately from marine cyanobacterial orders Oscillatoriales, Nostocales, Chroococcales and Synechococcales. Moreover, technological advances in genomic and metabolomics approaches, such as mass spectrometry and NMR spectroscopy, revealed that marine cyanobacteria are a treasure trove of structurally unique natural products. The high potency of a number of natural products are due to their specific interference with validated drug targets, such as proteasomes, proteases, histone deacetylases, microtubules, actin filaments and membrane receptors/channels. In this review, the chemistry and biology of selected potent cyanobacterial compounds as well as their synthetic analogues are presented based on their molecular targets. These molecules are discussed to reflect current research trends in drug discovery from marine cyanobacterial natural products. Full article
(This article belongs to the Special Issue Bioactive Compounds from Cyanobacteria)
Show Figures

Figure 1

50 pages, 45430 KB  
Review
The Record of Environmental and Microbial Signatures in Ancient Microbialites: The Terminal Carbonate Complex from the Neogene Basins of Southeastern Spain
by Raphaël Bourillot, Emmanuelle Vennin, Christophe Dupraz, Aurélie Pace, Anneleen Foubert, Jean-Marie Rouchy, Patricia Patrier, Philippe Blanc, Dominique Bernard, Julien Lesseur and Pieter T. Visscher
Minerals 2020, 10(3), 276; https://doi.org/10.3390/min10030276 - 19 Mar 2020
Cited by 20 | Viewed by 8214
Abstract
The Messinian microbialites of the Terminal Carbonate Complex (TCC) from the Neogene basins of southeastern Spain show both diversified morphologies and an excellent preservation of primary microbial microstructures. Their stratigraphic architecture, fabric (micro-, meso-, and macro-fabric), and mineralogical composition were investigated in eight [...] Read more.
The Messinian microbialites of the Terminal Carbonate Complex (TCC) from the Neogene basins of southeastern Spain show both diversified morphologies and an excellent preservation of primary microbial microstructures. Their stratigraphic architecture, fabric (micro-, meso-, and macro-fabric), and mineralogical composition were investigated in eight localities from three sedimentary basins of southeastern Spain: The Sorbas and Bajo Segura basins and the Agua Amarga depression. Two recurrent microbialite associations were distinguished. Laterally linked low relief stromatolites predominated in Microbialite Association 1 (MA1), which probably formed in low energy lagoons or lakes with fluctuating normal marine to hypersaline water. The microfabrics of MA1 reflected the predominance of microbially induced/influenced precipitation of carbonates and locally (Ca)-Mg-Al silicates. Microbialite Association 2 (MA2) developed in high energy wave and tidal influenced foreshore to shoreface, in normal marine to hypersaline water. High-relief buildups surrounded by mobile sediment (e.g., ooids or pellets) dominated in this environment. MA2 microbialites showed a significant proportion of thrombolitic mesofabric. Grain-rich microfabrics indicated that trapping and binding played a significant role in their accretion, together with microbially induced/influenced carbonate precipitation. The stratigraphic distribution of MA1 and MA2 was strongly influenced by water level changes, the morphology and nature of the substratum, and exposure to waves. MA1 favorably developed in protected areas during third to fourth order early transgression and regression phases. MA2 mostly formed during the late transgressions and early regressions in high energy coastal areas, often corresponding to fossil coral reefs. Platform scale syn-sedimentary gypsum deformation and dissolution enhanced microbial carbonate production, microbialites being thicker and more extended in zones of maximum deformation/dissolution. Microbial microstructures (e.g., microbial peloids) and microfossils were preserved in the microbialites. Dolomite microspheres and filaments showed many morphological similarities with some of the cyanobacteria observed in modern open marine and hypersaline microbialites. Dolomite potentially replaced a metastable carbonate phase during early diagenesis, possibly in close relationship with extracellular polymeric substances (EPS) degradation. Double-layered microspheres locally showed an inner coating made of (Ca)-Mg-Al silicates and carbonates. This mineral coating could have formed around coccoid cyanobacteria and indicated an elevated pH in the upper part of the microbial mats and a potential dissolution of diatoms as a source of silica. Massive primary dolomite production in TCC microbialites may have resulted from enhanced sulfate reduction possibly linked to the dissolving gypsum that would have provided large amounts of sulfate-rich brines to microbial mats. Our results open new perspectives for the interpretation of ancient microbialites associated with major evaporite deposits, from microbe to carbonate platform scales. Full article
(This article belongs to the Special Issue Microbialites: Preservation of Extant and Extinct Systems)
Show Figures

Figure 1

15 pages, 1694 KB  
Article
MS/MS-Based Molecular Networking Approach for the Detection of Aplysiatoxin-Related Compounds in Environmental Marine Cyanobacteria
by Chi Ying Gary Ding, Li Mei Pang, Zhao-Xun Liang, Kau Kiat Kelvin Goh, Evgenia Glukhov, William H. Gerwick and Lik Tong Tan
Mar. Drugs 2018, 16(12), 505; https://doi.org/10.3390/md16120505 - 13 Dec 2018
Cited by 18 | Viewed by 5754
Abstract
Certain strains of cyanobacteria produce a wide array of cyanotoxins, such as microcystins, lyngbyatoxins and aplysiatoxins, that are associated with public health issues. In this pilot study, an approach combining LC-MS/MS and molecular networking was employed as a rapid analytical method to detect [...] Read more.
Certain strains of cyanobacteria produce a wide array of cyanotoxins, such as microcystins, lyngbyatoxins and aplysiatoxins, that are associated with public health issues. In this pilot study, an approach combining LC-MS/MS and molecular networking was employed as a rapid analytical method to detect aplysiatoxins present in four environmental marine cyanobacterial samples collected from intertidal areas in Singapore. Based on 16S-ITS rRNA gene sequences, these filamentous cyanobacterial samples collected from Pulau Hantu were determined as Trichodesmium erythraeum, Oscillatoria sp. PAB-2 and Okeania sp. PNG05-4. Organic extracts were prepared and analyzed on LC-HRMS/MS and Global Natural Product Social Molecular Networking (GNPS) for the presence of aplysiatoxin-related molecules. From the molecular networking, six known compounds, debromoaplysiatoxin (1), anhydrodebromoaplysiatoxin (2), 3-methoxydebromoaplysiatoxin (3), aplysiatoxin (4), oscillatoxin A (5) and 31-noroscillatoxin B (6), as well as potential new analogues, were detected in these samples. In addition, differences and similarities in molecular networking clusters related to the aplysiatoxin molecular family were observed in extracts of Trichodesmium erythraeum collected from two different locations and from different cyanobacterial species found at Pulau Hantu, respectively. Full article
Show Figures

Figure 1

17 pages, 4898 KB  
Article
Evaluating Marine Cyanobacteria as a Source for CNS Receptor Ligands
by Andrea L. Rague, Stacy-Ann J. Parker and Kevin J. Tidgewell
Molecules 2018, 23(10), 2665; https://doi.org/10.3390/molecules23102665 - 17 Oct 2018
Cited by 5 | Viewed by 3880
Abstract
Natural products have a long history as a source of psychoactive agents and pharmacological tools for understanding the brain and its circuitry. In the last two decades, marine cyanobacteria have become a standard source of natural product ligands with cytotoxic properties. The study [...] Read more.
Natural products have a long history as a source of psychoactive agents and pharmacological tools for understanding the brain and its circuitry. In the last two decades, marine cyanobacteria have become a standard source of natural product ligands with cytotoxic properties. The study of cyanobacterial metabolites as CNS modulatory agents has remained largely untapped, despite the need for new molecules to treat and understand CNS disorders. We have generated a library of 301 fractions from 37 field collected cyanobacterial samples and screened these fractions against a panel of CNS receptors using radiolabeled ligand competitive-binding assays. Herein we present an analysis of the screening data collected to date, which show that cyanobacteria are prolific producers of compounds which bind to important CNS receptors, including those for 5-HT, DA, monoamine transporters, adrenergic, sigma, and cannabinoid receptors. In addition to the analysis of our screening efforts, we will also present the isolation of five compounds from the same cyanobacterial collection to illustrate how pre-fractionation followed by radioligand screening can lead to rapid identification of selective CNS agents. The systematic screening of natural products sources, specifically filamentous marine cyanobacteria, will yield a number of lead compounds for further development as pharmacological tools and therapeutics. Full article
(This article belongs to the Special Issue Psychoactive Natural Products)
Show Figures

Graphical abstract

Back to TopTop