Marine Cyanobacteria: A Rich Source of Structurally Unique Anti-Infectives for Drug Development
Abstract
1. Introduction
2. Antivirals
2.1. Aplysiatoxins
2.2. Serinol-Derived Malyngamides
2.3. Gallinamide (= Symplostatin 4)
2.4. Dolastatin 3
2.5. Cyanopeptolins
2.6. Divamides
3. Antibacterials and Modulators of the Bacterial Quorum Sensing System
3.1. Antibacterials
3.1.1. 2-Hydroxyethyl-11-hydroxyhexadec-9-enoate
3.1.2. Monogalactosyldiacylglycerol (MGDG) Containing a Palmitoyl
3.1.3. Tanikolide, Malyngolide, and Related Analogs
3.1.4. Anaephenes
3.1.5. Polybrominated Diphenyl Ethers
3.1.6. Crossbyanols
3.1.7. Carriebowlinol
3.1.8. Malyngamides and Lyngbic Acid
3.1.9. Pitipeptolides
3.1.10. Pitiprolamide
3.1.11. Hormothamnins
3.1.12. Cyanobacterial Molecules Against Foodborne Pathogens: Antillatoxin B, Laxaphycins, and Malyngamides
3.2. Quorum Sensing Modulators
3.2.1. Fatty Acids
3.2.2. Lyngbic Acid
3.2.3. Lyngbyoic Acid
3.2.4. Benderadiene
3.2.5. Pitinoic Acids
3.2.6. Malyngolide
3.2.7. Honaucins
3.2.8. Tumonoic Acids
3.2.9. Malyngamide C and 8-epi-malyngamide C
3.2.10. Doscadenamides
3.2.11. Trikoveramides
3.2.12. Trikoramides
4. Antifungals
4.1. Majusculoic Acid
4.2. Tanikolide
4.3. Kalkipyrones A and B
4.4. Amantelides
4.5. Swinholide-Related Molecules
4.6. Dolastatin 10
4.7. Majusculamide C and Related Compounds
4.8. Lyngbyabellin B and Hectochlorin
4.9. Laxaphycins and Lobocyclamides
5. Antiparasitics
5.1. Antiplasmodial Molecules
5.1.1. Hierridin B and 2,4-Dimethoxy-6-heptadecyl-phenol (= Hierridin A)
5.1.2. Malyngolide Dimer
5.1.3. Biselyngbyaside and Biselyngbyolide B
5.1.4. Bastimolides and Palstimolide A
5.1.5. Dolastatins
5.1.6. Gallinamide A (= Symplostatin 4)
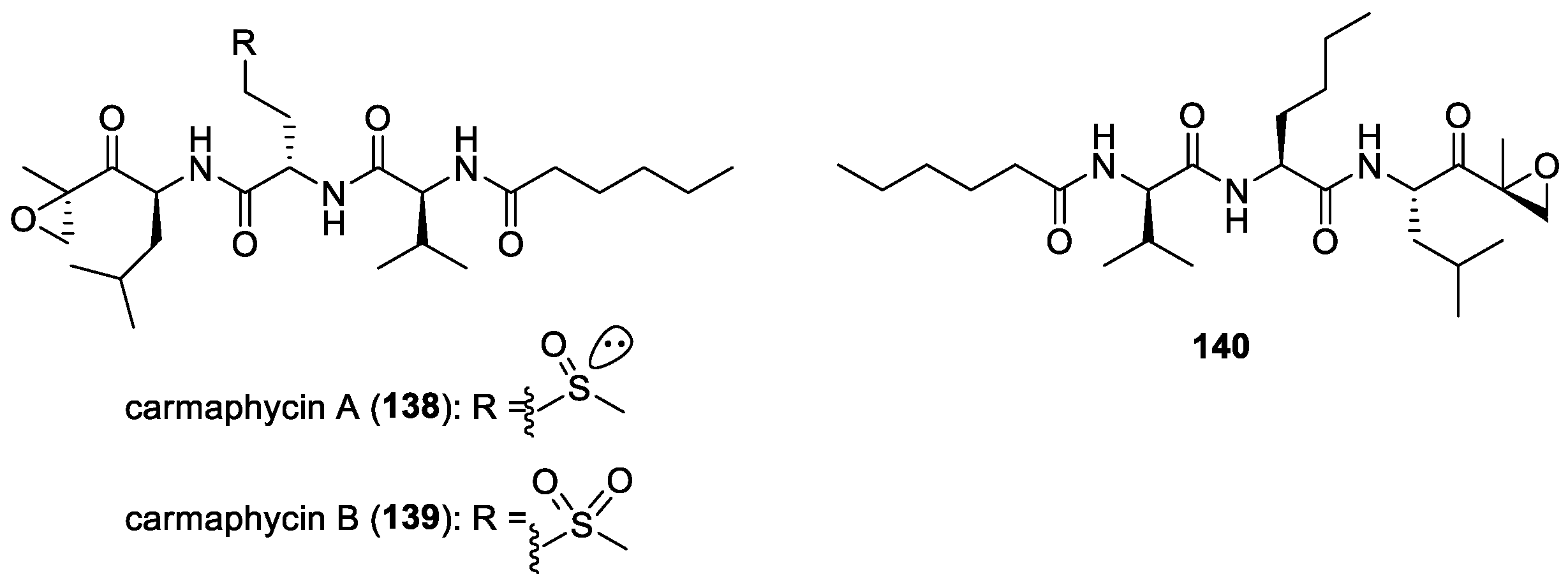
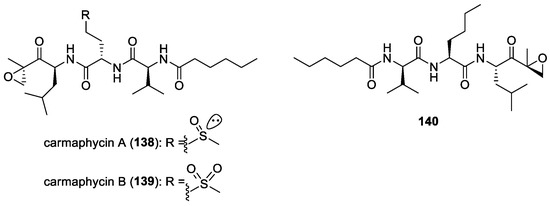
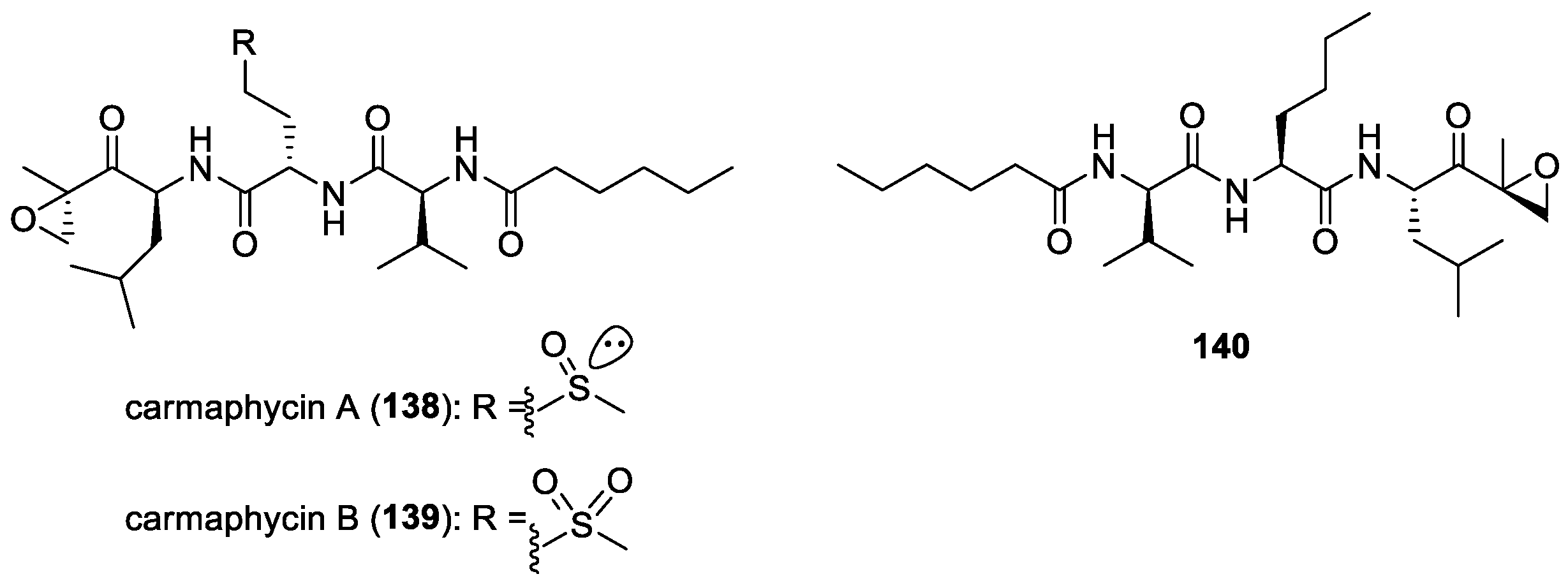
5.1.7. Carmaphycin B
5.1.8. Carmabin A, Dragomabin, and Dragonamides A and B
5.1.9. Ikoamide
5.1.10. Mabuniamide
5.1.11. Hoshinoamides
5.1.12. Pemuchiamides
5.1.13. β-Hydroxy- and β-Amino-Containing Cyclic Depsipeptides
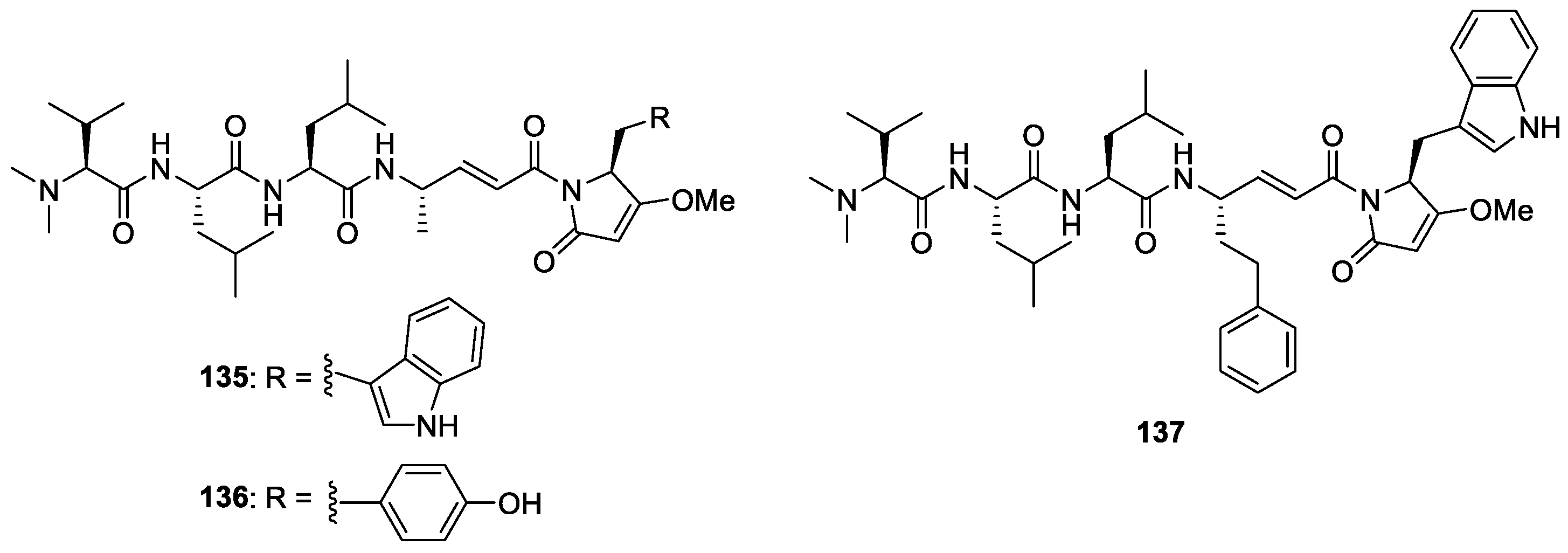
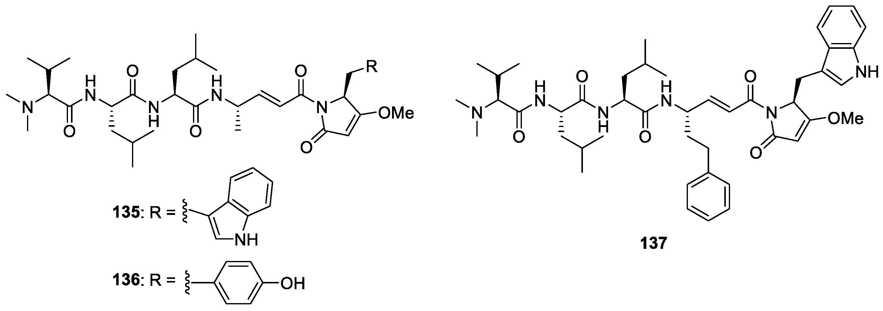
Dudawalamides
Lyngbyabellins
Veraguamides M and N
Companeramides
Wajeepeptin
5.1.14. Venturamides A and B
5.1.15. Lagunamides
5.1.16. Symplocamide A
5.2. Antitrypanosomal and Antileishmanial Molecules
5.2.1. Kagimminols A and B
5.2.2. Anaephene B
5.2.3. Coibacins
5.2.4. Bromoiesol Sulfates
5.2.5. Akunolides and Polycavernoside E
5.2.6. Hennaminal and Hennamide
5.2.7. Hoshinolactam
5.2.8. Beru’amide
5.2.9. Gallinamide A (= Symplostatin 4)
5.2.10. Iheyamides
5.2.11. Kinenzoline
5.2.12. Dragonamides A and E and Herbamide B
5.2.13. Almiramides
5.2.14. Viridamides
5.2.15. Amantamide C
5.2.16. Okeaniazole A
5.2.17. Janadolide
5.2.18. Motobamide
5.3. Molluscicidal Compounds
6. Conclusions
Author Contributions
Funding
Conflicts of Interest
References
- Cloeckaert, A.; Kuchler, K. Grand challenges in infectious diseases: Are we prepared for worst-case scenarios? Front. Microbiol. 2020, 11, 613383. [Google Scholar] [CrossRef] [PubMed]
- Aljeldah, M.M. Antimicrobial resistance and its spread is a global threat. Antibiotics 2022, 11, 1082. [Google Scholar] [CrossRef] [PubMed]
- Aminov, R. History of antimicrobial drug discovery: Major classes and health impact. Biochem. Pharmacol. 2017, 133, 4–19. [Google Scholar] [CrossRef] [PubMed]
- Meganck, R.M.; Baric, R.S. Developing therapeutic approaches for twenty-first-century emerging infectious viral diseases. Nat. Med. 2021, 27, 401–410. [Google Scholar] [CrossRef]
- Calteau, A.; Fewer, D.P.; Latifi, A.; Coursin, T.; Laurent, T.; Jokela, J.; Kerfeld, C.A.; Sivonen, K.; Piel, J.; Gugger, M. Phylum-wide comparative genomics unravel the diversity of secondary metabolism in cyanobacteria. BMC Genom. 2014, 15, 977. [Google Scholar] [CrossRef]
- Leão, P.N.; Engene, N.; Antunes, A.; Gerwick, W.H.; Vasconcelos, V. The chemical ecology of cyanobacteria. Nat. Prod. Rep. 2012, 29, 372–391. [Google Scholar] [CrossRef] [PubMed]
- Tan, L.T.; Phyo, M.Y. Marine cyanobacteria: A source of lead compounds and their clinically-relevant molecular targets. Molecules 2020, 25, 2197. [Google Scholar] [CrossRef]
- Gupta, D.K.; Kaur, P.; Leong, S.T.; Tan, L.T.; Prinsep, M.R.; Chu, J.J. Anti-chikungunya viral activities of aplysiatoxin-related compounds from the marine cyanobacterium Trichodesmium erythraeum. Mar. Drugs 2014, 12, 115–127. [Google Scholar] [CrossRef]
- Richard, K.; Williams, D.E.; De Silva, E.D.; Brockman, M.A.; Brumme, Z.L.; Andersen, R.J.; Tietjen, I. Identification of novel HIV-1 latency-reversing agents from a library of marine natural products. Viruses 2018, 10, 348. [Google Scholar] [CrossRef]
- Washizaki, A.; Murata, M.; Seki, Y.; Kikumori, M.; Tang, Y.; Tan, W.; Wardani, N.P.; Irie, K.; Akari, H. The novel PKC activator 10-methyl-aplog-1 combined with JQ1 induced strong and synergistic HIV reactivation with tolerable global T cell activation. Viruses 2021, 13, 2037. [Google Scholar] [CrossRef]
- Maki, J.; Hanaki, Y.; Yanagita, R.C.; Kikumori, M.; Kovba, A.; Washizaki, A.; Tsukano, C.; Akari, H.; Irie, K. Biological evaluation of a phosphate ester prodrug of 10-methyl-aplog-1, a simplified analog of aplysiatoxin, as a possible latency-reversing agent for HIV reactivation. Biosci. Biotechnol. Biochem. 2023, 87, 1453–1461. [Google Scholar] [CrossRef] [PubMed]
- Wan, F.; Erickson, K.L. Serinol-derived malyngamides from an Australian cyanobacterium. J. Nat. Prod. 1999, 62, 1696–1699. [Google Scholar] [CrossRef] [PubMed]
- Linington, R.G.; Clark, B.R.; Trimble, E.E.; Almanza, A.; Ureña, L.D.; Kyle, D.E.; Gerwick, W.H. Antimalarial peptides from marine cyanobacteria: Isolation and structural elucidation of gallinamide A. J. Nat. Prod. 2009, 72, 14–17. [Google Scholar] [CrossRef] [PubMed]
- Miller, B.; Friedman, A.J.; Choi, H.; Hogan, J.; McCammon, J.A.; Hook, V.; Gerwick, W.H. The marine cyanobacterial metabolite gallinamide A is a potent and selective inhibitor of human cathepsin L. J. Nat. Prod. 2014, 77, 92–99. [Google Scholar] [CrossRef]
- Zhao, M.-M.; Yang, W.-L.; Yang, F.-Y.; Zhang, L.; Huang, W.-J.; Hou, W.; Fan, C.-F.; Jin, R.-H.; Feng, Y.-M.; Wang, Y.-C. Cathepsin L plays a key role in SARS-CoV-2 infection in humans and humanized mice and is a promising target for new drug development. Sig. Transduct. Target. Ther. 2021, 6, 134. [Google Scholar] [CrossRef]
- Ashhurst, A.S.; Tang, A.H.; Fajtová, P.; Yoon, M.C.; Aggarwal, A.; Bedding, M.J.; Stoye, A.; Beretta, L.; Pwee, D.; Drelich, A.; et al. Potent anti-SARS-CoV-2 activity by the natural product gallinamide A and analogues via inhibition of cathepsin L. J. Med. Chem. 2022, 65, 2956–2970. [Google Scholar] [CrossRef]
- Boudreau, P.D.; Miller, B.W.; McCall, L.-I.; Almaliti, J.; Reher, R.; Hirata, K.; Le, T.; Siqueira-Neto, J.L.; Hook, V.; Gerwick, W.H. Design of gallinamide A analogs as potent inhibitors of the cysteine proteases human cathepsin L and Trypanosoma cruzi cruzain. J. Med. Chem. 2019, 62, 9026–9044. [Google Scholar] [CrossRef]
- Mitchell, S.S.; Faulkner, D.J.; Rubins, K.; Bushman, F.D. Dolastatin 3 and two novel cyclic peptides from a Palauan collection of Lyngbya majuscula. J. Nat. Prod. 2000, 63, 279–282. [Google Scholar] [CrossRef]
- Zhang, B.; Kawabe, R.; Kamio, M.; Uchida, H.; Matsuura, N.; Mori-Yasumoto, K.; Satake, M.; Nagai, H. Okeaniazole A: Thiazole-containing cyclopeptide from the marine cyanobacterium Okeania hirsuta with antileishmanial activity. Tetrahedron Lett. 2024, 150, 155284. [Google Scholar] [CrossRef]
- Konkel, R.; Milewska, A.; Do, N.D.T.; Barreto Duran, E.; Szczepanski, A.; Plewka, J.; Wieczerzak, E.; Iliakopoulou, S.; Kaloudis, T.; Jochmans, D.; et al. Anti-SARS-CoV-2 activity of cyanopeptolins produced by Nostoc edaphicum CCNP1411. Antivir. Res. 2023, 219, 105731. [Google Scholar] [CrossRef]
- Smith, T.E.; Pond, C.D.; Pierce, E.; Harmer, Z.P.; Kwan, J.; Zachariah, M.M.; Harper, M.K.; Wyche, T.P.; Matainaho, T.K.; Bugni, T.S.; et al. Accessing chemical diversity from the uncultivated symbionts of small marine animals. Nat. Chem. Biol. 2018, 14, 179–185. [Google Scholar] [CrossRef] [PubMed]
- Maneechote, N.; Yingyongnarongkul, B.-E.; Suksamran, A.; Lumyong, S. Inhibition of Vibrio spp. by 2-hydroxyethyl-11-hydroxyhexadec-9-enoate of marine cyanobacterium Leptolyngbya sp. LT19. Aquac. Res. 2017, 48, 2088–2095. [Google Scholar] [CrossRef]
- Parveez Ahamed, A.A.; Rasheed, M.U.; Peer Muhamed Noorani, K.; Reehana, N.; Santhoshkumar, S.; Mohamed Imran, Y.M.; Alharbi, N.S.; Arunachalam, C.; Alharbi, S.A.; Akbarsha, M.A.; et al. In vitro antibacterial activity of MGDG-palmitoyl from Oscillatoria acuminata NTAPC05 against extended-spectrum β-lactamase producers. J. Antibiot. 2017, 70, 754–762. [Google Scholar] [CrossRef] [PubMed]
- Breheny, J.; Kingston, C.; Doran, R.; Anes, J.; Martins, M.; Fanning, S.; Guiry, P.J. Investigation of the anti-methicillin-resistant Staphylococcus aureus activity of (+)-tanikolide- and (+)-malyngolide-based analogues prepared by asymmetric synthesis. Int. J. Mol. Sci. 2021, 22, 6400. [Google Scholar] [CrossRef]
- Singh, I.P.; Milligan, K.E.; Gerwick, W.H. Tanikolide, a toxic and antifungal lactone from the marine cyanobacterium Lyngbya majuscula. J. Nat. Prod. 1999, 62, 1333–1335. [Google Scholar] [CrossRef]
- Cardellina, J.H., II; Moore, R.E.; Arnold, E.V.; Clardy, J. Structure and absolute configuration of malyngolide, an antibiotic from the marine blue-green alga Lyngbya majuscula Gomont. J. Org. Chem. 1979, 44, 4039–4042. [Google Scholar] [CrossRef]
- Dobretsov, S.; Teplitski, M.; Alagely, A.; Gunasekera, S.P.; Paul, V.J. Malyngolide from the cyanobacterium Lyngbya majuscula interferes with quorum sensing circuitry. Environ. Microbiol. Rep. 2010, 2, 739–744. [Google Scholar] [CrossRef]
- Engene, N.; Tronholm, A.; Paul, V.J. Uncovering cryptic diversity of Lyngbya: The new tropical marine cyanobacterial genus Dapis (Oscillatoriales). J. Phycol. 2018, 54, 435–446. [Google Scholar] [CrossRef] [PubMed]
- Sneed, J.M.; Meickle, T.; Engene, N.; Reed, S.; Gunasekera, S.; Paul, V.J. Bloom dynamics and chemical defenses of benthic cyanobacteria in the Indian River Lagoon, Florida. Harmful Algae 2017, 69, 75–82. [Google Scholar] [CrossRef]
- Brumley, D.; Spencer, K.A.; Gunasekera, S.P.; Sauvage, T.; Biggs, J.; Paul, V.J.; Luesch, H. Isolation and characterization of anaephenes A-C, alkylphenols from a filamentous cyanobacterium (Hormoscilla sp., Oscillatoriales). J. Nat. Prod. 2018, 81, 2716–2721. [Google Scholar] [CrossRef]
- Kukla, D.L.; Canchola, J.; Mills, J.J. Synthesis of the cyanobacterial antibiotics anaephenes A and B. J. Nat. Prod. 2020, 83, 2036–2040. [Google Scholar] [CrossRef] [PubMed]
- Kukla, D.L.; Canchola, J.; Rosenthal, J.D.; Mills, J.J. Design, synthesis, and structure–activity relationship studies of the anaephene antibiotics. Chem. Biol. Drug Des. 2021, 98, 295–304. [Google Scholar] [CrossRef] [PubMed]
- Zaman, S.M.; Jones, M.A. Potent inhibitory activity of natural product anaephene B and analogues against Leishmania tarentolae in vitro. Molecules 2023, 28, 946. [Google Scholar] [CrossRef]
- Agarwal, V.; Blanton, J.M.; Podell, S.; Taton, A.; Schorn, M.A.; Busch, J.; Lin, Z.; Schmidt, E.W.; Jensen, P.R.; Paul, V.J.; et al. Metagenomic discovery of polybrominated diphenyl ether biosynthesis by marine sponges. Nat. Chem. Biol. 2017, 13, 537–543. [Google Scholar] [CrossRef]
- Faisal, M.R.; Kellermann, M.Y.; Rohde, S.; Putra, M.Y.; Murniasih, T.; Risdian, C.; Mohr, K.I.; Wink, J.; Praditya, D.F.; Steinmann, E.; et al. Ecological and pharmacological activities of polybrominated diphenyl ethers (PBDEs) from the Indonesian marine sponge Lamellodysidea herbacea. Mar. Drugs 2021, 19, 611. [Google Scholar] [CrossRef]
- Choi, H.; Engene, N.; Smith, J.E.; Preskitt, L.B.; Gerwick, W.H. Crossbyanols A-D, toxic brominated polyphenyl ethers from the Hawai’ian bloom-forming cyanobacterium Leptolyngbya crossbyana. J. Nat. Prod. 2010, 73, 517–522. [Google Scholar] [CrossRef] [PubMed]
- Soares, A.R.; Engene, N.; Gunasekera, S.P.; Sneed, J.M.; Paul, V.J. Carriebowlinol, an antimicrobial tetrahydroquinolinol from an assemblage of marine cyanobacteria containing a novel taxon. J. Nat. Prod. 2015, 78, 534–538. [Google Scholar] [CrossRef] [PubMed]
- Mynderse, J.S.; Moore, R.E. Malyngamides D and E, two trans-7-methoxy-9-methylhexadec-4-enamides from a deep water variety of the marine cyanophyte Lyngbya majuscula. J. Org. Chem. 1978, 43, 4359–4363. [Google Scholar] [CrossRef]
- Gerwick, W.H.; Reyes, S.; Alvarado, B. Two malyngamides from the caribbean cyanobacterium Lyngbya majuscula. Phytochemistry 1987, 26, 1701–1704. [Google Scholar]
- Shaala, L.A.; Youssef, D.T.A.; McPhail, K.L.; Elbandy, M. Malyngamide 4, a new lipopeptide from the Red Sea marine cyanobacterium Moorea producens (formerly Lyngbya majuscula). Phytochem. Lett. 2013, 6, 183–188. [Google Scholar] [CrossRef]
- Meyer, J.L.; Gunasekera, S.P.; Scott, R.M.; Paul, V.J.; Teplitski, M. Microbiome shifts and the inhibition of quorum sensing by black band disease cyanobacteria. ISME J. 2016, 10, 1204–1216. [Google Scholar] [CrossRef] [PubMed]
- Luesch, H.; Pangilinan, R.; Yoshida, W.Y.; Moore, R.E.; Paul, V.J. Pitipeptolides A and B, new cyclodepsipeptides from the marine cyanobacterium Lyngbya majuscula. J. Nat. Prod. 2001, 64, 304–307. [Google Scholar] [CrossRef] [PubMed]
- Cruz-Rivera, E.; Paul, V.J. Chemical deterrence of a cyanobacterial metabolite against generalized and specialized grazers. J. Chem. Ecol. 2007, 33, 213–217. [Google Scholar] [CrossRef] [PubMed]
- Montaser, R.; Paul, V.J.; Luesch, H. Pitipeptolides C–F, antimycobacterial cyclodepsipeptides from the marine cyanobacterium Lyngbya majuscula from Guam. Phytochemistry 2011, 72, 2068–2074. [Google Scholar] [CrossRef] [PubMed]
- Montaser, R.; Abboud, K.A.; Paul, V.J.; Luesch, H. Pitiprolamide, a proline-rich dolastatin 16 analogue from the marine cyanobacterium Lyngbya majuscula from Guam. J. Nat. Prod. 2011, 74, 109–112. [Google Scholar] [CrossRef] [PubMed]
- Gerwick, W.H.; Mrozek, C.; Moghaddam, M.F.; Agarwal, S.K. Novel cytotoxic peptides from the tropical marine cyanobacterium Hormothamnion enteromorphoides. 1. Discovery, isolation and initial chemical and biological characterization of the hormothamnins from wild and cultured material. Experientia 1989, 45, 115–121. [Google Scholar] [CrossRef]
- Gerwick, W.H.; Jiang, Z.D.; Agarwal, S.K.; Farmer, B.T. Total structure of hormothamnin A, A toxic cyclic undecapeptide from the tropical marine cyanobacterium Hormothamnion enteromorphoides. Tetrahedron 1992, 48, 2313–2324. [Google Scholar] [CrossRef]
- Kwan, J.C.; Teplitski, M.; Gunasekera, S.P.; Paul, V.J.; Luesch, H. Isolation and biological evaluation of 8-epi-malyngamide C from the Floridian marine cyanobacterium Lyngbya majuscula. J. Nat. Prod. 2010, 73, 463–466. [Google Scholar] [CrossRef]
- Darcel, L.; Das, S.; Bonnard, I.; Banaigs, B.; Inguimbert, N. Thirtieth anniversary of the discovery of laxaphycins. Intriguing peptides keeping a part of their mystery. Mar. Drugs 2021, 19, 473. [Google Scholar] [CrossRef]
- Kwan, J.C.; Meickle, T.; Ladwa, D.; Teplitski, M.; Paul, V.; Luesch, H. Lyngbyoic acid, a “tagged” fatty acid from a marine cyanobacterium, disrupts quorum sensing in Pseudomonas aeruginosa. Mol. Biosyst. 2011, 7, 1205–1216. [Google Scholar] [CrossRef]
- Salleh, N.F.; Wang, J.; Kundukad, B.; Oluwabusola, E.T.; Goh, D.X.Y.; Phyo, M.Y.; Tong, J.J.L.; Kjelleberg, S.; Tan, L.T. Cyclopropane-containing specialized metabolites from the marine cyanobacterium cf. Lyngbya sp. Molecules 2023, 28, 3965. [Google Scholar] [CrossRef] [PubMed]
- Montaser, R.; Paul, V.J.; Luesch, H. Modular strategies for structure and function employed by marine cyanobacteria: Characterization and synthesis of pitinoic acids. Org. Lett. 2013, 15, 4050–4053. [Google Scholar] [CrossRef] [PubMed]
- Choi, H.; Mascuch, S.J.; Villa, F.A.; Byrum, T.; Teasdale, M.E.; Smith, J.E.; Preskitt, L.B.; Rowley, D.C.; Gerwick, L.; Gerwick, W.H. Honaucins A-C, potent inhibitors of inflammation and bacterial quorum sensing: Synthetic derivatives and structure-activity relationships. Chem. Biol. 2012, 19, 589–598. [Google Scholar] [CrossRef] [PubMed]
- Clark, B.R.; Engene, N.; Teasdale, M.E.; Rowley, D.C.; Matainaho, T.; Valeriote, F.A.; Gerwick, W.H. Natural products chemistry and taxonomy of the marine cyanobacterium Blennothrix cantharidosmum. J. Nat. Prod. 2008, 71, 1530–1537. [Google Scholar] [CrossRef]
- Phyo, M.Y.; Katermeran, N.P.; Goh, J.X.; Tan, L.T. Trikoveramides AC, cyclic depsipeptides from the marine cyanobacterium Symploca hydnoides. Phytochemistry 2021, 190, 112879. [Google Scholar] [CrossRef]
- Phyo, M.Y.; Ding, C.Y.G.; Goh, H.C.; Goh, J.X.; Ong, J.F.M.; Chan, S.H.; Yung, P.Y.M.; Candra, H.; Tan, L.T. Trikoramide A, a prenylated cyanobactin from the marine cyanobacterium Symploca hydnoides. J. Nat. Prod. 2019, 82, 3482–3488. [Google Scholar] [CrossRef] [PubMed]
- MacMillan, J.B.; Molinski, T.F. Majusculoic acid, a brominated cyclopropyl fatty acid from a marine cyanobacterial mat assemblage. J. Nat. Prod. 2005, 68, 604–606. [Google Scholar] [CrossRef]
- Bertin, M.J.; Demirkiran, O.; Navarro, G.; Moss, N.A.; Lee, J.; Goldgof, G.M.; Vigil, E.; Winzeler, E.A.; Valeriote, F.A.; Gerwick, W.H. Kalkipyrone B, a marine cyanobacterial γ-pyrone possessing cytotoxic and anti-fungal activities. Phytochemistry 2016, 122, 113–118. [Google Scholar] [CrossRef]
- Graber, M.A.; Gerwick, W.H. Kalkipyrone, a toxic γ-pyrone from an assemblage of the marine cyanobacteria Lyngbya majuscula and Tolypothrix sp. J. Nat. Prod. 1998, 61, 677–680. [Google Scholar] [CrossRef]
- Salvador-Reyes, L.A.; Sneed, J.; Paul, V.J.; Luesch, H. Amantelides A and B, polyhydroxylated macrolides with differential broad-spectrum cytotoxicity from a Guamanian marine cyanobacterium. J. Nat. Prod. 2015, 78, 1957–1962. [Google Scholar] [CrossRef]
- Carmely, S.; Kashman, Y. Structure of swinholide-A, a new macrolide from the marine sponge Theonella swinhoei. Tetrahedron Lett. 1985, 26, 511–514. [Google Scholar] [CrossRef]
- Carter, D.C.; Moore, R.E.; Mynderse, J.S.; Niemczura, W.P.; Todd, J.S. Structure of majusculamide C, a cyclic depsipeptide from Lyngbya majuscula. J. Org. Chem. 1984, 49, 236–241. [Google Scholar] [CrossRef]
- Mynderse, J.S.; Hunt, A.H.; Moore, R.E. 57-Normajusculamide C, a minor cyclic depsipeptide isolated from Lyngbya majuscula. J. Nat. Prod. 1988, 51, 1299–1301. [Google Scholar] [CrossRef]
- Milligan, K.E.; Marquez, B.L.; Williamson, R.T.; Gerwick, W.H. Lyngbyabellin B, a toxic and antifungal secondary metabolite from the marine cyanobacterium Lyngbya majuscula. J. Nat. Prod. 2000, 63, 1440–1443. [Google Scholar] [CrossRef] [PubMed]
- Marquez, B.L.; Watts, K.S.; Yokochi, A.; Roberts, M.A.; Verdier-Pinard, P.; Jimenez, J.I.; Hamel, E.; Scheuer, P.J.; Gerwick, W.H. Structure and absolute stereochemistry of hectochlorin, a potent stimulator of actin assembly. J. Nat. Prod. 2002, 65, 866–871. [Google Scholar] [CrossRef] [PubMed]
- MacMillan, J.B.; Ernst-Russell, M.A.; de Ropp, J.S.; Molinski, T.F. Lobocyclamides A−C, Lipopeptides from a cryptic cyanobacterial mat containing Lyngbya confervoides. J. Org. Chem. 2002, 67, 8210–8215. [Google Scholar] [CrossRef]
- Papendorf, O.; König, G.M.; Wright, A.D. Hierridin B and 2,4-dimethoxy-6-heptadecyl-phenol, secondary metabolites from the cyanobacterium Phormidium ectocarpi with antiplasmodial activity. Phytochemistry 1998, 49, 2383–2386. [Google Scholar] [CrossRef]
- Gutiérrez, M.; Tidgewell, K.; Capson, T.L.; Engene, N.; Almanza, A.; Schemies, J.; Jung, M.; Gerwick, W.H. Malyngolide dimer, a bioactive symmetric cyclodepside from the Panamanian marine cyanobacterium Lyngbya majuscula. J. Nat. Prod. 2010, 73, 709–711. [Google Scholar] [CrossRef]
- Sato, E.; Morita, M.; Ogawa, H.; Iwatsuki, M.; Hokari, R.; Ishiyama, A.; Ōmura, S.; Iwasaki, A.; Suenaga, K. Design, synthesis and anti-malarial activities of synthetic analogs of biselyngbyolide B, a Ca2+ pump inhibitor from marine cyanobacteria. Bioorg. Med. Chem. Lett. 2018, 28, 298–301. [Google Scholar] [CrossRef]
- Pereira, A.R.; Kale, A.J.; Fenley, A.T.; Byrum, T.; Debonsi, H.M.; Gilson, M.K.; Valeriote, F.A.; Moore, B.S.; Gerwick, W.H. The carmaphycins: New proteasome inhibitors exhibiting an α,β-epoxyketone warhead from a marine cyanobacterium. ChemBioChem 2012, 13, 810–817. [Google Scholar] [CrossRef]
- McPhail, K.L.; Correa, J.; Linington, R.G.; González, J.; Ortega-Barría, E.; Capson, T.L.; Gerwick, W.H. Antimalarial linear lipopeptides from a Panamanian strain of the marine cyanobacterium Lyngbya majuscula. J. Nat. Prod. 2007, 70, 984–988. [Google Scholar] [CrossRef] [PubMed]
- Hooper, G.J.; Orjala, J.; Schatzman, R.C.; Gerwick, W.H. Carmabins A and B, new lipopeptides from the Caribbean cyanobacterium Lyngbya majuscula. J. Nat. Prod. 1998, 61, 529–533. [Google Scholar] [CrossRef] [PubMed]
- Jiménez, J.I.; Scheuer, P.J. New lipopeptides from the Caribbean cyanobacterium Lyngbya majuscula. J. Nat. Prod. 2001, 64, 200–203. [Google Scholar] [CrossRef]
- Iwasaki, K.; Iwasaki, A.; Sumimoto, S.; Matsubara, T.; Sato, T.; Nozaki, T.; Saito-Nakano, Y.; Suenaga, K. Ikoamide, an antimalarial lipopeptide from an Okeania sp. marine cyanobacterium. J. Nat. Prod. 2020, 83, 481–488. [Google Scholar] [CrossRef] [PubMed]
- Ozaki, K.; Iwasaki, A.; Sezawa, D.; Fujimura, H.; Nozaki, T.; Saito-Nakano, Y.; Suenaga, K.; Teruya, T. Isolation and total synthesis of mabuniamide, a lipopeptide from an Okeania sp. marine cyanobacterium. J. Nat. Prod. 2019, 82, 2907–2915. [Google Scholar] [CrossRef] [PubMed]
- Iwasaki, A.; Tadenuma, T.; Sumimoto, S.; Shiota, I.; Matsubara, T.; Saito-Nakano, Y.; Nozaki, T.; Sato, T.; Suenaga, K. Hoshinoamides A and B, acyclic lipopeptides from the marine cyanobacterium Caldora penicillata. J. Nat. Prod. 2018, 81, 2545–2552. [Google Scholar] [CrossRef]
- Iwasaki, A.; Ohtomo, K.; Kurisawa, N.; Shiota, I.; Rahmawati, Y.; Jeelani, G.; Nozaki, T.; Suenaga, K. Isolation, structure determination, and total synthesis of hoshinoamide C, an antiparasitic lipopeptide from the marine cyanobacterium Caldora penicillata. J. Nat. Prod. 2021, 84, 126–135. [Google Scholar] [CrossRef] [PubMed]
- Irie, K.; Jeelani, G.; Nozaki, T.; Iwasaki, A. Pemuchiamides A and B, Proline-Rich Linear Lipopeptides, Isolated from a Marine Hormoscilla sp. Cyanobacterium. J. Nat. Prod. 2024, 87, 2292–2301. [Google Scholar] [CrossRef]
- Goto, Y.; Kamihira, R.; Nakao, Y.; Nonaka, M.; Takano, R.; Xuan, X.; Kato, K. The efficacy of marine natural products against Plasmodium falciparum. J. Parasitol. 2021, 107, 284–288. [Google Scholar] [CrossRef]
- Almaliti, J.; Malloy, K.L.; Glukhov, E.; Spadafora, C.; Gutiérrez, M.; Gerwick, W.H. Dudawalamides A-D, antiparasitic cyclic depsipeptides from the marine cyanobacterium Moorea producens. J. Nat. Prod. 2017, 80, 1827–1836. [Google Scholar] [CrossRef]
- Fathoni, I.; Petitbois, J.G.; Alarif, W.M.; Abdel-Lateff, A.; Al-Lihaibi, S.S.; Yoshimura, E.; Nogata, Y.; Vairappan, C.S.; Sholikhah, E.N.; Okino, T. Bioactivities of lyngbyabellins from cyanobacteria of Moorea and Okeania genera. Molecules 2020, 25, 3986. [Google Scholar] [CrossRef] [PubMed]
- Sweeney-Jones, A.M.; Gagaring, K.; Antonova-Koch, J.; Zhou, H.; Mojib, N.; Soapi, K.; Skolnick, J.; McNamara, C.W.; Kubanek, J. Antimalarial peptide and polyketide natural products from the Fijian marine cyanobacterium Moorea producens. Mar. Drugs 2020, 18, 167. [Google Scholar] [CrossRef] [PubMed]
- Clark, K.E.; Capper, A.; Liu, W.-T.; Fenner, A.M.; Almanza, A.; Della Togna, G.; Herrera, L.; Johns, T.; Paul, V.J.; Dorrestein, P.C.; et al. Sequestration and cyanobacterial diet preferences in the ppisthobranch molluscs Dolabrifera nicaraguana and Stylocheilus rickettsi. Front. Mar. Sci. 2021, 8, 766282. [Google Scholar] [CrossRef]
- Vining, O.B.; Medina, R.A.; Mitchell, E.A.; Videau, P.; Li, D.; Serrill, J.D.; Kelly, J.X.; Gerwick, W.H.; Proteau, P.J.; Ishmael, J.E.; et al. Depsipeptide companeramides from a Panamanian marine cyanobacterium associated with the coibamide producer. J. Nat. Prod. 2015, 78, 413–420. [Google Scholar] [CrossRef]
- Kurisawa, N.; Jeelani, G.; Nozaki, T.; Agusta, A.L.; Suenaga, K.; Iwasaki, A. Wajeepeptin, a cytotoxic and antitrypanosomal cyclic depsipeptide from a marine Moorena sp. cyanobacterium. J. Nat. Prod. 2024, 87, 1838–1843. [Google Scholar] [CrossRef] [PubMed]
- Linington, R.G.; Gonzalez, J.; Ureña, L.D.; Romero, L.I.; Ortega-Barría, E.; Gerwick, W.H. Venturamides A and B: Antimalarial constituents of the Panamanian marine cyanobacterium Oscillatoria sp. J. Nat. Prod. 2007, 70, 397–401. [Google Scholar] [CrossRef]
- Tripathi, A.; Puddick, J.; Prinsep, M.R.; Rottmann, M.; Tan, L.T. Lagunamides A and B: Cytotoxic and antimalarial cyclodepsipeptides from the marine cyanobacterium Lyngbya majuscula. J. Nat. Prod. 2010, 73, 1810–1814. [Google Scholar] [CrossRef] [PubMed]
- Tripathi, A.; Puddick, J.; Prinsep, M.R.; Rottmann, M.; Chan, K.P.; Chen, D.Y.; Tan, L.T. Lagunamide C, a cytotoxic cyclodepsipeptide from the marine cyanobacterium Lyngbya majuscula. Phytochemistry 2011, 72, 2369–2375. [Google Scholar] [CrossRef]
- Linington, R.G.; Edwards, D.J.; Shuman, C.F.; McPhail, K.L.; Matainaho, T.; Gerwick, W.H. Symplocamide A, a potent cytotoxin and chymotrypsin inhibitor from the marine cyanobacterium Symploca sp. J. Nat. Prod. 2008, 71, 22–27. [Google Scholar] [CrossRef]
- Ebihara, A.; Taguchi, R.; Jeelani, G.; Nozaki, T.; Suenaga, K.; Iwasaki, A. Kagimminols A and B, cembrene-type diterpenes from an Okeania sp. marine cyanobacterium. J. Nat. Prod. 2024, 87, 1116–1123. [Google Scholar] [CrossRef]
- Balunas, M.J.; Grosso, M.F.; Villa, F.A.; Engene, N.; McPhail, K.L.; Tidgewell, K.; Pineda, L.M.; Gerwick, L.; Spadafora, C.; Kyle, D.E.; et al. Coibacins A-D, antileishmanial marine cyanobacterial polyketides with intriguing biosynthetic origins. Org. Lett. 2012, 14, 3878–3881. [Google Scholar] [CrossRef] [PubMed]
- Ebihara, A.; Iwasaki, A.; Miura, Y.; Jeelani, G.; Nozaki, T.; Suenaga, K. Isolation and total synthesis of bromoiesol sulfates, antitrypanosomal arylethers from a Salileptolyngbya sp. marine cyanobacterium. J. Org. Chem. 2021, 86, 11763–11770. [Google Scholar] [CrossRef] [PubMed]
- Umeda, K.; Iwasaki, A.; Taguchi, R.; Kurisawa, N.; Jeelani, G.; Nozaki, T.; Suenaga, K. Isolation and structure determination of akunolides, macrolide glycosides from a marine Okeania sp. cyanobacterium. J. Nat. Prod. 2023, 86, 2529–2538. [Google Scholar] [CrossRef] [PubMed]
- Umeda, K.; Kurisawa, N.; Jeelani, G.; Nozaki, T.; Suenaga, K.; Iwasaki, A. Isolation and structure determination of a new analog of polycavernosides from marine Okeania sp. cyanobacterium. Beilstein J. Org. Chem. 2024, 20, 645–652. [Google Scholar] [CrossRef] [PubMed]
- Takahashi, H.; Iwasaki, A.; Ebihara, A.; Taguchi, R.; Jeelani, G.; Nozaki, T.; Suenaga, K. Isolation of hennaminal and isolation and total synthesis of hennamide, pyrrolinone compounds from the marine cyanobacterium Rivularia sp. Org. Lett. 2023, 25, 2400–2404. [Google Scholar] [CrossRef]
- Ogawa, H.; Iwasaki, A.; Sumimoto, S.; Iwatsuki, M.; Ishiyama, A.; Hokari, R.; Otoguro, K.; Ōmura, S.; Suenaga, K. Isolation and total synthesis of hoshinolactam, an antitrypanosomal lactam from a marine cyanobacterium. Org. Lett. 2017, 19, 890–893. [Google Scholar] [CrossRef]
- Taguchi, R.; Iwasaki, A.; Ebihara, A.; Jeelani, G.; Nozaki, T.; Suenaga, K. Isolation and total synthesis of beru’amide, an antitrypanosomal polyketide from a marine cyanobacterium Okeania sp. Org. Lett. 2022, 24, 4710–4714. [Google Scholar] [CrossRef]
- Kurisawa, N.; Iwasaki, A.; Jeelani, G.; Nozaki, T.; Suenaga, K. Iheyamides A-C, antitrypanosomal linear peptides isolated from a marine Dapis sp. cyanobacterium. J. Nat. Prod. 2020, 83, 1684–1690. [Google Scholar] [CrossRef]
- Iwasaki, A.; Teranuma, K.; Kurisawa, N.; Rahmawati, Y.; Jeelani, G.; Nozaki, T.; Gerwick, W.H.; Suenaga, K. First total synthesis and Structure-Activity Relationship of iheyamide A, an antitrypanosomal linear peptide isolated from a Dapis sp. marine cyanobacterium. J. Nat. Prod. 2021, 84, 2587–2593. [Google Scholar] [CrossRef]
- Kurisawa, N.; Otomo, K.; Iwasaki, A.; Jeelani, G.; Nozaki, T.; Suenaga, K. Isolation and total synthesis of kinenzoline, an antitrypanosomal linear depsipeptide isolated from a marine Salileptolyngbya sp. cyanobacterium. J. Org. Chem. 2021, 86, 12528–12536. [Google Scholar] [CrossRef]
- Balunas, M.J.; Linington, R.G.; Tidgewell, K.; Fenner, A.M.; Ureña, L.D.; Togna, G.D.; Kyle, D.E.; Gerwick, W.H. Dragonamide E, a modified linear lipopeptide from Lyngbya majuscula with antileishmanial activity. J. Nat. Prod. 2010, 73, 60–66. [Google Scholar] [CrossRef] [PubMed]
- Sanchez, L.M.; Lopez, D.; Vesely, B.A.; Della Togna, G.; Gerwick, W.H.; Kyle, D.E.; Linington, R.G. Almiramides A-C: Discovery and development of a new class of leishmaniasis lead compounds. J. Med. Chem. 2010, 53, 4187–4197. [Google Scholar] [CrossRef] [PubMed]
- Sanchez, L.M.; Knudsen, G.M.; Helbig, C.; De Muylder, G.; Mascuch, S.M.; Mackey, Z.B.; Gerwick, L.; Clayton, C.; McKerrow, J.H.; Linington, R.G. Examination of the mode of action of the almiramide family of natural products against the kinetoplastid parasite Trypanosoma brucei. J. Nat. Prod. 2013, 76, 630–641. [Google Scholar] [CrossRef] [PubMed]
- Nguyen, A.M.T.; Brettell, S.; Douanne, N.; Duquette, C.; Corbeil, A.; Fajardo, E.F.; Olivier, M.; Fernandez-Prada, C.; Lubell, W.D. Influence of N-methylation and conformation on almiramide anti-leishmanial activity. Molecules 2021, 26, 3606. [Google Scholar] [CrossRef] [PubMed]
- Simmons, T.L.; Engene, N.; Ureña, L.D.; Romero, L.I.; Ortega-Barría, E.; Gerwick, L.; Gerwick, W.H. Viridamides A and B, lipodepsipeptides with antiprotozoal activity from the marine cyanobacterium Oscillatoria nigro-viridis. J. Nat. Prod. 2008, 71, 1544–1550. [Google Scholar] [CrossRef]
- Watanabe, N.; Jeelani, G.; Nozaki, T.; Iwasaki, A. Amantamide C, an antitrypanosomal linear lipopeptide from a marine Okeania sp. cyanobacterium. ACS Omega 2024, 9, 36795–36801. [Google Scholar] [CrossRef]
- Ogawa, H.; Iwasaki, A.; Sumimoto, S.; Kanamori, Y.; Ohno, O.; Iwatsuki, M.; Ishiyama, A.; Hokari, R.; Otoguro, K.; Ōmura, S.; et al. Janadolide, a cyclic polyketide-peptide hybrid possessing a tert-butyl group from an Okeania sp. marine cyanobacterium. J. Nat. Prod. 2016, 79, 1862–1866. [Google Scholar] [CrossRef] [PubMed]
- Chung, J.H.; Tang, A.H.; Geraghty, K.; Corcilius, L.; Kaiser, M.; Payne, R.J. Total synthesis and antitrypanosomal activity of janadolide and simplified analogues. Org. Lett. 2020, 22, 3089–3093. [Google Scholar] [CrossRef]
- Takahashi, H.; Iwasaki, A.; Kurisawa, N.; Suzuki, R.; Jeelani, G.; Matsubara, T.; Sato, T.; Nozaki, T.; Suenaga, K. Motobamide, an antitrypanosomal cyclic peptide from a Leptolyngbya sp. marine cyanobacterium. J. Nat. Prod. 2021, 84, 1649–1655. [Google Scholar] [CrossRef]
- Orjala, J.; Gerwick, W.H. Barbamide, a chlorinated metabolite with molluscicidal activity from the Caribbean cyanobacterium Lyngbya majuscula. J. Nat. Prod. 1996, 59, 427–430. [Google Scholar] [CrossRef]
- Pereira, A.R.; McCue, C.F.; Gerwick, W.H. Cyanolide A, a glycosidic macrolide with potent molluscicidal activity from the Papua New Guinea cyanobacterium Lyngbya bouillonii. J. Nat. Prod. 2010, 73, 217–220. [Google Scholar] [CrossRef] [PubMed]
- Pereira, A.R.; Etzbach, L.; Engene, N.; Müller, R.; Gerwick, W.H. Molluscicidal metabolites from an assemblage of Palmyra Atoll cyanobacteria. J. Nat. Prod. 2011, 74, 1175–1181. [Google Scholar] [CrossRef] [PubMed]
- Singh, U.; Gandhi, H.A.; Nikita; Bhattacharya, J.; Tandon, R.; Tiwari, G.L.; Tandon, R. Cyanometabolites: Molecules with immense antiviral potential. Arch. Microbiol. 2023, 205, 164. [Google Scholar] [CrossRef] [PubMed]
- Merel, S.; Walker, D.; Chicana, R.; Snyder, S.; Baurès, E.; Thomas, O. State of knowledge and concerns on cyanobacterial blooms and cyanotoxins. Environ. Int. 2013, 59, 303–327. [Google Scholar] [CrossRef] [PubMed]
- Kato, Y.; Scheuer, P.J. The aplysiatoxins. Pure Appl. Chem. 1975, 41, 1–14. [Google Scholar] [CrossRef]
- Khan, M.A.; Abhirami, R.; Singh, S.K. Exploring the Shock and Kill strategy to eradicate latent HIV-1 infection. In Therapeutic Protein Targets for Drug Discovery and Clinical Evaluation: Bio-Crystallography and Drug Design; Velmurugan, D., Bhattacharjee, A., Gayathri, D., Eds.; World Scientific: Singapore, 2023; pp. 53–71. [Google Scholar]
- Spivak, A.M.; Planelles, V. Novel latency reversal agents for HIV-1 cure. Annu. Rev. Med. 2018, 69, 421–436. [Google Scholar] [CrossRef]
- Conroy, T.; Guo, J.T.; Hunt, N.H.; Payne, R.J. Total synthesis and antimalarial activity of symplostatin 4. Org. Lett. 2010, 12, 5576–5579. [Google Scholar] [CrossRef]
- Stolze, S.C.; Deu, E.; Kaschani, F.; Li, N.; Florea, B.I.; Richau, K.H.; Colby, T.; van der Hoorn, R.A.L.; Overkleeft, H.S.; Bogyo, M.; et al. The antimalarial natural product symplostatin 4 is a nanomolar inhibitor of the food vacuole falcipains. Chem. Biol. 2012, 19, 1546–1555. [Google Scholar] [CrossRef]
- Tang, A.H.; Payne, R.J. Second generation synthesis of the anti-infective natural product gallinamide A. Tetrahedron 2023, 139, 133445. [Google Scholar] [CrossRef]
- Pettit, G.R.; Kamano, Y.; Brown, P.; Gust, D.; Inoue, M.; Herald, C.L. Antineoplastic agents. 3. Structure of the cyclic peptide dolastatin 3 from Dolabella auricularia. J. Am. Chem. Soc. 1982, 104, 905–907. [Google Scholar] [CrossRef]
- Pettit, G.R.; Kamano, Y.; Holzapfel, C.W.; Van Zyl, W.J.; Tuinman, A.A.; Herald, C.L.; Baczynskyj, L.; Schmidt, J.M. Antineoplastic agents. 150. The structure and synthesis of dolastatin 3. J. Am. Chem. Soc. 1987, 109, 7581–7582. [Google Scholar] [CrossRef]
- Lin, Z.; Torres, J.P.; Tianero, M.D.; Kwan, J.C.; Schmidt, E.W. Origin of chemical diversity in Prochloron-tunicate symbiosis. Appl. Environ. Microbiol. 2016, 82, 3450–3460. [Google Scholar] [CrossRef] [PubMed]
- Tacconelli, E.; Carrara, E.; Savoldi, A.; Harbarth, S.; Mendelson, M.; Monnet, D.L.; Pulcini, C.; Kahlmeter, G.; Kluytmans, J.; Carmeli, Y.; et al. Discovery, research, and development of new antibiotics: The WHO priority list of antibiotic-resistant bacteria and tuberculosis. Lancet Infect. Dis. 2018, 18, 318–327. [Google Scholar] [CrossRef] [PubMed]
- Leyton, Y.; Borquez, J.; Darias, J.; Cueto, M.; Díaz-Marrero, A.R.; Riquelme, C. Oleic acid produced by a marine Vibrio spp. acts as an anti-Vibrio parahaemolyticus agent. Mar. Drugs 2011, 9, 2155–2163. [Google Scholar] [CrossRef] [PubMed]
- Dhillon, R.H.-P.; Clark, J. ESBLs: A clear and present danger? Crit. Care Res. Pract. 2012, 2012, 625170. [Google Scholar] [CrossRef]
- Tong, S.Y.; Davis, J.S.; Eichenberger, E.; Holland, T.L.; Fowler, V.G., Jr. Staphylococcus aureus infections: Epidemiology, pathophysiology, clinical manifestations, and management. Clin. Microbiol. Rev. 2015, 28, 603–661. [Google Scholar] [CrossRef] [PubMed]
- Unson, M.D.; Holland, N.; Faulkner, D.J. A brominated secondary metabolite synthesized by the cyanobacterial symbiont of a marine sponge and accumulation of the crystalline metabolite in the sponge tissue. Mar. Biol. 1994, 119, 1–11. [Google Scholar] [CrossRef]
- Mutalipassi, M.; Riccio, G.; Ruocco, N.; Galasso, C.; Zupo, V.; Greco, S. Editorial: Cyanobacterial and microalgal compounds: Chemical ecology and biotechnological potentials. Front. Mar. Sci. 2022, 9, 984160. [Google Scholar] [CrossRef]
- Cardellina, J.H.; Marner, F.J.; Moore, R.E. Malyngamide A, a novel chlorinated metabolite of the marine cyanophyte Lyngbya majuscula. J. Am. Chem. Soc. 1979, 101, 240–242. [Google Scholar] [CrossRef]
- Dalietos, D.; Marner, F.-J.; Mynderse, J.S.; Moore, R.E. (−)-Trans-7 (S)-methoxytetradec-4-enoic acid and related amides from the marine cyanophyte Lyngbya majuscula. Phytochemistry 1978, 17, 2091–2095. [Google Scholar]
- Sueyoshi, K.; Yamano, A.; Ozaki, K.; Sumimoto, S.; Iwasaki, A.; Suenaga, K.; Teruya, T. Three new malyngamides from the marine cyanobacterium Moorea producens. Mar. Drugs 2017, 15, 367. [Google Scholar] [CrossRef] [PubMed]
- Peng, Y.; Pang, H.; Xu, Z.; Ye, T. The total synthesis of pitipeptolide A. Lett. Org. Chem. 2005, 2, 703–706. [Google Scholar] [CrossRef]
- Bintsis, T. Foodborne pathogens. AIMS Microbiol. 2017, 3, 529. [Google Scholar] [CrossRef] [PubMed]
- Dussault, D.; Vu, K.D.; Vansach, T.; Horgen, F.D.; Lacroix, M. Antimicrobial effects of marine algal extracts and cyanobacterial pure compounds against five foodborne pathogens. Food Chem. 2016, 199, 114–118. [Google Scholar] [CrossRef] [PubMed]
- LewisOscar, F.; Nithya, C.; Alharbi, S.A.; Alharbi, N.S.; Thajuddin, N. Microfouling inhibition of human nosocomial pathogen Pseudomonas aeruginosa using marine cyanobacteria. Microb. Pathog. 2018, 114, 107–115. [Google Scholar] [CrossRef]
- Santhakumari, S.; Nilofernisha, N.M.; Ponraj, J.G.; Pandian, S.K.; Ravi, A.V. In vitro and in vivo exploration of palmitic acid from Synechococcus elongatus as an antibiofilm agent on the survival of Artemia franciscana against virulent vibrios. J. Invertebr. Pathol. 2017, 150, 21–31. [Google Scholar] [CrossRef] [PubMed]
- Santhakumari, S.; Kannappan, A.; Pandian, S.K.; Thajuddin, N.; Rajendran, R.B.; Ravi, A.V. Inhibitory effect of marine cyanobacterial extract on biofilmformation and virulence factor production of bacterial pathogens causing vibriosis inaquaculture. J. Appl. Phycol. 2016, 28, 313–324. [Google Scholar] [CrossRef]
- Gantar, M.; Kaczmarsky, L.T.; Stanić, D.; Miller, A.W.; Richardson, L.L. Antibacterial activity of marine and black band disease cyanobacteria against coral-associated bacteria. Mar. Drugs 2011, 9, 2089–2105. [Google Scholar] [CrossRef]
- Casamatta, D.; Stanić, D.; Gantar, M.; Richardson, L.L. Characterization of Roseofilum reptotaenium (Oscillatoriales, Cyanobacteria) gen. et sp. nov. isolated from Caribbean black band disease. Phycologia 2012, 51, 489–499. [Google Scholar] [CrossRef]
- Liang, X.; Matthew, S.; Chen, Q.Y.; Kwan, J.C.; Paul, V.J.; Luesch, H. Discovery and total synthesis of doscadenamide A: A quorum sensing signaling molecule from a marine cyanobacterium. Org. Lett. 2019, 21, 7274–7278. [Google Scholar] [CrossRef]
- Liang, X.; Chen, Q.-Y.; Seabra, G.M.; Matthew, S.; Kwan, J.C.; Li, C.; Paul, V.J.; Luesch, H. Bifunctional doscadenamides activate quorum sensing in Gram-negative bacteria and synergize with TRAIL to induce apoptosis in cancer cells. J. Nat. Prod. 2021, 84, 779–789. [Google Scholar] [CrossRef]
- Phyo, M.Y.; Goh, T.M.B.; Goh, J.X.; Tan, L.T. Trikoramides B–D, bioactive cyanobactins from the marine cyanobacterium Symploca hydnoides. Mar. Drugs 2021, 19, 548. [Google Scholar] [CrossRef] [PubMed]
- do Amaral, S.C.; Xavier, L.P.; Vasconcelos, V.; Santos, A.V. Cyanobacteria: A promising source of antifungal metabolites. Mar. Drugs 2023, 21, 359. [Google Scholar] [CrossRef] [PubMed]
- Chen, R.; Li, L.; Lin, N.; Zhou, R.; Hua, Y.; Deng, H.; Zhang, Y. Asymmetric total synthesis of (+)-majusculoic acid via a dimerization–dedimerization strategy and absolute configuration assignment. Org. Lett. 2018, 20, 1477–1480. [Google Scholar] [CrossRef] [PubMed]
- Xiao, H.-X.; Yan, Q.-X.; He, Z.-H.; Zou, Z.-B.; Le, Q.-Q.; Chen, T.-T.; Cai, B.; Yang, X.-W.; Luo, S.-L. Total synthesis and anti-inflammatory bioactivity of (−)-majusculoic acid and its derivatives. Mar. Drugs 2021, 19, 288. [Google Scholar] [CrossRef] [PubMed]
- Krauss, J. Total synthesis of (+/−) tanikolide. Nat. Prod. Lett. 2001, 15, 393–399. [Google Scholar] [CrossRef] [PubMed]
- Arasaki, H.; Iwata, M.; Makida, M.; Masaki, Y. Synthesis of (R)-(+)-tanikolide through stereospecific C-H insertion reaction of dichlorocarbene with optically active secondary alcohol derivatives. Chem. Pharm. Bull. 2004, 52, 848–852. [Google Scholar] [CrossRef] [PubMed]
- Schomaker, J.M.; Borhan, B. Total synthesis of (+)-tanikolide via oxidative lactonization. Org. Biomol. Chem. 2004, 2, 621–624. [Google Scholar] [CrossRef]
- Kita, Y.; Matsuda, S.; Fujii, E.; Horai, M.; Hata, K.; Fujioka, H. Domino reaction of 2,3-epoxy-1-alcohols and PIFA in the presence of H2O and the concise synthesis of (+)-tanikolide. Angew. Chem. Int. Ed. Engl. 2005, 44, 5857–5860. [Google Scholar] [CrossRef]
- Fujioka, H.; Matsuda, S.; Horai, M.; Fujii, E.; Morishita, M.; Nishiguchi, N.; Hata, K.; Kita, Y. Facile and efficient synthesis of lactols by a domino reaction of 2,3-epoxy alcohols with a hypervalent iodine(III) reagent and its application to the synthesis of lactones and the asymmetric synthesis of (+)-tanikolide. Chemistry 2007, 13, 5238–5248. [Google Scholar] [CrossRef]
- Gourdet, B.; Lam, H.W. Catalytic asymmetric dihydroxylation of enamides and application to the total synthesis of (+)-tanikolide. Angew. Chem. Int. Ed. Engl. 2010, 49, 8733–8737. [Google Scholar] [CrossRef] [PubMed]
- Murai, K.; Nakamura, A.; Matsushita, T.; Shimura, M.; Fujioka, H. C3-symmetric trisimidazoline-catalyzed enantioselective bromolactonization of internal alkenoic acids. Chemistry 2012, 18, 8448–8453. [Google Scholar] [CrossRef] [PubMed]
- Xie, Y.; Sun, M.; Zhou, H.; Cao, Q.; Gao, K.; Niu, C.; Yang, H. Enantiospecific total synthesis of (+)-tanikolide via a key [2,3]-Meisenheimer rearrangement with an allylic amine N-oxide-directed epoxidation and a one-pot trichloroisocyanuric acid N-debenzylation and N-chlorination. J. Org. Chem. 2013, 78, 10251–10263. [Google Scholar] [CrossRef]
- Han, X.; Dong, L.; Geng, C.; Jiao, P. Catalytic asymmetric synthesis of isoxazolines from silyl nitronates. Org. Lett. 2015, 17, 3194–3197. [Google Scholar] [CrossRef]
- Akula, R.; Doran, R.; Guiry, P.J. Highly enantioselective formation of α-allyl-α-arylcyclopentanones via Pd-catalysed decarboxylative asymmetric allylic alkylation. Chemistry 2016, 22, 9938–9942. [Google Scholar] [CrossRef] [PubMed]
- Xu, Q.; Li, J.; Li, X.; Hu, L. Annulation-retro-Claisen cascade of bifunctional peroxides for the synthesis of lactone natural products. Chem. Commun. 2021, 58, 274–277. [Google Scholar] [CrossRef] [PubMed]
- Elsadek, L.A.; Matthews, J.H.; Nishimura, S.; Nakatani, T.; Ito, A.; Gu, T.; Luo, D.; Salvador-Reyes, L.A.; Paul, V.J.; Kakeya, H.; et al. Genomic and targeted approaches unveil the cell membrane as a major target of the antifungal cytotoxin amantelide A. Chembiochem 2021, 22, 1790–1799. [Google Scholar] [CrossRef] [PubMed]
- Carmeli, S.; Moore, R.E.; Patterson, G.M. Tolytoxin and new scytophycins from three species of Scytonema. J. Nat. Prod. 1990, 53, 1533–1542. [Google Scholar] [CrossRef]
- Bubb, M.R.; Spector, I.; Bershadsky, A.D.; Korn, E.D. Swinholide A is a microfilament disrupting marine toxin that stabilizes actin dimers and severs actin filaments. J. Biol. Chem. 1995, 270, 3463–3466. [Google Scholar] [CrossRef]
- Andrianasolo, E.H.; Gross, H.; Goeger, D.; Musafija-Girt, M.; McPhail, K.; Leal, R.M.; Mooberry, S.L.; Gerwick, W.H. Isolation of swinholide A and related glycosylated derivatives from two field collections of marine cyanobacteria. Org. Lett. 2005, 7, 1375–1378. [Google Scholar] [CrossRef]
- Tao, Y.; Li, P.; Zhang, D.; Glukhov, E.; Gerwick, L.; Zhang, C.; Murray, T.F.; Gerwick, W.H. Samholides, swinholide-related metabolites from a marine cyanobacterium cf. Phormidium sp. J. Org. Chem. 2018, 83, 3034–3046. [Google Scholar] [CrossRef] [PubMed]
- Pettit, G.R.; Kamano, Y.; Herald, C.L.; Tuinman, A.A.; Boettner, F.E.; Kizu, H.; Schmidt, J.M.; Baczynskyj, L.; Tomer, K.B.; Bontems, R.J. The isolation and structure of a remarkable marine animal antineoplastic constituent: Dolastatin 10. J. Am. Chem. Soc. 1987, 109, 6883–6885. [Google Scholar] [CrossRef]
- Luesch, H.; Moore, R.E.; Paul, V.J.; Mooberry, S.L.; Corbett, T.H. Isolation of dolastatin 10 from the marine cyanobacterium Symploca species VP642 and total stereochemistry and biological evaluation of its analogue symplostatin 1. J. Nat. Prod. 2001, 64, 907–910. [Google Scholar] [CrossRef] [PubMed]
- Pettit, G.R.; Srirangam, J.K.; Barkoczy, J.; Williams, M.D.; Boyd, M.R.; Hamel, E.; Pettit, R.K.; Hogan, F.; Bai, R.; Chapuis, J.C.; et al. Antineoplastic agents 365. Dolastatin 10 SAR probes. Anti-Cancer Drug Des. 1998, 13, 243–277. [Google Scholar]
- Pettit Robin, K.; Pettit George, R.; Hazen Kevin, C. Specific activities of dolastatin 10 and peptide derivatives against Cryptococcus neoformans. Antimicrob. Agents Chemother. 1998, 42, 2961–2965. [Google Scholar] [CrossRef] [PubMed]
- Woyke, T.; Pettit, G.R.; Winkelmann, G.; Pettit, R.K. In vitro activities and postantifungal effects of the potent dolastatin 10 derivative auristatin PHE. Antimicrob. Agents Chemother. 2001, 45, 3580–3584. [Google Scholar] [CrossRef] [PubMed]
- Woyke, T.; Roberson, R.W.; Pettit, G.R.; Winkelmann, G.; Pettit, R.K. Effect of auristatin PHE on microtubule integrity and nuclear localization in Cryptococcus neoformans. Antimicrob. Agents Chemother. 2002, 46, 3802–3808. [Google Scholar] [CrossRef] [PubMed][Green Version]
- Woyke, T.; Berens, M.E.; Hoelzinger, D.B.; Pettit, G.R.; Winkelmann, G.; Pettit, R.K. Differential gene expression in auristatin PHE-treated Cryptococcus neoformans. Antimicrob. Agents Chemother. 2004, 48, 561–567. [Google Scholar] [CrossRef]
- Yokokawa, F.; Sameshima, H.; Katagiri, D.; Aoyama, T.; Shioiri, T. Total syntheses of lyngbyabellins A and B, potent cytotoxic lipopeptides from the marine cyanobacterium Lyngbya majuscula. Tetrahedron 2002, 58, 9445–9458. [Google Scholar] [CrossRef]
- Cetusic, J.R.P.; Green, F.R.; Graupner, P.R.; Oliver, M.P. Total synthesis of hectochlorin. Org. Lett. 2002, 4, 1307–1310. [Google Scholar] [CrossRef]
- Ramaswamy, A.V.; Sorrels, C.M.; Gerwick, W.H. Cloning and biochemical characterization of the hectochlorin biosynthetic gene cluster from the marine cyanobacterium Lyngbya majuscula. J. Nat. Prod. 2007, 70, 1977–1986. [Google Scholar] [CrossRef] [PubMed]
- Ngo, T.-E.; Ecker, A.; Ryu, B.; Guild, A.; Remmel, A.; Boudreau, P.D.; Alexander, K.L.; Naman, C.B.; Glukhov, E.; Avalon, N.E.; et al. Structure and biosynthesis of hectoramide B, a linear depsipeptide from marine cyanobacterium Moorena producens JHB discovered via coculture with Candida albicans. ACS Chem. Biol. 2024, 19, 619–628. [Google Scholar] [CrossRef]
- Frankmölle, W.P.; Larsen, L.K.; Caplan, F.R.; Patterson, G.M.; Knübel, G.; Levine, I.A.; Moore, R.E. Antifungal cyclic peptides from the terrestrial blue-green alga Anabaena laxa. I. Isolation and biological properties. J. Antibiot. 1992, 45, 1451–1457. [Google Scholar] [CrossRef]
- Frankmölle, W.P.; Knübel, G.; Moore, R.E.; Patterson, G.M. Antifungal cyclic peptides from the terrestrial blue-green alga Anabaena laxa. II. Structures of laxaphycins A, B, D and E. J. Antibiot. 1992, 45, 1458–1466. [Google Scholar] [CrossRef] [PubMed]
- Bonnard, I.; Rolland, M.; Francisco, C.; Banaigs, B. Total structure and biological properties of laxaphycins A and B, cyclic lipopeptides from the marine cyanobacterium Lyngbya majuscula. Lett. Pept. Sci. 1997, 4, 289–292. [Google Scholar] [CrossRef]
- Heinilä, L.M.P.; Fewer, D.P.; Jokela, J.K.; Wahlsten, M.; Jortikka, A.; Sivonen, K. Shared PKS module in biosynthesis of synergistic laxaphycins. Front. Microbiol 2020, 11, 578878. [Google Scholar] [CrossRef] [PubMed]
- Boyaud, F.; Mahiout, Z.; Lenoir, C.; Tang, S.; Wdzieczak-Bakala, J.; Witczak, A.; Bonnard, I.; Banaigs, B.; Ye, T.; Inguimbert, N. First total synthesis and stereochemical revision of laxaphycin B and Its extension to lyngbyacyclamide A. Org. Lett. 2013, 15, 3898–3901. [Google Scholar] [CrossRef]
- MacMillan, J.B.; Molinski, T.F. Lobocyclamide B from Lyngbya confervoides. Configuration and asymmetric synthesis of β-hydroxy-α-amino acids by (−)-sparteine-mediated aldol addition. Org. Lett. 2002, 4, 1883–1886. [Google Scholar] [CrossRef]
- Renslo, A.R.; McKerrow, J.H. Drug discovery and development for neglected parasitic diseases. Nat. Chem. Biol. 2006, 2, 701–710. [Google Scholar] [CrossRef]
- Bello-Akinosho, M.; Afolabi, K.; Chandra, H.; Mayashinta, D.; Setia, Y.; Mishra, A.; Pohl-Albertyn, C. Opportunities and challenges in the development of antiparasitic drugs. In Parasitic Infections: Immune Responses and Therapeutics; Mishra, A.P., Nigam, M., Eds.; Wiley: Hoboken, NJ, USA, 2023; pp. 227–250. [Google Scholar]
- Tse, E.G.; Korsik, M.; Todd, M.H. The past, present and future of anti-malarial medicines. Malar. J. 2019, 18, 93. [Google Scholar] [CrossRef]
- De Rycker, M.; Wyllie, S.; Horn, D.; Read, K.D.; Gilbert, I.H. Anti-trypanosomatid drug discovery: Progress and challenges. Nat. Rev. Microbiol. 2023, 21, 35–50. [Google Scholar] [CrossRef] [PubMed]
- Morita, M.; Ogawa, H.; Ohno, O.; Yamori, T.; Suenaga, K.; Toyoshima, C. Biselyngbyasides, cytotoxic marine macrolides, are novel and potent inhibitors of the Ca2+ pumps with a unique mode of binding. FEBS Lett. 2015, 589, 1406–1411. [Google Scholar] [CrossRef] [PubMed]
- Morita, M.; Ohno, O.; Teruya, T.; Yamori, T.; Inuzuka, T.; Suenaga, K. Isolation and structures of biselyngbyasides B, C, and D from the marine cyanobacterium Lyngbya sp., and the biological activities of biselyngbyasides. Tetrahedron 2012, 68, 5984–5990. [Google Scholar] [CrossRef]
- Ohno, O.; Watanabe, A.; Morita, M.; Suenaga, K. Biselyngbyolide B, a novel ER stress-inducer isolated from the marine cyanobacterium Lyngbya sp. Chem. Lett. 2013, 43, 287–289. [Google Scholar] [CrossRef]
- Moore, C.M.; Wang, J.; Lin, Q.; Ferreira, P.; Avery, M.A.; Elokely, K.; Staines, H.M.; Krishna, S. Selective inhibition of Plasmodium falciparum ATPase 6 by artemisinins and identification of new classes of inhibitors after expression in yeast. Antimicrob. Agents Chemother. 2022, 66, e0207921. [Google Scholar] [CrossRef]
- Arnou, B.; Montigny, C.; Morth, J.P.; Nissen, P.; Jaxel, C.; Møller, J.V.; Maire, M. The Plasmodium falciparum Ca2+-ATPase PfATP6: Insensitive to artemisinin, but a potential drug target. Biochem. Soc. Trans. 2011, 39, 823–831. [Google Scholar] [CrossRef] [PubMed]
- Shao, C.-L.; Linington, R.G.; Balunas, M.J.; Centeno, A.; Boudreau, P.; Zhang, C.; Engene, N.; Spadafora, C.; Mutka, T.S.; Kyle, D.E.; et al. Bastimolide A, a potent antimalarial polyhydroxy macrolide from the marine cyanobacterium Okeania hirsuta. J. Org. Chem. 2015, 80, 7849–7855. [Google Scholar] [CrossRef] [PubMed]
- Shao, C.-L.; Mou, X.-F.; Cao, F.; Spadafora, C.; Glukhov, E.; Gerwick, L.; Wang, C.-Y.; Gerwick, W.H. Bastimolide B, an antimalarial 24-membered marine macrolide possessing a tert-butyl group. J. Nat. Prod. 2018, 81, 211–215. [Google Scholar] [CrossRef]
- Cox, J.B.; Kellum, A.A.; Zhang, Y.; Li, B.; Smith III, A.B. Total synthesis of (−)-bastimolide A: A showcase for type I anion relay chemistry. Angew. Chem. Int. Ed. 2022, 61, e202204884. [Google Scholar] [CrossRef] [PubMed]
- Fiorito, D.; Keskin, S.; Bateman, J.M.; George, M.; Noble, A.; Aggarwal, V.K. Stereocontrolled total synthesis of bastimolide B using iterative homologation of boronic esters. J. Am. Chem. Soc. 2022, 144, 7995–8001. [Google Scholar] [CrossRef]
- Celik, I.-E.; Mittendorf, F.; Gómez-Suárez, A.; Kirsch, S.F. Formal synthesis of bastimolide A using a chiral Horner-Wittig reagent and a bifunctional aldehyde as key building blocks. Tetrahedron Chem. 2024, 9, 100065. [Google Scholar] [CrossRef]
- Quintard, A.; Sperandio, C.; Rodriguez, J. Modular enantioselective synthesis of an advanced pentahydroxy intermediate of antimalarial bastimolide A and of fluorinated and chlorinated analogues. Org. Lett. 2018, 20, 5274–5277. [Google Scholar] [CrossRef] [PubMed]
- Keller, L.; Siqueira-Neto, J.L.; Souza, J.M.; Eribez, K.; LaMonte, G.M.; Smith, J.E.; Gerwick, W.H. Palstimolide A: A complex polyhydroxy macrolide with antiparasitic activity. Molecules 2020, 25, 1604. [Google Scholar] [CrossRef] [PubMed]
- Fennell, B.J.; Carolan, S.; Pettit, G.R.; Bell, A. Effects of the antimitotic natural product dolastatin 10, and related peptides, on the human malarial parasite Plasmodium falciparum. J. Antimicrob. Chemother. 2003, 51, 833–841. [Google Scholar] [CrossRef] [PubMed]
- Conroy, T.; Guo, J.T.; Linington, R.G.; Hunt, N.H.; Payne, R.J. Total synthesis, stereochemical assignment, and antimalarial activity of gallinamide A. Chem. Eur. J. 2011, 17, 13544–13552. [Google Scholar] [CrossRef]
- Taori, K.; Liu, Y.; Paul, V.J.; Luesch, H. Combinatorial strategies by marine cyanobacteria: Symplostatin 4, an antimitotic natural dolastatin 10/15 hybrid that synergizes with the coproduced HDAC inhibitor largazole. ChemBioChem 2009, 10, 1634–1639. [Google Scholar] [CrossRef] [PubMed]
- Conroy, T.; Guo, J.T.; Elias, N.; Cergol, K.M.; Gut, J.; Legac, J.; Khatoon, L.; Liu, Y.; McGowan, S.; Rosenthal, P.J.; et al. Synthesis of gallinamide A analogues as potent falcipain inhibitors and antimalarials. J. Med. Chem. 2014, 57, 10557–10563. [Google Scholar] [CrossRef]
- Stoye, A.; Juillard, A.; Tang, A.H.; Legac, J.; Gut, J.; White, K.L.; Charman, S.A.; Rosenthal, P.J.; Grau, G.E.R.; Hunt, N.H.; et al. Falcipain inhibitors based on the natural product gallinamide A are potent in vitro and in vivo antimalarials. J. Med. Chem. 2019, 62, 5562–5578. [Google Scholar] [CrossRef]
- LaMonte, G.M.; Almaliti, J.; Bibo-Verdugo, B.; Keller, L.; Zou, B.Y.; Yang, J.; Antonova-Koch, Y.; Orjuela-Sanchez, P.; Boyle, C.A.; Vigil, E.; et al. Development of a potent inhibitor of the Plasmodium proteasome with reduced mammalian toxicity. J. Med. Chem. 2017, 60, 6721–6732. [Google Scholar] [CrossRef] [PubMed]
- Krishnan, K.M.; Williamson, K.C. The proteasome as a target to combat malaria: Hits and misses. Transl. Res. 2018, 198, 40–47. [Google Scholar] [CrossRef] [PubMed]
- Lo, Y.H.; Iwasaki, A.; Suenaga, K. Total synthesis of ikoamide, a highly N-methylated antimalarial lipopeptide. J. Org. Chem. 2023, 88, 10565–10573. [Google Scholar] [CrossRef] [PubMed]
- Reese, M.T.; Gulavita, N.K.; Nakao, Y.; Hamann, M.T.; Yoshida, W.Y.; Coval, S.J.; Scheuer, P.J. Kulolide: a cytotoxic depsipeptide from a cephalaspidean mollusk, Philinopsis speciosa. J. Am. Chem. Soc. 1996, 118, 11081–11084. [Google Scholar] [CrossRef]
- Hagimoto, K.; Tojo, S.; Teruya, T.; Yoshida, M.; Kigoshi, H. Structure revision of lagunamide C to odoamide by total synthesis and biological evaluation. Tetrahedron 2024, 154, 133871. [Google Scholar] [CrossRef]
- Stolze, S.C.; Meltzer, M.; Ehrmann, M.; Kaiser, M. Development of a solid-phase approach to the natural product class of Ahp-containing cyclodepsipeptides. Eur. J. Org. Chem. 2012, 2012, 1616–1625. [Google Scholar] [CrossRef]
- Carneiro, V.M.; Avila, C.M.; Balunas, M.J.; Gerwick, W.H.; Pilli, R.A. Coibacins A and B: Total synthesis and stereochemical revision. J. Org. Chem. 2014, 79, 630–642. [Google Scholar] [CrossRef]
- Agarwal, V.; El Gamal, A.A.; Yamanaka, K.; Poth, D.; Kersten, R.D.; Schorn, M.; Allen, E.E.; Moore, B.S. Biosynthesis of polybrominated aromatic organic compounds by marine bacteria. Nat. Chem. Biol. 2014, 10, 640–647. [Google Scholar] [CrossRef] [PubMed]
- Jachak, G.R.; Elizebath, D.; Shukla, A.; Shanmugam, D.; Reddy, D.S. Synthesis and biological evaluation of hoshionolactam-based compounds. Eur. J. Org. Chem. 2021, 2021, 2212–2218. [Google Scholar] [CrossRef]
- Barbosa Da Silva, E.; Sharma, V.; Hernandez-Alvarez, L.; Tang, A.H.; Stoye, A.; O’Donoghue, A.J.; Gerwick, W.H.; Payne, R.J.; McKerrow, J.H.; Podust, L.M. Intramolecular interactions enhance the potency of gallinamide A analogues against Trypanosoma cruzi. J. Med. Chem. 2022, 65, 4255–4269. [Google Scholar] [CrossRef] [PubMed]
- Spiwoková, P.; Horn, M.; Fanfrlík, J.; Jílková, A.; Fajtová, P.; Leontovyč, A.; Houštecká, R.; Bieliková, L.; Brynda, J.; Chanová, M.; et al. Nature-inspired gallinamides are potent antischistosomal agents: Inhibition of the cathepsin B1 protease target and binding mode analysis. ACS Infect. Dis. 2024, 10, 1935–1948. [Google Scholar] [CrossRef]
- Kalel, V.C.; Mäser, P.; Sattler, M.; Erdmann, R.; Popowicz, G.M. Come, sweet death: Targeting glycosomal protein import for antitrypanosomal drug development. Curr. Opin. Microbiol. 2018, 46, 116–122. [Google Scholar] [CrossRef]
- Das, D.; Khan, H.P.A.; Shivahare, R.; Gupta, S.; Sarkar, J.; Siddiqui, M.I.; Ampapathi, R.S.; Chakraborty, T.K. Synthesis, SAR and biological studies of sugar amino acid-based almiramide analogues: N-methylation leads the way. Org. Biomol. Chem. 2017, 15, 3337–3352. [Google Scholar] [CrossRef]
- Liang, X.; Luo, D.; Yan, J.-L.; Rezaei, M.A.; Salvador-Reyes, L.A.; Gunasekera, S.P.; Li, C.; Ye, T.; Paul, V.J.; Luesch, H. Discovery of amantamide, a selective CXCR7 agonist from marine cyanobacteria. Org. Lett. 2019, 21, 1622–1626. [Google Scholar] [CrossRef] [PubMed]
- Li, T.; Xi, C.; Yu, Y.; Wang, N.; Wang, X.; Iwasaki, A.; Fang, F.; Ding, L.; Li, S.; Zhang, W.; et al. Targeted discovery of amantamide B, an ion channel modulating nonapeptide from a South China Sea Oscillatoria cyanobacterium. J. Nat. Prod. 2022, 85, 493–500. [Google Scholar] [CrossRef] [PubMed]
- Ojima, D.; Mine, H.; Iwasaki, A.; Suenaga, K. Total synthesis of janadolide. Tetrahedron Lett. 2018, 59, 1360–1362. [Google Scholar] [CrossRef]
- Athawale, P.R.; Jachak, G.R.; Shukla, A.; Shanmugam, D.; Reddy, D.S. Efforts to access the potent antitrypanosomal marine natural product janadolide: Synthesis of des-tert-butyl janadolide and its biological evaluation. ACS Omega 2018, 3, 2383–2389. [Google Scholar] [CrossRef]
- Aula, O.P.; McManus, D.P.; Jones, M.K.; Gordon, C.A. Schistosomiasis with a focus on Africa. Trop. Med. Infect. Dis. 2021, 6, 109. [Google Scholar] [CrossRef] [PubMed]
- Kim, H.; Hong, J. Total synthesis of cyanolide A and confirmation of its absolute configuration. Org. Lett. 2010, 12, 2880–2883. [Google Scholar] [CrossRef] [PubMed]
- Hajare, A.K.; Ravikumar, V.; Khaleel, S.; Bhuniya, D.; Reddy, D.S. Synthesis of molluscicidal agent cyanolide A macrolactone from D-(−)-pantolactone. J. Org. Chem. 2011, 76, 963–966. [Google Scholar] [CrossRef] [PubMed]
- Gesinski, M.R.; Rychnovsky, S.D. Total synthesis of the cyanolide A aglycon. J. Am. Chem. Soc. 2011, 133, 9727–9729. [Google Scholar] [CrossRef] [PubMed]
- Yang, Z.; Xie, X.; Jing, P.; Zhao, G.; Zheng, J.; Zhao, C.; She, X. Total synthesis of cyanolide A. Org. Biomol. Chem. 2011, 9, 984–986. [Google Scholar] [CrossRef]
- Pabbaraja, S.; Satyanarayana, K.; Ganganna, B.; Yadav, J. Formal total synthesis of cyanolide A. J. Org. Chem. 2011, 76, 1922–1925. [Google Scholar] [CrossRef] [PubMed]
- Sharpe, R.J.; Jennings, M.P. A formal synthesis of (−)-cyanolide A featuring a stereoselective Mukaiyama aldol reaction and oxocarbenium reduction. J. Org. Chem. 2011, 76, 8027–8032. [Google Scholar] [CrossRef] [PubMed]
- Waldeck, A.R.; Krische, M.J. Total synthesis of cyanolide A in the absence of protecting groups, chiral auxiliaries, or premetalated carbon nucleophiles. Angew. Chem. 2013, 52, 4470–4473. [Google Scholar] [CrossRef] [PubMed]
- Bates, R.W.; Lek, T.G. A synthesis of cyanolide A by intramolecular oxa-michael addition. Synthesis 2014, 46, 1731–1738. [Google Scholar] [CrossRef]
- Che, W.; Li, Y.-Z.; Liu, J.-C.; Zhu, S.-F.; Xie, J.-H.; Zhou, Q.-L. Stereodiverse iterative synthesis of 1,3-polyol arrays through asymmetric catalytic hydrogenation. formal total synthesis of (−)-cyanolide A. Org. Lett. 2019, 21, 2369–2373. [Google Scholar] [CrossRef]
- Gerwick, L.; Boudreau, P.; Choi, H.; Mascuch, S.; Villa, F.A.; Balunas, M.J.; Malloy, K.L.; Teasdale, M.E.; Rowley, D.C.; Gerwick, W.H. Interkingdom signaling by structurally related cyanobacterial and algal secondary metabolites. Phytochem. Rev. 2013, 12, 459–465. [Google Scholar] [CrossRef]

































| Compound | Species/Location | Anti-Infective Activity | Ref. |
|---|---|---|---|
| Aplysiatoxin (1), debromoaplysiatoxin (2), and 3-methoxydebromoaplysiatoxin (5) | Trichodesmium erythraeum/ Seringat Island, Singapore | 2 and 5: potent against CHIKV 1: induces proviral expression up to 900-fold-lower concentrations compared to prostatin Synthetic 6 and 7: work synergistically with JQ1 to reactivate proviral expression | [8,9,10,11] |
| Malyngamides (8 and 9) | Australian cyanobacterium | Weak anti-HIV activity | [12] |
| Gallinamide A (10) | Schizothrix sp./Caribbean coast of Panama | 10: inhibition of SARS-CoV-2 with IC50 values in the low nanomolar to picomolar range; potent antimalarial activities; and moderate in vitro activity against P. falciparum and Leishmania donovani Synthetic 199: inhibitor of cruzain and toxic to T. cruzi in the intracellular amastigote stage | [13,14,15,16,17] |
| Dolastatin 3 (11) | Lyngbya majuscula/Big Goby marine lake, Palau | Anti-HIV activities based on HIV-1 integrase inhibition assays and inhibitory activity against the parasitic protozoan Leishmania major | [18,19] |
| Cyanopeptolin CP978 (12) | Nostoc edaphicum CCNP1411 (culture)/Baltic Sea | Effective against three SARS-CoV-2 variants (Alpha, Micron, and Delta) | [20] |
| Divamides (13 and 14) | Prochloron didemni/Eastern Papua New Guinea | Anti-HIV activities | [21] |
| 2-Hydroxyethyl-11-hydroxyhexadec-9-enoate (15) | Leptolyngbya sp. LT19/Gulf of Thailand | Effective against Gram-negative shrimp pathogens Vibrio harveyi and V. parahaemolyticus | [22] |
| MGDG-palmitoyl (16) | Oscillatoria acuminata NTAPC05/Mandapam, Ramanathapuram District, Tamil Nadu, India | Effective against ESBL bacterial producers | [23] |
| Tanikolide (17) | Lyngbya majuscula/Tanikeli Island, Madagascar | 17: antifungal against Candida albicans and molluscicidal against Biomphalaria glabrata Synthetic 20: activity against MRSA | [24,25] |
| Malyngolide (22) | L. majuscula/Kahala Beach, Oahu | 22: active against Mycobacterium smegmatis and Streptococcus pyogenes; less active against Staphylococcus aureus and Bacillus subtilis; interferes with QS circuitry; inhibits elastase production by Pseudomonas aeruginosa PAO1; and inhibits growth of Dendryphiella salina and Lindra thalassiae Synthetic 23 and 24: active against MRSA | [24,26,27,28,29] |
| Anaephenes A (25) and B (26) | Hormoscilla sp./Anae Island, Guam | 25 and 26: moderately active against B. cereus and S. aureus; active against MRSA 26: inhibits the viability of Leishmania tarentolae Synthetic 28 and 29: active against MRSA and inhibit the viability of Leishmania tarentolae | [30,31,32,33] |
| Polybrominated diphenyl ethers (PBDEs) | Cyanobacterial symbiont Hormoscilla spongeliae/various locations | Diverse activities, including antibacterial and antifungal effects | [34,35] |
| Crossbyanol B (33) | Leptolyngbya crossbyana/Hawaiian coral reefs | Antibacterial against MRSA | [36] |
| Carriebowlinol (36) | Related to L. majuscula/east side of Carrie Bow Cay, Belize | Antibacterial activity against eleven marine bacterial strains and inhibits growth of three harmful marine fungal species (D. salina, L. thalassiae, and Fusarium sp.) | [37] |
| Malyngamides D (37)–F (39), 4 (42), and B (43) | L. majuscula/various locations | 37 and 38: mild antibiotic against Mycobacterium smegmatis and B. subtilis 39: activity against S. aureus 42 and 43: weak inhibition of mycobacterial growth | [38,39,40] |
| Lyngbic acid (41) | Various marine cyanobacterial strains/various locations | Antimicrobial activity against S. aureus and B. subtilus; active against Mycobacterium tuberculosis H37Rv; and inhibits the growth of pathogenic and saprophytic marine fungi (ecological function) | [37,39,40,41] |
| Pitipeptolide A (44), B (45), and F (46) | L. majuscula/Piti Bomb Holes, Guam | 44 and 45: moderately antimycobacterial 46: potent in the disk diffusion assay against M. tuberculosis | [42,43,44] |
| Pitiprolamide (47) | L. majuscula/Piti Bomb Holes, Guam | Weak antibacterial activity against M. tuberculosis | [45] |
| Hormothamnins | Hormothamnion enteromorphoides/Playa de Luquillo, Puerto Rico | 48: weak antibacterial activity against B. subtilis and P. aeruginosa; and antimicrobial against B. subtilis and C. albicans Hormothamnins A’, C/D, G, G’, G’’, J and K display antibacterial and antifungal activities | [46,47] |
| Malyngamide C (51) | Stylocheilus longicauda/Bush Key, Florida | Inhibits QS pathway in an LasR-based reporter gene assay without inhibiting bacterial growth | [48] |
| Laxaphycins A (54) and B (55) | L. majuscula, Anabaena torulosa/Moorea Atoll, French Polynesia | 54 and 55: work synergistically against C. albicans | [49] |
| Lyngbyoic acid (57) | L. cf. majuscula/Indian River Lagoon and Dry Tortugas National Park, Florida | Effective against lasR; reduces pigment and elastase production; and antibiofilm activity | [50,51] |
| Benderadiene (58) | cf. Lyngbya sp./St. John’s Island, Singapore | Activity against P. aeruginosa PAO1 lasB-gfp and rhlA-gfp | [51] |
| Pitinoic acids A (59) and C (61) | Lyngbya sp./Piti Bay, Guam | 59: inhibits QS in P. aeruginosa 61: prevents induction of pro-inflammatory cytokine expression in LPS-induced THP-1 macrophages | [52] |
| Honaucins A (62)–C (64) | Leptolyngbya crossbyana/Hōnaunau Reef, Hawaii | 62–64: QS inhibitors to V. harveyi BB120, and E. coli JB 525; inhibit lipopolysaccharide-stimulated nitric oxide production and repress the expression of pro-inflammatory cytokines in murine macrophages Synthetic 65 and 66: effective anti-inflammatory compounds and exhibit improved inhibitory effects on QS activities | [53] |
| Tumonoic acids E (69)–I (73) | Blennothrix cantharidosmum/Duke of York Island, Papua New Guinea | 73: moderate antimalarial activity 69–72: inhibit QS systems against a wild-type strain of V. harveyi | [54] |
| 8-epi-malyngamide C (74) | L. majuscula/Bush Key, Florida | Inhibits QS pathway in an LasR-based reporter gene assay without inhibiting bacterial growth | [48] |
| Trikoveramides A (89)–C (91) | Symploca hydnoides/Bintan | Moderate QS-inhibitory activities against P. aeruginosa PAO1 lasB-gfp and rhlA-gfp bioreporter strains | [55] |
| Trikoramide B (93) | S. hydnoides/Bintan | Inhibits PAO1 lasB-gfp and rhlA-gfp | [56] |
| Majusculoic acid (96) | Cyanobacterial mat/Sweetings Cay, Bahamas | Exhibits antifungal properties against C. albicans ATCC 14503 and C. glabrata | [57] |
| Kalkipyrones A (100) and B (101) | Leptolyngbya sp. and cf. Schizothrix sp./American Samoa and Panama | Toxicity against Saccharomyces cerevisiae ABC16-Monster strain | [58,59] |
| Amantelides A (103) and B (104) | Gray cyanobacterium (Oscilliatoriales)/Two Lover’s Point, Tumon Bay, Guam | 103: broad spectrum of bioactivity against bacterial pathogens and marine fungi 104: completely inhibits growth of Dendryphiella salina, but minimal effect on growth of Lindra thalassiae and Fusarium sp. | [60] |
| Swinholide-related molecules | Geitlerinema sp. and cf. Phormidium sp./Nosy Mitso-ankaraha Island, Madagascar, and American Samoa | 105: antifungal activity | [61] |
| Dolastatins 10 (108) and 15 (130) | Symploca sp. VP642/Palau | 108 and 109 (synthetic): antifungal activity against several yeasts and filamentous fungi 108, 130, and synthetic 108 derivatives: antimalarial properties against P. falciparum | [61] |
| Majusculamide C (110) and 57-normajusculamide C (111) | L. majuscula/Enewetak Atoll, Marshall Islands | 110: inhibits growth of fungal plant pathogens Phytophthora infestans, Plasmopora viticola, and Rhizoctonia solani 111: Antimycotic properties against Saccharomyces pastorianus | [62,63] |
| Lyngbyabellin B (112) and hectochlorin (113) | L. majuscula/Dry Tortugas National Park, Florida, Hector Bay, Jamaica, and Boca del Drago Beach, Panama | 112 and 113: antifungal activity against C. albicans | [64,65] |
| Lobocyclamides A (115)–C (117) | L. confervoides/Cay Lobos, Bahamas | Modest antifungal activity when tested against fluconazole-resistant fungi C. albicans and C. glabrata; mixtures of 115 and 116 in 1:1 ratio show synergistic antifungal activity | [66] |
| Hierridins A (119) and B (118) | Phormidium ectocarpi/red-pigmented cyanobacterial strain isolated from green algae, Udothea petiolate, from the coast of Mallorca | Mixture of 119 and 118 exhibits antiplasmodial activity against P. falciparum D6 and W2 | [67] |
| Malyngolide dimer (120) | L. majuscula/Coiba National Park, Panama | Moderate antimalarial activity against chloroquine-resistant P. falciparum (W2) | [68] |
| Biselyngbyaside (121) and biselyngbyolide B (122) | Lyngbya sp./Okinawa | 121: antimalarial activity against P. falciparum chloroquine-resistant K1 and chloroquine-sensitive FCR3 strains 122: weaker antimalarial activities | [69] |
| Bastimolides A (126), B (127), and palstimolide A (129) | Okeania hirsute and Leptolyngbya sp./Isla Bastimentos Park, Panama, and Palmyra Atoll | 126: potent activity against four multidrug-resistant strains of P. falciparum, including TM90-C2A, TM90-C2B, W2, and TM91-C235 127: strong antimalarial activity against CQ-sensitive P. falciparum strain HB3 129: potent antimalarial activity against the blood stage of P. falciparum Dd2 strain; active against intracellular L. donovani parasite infecting murine macrophage cells | [69] |
| Carmaphycins A (138) and B (139) | Symploca sp./off an anchor rope by a snorkeler south of the CARMABI research station, Curacao | 139: potent activity against the asexual, liver, and sexual stages of P. falciparum | [70] |
| Dragomabin (141), dragonamide B (143), carmabin A (144), and dragonamide A (142) | L. majuscula/Panama | 141, 142, and 144: moderate against the W2 chloroquine-resistant malaria strain | [71,72,73] |
| Ikoamide (147) | Okeania sp./Iko-pier, Kuroshima Island, Okinawa | Strong antiplasmodial activity against the asexual erythrocytic stage of the P. falciparum 3D7 clone | [74] |
| Mabuniamide (148) | Okeania sp./Odo, Okinawa | 148 and synthetic 149: antiplasmodial activity | [75] |
| Hoshinoamides A (150)–C (152) | Caldora penicillata/Hoshino and Ikei Island, Okinawa | Exhibit antiplasmodial activity | [76,77] |
| Pemuchiamides A (154) and B (155) | Hormoscilla sp./Pemuchi Beach, Hateruma Island, Japan | 154: strong growth-inhibitory activity against T. brucei rhodesiense | [78] |
| Kulolide-1 (156) | Philinopsis speciosa/Shark’s Cove, Pupukea, Oahu | Antimalarial activity against two malarial strains—P. falciparum Dd2 clone and 3D7 clone | [79] |
| Dudawalamides A (157)–D (160) | Moorena producens/Dudawali Bay, Papua New Guinea | 157 and 160: exhibit the strongest activity against P. falciparum 160: potent against L. donovani | [80] |
| Lyngbyabellins | Okeania sp. and M. bouillonii/Algetah Alkabira reef near Jeddah, Saudi Arabia, and Sabah, Malaysia | 161 and 162: potent against P. falciparum strain FCR-3 163: moderately active against P. falciparum strain FCR-3 | [81,82] |
| Kakeromamide B (164), ulongamide A (165), 18E-lyngbyaloside C (166), and lyngbyaloside (167) | Moorena producens/Fiji | 164 and 165: moderate activity against P. falciparum blood stages 164, 166, and 167: moderate liver-stage antimalarial activity against P. berghei liver schizonts | [82] |
| Veraguamides M (168) and N (169) | Lyngbya sp./Coiba National Park, Panama | 168 and 169: active against P. falciparum 169: active against Leishmania donovani | [83] |
| Companeramides A (170) and B (171) | marine cyanobacterial assemblage/Coiba Island, Panama | Active against three strains of the malaria parasite P. falciparum using a fluorescence-based assay | [84] |
| Wajeepeptin (172) | Moorena sp./Wajee Coast, Ie Island, Okinawa | Potent antitrypanosomal activity against T. brucei rhodesiense | [85] |
| Venturamides A (173) and B (174) | Oscillatoria sp./Buenaventura Bay, Portobelo National Marine Park, Panama | Strong activity against P. falciparum; mild activity against T. cruzi and L. donovani | [86] |
| Lagunamides A (175)–C (177) | L. majuscula/Pulau Hantu, Singapore | Potent activity against the P. falciparum NF54 strain | [87,88] |
| Symplocamide A (178) | Symploca sp./Sunday Island, Papua New Guinea | Significant antimalarial activity against W2 P. falciparum; moderate activity against T. cruzi and L. donovani | [89] |
| Kagimminols A (179) and B (180) | Okeania sp./Kagimmi Beach, Okinawa | Moderate selective growth-inhibitory activity against Trypanosoma brucei rhodesiense strain IL-1501 | [90] |
| Coibacins A (181)–D (184) | cf. Oscillatoria sp./near Uvas Island, Coiba National Park | 181: potent activity against L. donovani and L. mexicana axenic amastigotes | [91] |
| Bromoiesol sulfates A (185), B (186) and hydrolysates (187 and 188) | Salileptolyngbya sp./Ie-Island, Okinawa | 187 and 188: antitrypanosomal activity against T. brucei rhodesience IL-1501 strain | [92] |
| Akunolides A (189)–D (192), polycavernoside E (193) | Okeania sp./Akuna Beach, Okinawa | 189–193: moderate antitrypanosomal activities against T. brucei rhodesiense | [93,94] |
| Hennaminal (194) and hennamide (195) | Rivularia sp./Higashihennazaki, Miyako Island, Okinawa | Moderate growth-inhibitory activity against the bloodstream form of Trypanosoma brucei rhodesiense | [95] |
| Hoshinolactam (197) | Marine cyanobacterium/Hoshino, Okinawa | Potent antitrypanosomal activity against the Trypanosoma brucei brucei GUTat 3.1 strain | [96] |
| Beru’amide (198) | Okeania sp./Beru, Kasari-cho, Kagoshima, Japan | Potent antitrypanosomal activity against T. brucei rhodesiense | [97] |
| Iheyamides A (201)–C (203) and iheyanone (204) | Dapis sp./Noho Island, Okinawa | 201: moderate antitrypanosomal activity against T. brucei rhodesiense and T. brucei brucei 204: exhibits antitrypanosomal activity | [98,99] |
| Kinenzoline (205) | Salileptolyngbya sp./Kinenhama Beach, Kagoshima, Japan | Moderate growth-inhibitory activity against T. b. rhodesiense | [100] |
| Dragonamides A (142), E (206), and herbamide B (207) | L. majuscula/Bastimentos National Park, Bocas del Toro, Panama | Demonstrates antileishmanial activity | [101] |
| Almiramides A (208)–C (210) | L. majuscula/from mangrove roots in the Bocas del Toro National Marine Park, Panama | 209 and 210: strong activity against L. donovani Synthetic analogs (e.g., 211–215, 219–221): improved antiparasitic activity | [102,103,104] |
| Viridamides A (222) and B (223) | Oscillatoria nigro-viridis/Panama | 222: significant activity against T. cruzi, L. Mexicana, and P. falciparum | [105] |
| Amantamide C (224) | Okeania sp./Tonaki Island, Japan | Inhibits the growth of T. brucei rhodesiense | [106] |
| Okeaniazole A (225) | Okeania hirsute/Kuba Beach, Nakagusuku, Okinawa | Inhibitory activity against Leishmania major | [19] |
| Janadolide (226) | Okeania sp./Janado, Okinawa | 226: potent antitrypanosomal activity against Trypanosoma brucei brucei GUTat 3.1 strain Several simplified analogs (e.g., 227): moderate micromolar-range antitrypanosomal activity against T. brucei rhodesiense and T. cruzi | [107,108] |
| Motobamide (228) | Leptolyngbya sp./Bise, Okinawa | Inhibits the growth of the bloodstream form of T. b. rhodesiense | [109] |
| Barbamide (229) | L. majuscula/Barbara Beach, Curacao | Molluscicidal activity against B. glabrata | [110] |
| Cyanolide A (230) | L. bouillonii/shallow reef wall outside Pigeon Island, Papua New Guinea | Molluscicidal activity against B. glabrata | [111] |
| Thiopalmyrone (231) and palmyrrolinone (232) | cf. Oscillatoria and Hormoscilla sp./Palmyra Atoll | Molluscicidal activity against B. glabrata | [112] |
Disclaimer/Publisher’s Note: The statements, opinions and data contained in all publications are solely those of the individual author(s) and contributor(s) and not of MDPI and/or the editor(s). MDPI and/or the editor(s) disclaim responsibility for any injury to people or property resulting from any ideas, methods, instructions or products referred to in the content. |
© 2024 by the authors. Licensee MDPI, Basel, Switzerland. This article is an open access article distributed under the terms and conditions of the Creative Commons Attribution (CC BY) license (https://creativecommons.org/licenses/by/4.0/).
Share and Cite
Tan, L.T.; Salleh, N.F. Marine Cyanobacteria: A Rich Source of Structurally Unique Anti-Infectives for Drug Development. Molecules 2024, 29, 5307. https://doi.org/10.3390/molecules29225307
Tan LT, Salleh NF. Marine Cyanobacteria: A Rich Source of Structurally Unique Anti-Infectives for Drug Development. Molecules. 2024; 29(22):5307. https://doi.org/10.3390/molecules29225307
Chicago/Turabian StyleTan, Lik Tong, and Nurul Farhana Salleh. 2024. "Marine Cyanobacteria: A Rich Source of Structurally Unique Anti-Infectives for Drug Development" Molecules 29, no. 22: 5307. https://doi.org/10.3390/molecules29225307
APA StyleTan, L. T., & Salleh, N. F. (2024). Marine Cyanobacteria: A Rich Source of Structurally Unique Anti-Infectives for Drug Development. Molecules, 29(22), 5307. https://doi.org/10.3390/molecules29225307

