Sign in to use this feature.

Years

Between: -

Subjects

remove_circle_outline
remove_circle_outline
remove_circle_outline
remove_circle_outline
remove_circle_outline
remove_circle_outline
remove_circle_outline
remove_circle_outline
remove_circle_outline

Journals

remove_circle_outline
remove_circle_outline
remove_circle_outline
remove_circle_outline
remove_circle_outline
remove_circle_outline
remove_circle_outline
remove_circle_outline
remove_circle_outline

Article Types

Countries / Regions

remove_circle_outline
remove_circle_outline
remove_circle_outline
remove_circle_outline
remove_circle_outline
remove_circle_outline
remove_circle_outline
remove_circle_outline

Search Results (411)

Search Parameters:
Keywords = fiber composite post

Order results
Result details
Results per page
Select all
Export citation of selected articles as:
25 pages, 4181 KB  
Article
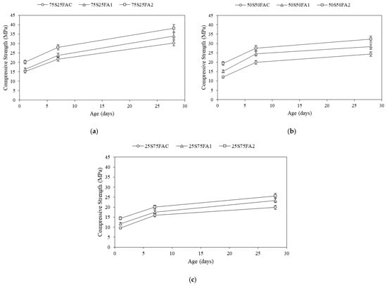
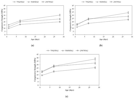
Mechanical Properties Quantification of Steel Fiber-Reinforced Geopolymer Concrete with Slag and Fly Ash
by Reem Adam, Haya Zuaiter, Doha ElMaoued, Adil Tamimi and Mohammad AlHamaydeh
Buildings 2025, 15(19), 3533; https://doi.org/10.3390/buildings15193533 - 1 Oct 2025
Abstract
This study examines the influence of steel fiber reinforcement on the mechanical properties of geopolymer concrete incorporating different slag to fly ash binder ratios (75:25, 50:50, and 25:75). Three fiber contents (0%, 1%, and 2%) by volume were used to assess their impact [...] Read more.
This study examines the influence of steel fiber reinforcement on the mechanical properties of geopolymer concrete incorporating different slag to fly ash binder ratios (75:25, 50:50, and 25:75). Three fiber contents (0%, 1%, and 2%) by volume were used to assess their impact on compressive strength, flexural strength, initial stiffness, and toughness. Compressive tests were conducted at 1, 7, and 28 days, while flexural behavior was evaluated through a four-point bending test at 28 days. The results showed that geopolymer concrete with 75% slag and 25% fly ash experienced the highest compressive strength and modulus of elasticity, regardless of the steel fiber content. The addition of 1% and 2% steel fiber content enhanced the compressive strength by 17.49% and 28.8%, respectively, compared to the control sample. The binder composition of geopolymer concrete plays a crucial role in determining its compressive strength. Reducing the slag content from 75% to 50% and then to 25% resulted in a 15.1% and 33% decrease in compressive strength, respectively. The load–displacement curves of the 2% fiber-reinforced beams display strain-hardening behavior. On the other hand, after the initial crack, a constant increase in load causes the specimen to experience progressive strain until it reaches its maximum load capacity. When the peak load is attained, the curve gradually drops due to a loss in load-carrying capacity known as post-peak softening. This behavior is attributed to steel’s ductility and is evident in specimens 75S25FA2 and 50S50FA2. Concrete with 75% slag and 25% fly ash demonstrated the highest peak load but the lowest ultimate displacement, indicating high strength but brittle behavior. In contrast, concrete with 75% fly ash and 25% slag showed the lowest peak load but the highest displacement. Across all binder ratios, the addition of steel fibers enhanced the flexural strength, initial stiffness, and toughness. This is attributed to the bridging action of steel fibers in concrete. Additionally, steel fiber-reinforced beams exhibited a ductile failure mode, characterized by multiple fine cracks throughout the midspan, whereas the control beams displayed a single vertical crack in the midspan, indicating a brittle failure mode. Full article
(This article belongs to the Section Building Materials, and Repair & Renovation)
Show Figures

Figure 1

15 pages, 7207 KB  
Article
Collagen Fiber Maturity and Architecture in MVP-Associated Fibrosis Quantified by Digital Pathology
by Ranan Phookan, Jordan E. Morningstar, Brian Loizzi, Antonia Van Kampen, Cortney Gensemer, Maja-Theresa Dieterlen, Ricardo Spampinato, Louis Petitjean, Mathieu Petitjean, Taylor Petrucci, Roman Fenner, Jake Griner, Kathryn Byerly, Robert A. Levine, Michael A. Borger and Russell A. Norris
Cells 2025, 14(19), 1536; https://doi.org/10.3390/cells14191536 - 30 Sep 2025
Abstract
Recent evidence demonstrates that mitral valve prolapse (MVP) increases mechanical stress on the subvalvular apparatus and is linked to regional myocardial fibrosis and life-threatening ventricular arrhythmias. However, current surgical guidelines do not account for the extent of myocardial fibrosis or the severity of [...] Read more.
Recent evidence demonstrates that mitral valve prolapse (MVP) increases mechanical stress on the subvalvular apparatus and is linked to regional myocardial fibrosis and life-threatening ventricular arrhythmias. However, current surgical guidelines do not account for the extent of myocardial fibrosis or the severity of leaflet involvement, both key features of arrhythmogenic MVP. To address this gap, we conducted histopathological analysis of endomyocardial biopsies from patients with MVP and regionalized myocardial fibrosis (n = 6) who underwent mitral valve repair. Using digital pathology-based quantitative image analysis (QIA), we found that fibrosis in peri-papillary biopsies exhibited a significantly higher Morphometric Composite Score compared with remote biopsies (5.68 ± 0.69 vs. 3.71 ± 0.49, p = 0.042), reflecting larger, more branched, and more assembled collagen fibers, indicative of a mature and persistent fibrotic phenotype. These findings suggest that myocardial scarring in MVP is well-established by the time of surgery and underscore the potential value of earlier surgical intervention to reduce the risk of arrhythmia and preserve post-operative left ventricular function. Full article
22 pages, 595 KB  
Article
A School-Based Five-Month Gardening Intervention Improves Vegetable Intake, BMI, and Nutrition Knowledge in Primary School Children: A Controlled Quasi-Experimental Trial
by Nour Amin Elsahoryi, Omar A. Alhaj, Ruba Musharbash, Fadia Milhem, Tareq Al-Farah and Ayoub Al Jawaldeh
Nutrients 2025, 17(19), 3133; https://doi.org/10.3390/nu17193133 - 30 Sep 2025
Abstract
Background/Objectives: Childhood obesity rates in Jordan have reached alarming levels, with 28% of school-age children classified as overweight or obese. School-based gardening interventions show promise for promoting healthy eating behaviors, yet limited research exists in Middle Eastern contexts. This study evaluated the effectiveness [...] Read more.
Background/Objectives: Childhood obesity rates in Jordan have reached alarming levels, with 28% of school-age children classified as overweight or obese. School-based gardening interventions show promise for promoting healthy eating behaviors, yet limited research exists in Middle Eastern contexts. This study evaluated the effectiveness of a five-month school-based vegetable gardening and nutrition education intervention on anthropometric measures, dietary intake, and knowledge, attitudes, and practices (KAP) regarding vegetable consumption among Jordanian primary school children. Methods: A quasi-experimental controlled trial was conducted with 216 students (ages 10–12 years) from two demographically matched schools in Amman, Jordan. The intervention group (n = 121) participated in weekly one-hour gardening sessions combined with nutrition education and vegetable tasting activities over five months, while the control group (n = 95) continued the standard curriculum. Outcomes measured at baseline and post-intervention included anthropometric assessments, dietary intake via 24 h recalls, and vegetable-related KAP using a validated questionnaire. Data were analyzed using paired t-tests and repeated measures ANCOVA. Results: The intervention group demonstrated significant improvements in body composition, including reductions in BMI (−1.57 kg/m2), weight (−1.88 kg), and BMI z-score (−0.37), while controls showed minimal increases. Vegetable intake showed significant time × group interaction (p-value = 0.003), with a non-significant increase in the intervention group (2.7 to 2.9 times/day) and a non-significant decrease in the controls (2.5 to 2.4 times/day). Dietary quality improved, including increased fiber intake (+2.36 g/day) and reduced saturated fat consumption (−9.24 g/day). Nutrition knowledge scores increased substantially in the intervention group (+22.31 points) compared to controls (+1.75 points; p-value ≤ 0.001). However, attitudes and practices toward vegetable consumption showed no significant changes. Conclusions: This intervention effectively improved body composition, dietary quality, and nutrition knowledge among Jordanian primary school children. These findings provide evidence for implementing culturally adapted school gardening programs as childhood obesity prevention interventions in Middle Eastern settings, though future programs should incorporate family engagement strategies to enhance behavioral sustainability. Full article
(This article belongs to the Section Nutrition and Public Health)
24 pages, 967 KB  
Article
Effects of Aerobic-Resistance Training and Nutritional Intervention on Adiponectin, Interleukin-6, and hs-CRP Concentrations in Men with Abdominal Obesity—A Randomized Controlled Trial
by Karol Makiel, Aneta Targosz, Piotr Kosowski and Agnieszka Suder
Int. J. Mol. Sci. 2025, 26(19), 9500; https://doi.org/10.3390/ijms26199500 - 28 Sep 2025
Abstract
The objective of this study was to assess the changes in adiponectin concentrations and inflammatory markers in men with abdominal obesity following physical exercise and exercise combined with dietary intervention. This study included 44 males with abdominal obesity (mean age 34.7 ± 5.5 [...] Read more.
The objective of this study was to assess the changes in adiponectin concentrations and inflammatory markers in men with abdominal obesity following physical exercise and exercise combined with dietary intervention. This study included 44 males with abdominal obesity (mean age 34.7 ± 5.5 years, waist circumference [WC] 110.3 ± 8.5, BMI 32.0 ± 3.9), who were randomly assigned to three groups: a control group without interventions (CG, n = 12), an experimental group engaging in aerobic-resistance exercise (EG, n = 16) and a group engaging in aerobic-resistance exercise combined with an ad libitum high-protein, low-glycemic index carbohydrate diet (EDG, n = 16). Body composition metrics: the body fat-, fat-free mass-, and abdominal fat-to body mass (BF/BM, FFM/BM, ABD/BM) indexes and the body adiposity index (BAI), along with biochemical blood analyses—adiponectin (ADIPO), interleukin-6 (IL-6), high-sensitivity C-reactive protein (hs-CRP), Castelli-II Index (CRI II) and fasting glucose–insulin (FG/I) ratio—were measured at baseline and after the intervention. The effects of the interventions on the analyzed variables across groups were assessed using mixed ANOVA tests with post hoc comparisons. Effect size (ES) was also calculated using partial eta squared (ηp2). The exercise intervention (EG) resulted in a significant reduction in the BAI (p < 0.01), insulin resistance FG/I (p < 0.02), and IL-6 concentrations (p < 0.01) and initiated an increase in ADIPO secretion (p = 0.03). The combined intervention (EDG) reduced the insulin resistance FG/I (p = 0.02) and atherogenic index CRI II (p = 0.01), decreased inflammatory markers IL-6 (p = 0.01) by 48% and hs-CRP (p = 0.04) by 30%, and simultaneously increased the ADIPO (p = 0.02) concentration by 15%. These effects were accompanied by significant changes in body composition: reductions in visceral fat ABD/BM (p < 0.01), total fat BF/BM (p < 0.01), and BAI (p = 0.02) and an increase in FFM/BM (p < 0.01). A crucial role in achieving these outcomes was played by dietary modifications, i.e., the inclusion of low-glycemic index carbohydrates (p < 0.01), a 23% increase in protein intake (p < 0.01), and a 50% increase in dietary fiber intake (p < 0.01), which consistently deepened the energy deficit (p < 0.01) and reduced fat intake (p < 0.01). These findings underscore that short-term interventions, whether exercise alone or combined with dietary modifications, can effectively reduce inflammation and lower insulin resistance in men with visceral obesity. However, the combined intervention, involving both exercise and dietary modifications, resulted in more pronounced beneficial changes in both body composition and concentrations of adipokines, inflammatory markers, and atherogenic indices and insulin resistance. Full article
Show Figures

Figure 1

12 pages, 704 KB  
Article
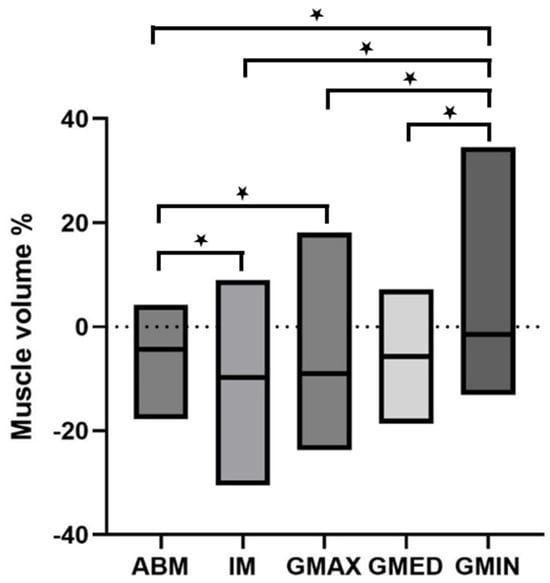
AI-Based 3D-Segmentation Quantifies Sarcopenia in Multiple Myeloma Patients
by Thuy-Duong Do, Tobias Nonnenmacher, Marieke Burghardt, Stefanie Zschaebitz, Marina Hajiyianni, Elias Karl Mai, Marc-Steffen Raab, Carsten Müller-Tidow, Hans-Ulrich Kauczor, Hartmut Goldschmidt and Ulrike Dapunt
Diagnostics 2025, 15(19), 2466; https://doi.org/10.3390/diagnostics15192466 - 26 Sep 2025
Abstract
Background: Sarcopenia is characterized by a loss of muscle mass and strength, resulting in functional limitations and an increased risk of falls, injuries and fractures. The aim of this study was to obtain detailed information on skeletal muscle changes in patients with multiple [...] Read more.
Background: Sarcopenia is characterized by a loss of muscle mass and strength, resulting in functional limitations and an increased risk of falls, injuries and fractures. The aim of this study was to obtain detailed information on skeletal muscle changes in patients with multiple myeloma (MM) during treatment. Methods: A total of 51 patients diagnosed with MM who had undergone whole-body low-dose computed tomography acquisition prior to induction therapy (T1) and post autologous stem cell transplantation (T2) were examined retrospectively. Total volume (TV), muscle volume (MV) and intramuscular adipose tissue volume (IMAT) of the autochthonous back muscles, the iliopsoas muscle and the gluteal muscles were evaluated on the basis of the resulting masks of the BOA tool with the fully automated combination of TotalSegmentator and a body composition analysis. An in-house trained artificial intelligence network was used to obtain a fully automated three-dimensional segmentation assessment. Results: Patients’ median age was 58 years (IQR 52–66), 38 were male and follow-up CT-scans were performed after a mean of 11.8 months (SD ± 3). Changes in MV and IMAT correlated significantly with Body-Mass-Index (BMI) (r = 0.7, p < 0.0001). Patients (n = 28) with a decrease in BMI (mean −2.2 kg/m2) during therapy lost MV (T1: 3419 cm3, IQR 3176–4000 cm3 vs. T2: 3226 cm3, IQR 3014–3662 cm3, p < 0.0001) whereas patients (n = 20) with an increased BMI (mean +1.4 kg/m2) showed an increase in IMAT (T1: 122 cm3, IQR 96.8–202.8 cm3 vs. T2: 145.5 cm3, IQR 115–248 cm3, p = 0.0002). Loss of MV varied between different muscle groups and was most prominent in the iliopsoas muscle (−9.8%) > gluteus maximus (−9.1%) > gluteus medius (−5.8%) > autochthonous back muscles (−4.3%) > gluteus minimus (−1.5%). Increase in IMAT in patients who gained weight was similar between muscle groups. Conclusions: The artificial intelligence-based three-dimensional segmentation process is a reliable and time-saving method to acquire in-depth information on sarcopenia in MM patients. Loss of MV and increase in IMAT were reliably detectable and associated with changes in BMI. Loss of MV was highest in muscles with more type 2 muscle fibers (fast-twitch, high energy) whereas muscles with predominantly type 1 fibers (slow-twitch, postural control) were less affected. This study provides valuable insight into muscle changes of MM patients during treatment, which might aid in tailoring exercise interventions more precisely to patients’ needs. Full article
Show Figures

Figure 1

18 pages, 6810 KB  
Article
Effects of Pre- and Post-Processing on Pin-Bearing Strength of 3D-Printed Composite Specimens with Circular Notches
by Yong-Hun Yu, Do-Hyeon Kim, Kang Rae Cho and Hyoung-Seock Seo
Polymers 2025, 17(19), 2609; https://doi.org/10.3390/polym17192609 - 26 Sep 2025
Abstract
To apply 3D printing-based continuous fiber composites in shipbuilding and marine applications, the pin-bearing fastening method with notch holes can be considered as an effective method. In this study, pin-bearing strength tests were performed on a 3D-printed composite consisting of carbon fiber and [...] Read more.
To apply 3D printing-based continuous fiber composites in shipbuilding and marine applications, the pin-bearing fastening method with notch holes can be considered as an effective method. In this study, pin-bearing strength tests were performed on a 3D-printed composite consisting of carbon fiber and Onyx to evaluate the effect of hole notches fabricated through pre- and post-processing. The experimental results showed the difference in the mechanical fastening strength of the specimens, depending on the method used to fabricate the hole notch. As the width-to-diameter ratio (W/D) decreased, ultimate bearing strength, strain, and toughness decreased. The post-treated specimens exhibited higher initial stiffness than the pre-treated specimens, and their bearing stress was up to 23% higher at smaller hole diameters (≤6 mm). In particular, for specimens with 0° fiber orientation, the post-processed specimens showed markedly higher toughness than the pre-processed ones, with increases at 5 mm and 6 mm hole diameters, respectively, thereby demonstrating superior performance in both strength and energy absorption. The damage modes of the circular notches were also found to depend on the pre- and post-processing conditions. These results suggest that fiber orientation, W/D ratio, and processing method should be considered when designing mechanical fasteners for 3D-printed composites in marine structures. Full article
(This article belongs to the Special Issue Polymeric Materials and Their Application in 3D Printing, 2nd Edition)
Show Figures

Figure 1

22 pages, 5038 KB  
Article
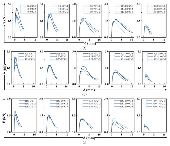
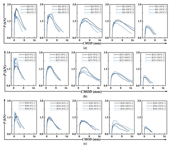
Fracture Properties of High-Performance High-Ductility Alkali-Activated Concrete Under Thermo-Mechanical Coupling: Effect of Fiber Hybrid Ratio
by Tao Huang, Bo-Yuan Huang, Zhi-Feng Zhan, Yu-Wen Huang, Lei Wang, Meng Li, Zhi-Hong Xie, Jian-Fa Li and Jia-Ying Su
Polymers 2025, 17(19), 2568; https://doi.org/10.3390/polym17192568 - 23 Sep 2025
Viewed by 169
Abstract
This study investigated the fracture behavior of high-ductility alkali-activated composites (HDAACs) under thermo-mechanical coupling. Fracture tests were conducted on hybrid polypropylene/polyethylene (PP/PE) fiber-HDAAC with varying PP fiber replacement ratios (0%, 25%, and 50%) and coupled temperatures (0 °C, 30 °C, 70 °C, 100 [...] Read more.
This study investigated the fracture behavior of high-ductility alkali-activated composites (HDAACs) under thermo-mechanical coupling. Fracture tests were conducted on hybrid polypropylene/polyethylene (PP/PE) fiber-HDAAC with varying PP fiber replacement ratios (0%, 25%, and 50%) and coupled temperatures (0 °C, 30 °C, 70 °C, 100 °C, and 150 °C). The fracture mechanisms were analyzed through failure modes, mode I fracture energy (GF), and the J-integral method. The results showed that below 100 °C, specimens exhibited ductile failure with a main crack along the notch accompanied by stable matrix cracking, with GF peaking at 16.47 kJ/m2. At 150 °C, fiber melting led to a reduction in GF to 2.01 kJ/m2. Initial cracking energy (JIC ≈ 0.1 kJ/m2) remained stable, while unstable fracture energy (JIF) peaked at 70 °C and dropped sharply at 150 °C. The energy consumed by matrix cracking showed (Jm) a similar trend to that consumed by fiber pull-out and fracture (Jb), with Jm/JC = 0.4–0.5. Higher PP replacement reduced both Jm and Jb. The fracture behavior differences under thermo-mechanical coupling versus post-heating were mainly due to fiber exposure timing. This study highlights the critical influence of thermo-mechanical coupling on HDAAC fracture mechanisms, offering guidance for designing HDAACs for high-temperature applications. Full article
(This article belongs to the Section Polymer Applications)
Show Figures

Figure 1

47 pages, 1967 KB  
Review
Reinforced Concrete Beams with FRP and Hybrid Steel–FRP Composite Bars: Load–Deflection Response, Failure Mechanisms, and Design Implications
by Paulina Dziomdziora and Piotr Smarzewski
Materials 2025, 18(18), 4381; https://doi.org/10.3390/ma18184381 - 19 Sep 2025
Viewed by 302
Abstract
Corrosion concerns motivate the use of alternatives to conventional steel reinforcement in RC beams. This review evaluates fiber-reinforced polymer (FRP) bars and hybrid steel–FRP composite bars (SFCBs) used for durability-critical applications. We conducted a structured literature search focused on 2010–2025 and included seminal [...] Read more.
Corrosion concerns motivate the use of alternatives to conventional steel reinforcement in RC beams. This review evaluates fiber-reinforced polymer (FRP) bars and hybrid steel–FRP composite bars (SFCBs) used for durability-critical applications. We conducted a structured literature search focused on 2010–2025 and included seminal pre-2010 studies for context. Experimental studies and code provisions were screened to synthesize evidence on load–deflection response, cracking, and failure, with brief notes on UHPC systems. FRP-RC offers corrosion resistance but limited ductility and an abrupt post-peak response. Steel is ductile and provides warning before failure. SFCB combines durability with steel-core ductility and yields gradual softening and higher energy absorption. Practice should select reinforcement based on stiffness–ductility–durability trade-offs. Current codes only partially cover hybrids. Key gaps include standardized bond–slip and tension-stiffening models for SFCB and robust data on long-term performance under aggressive exposure. Full article
Show Figures

Figure 1

17 pages, 2360 KB  
Article
Harvest Stage Dictates the Nutritive Value of Sorghum Stalk Silage by Shaping Its Fermentation Profile and Microbial Composition
by Xiaoqiang Zhao, Ruiyi Liu, Jing Wang, Yawei Zhang, Shuo Zhang, Wenbin Bai, Qingshan Liu and Yuanqing Zhang
Microorganisms 2025, 13(9), 2131; https://doi.org/10.3390/microorganisms13092131 - 11 Sep 2025
Viewed by 347
Abstract
The present experiment aimed to investigate the effects of harvest stages on the fermentation quality and nutritional value of sorghum stalk silage. Sorghum stalks were harvested at the three stages (milk, dough, and ripe), chopped, and ensiled for 60 d. Each treatment had [...] Read more.
The present experiment aimed to investigate the effects of harvest stages on the fermentation quality and nutritional value of sorghum stalk silage. Sorghum stalks were harvested at the three stages (milk, dough, and ripe), chopped, and ensiled for 60 d. Each treatment had five replicates, and the silages were evaluated for fermentation quality, nutritional composition, in vitro rumen fermentation characteristics, and bacterial community profiles. The results showed that the crude protein, neutral detergent fiber, and acid detergent fiber contents decreased significantly with harvest maturity (p < 0.05). Consequently, silage from the ripe stage possessed the highest dry matter, relative feed value, and total digestible nutrients (p < 0.05). In vitro rumen fermentation indicated that the ripe stage silage exhibited the greatest gas production, and the lowest concentrations of ruminal ammonia–nitrogen (p < 0.05). Microbial analysis revealed a shift from dominant epiphytic Proteobacteria to fermentative Firmicutes post-ensiling, with the ripe stage community co-dominated by Lactobacillus and Leuconostoc, in contrast to the milk stage’s enrichment with Klebsiella. In conclusion, harvesting sorghum at the ripe stage is the optimal strategy as it establishes a beneficial microbial community, resulting in silage with superior nutritional value and rumen fermentation efficiency. Full article
(This article belongs to the Special Issue Resource Utilization of Microorganisms: Fermentation and Biosynthesis)
Show Figures

Figure 1

21 pages, 4382 KB  
Article
Development and Characterization of Hybrid Coconut-S-Glass Fiber Composites for Enhanced Mechanical and Thermal Performance
by Pankaj Singh Chandel, Nalin Somani, Nitin Kumar Gupta, Appurva Jain and Ali Elrashidi
J. Compos. Sci. 2025, 9(9), 488; https://doi.org/10.3390/jcs9090488 - 8 Sep 2025
Viewed by 453
Abstract
Composite materials are replacing traditional metals across various industries as they offer lighter weight and affordability, as well as excellent mechanical properties. In the present work, a hybrid composite was developed by combining randomly oriented S-glass fibers and coconut fibers within an epoxy [...] Read more.
Composite materials are replacing traditional metals across various industries as they offer lighter weight and affordability, as well as excellent mechanical properties. In the present work, a hybrid composite was developed by combining randomly oriented S-glass fibers and coconut fibers within an epoxy matrix by using the hand lay-up method. The laminate was prepared by using two sheets of raw coconut fiber and eight layers of 200 GSM S-glass fiber, maintaining an epoxy-to-hardener ratio of 10:1. The laminate was cured under a hydraulic press at 80 °C for two hours and then post-cured at a temperature of 100 °C for four hours. In order to assess the performance of the composites, a series of tests, including mode II interlaminar fracture toughness, tensile strength, impact resistance, and hardness, as well as thermal conductivity, were performed. SEM analysis of the fracture surfaces confirmed the combined presence of fiber pull-out and good fiber–matrix bonding, supporting the observed improvements in mechanical properties. The results indicate that the hybrid composite has clear advantages over the composites reinforced with individual fibers alone. It showed a 358% higher tensile strength, a 30% increment in impact strength, and roughly 31% better flexural strength as compared to the coconut fiber composite. In comparison to the glass fiber composite, the hybrid composite offered enhanced toughness and better thermal stability, along with lower material costs and improved sustainability due to the addition of the natural fibers. Considering the rising need for lightweight, strong, and eco-friendly materials for industries, this fabricated hybrid composite appears to be a promising option for structural applications in fields like automotive, aerospace, and construction, where reducing weight without compromising strength is essential. Full article
(This article belongs to the Section Polymer Composites)
Show Figures

Figure 1

17 pages, 2625 KB  
Article
Evaluation of Magnetization Transfer Contrast Sequences: Application to Monitor Age-Related Differences in Muscle Macromolecular Fraction
by Austin Crispin-Smith, Ti Wu, Ilana R. Leppert, Agah Karakuzu, Shantanu Sinha and Usha Sinha
Tomography 2025, 11(9), 103; https://doi.org/10.3390/tomography11090103 - 5 Sep 2025
Viewed by 441
Abstract
Background/Objectives: Several sequences for magnetization transfer contrast (MTC) imaging are available, from indices of MTC ranging from quantitative magnetization transfer (qMT) that yields the macromolecular fraction to simple ratios of signal intensities with and without a magnetization transfer (MT) pulse. Aging muscle undergoes [...] Read more.
Background/Objectives: Several sequences for magnetization transfer contrast (MTC) imaging are available, from indices of MTC ranging from quantitative magnetization transfer (qMT) that yields the macromolecular fraction to simple ratios of signal intensities with and without a magnetization transfer (MT) pulse. Aging muscle undergoes changes including an increase in fibrosis and adipose accompanied by fiber atrophy and loss. The objective is to evaluate five MTC sequences to study age-related differences in muscle tissue composition. Methods: The lower leg (calf) of 15 young (8M/7F, 25.8 ± 3.7 years) and 9 senior subjects (5F/4M, 68.4 ± 3.3 years) was imaged with the following sequences: multi-offset qMT fit to the Ramani and Yarnykh models, single-offset qMT two-parameter fit to the Ramani model, a semi-quantitative MTsat sequence, magnetization transfer ratio (MTR), and MTR-corrected (MTRcorr) for B1 inhomogeneities. T1 mapping was also performed. Statistical analysis was performed to identify significant age-related and regional (intermuscular) differences. Results: Significant age-related decreases (p < 0.001) in macromolecular fraction (from two-parameter fit), MTsat, MTR, and MTRcorr were identified. A significant age-related increase in T1 (p < 0.001) was also identified. Pearson correlation coefficients between T1 and MTC indices were weak to moderate but significant. Conclusions: Age-related decreases in MTC may reflect that loss of myofibrillar proteins dominates the increase in collagen content with age. Further, the modest correlation of MTC indices with T1 indicates that all the age-related differences in MTC cannot be explained by an increase in inflammation. The MTsat sequence was identified as the most clinically relevant in terms of acquisition speed, post-processing simplicity, and ability to identify age-related differences in macromolecular fractions. Full article
Show Figures

Figure 1

28 pages, 6036 KB  
Review
Green Composites in Additive Manufacturing: A Combined Review and Bibliometric Exploration
by Maria Tănase and Cristina Veres
J. Manuf. Mater. Process. 2025, 9(9), 301; https://doi.org/10.3390/jmmp9090301 - 1 Sep 2025
Viewed by 582
Abstract
This review provides a comprehensive analysis of recent developments in the additive manufacturing of green composites, with a particular focus on their mechanical behavior. A bibliometric analysis of 482 research articles indexed in the Web of Science Core Collection and published between 2015 [...] Read more.
This review provides a comprehensive analysis of recent developments in the additive manufacturing of green composites, with a particular focus on their mechanical behavior. A bibliometric analysis of 482 research articles indexed in the Web of Science Core Collection and published between 2015 and 2025 reveals a sharp increase in publications, with dominant contributions from countries such as China, India, and the United States, as well as strong collaboration networks centered on materials science and polymer engineering. Thematic clustering highlights a growing emphasis on natural fiber reinforcement, biodegradable matrices, and performance optimization. Despite these advances, few studies have combined bibliometric analysis with a technical evaluation of mechanical performance, leaving a gap in understanding the relationship between research trends and material or process optimization. Building on these insights, the review synthesizes current knowledge on material composition, print parameters, infill design, and post-processing, identifying their combined effects on tensile strength, stiffness, and durability. The study concludes that multi-variable optimization—encompassing fiber-matrix compatibility, print architecture, and thermal control—is essential to achieving eco-efficient and high-performance green composites in additive manufacturing. Full article
Show Figures

Figure 1

18 pages, 6816 KB  
Article
Development of Graphene/Recycled Carbon Fiber-Reinforced PLA Composites for MEX Printing and Dry Machinability Analysis
by Abdullah Yahia AlFaify, Mustafa Saleh, Saqib Anwar, Abdulrahman M. Al-Ahmari and Abd Elaty E. AbdElgawad
Polymers 2025, 17(17), 2372; https://doi.org/10.3390/polym17172372 - 31 Aug 2025
Viewed by 884
Abstract
Material extrusion (MEX) is an additive manufacturing process used for 3D printing thermoplastic-based polymers, including single polymers, blends, and reinforced polymer composites (RPCs). RPCs are highly valued in various industries for their exceptional properties. The surface finish of RPC MEX-printed parts is high [...] Read more.
Material extrusion (MEX) is an additive manufacturing process used for 3D printing thermoplastic-based polymers, including single polymers, blends, and reinforced polymer composites (RPCs). RPCs are highly valued in various industries for their exceptional properties. The surface finish of RPC MEX-printed parts is high due to the process-related layering nature and the materials’ properties. This study explores RPC development for MEX printing and the potential of dry milling post-processing to enhance the MEX-printed part’s surface quality. RPC MEX filaments were developed by incorporating graphene nanoplatelets (GNPs) and/or recycled-carbon fibers (rCFs) into a polylactic acid (PLA) matrix. The filaments, including pure PLA and various GNPs-PLA composites, rCF-PLA, and rCF-GNPs-PLA, were developed through ball mill mixing and melt extrusion. Tensile tests were performed to assess the mechanical properties of the developed materials. Dry milling post-processing was carried out to assess the machinability, with the aim of enhancing the MEX-printed part’s surface quality. The results revealed that adding GNPs into PLA showed no considerable enhancements in the tensile properties of the fabricated RPCs, which is contrary to several existing studies. Dry milling showed an enhanced surface quality of MEX-printed parts in terms of surface roughness (Sa and Sz) and the absence of defects such as delamination and layer lines. Adding GNPs into PLA facilitated the dry machining of PLA, resulting in reduced surface asperities compared to pure PLA. Also, there was no observation of pulled-out, realigned, or naked rCFs, which indicates good machinability. Adding GNPs also suppressed the formation of voids around the rCFs during the dry milling. This study provides insights into machining 3D-printed polymer composites to enhance their surface quality. Full article
(This article belongs to the Section Polymer Applications)
Show Figures

Figure 1

24 pages, 43348 KB  
Article
Post-Fabrication Lamination with PP and PET Films for Improved Mechanical Performance of Injection-Molded Wood Fiber/PP Composites
by Wycliffe Ondiek, Arnaud Macadre and Koichi Goda
Eng 2025, 6(9), 204; https://doi.org/10.3390/eng6090204 - 22 Aug 2025
Viewed by 1127
Abstract
This study investigates the effect of polymer film lamination on the tensile performance of wood fiber-reinforced polypropylene (WP) composites. Neat polypropylene (PP) and WP containing 25 wt% wood fiber were injection-molded and laminated with 0.1 mm PP or polyethylene terephthalate (PET) films using [...] Read more.
This study investigates the effect of polymer film lamination on the tensile performance of wood fiber-reinforced polypropylene (WP) composites. Neat polypropylene (PP) and WP containing 25 wt% wood fiber were injection-molded and laminated with 0.1 mm PP or polyethylene terephthalate (PET) films using a compatible adhesive. Four configurations were examined: unlaminated (0S), single-sided half-length (1S-H), single-sided full-length (1S-F), and double-sided full-length (2S-F). Mechanical properties and fracture morphology were characterized by uniaxial tensile tests and scanning electron microscopy (SEM), alongside measurements of surface roughness. PET lamination produced the greatest strength enhancements, with 2S-F specimens achieving gains of 12% for PP and 21% for WP, whereas PP lamination gave minimal or negative effects, except for a 5% increase in WP. Strength improvements were attributed to surface smoothing and suppression of crack initiation, as confirmed by roughness measurements and SEM observations. PET’s higher stiffness and strength accounted for its superior reinforcement relative to PP. Fractographic analysis revealed flat regions near specimen corners—interpreted as crack initiation sites—indicating that lamination delayed crack propagation. The results demonstrate that PET film lamination is an effective and practical post-processing strategy for enhancing the mechanical performance of wood–plastic composites. Full article
(This article belongs to the Topic Surface Engineering and Micro Additive Manufacturing)
Show Figures

Figure 1

24 pages, 5801 KB  
Article
Copper-Decorated Catalytic Carbon/Ceramic Hollow Fibers for NO Reduction: Enhanced Performance via Tangential Flow Reactor Design and Process Intensification
by George V. Theodorakopoulos, Sergios K. Papageorgiou, Fotios K. Katsaros, Konstantinos G. Beltsios and George Em. Romanos
Fibers 2025, 13(9), 112; https://doi.org/10.3390/fib13090112 - 22 Aug 2025
Viewed by 330
Abstract
In this study, high-yield biopolymer/ceramic hollow fibers were fabricated via a facile, modified polyol process in a spinneret setup, enabling the controlled adsorption of Cu2+ ions. Post sintering transformed these into catalytic copper-decorated carbon/ceramic (alumina) composite hollow fibers, with alginate serving as [...] Read more.
In this study, high-yield biopolymer/ceramic hollow fibers were fabricated via a facile, modified polyol process in a spinneret setup, enabling the controlled adsorption of Cu2+ ions. Post sintering transformed these into catalytic copper-decorated carbon/ceramic (alumina) composite hollow fibers, with alginate serving as both a metal ion binder and a copper nanoparticle stabilizer. The resulting hollow fibers featured porous walls with a high surface area and were densely decorated with copper nanoparticles. Their structural and morphological characteristics were analyzed, and their NO reduction performance was assessed in a continuous flow configuration, where the gas stream passed through both the shell and lumen sides of a fiber bundle in a tangential flow mode. This study also examined the stability, longevity and regeneration potential of the catalytic fibers, including the mechanisms of deactivation and reactivation. Carbon content was found to be decisive for catalytic performance. High-carbon fibers exhibited a light-off temperature of 250 °C, maintained about 90% N2 selectivity and sustained a consistently high NO reduction efficiency for over 300 h, even without reducing gases like CO. In contrast, low-carbon fibers displayed a higher light-off temperature of 350 °C and a reduced catalytic efficiency. The results indicate that carbon enhances both activity and selectivity, counterbalancing deactivation effects. Owing to their scalability, durability and effectiveness, these catalytic fibers and their corresponding bundle-type reactor configuration represent a promising technology for advanced NO abatement. Full article
Show Figures

Figure 1

Back to TopTop