Sign in to use this feature.

Years

Between: -

Subjects

remove_circle_outline
remove_circle_outline
remove_circle_outline
remove_circle_outline
remove_circle_outline
remove_circle_outline
remove_circle_outline
remove_circle_outline
remove_circle_outline

Journals

Article Types

Countries / Regions

Search Results (15)

Search Parameters:
Keywords = federated resource profiling

Order results
Result details
Results per page
Select all
Export citation of selected articles as:
31 pages, 9063 KB  
Article
Client Selection in Federated Learning on Resource-Constrained Devices: A Game Theory Approach
by Zohra Dakhia and Massimo Merenda
Appl. Sci. 2025, 15(13), 7556; https://doi.org/10.3390/app15137556 - 5 Jul 2025
Cited by 2 | Viewed by 3443
Abstract
Federated Learning (FL), a key paradigm in privacy-preserving and distributed machine learning (ML), enables collaborative model training across decentralized data sources without requiring raw data exchange. FL enables collaborative model training across decentralized data sources while preserving privacy. However, selecting appropriate clients remains [...] Read more.
Federated Learning (FL), a key paradigm in privacy-preserving and distributed machine learning (ML), enables collaborative model training across decentralized data sources without requiring raw data exchange. FL enables collaborative model training across decentralized data sources while preserving privacy. However, selecting appropriate clients remains a major challenge, especially in heterogeneous environments with diverse battery levels, privacy needs, and learning capacities. In this work, a centralized reward-based payoff strategy (RBPS) with cooperative intent is proposed for client selection. In RBPS, each client evaluates participation based on locally measured battery level, privacy requirement, and the model’s accuracy in the current round computing a payoff from these factors and electing to participate if the payoff exceeds a predefined threshold. Participating clients then receive the updated global model. By jointly optimizing model accuracy, privacy preservation, and battery-level constraints, RBPS realizes a multi-objective selection mechanism. Under realistic simulations of client heterogeneity, RBPS yields more robust and efficient training compared to existing methods, confirming its suitability for deployment in resource-constrained FL settings. Experimental analysis demonstrates that RBPS offers significant advantages over state-of-the-art (SOA) client selection methods, particularly those relying on a single selection criterion such as accuracy, battery, or privacy alone. These one-dimensional approaches often lead to trade-offs where improvements in one aspect come at the cost of another. In contrast, RBPS leverages client heterogeneity not as a limitation, but as a strategic asset to maintain and balance all critical characteristics simultaneously. Rather than optimizing performance for a single device type or constraint, RBPS benefits from the diversity of heterogeneous clients, enabling improved accuracy, energy preservation, and privacy protection all at once. This is achieved by dynamically adapting the selection strategy to the strengths of different client profiles. Unlike homogeneous environments, where only one capability tends to dominate, RBPS ensures that no key property is sacrificed. RBPS thus aligns more closely with real-world FL deployments, where mixed-device participation is common and balanced optimization is essential. Full article
Show Figures

Figure 1

32 pages, 2442 KB  
Article
Federated Learning System for Dynamic Radio/MEC Resource Allocation and Slicing Control in Open Radio Access Network
by Mario Martínez-Morfa, Carlos Ruiz de Mendoza, Cristina Cervelló-Pastor and Sebastia Sallent-Ribes
Future Internet 2025, 17(3), 106; https://doi.org/10.3390/fi17030106 - 26 Feb 2025
Cited by 1 | Viewed by 2252
Abstract
The evolution of cellular networks from fifth-generation (5G) architectures to beyond 5G (B5G) and sixth-generation (6G) systems necessitates innovative solutions to overcome the limitations of traditional Radio Access Network (RAN) infrastructures. Existing monolithic and proprietary RAN components restrict adaptability, interoperability, and optimal resource [...] Read more.
The evolution of cellular networks from fifth-generation (5G) architectures to beyond 5G (B5G) and sixth-generation (6G) systems necessitates innovative solutions to overcome the limitations of traditional Radio Access Network (RAN) infrastructures. Existing monolithic and proprietary RAN components restrict adaptability, interoperability, and optimal resource utilization, posing challenges in meeting the stringent requirements of next-generation applications. The Open Radio Access Network (O-RAN) and Multi-Access Edge Computing (MEC) have emerged as transformative paradigms, enabling disaggregation, virtualization, and real-time adaptability—which are key to achieving ultra-low latency, enhanced bandwidth efficiency, and intelligent resource management in future cellular systems. This paper presents a Federated Deep Reinforcement Learning (FDRL) framework for dynamic radio and edge computing resource allocation and slicing management in O-RAN environments. An Integer Linear Programming (ILP) model has also been developed, resulting in the proposed FDRL solution drastically reducing the system response time. On the other hand, unlike centralized Reinforcement Learning (RL) approaches, the proposed FDRL solution leverages Federated Learning (FL) to optimize performance while preserving data privacy and reducing communication overhead. Comparative evaluations against centralized models demonstrate that the federated approach improves learning efficiency and reduces bandwidth consumption. The system has been rigorously tested across multiple scenarios, including multi-client O-RAN environments and loss-of-synchronization conditions, confirming its resilience in distributed deployments. Additionally, a case study simulating realistic traffic profiles validates the proposed framework’s ability to dynamically manage radio and computational resources, ensuring efficient and adaptive O-RAN slicing for diverse and high-mobility scenarios. Full article
(This article belongs to the Special Issue AI and Security in 5G Cooperative Cognitive Radio Networks)
Show Figures

Figure 1

10 pages, 293 KB  
Review
Compound Crises: The Impact of Emergencies and Disasters on Mental Health Services in Puerto Rico
by Fernando I. Rivera, Sara Belligoni, Veronica Arroyo Rodriguez, Sophia Chapdelaine, Varun Nannuri and Ashley Steen Burgos
Int. J. Environ. Res. Public Health 2024, 21(10), 1273; https://doi.org/10.3390/ijerph21101273 - 25 Sep 2024
Cited by 4 | Viewed by 6923
Abstract
Background: Mental health in Puerto Rico is a complex and multifaceted issue that has been shaped by the island’s unique history, culture, and political status. Recent challenges, including disasters, economic hardships, and political turmoil, have significantly affected the mental well-being of the population, [...] Read more.
Background: Mental health in Puerto Rico is a complex and multifaceted issue that has been shaped by the island’s unique history, culture, and political status. Recent challenges, including disasters, economic hardships, and political turmoil, have significantly affected the mental well-being of the population, coupled with the limitations in the accessibility of mental health services. Thus, Puerto Rico has fewer mental health professionals per capita than any other state or territory in the United States. Objective: This comprehensive review examines the impact of disasters on mental health and mental health services in Puerto Rico. Given the exodus of Puerto Ricans from the island, this review also provides an overview of mental health resources available on the island, as well as in the continental United States. This review identifies efforts to address mental health issues, with the intent of gaining a proper understanding of the available mental health services, key trends, as well as observable challenges and achievements within the mental health landscape of the Puerto Rican population. Design: A comprehensive search using the PRIMO database of the University of Central Florida (UCF) library database was conducted, focusing on key terms related to disasters and mental healthcare and services in Puerto Rico. The inclusion criteria encompassed studies on Puerto Rican individuals, both those who remained on the island and those who migrated post-disaster, addressing the mental health outcomes and services for adults and children. We included peer-reviewed articles published from 2005 onwards in English and/or Spanish, examining the impact of disasters on mental health, accessibility of services, and/or trauma-related consequences. Results: In this scoping review, we identified 39 studies addressing the mental health profile of Puerto Ricans, identifying significant gaps in service availability and accessibility and the impact of environmental disasters on mental health. The findings indicate a severe shortage of mental health services in Puerto Rico, exacerbated by disasters such as Hurricanes Irma and Maria, the earthquakes of late 2019 and early 2020 that followed, and the COVID-19 pandemic, resulting in substantial delays in accessing care, and limited insurance coverage, particularly in rural regions. Despite these challenges, efforts to improve mental health services have included substantial federal funding and community initiative aimed at enhancing care availability and infrastructure. Limitations include the use of a single database, language restrictions, and potential variability in data extraction and synthesis. Conclusions: This scoping review highlights the significant impact of disasters on mental health in Puerto Rico and the challenges in accessing mental health services exacerbated by disasters. Despite efforts, significant gaps in mental healthcare and services persist, emphasizing the need for more rigorous research and improvements in infrastructure and workforce to enhance mental health outcomes for Puerto Ricans both on the island and in the continental United States. Full article
17 pages, 3130 KB  
Article
Variability of the Main Economically Valuable Characteristics of Cyperus esculentus L. in Various Ecological and Geographical Conditions
by Nina G. Kon’kova, Valentina I. Khoreva, Vitaliy S. Popov, Tamara V. Yakusheva, Leonid L. Malyshev, Alla E. Solovyeva and Tatyana V. Shelenga
Plants 2024, 13(2), 308; https://doi.org/10.3390/plants13020308 - 20 Jan 2024
Cited by 3 | Viewed by 3488
Abstract
This study includes an assessment of the VIR (Center N.I. Vavilov All-Russian Institute of Plant Genetic Resources) chufa collection, grown in various ecological and geographical conditions of the Russian Federation: “Yekaterininskaya experimental station VIR” in the Tambov region and “Kuban experimental station VIR” [...] Read more.
This study includes an assessment of the VIR (Center N.I. Vavilov All-Russian Institute of Plant Genetic Resources) chufa collection, grown in various ecological and geographical conditions of the Russian Federation: “Yekaterininskaya experimental station VIR” in the Tambov region and “Kuban experimental station VIR” in the Krasnodar Region during the years 2020–2021. The main indicators of the economic value of chufa accessions were studied: yield structure and nutritional value (oil, protein, starch, and fatty acid profile). The accessions were grown in regions with different climatic conditions. As a result of the study, the variability of the biochemical and yield characteristics and the correlation between the studied indicators and the factor structure of its variability were established. Of the 20 accessions used in the study, the accessions with the highest protein, starch, oil and unsaturated fatty acid contents were selected, which are the most promising for their use as a raw material to expand the range of regional functional food products, as well as for future breeding efforts in the development of new, promising regional chufa varieties. Full article
Show Figures

Figure 1

24 pages, 1292 KB  
Article
Resource-Aware Federated Hybrid Profiling for Edge Node Selection in Federated Patient Similarity Network
by Alramzana Nujum Navaz, Hadeel T. El Kassabi, Mohamed Adel Serhani and Ezedin S. Barka
Appl. Sci. 2023, 13(24), 13114; https://doi.org/10.3390/app132413114 - 8 Dec 2023
Cited by 2 | Viewed by 1809
Abstract
The widespread adoption of edge computing for resource-constrained devices presents challenges in computational straggler issues, primarily due to the heterogeneity of edge node resources. This research addresses these issues by introducing a novel resource-aware federated hybrid profiling approach. This approach involves classifying edge [...] Read more.
The widespread adoption of edge computing for resource-constrained devices presents challenges in computational straggler issues, primarily due to the heterogeneity of edge node resources. This research addresses these issues by introducing a novel resource-aware federated hybrid profiling approach. This approach involves classifying edge node resources with relevant performance metrics and leveraging their capabilities to optimize performance and improve Quality of Service (QoS), particularly in real-time eHealth applications. Such paradigms include Federated Patient Similarity Network (FPSN) models that distribute processing at each edge node and fuse the built PSN matrices in the cloud, presenting a unique challenge in terms of optimizing training and inference times, while ensuring efficient and timely updates at the edge nodes. To address this concern, we propose a resource-aware federated hybrid profiling approach that measures the available static and dynamic resources of the edge nodes. By selecting nodes with the appropriate resources, we aim to optimize the FPSN to ensure the highest possible Quality of Service (QoS) for its users. We conducted experiments using edge performance metrics, i.e., accuracy, training convergence, memory and disk usage, execution time, and network statistics. These experiments uniquely demonstrate our work’s contribution to optimizing resource allocation and enhancing the performance of eHealth applications in real-time contexts using edge computing. Full article
Show Figures

Figure 1

2 pages, 148 KB  
Abstract
“The International Conservation Collection of Coffee Varieties” at Wilhelma, Stuttgart, Germany—A First Step towards Preserving the Diversity of Coffee Cultivars
by Björn Schäfer
Proceedings 2023, 89(1), 26; https://doi.org/10.3390/ICC2023-14843 - 16 Aug 2023
Cited by 2 | Viewed by 1108
Abstract
The coffee world is changing. Farmers and industry are facing major challenges, largely driven by climate change, changing consumer habits, sustainability and digitalization. One major way to solve these challenges is the coffee cultivars themselves. The coffee farmer might not be able to [...] Read more.
The coffee world is changing. Farmers and industry are facing major challenges, largely driven by climate change, changing consumer habits, sustainability and digitalization. One major way to solve these challenges is the coffee cultivars themselves. The coffee farmer might not be able to stop the effects of our changing climate or the habits of consumers, but by growing the right plant at the right place, they might be able to withstand at least harsh weather conditions like heavy rain or long-lasting dry periods. Moreover, the production of single-estate high-quality coffee of pure cultivars guarantees a higher income for the farmer and increased enjoyment for the consumer. For this reason, in 2016, the Zoological-Botanical Garden Wilhelma started to build up a living collection of coffee cultivars. The so called “International conservation collection of Coffee varieties” contains 115 accessions of Coffea arabica L., Coffea benghalensis B. Heyne ex Schult., Coffea canephora Pierre ex A. Froehner and Coffea liberica Hiern. The aim of the collection is to preserve as many different coffee cultivars for following generations as possible. The scientific collection is based on the trust and support of coffee farmers from all over the world. Currently, there are project partners in Brazil, China, Columbia, El Salvador, India, Malaysia, Mexico and Thailand. All of them are able to exchange knowledge about their different cultivars and have a backup of living specimens if their own plants are lost due to plant pests or natural disaster. They might even try new cultivars from foreign origins that might be better suited for changing local climate conditions. From every accession, four plants are grown, from which one is cultivated as a big, mostly natural-looking shrub used for exhibitions and cherry harvest. The three remaining plants are kept at a smaller size of up to 120 m to guarantee the preservation of the genetic resource. In addition, the “International conservation collection of Coffee varieties” might be the ultimate resource for all studies dealing with sensorial and aroma profiles of different coffee cultivars because all plants are grown under similar conditions, for instance, similar soil conditions, temperature and water quality. Another advantage is the permanent availability of 115 genetically different coffee varieties for genetic studies. This includes the possibility of generating a family tree of coffee varieties, and in reverse, this offers the opportunity to identify every cultivar by its genetic fingerprint. To be able to realize further projects, it is necessary to obtain an exemption from the Nagoya Protocol to access genetic resources and for the fair and equitable sharing of benefits arising from their utilization for all coffee cultivars. We are working on this, supported by the Federal Office for Agriculture and Food. Finally, to be able to conserve the diversity of existing coffee varieties, more effort will be necessary in traditionally coffee-growing countries on the African continent and the Arabian peninsula. Full article
(This article belongs to the Proceedings of International Coffee Convention 2023)
34 pages, 2546 KB  
Article
Potential Domestic Energy System Vulnerabilities from Major Exports of Green Hydrogen: A Case Study of Australia
by Andrew J. Curtis and Benjamin C. McLellan
Energies 2023, 16(16), 5881; https://doi.org/10.3390/en16165881 - 8 Aug 2023
Cited by 11 | Viewed by 3712
Abstract
Australia has clear aspirations to become a major global exporter of hydrogen as a replacement for fossil fuels and as part of the drive to reduce CO2 emissions, as set out in the National Hydrogen Strategy released in 2019 jointly by the [...] Read more.
Australia has clear aspirations to become a major global exporter of hydrogen as a replacement for fossil fuels and as part of the drive to reduce CO2 emissions, as set out in the National Hydrogen Strategy released in 2019 jointly by the federal and state governments. In 2021, the Australian Energy Market Operator specified a grid forecast scenario for the first time entitled “hydrogen superpower”. Not only does Australia hope to capitalise on the emerging demand for zero-carbon hydrogen in places like Japan and South Korea by establishing a new export industry, but it also needs to mitigate the built-in carbon risk of its export revenue from coal and LNG as major customers, such as Japan and South Korea, move to decarbonise their energy systems. This places hydrogen at the nexus of energy, climate change mitigation and economic growth, with implications for energy security. Much of the published literature on this topic concentrates on the details of what being a major hydrogen exporter will look like and what steps will need to be taken to achieve it. However, there appears to be a gap in the study of the implications for Australia’s domestic energy system in terms of energy security and export economic vulnerability. The objective of this paper is to develop a conceptual framework for the implications of becoming a major hydrogen exporter on Australia’s energy system. Various green hydrogen export scenarios for Australia were compared, and the most recent and comprehensive was selected as the basis for further examination for domestic energy system impacts. In this scenario, 248.5 GW of new renewable electricity generation capacity was estimated to be required by 2050 to produce the additional 867 TWh required for an electrolyser output of 2088 PJ of green hydrogen for export, which will comprise 55.9% of Australia’s total electricity demand at that time. The characteristics of comparative export-oriented resources and their interactions with the domestic economy and energy system are then examined through the lens of the resource curse hypothesis, and the LNG and aluminium industries. These existing resource export frameworks are reviewed for applicability of specific factors to export-oriented green hydrogen production, with applicable factors then compiled into a novel conceptual framework for exporter domestic implications from large-scale exports of green hydrogen. The green hydrogen export superpower (2050) scenario is then quantitatively assessed using the established indicators for energy exporter vulnerability and domestic energy security, comparing it to Australia’s 2019 energy exports profile. This assessment finds that in almost all factors, exporter vulnerability is reduced, and domestic energy security is enhanced by the transition from fossil fuel exports to green hydrogen, with the exception of an increase in exposure of the domestic energy system to international market forces. Full article
(This article belongs to the Special Issue Hydrogen in the Energy-X-Nexus)
Show Figures

Figure 1

32 pages, 3430 KB  
Article
Empowering Patient Similarity Networks through Innovative Data-Quality-Aware Federated Profiling
by Alramzana Nujum Navaz, Mohamed Adel Serhani, Hadeel T. El Kassabi and Ikbal Taleb
Sensors 2023, 23(14), 6443; https://doi.org/10.3390/s23146443 - 16 Jul 2023
Cited by 4 | Viewed by 2625
Abstract
Continuous monitoring of patients involves collecting and analyzing sensory data from a multitude of sources. To overcome communication overhead, ensure data privacy and security, reduce data loss, and maintain efficient resource usage, the processing and analytics are moved close to where the data [...] Read more.
Continuous monitoring of patients involves collecting and analyzing sensory data from a multitude of sources. To overcome communication overhead, ensure data privacy and security, reduce data loss, and maintain efficient resource usage, the processing and analytics are moved close to where the data are located (e.g., the edge). However, data quality (DQ) can be degraded because of imprecise or malfunctioning sensors, dynamic changes in the environment, transmission failures, or delays. Therefore, it is crucial to keep an eye on data quality and spot problems as quickly as possible, so that they do not mislead clinical judgments and lead to the wrong course of action. In this article, a novel approach called federated data quality profiling (FDQP) is proposed to assess the quality of the data at the edge. FDQP is inspired by federated learning (FL) and serves as a condensed document or a guide for node data quality assurance. The FDQP formal model is developed to capture the quality dimensions specified in the data quality profile (DQP). The proposed approach uses federated feature selection to improve classifier precision and rank features based on criteria such as feature value, outlier percentage, and missing data percentage. Extensive experimentation using a fetal dataset split into different edge nodes and a set of scenarios were carefully chosen to evaluate the proposed FDQP model. The results of the experiments demonstrated that the proposed FDQP approach positively improved the DQ, and thus, impacted the accuracy of the federated patient similarity network (FPSN)-based machine learning models. The proposed data-quality-aware federated PSN architecture leveraging FDQP model with data collected from edge nodes can effectively improve the data quality and accuracy of the federated patient similarity network (FPSN)-based machine learning models. Our profiling algorithm used lightweight profile exchange instead of full data processing at the edge, which resulted in optimal data quality achievement, thus improving efficiency. Overall, FDQP is an effective method for assessing data quality in the edge computing environment, and we believe that the proposed approach can be applied to other scenarios beyond patient monitoring. Full article
Show Figures

Figure 1

24 pages, 4742 KB  
Article
Migration Features and Regularities of Heavy Metals Transformation in Fresh and Marine Ecosystems (Peter the Great Bay and Lake Khanka)
by Eduard Tokar’, Natalia Kuzmenkova, Alexandra Rozhkova, Andrey Egorin, Daria Shlyk, Keliang Shi, Xiaolin Hou and Stepan Kalmykov
Water 2023, 15(12), 2267; https://doi.org/10.3390/w15122267 - 17 Jun 2023
Cited by 8 | Viewed by 3346
Abstract
Peter the Great Bay and Lake Khanka are among the most important structural and industrial fishing parts of the Far East coastal ecosystem, which are used by a number of countries such as Russia, China, Korea, Japan, etc. At the same time, the [...] Read more.
Peter the Great Bay and Lake Khanka are among the most important structural and industrial fishing parts of the Far East coastal ecosystem, which are used by a number of countries such as Russia, China, Korea, Japan, etc. At the same time, the active use of water resources, as well as industrial activities deployed on the coastal part of these reservoirs, are accompanied by a constant flow of pollutants into the water area. Among them, one can include heavy metals; their entry and migration are currently not fully controlled. There exists an important scientific and ecological task to study the features of heavy metal migration and transformation in natural objects. Bottom sediments act as a substrate for hydrobionts and, at the same time, serve as accumulators of pollutants, so that they can be used as the main component of the coastal-shelf ecosystem. The geochemical assessment of the behavior of heavy metals in the bottom sediments of Ussuri Bay and Amur Bay (Sea of Japan) and Lake Khanka (Xingkai) has been performed. Qualitative and quantitative elemental compositions of the bottom sediments have been established by means of the inductively coupled plasma-mass spectrometry (ICP-MS), atomic absorption spectrometry (AAS), and X-ray fluorescence analysis (XRF), whereas a correlation with the concentration of elements in seawater above sediments has been provided. The main phases of anthropogenic components as well as their relationship with an increased content of heavy metals have been established using X-ray diffraction analysis (XRD). Average values of the concentration of elements in the bottom sediments of Peter the Great Bay decrease in the following row: Fe > Cu > Cr > Zn ≥ Pb > Mn > Ni, and for Lake Khanka: Pb > Cu > Mn > Fe > Cr > Zn > Ni. Here, the excessive contents of Cr, Fe, Cu, Zn, and Pb in sea bottom sediments by 6, 32, 7, 3, and 4 times as compared with background values are the result of the formation of a large amount of carbonate and iron-oxide phases. At the same time, it was shown that, during the transition from the estuarine (coastal) area of river flow to the central (closer to the outlet to the ocean), the concentration of biogenic metals (Ni, Zn, Pb, Cu) generally decreased 2–4-fold along the profile, which was associated with the formation of their hydroxides and carbonates in the area of mixing of freshwater and seawater followed by that of complex compounds or absorption. A significant anthropogenic impact is observed in the lake sediments, which is demonstrated by the excess of Pb concentration by 6700 times, as compared with the Clarke number of the lithosphere. The non-uniform distribution of heavy metals along the core profile has been established, which is related to different contents of aluminosilicate and iron oxide phases in the form of hematite and magnetite. The sedimentation rate has been established by means of granulometric and radiometric analysis and equaled to 0.45 mm/year in Ussuri Bay, 1.6 mm/year in Amur Bay, and 0.43–0.50 mm/year in Lake Khanka. By calculating the distribution coefficients of heavy metals in the ‘water–deposits’ system, some features of migration and accumulation of individual elements have been established. To assess the potential pollution of the marine areas, the geoaccumulation index (Igeo) and the pollution factor (Kc) have been calculated. In comparison with the maximum permissible concentrations of the Russian Federation (MPC), the World Health Organization (WHO), the US Environmental Protection Agency (US EPA), and environmental protection agencies of China and Japan, Peter the Great Bay has an excess of Mn—2-fold, Fe—2-fold, Zn—3-fold, whereas in Lake Khanka, the situation is even less favorable, in particular, the excess of Mn is 79-fold, Fe—35-fold, Cu—2-fold, Zn—3–4-fold, which is clearly determined by the closeness of the water basin and the lack of water exchange. In comparison with the lithosphere Clarke number, the sediments of both water basins, as well as the coastal soil of the lake, are enriched with Pb and depleted with Cr, Ni, and Zn. The highest values of Igeo in both water basins have been observed for Pb, and equaled 12–16 in Peter the Great Bay and 6000 in Khanka Lake. Based on the data obtained, the areas with the greatest pollution caused by natural and anthropogenic factors have been identified. Full article
(This article belongs to the Special Issue Heavy Metals in Waters and Sediments)
Show Figures

Figure 1

26 pages, 5147 KB  
Article
Factors Influencing Risk during Wildfires: Contrasting Divergent Regions in the US
by Erin Noonan-Wright and Carl Seielstad
Fire 2022, 5(5), 131; https://doi.org/10.3390/fire5050131 - 30 Aug 2022
Cited by 6 | Viewed by 3263
Abstract
(1) Background: Federal land managers in the US are charged with risk-based decision-making which requires them to know the risk and to direct resources accordingly. Without understanding the specific factors that produce risk, it is difficult to identify strategies to reduce it. (2) [...] Read more.
(1) Background: Federal land managers in the US are charged with risk-based decision-making which requires them to know the risk and to direct resources accordingly. Without understanding the specific factors that produce risk, it is difficult to identify strategies to reduce it. (2) Methods: Risk characterized by U.S. land managers during wildfires was evaluated from 2010–2017 to identify factors driving risk perceptions. Annotation from 282 wildfires in two regions with distinctive risk profiles, the Northwest and Southwest Geographic Areas, were qualitatively coded using the risk assessment framework of hazards, values, and probability from the Relative Risk Assessment in the Wildland Fire Decision Support System (WFDSS). (3) Results: The effects of climate on seasonal severity, fuel condition, and fire behavior emerged as the most influential factors driving risk perceptions and characterizations of risk in both regions. Monsoonal precipitation extended the longevity of landscape barriers, especially in the Southwest. The results suggest that a scarcity of values at risk and a mild fire environment produce low risk fires regardless of location, while high risk fires reflect specific local values and geography, under the umbrella of dry climate. (4) Conclusions: the climatic contrasts between the two regions highlight how influential climate change will be on future characterizations of wildfire risk. Full article
(This article belongs to the Topic Recent Breakthroughs in Forest Fire Research)
Show Figures

Figure 1

28 pages, 2388 KB  
Review
Groundwater in Crisis? Addressing Groundwater Challenges in Michigan (USA) as a Template for the Great Lakes
by Alan D. Steinman, Donald G. Uzarski, David P. Lusch, Carol Miller, Patrick Doran, Tom Zimnicki, Philip Chu, Jon Allan, Jeremiah Asher, John Bratton, Don Carpenter, Dave Dempsey, Chad Drummond, John Esch, Anne Garwood, Anna Harrison, Lawrence D. Lemke, Jim Nicholas, Wendy Ogilvie, Brendan O’Leary, Paul Sachs, Paul Seelbach, Teresa Seidel, Amanda Suchy and John Yellichadd Show full author list remove Hide full author list
Sustainability 2022, 14(5), 3008; https://doi.org/10.3390/su14053008 - 4 Mar 2022
Cited by 4 | Viewed by 7816
Abstract
Groundwater historically has been a critical but understudied, underfunded, and underappreciated natural resource, although recent challenges associated with both groundwater quantity and quality have raised its profile. This is particularly true in the Laurentian Great Lakes (LGL) region, where the rich abundance of [...] Read more.
Groundwater historically has been a critical but understudied, underfunded, and underappreciated natural resource, although recent challenges associated with both groundwater quantity and quality have raised its profile. This is particularly true in the Laurentian Great Lakes (LGL) region, where the rich abundance of surface water results in the perception of an unlimited water supply but limited attention on groundwater resources. As a consequence, groundwater management recommendations in the LGL have been severely constrained by our lack of information. To address this information gap, a virtual summit was held in June 2021 that included invited participants from local, state, and federal government entities, universities, non-governmental organizations, and private firms in the region. Both technical (e.g., hydrologists, geologists, ecologists) and policy experts were included, and participants were assigned to an agricultural, urban, or coastal wetland breakout group in advance, based on their expertise. The overall goals of this groundwater summit were fourfold: (1) inventory the key (grand) challenges facing groundwater in Michigan; (2) identify the knowledge gaps and scientific needs, as well as policy recommendations, associated with these challenges; (3) construct a set of conceptual models that elucidate these challenges; and (4) develop a list of (tractable) next steps that can be taken to address these challenges. Absent this type of information, the sustainability of this critical resource is imperiled. Full article
Show Figures

Figure 1

28 pages, 10563 KB  
Article
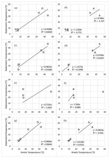
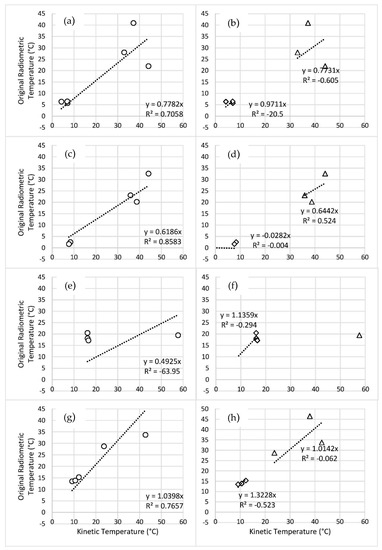
sUAS Remote Sensing to Evaluate Geothermal Seep Interactions with the Yellowstone River, Montana, USA
by Jesse Bunker, Raja M. Nagisetty and Jeremy Crowley
Remote Sens. 2021, 13(2), 163; https://doi.org/10.3390/rs13020163 - 6 Jan 2021
Cited by 2 | Viewed by 3673
Abstract
Small unmanned aerial systems (sUAS) are becoming increasingly popular due to their affordability and logistical ease for repeated surveys. While sUAS-based remote sensing has many applications in water resource management, their applicability and limitations in fluvial settings is not well defined. This study [...] Read more.
Small unmanned aerial systems (sUAS) are becoming increasingly popular due to their affordability and logistical ease for repeated surveys. While sUAS-based remote sensing has many applications in water resource management, their applicability and limitations in fluvial settings is not well defined. This study uses a combined thermal-optic sUAS to monitor the seasonal geothermal influence of a 1-km-long reach of the Yellowstone River, paired with in-situ streambed temperature profiles to evaluate geothermal seep interactions with Yellowstone River in Montana, USA. Accurate river water surface elevation along the shoreline was estimated using structure from motion (SfM) photogrammetry digital surface models (DSMs); however, water surface elevations were unreliable in the main river channel. Water temperature in thermal infrared (TIR) orthomosaics was accurate in temperature ranges of tens of degrees (>≈30 °C), but not as accurate in temperature ranges of several degrees (>≈15 °C) as compared to in-situ water temperature measurements. This allowed for identification of geothermal features but limited the ability to identify small-scale temperature changes due to river features, such as pools and riffles. The study concludes that rivers with an average width greater than or equal to 123% of the ground area covered by a TIR image will be difficult to study using structure from motion photogrammetry, given Federal Aviation Administration (FAA) altitude restrictions and sensor field of view. This study demonstrates the potential of combined thermal-optic sUAS systems to collect data over large river systems, and when combined with in-situ measurements, can further increase the sUAS utility in identifying river characteristics. Full article
(This article belongs to the Section Environmental Remote Sensing)
Show Figures

Graphical abstract

12 pages, 314 KB  
Article
Inaction on Lead Despite the Relevant Knowledge: Predictors, Covariates, and Outreach Implications
by Alessandra Rossi, Bernabas Wolde, Pankaj Lal and Melissa Harclerode
Int. J. Environ. Res. Public Health 2020, 17(24), 9391; https://doi.org/10.3390/ijerph17249391 - 15 Dec 2020
Viewed by 1994
Abstract
Testing residential soil and paint for lead provides actionable information. By showing where and how much lead exists on the residence, it allows one to quantify risk and determine the best ways to reduce exposure along with the corresponding health and financial costs. [...] Read more.
Testing residential soil and paint for lead provides actionable information. By showing where and how much lead exists on the residence, it allows one to quantify risk and determine the best ways to reduce exposure along with the corresponding health and financial costs. For these reasons, several federal and state programs offer outreach to audiences on the benefits of testing residential soil and paint for lead. Not all individuals who know about lead’s adverse health effects, however, test their residence for lead, potentially limiting the actionable information that could have helped to reduce their exposure. Such individuals represent a challenge to outreach programs and the broader public health objectives. There is, thus, a need to understand who such individuals are and why they behave this way, allowing us to develop a specialized outreach program that addresses the problem by targeting the relevant sub-population. Using survey data, we quantitatively determine the profiles of individuals who, despite knowing about lead’s adverse health effects, are unlikely to test their residence for lead, finding statistically significant socio-economic predictors and behavioral covariates. We also find a geographic component to it, further helping outreach professionals learn how to allocate their limited resources. Full article
Show Figures

Graphical abstract

5 pages, 194 KB  
Editorial
Constructing Invisible Walls through National and Global Policy
by Stephanie Ettinger de Cuba, Allison Bovell-Ammon and Diana Becker Cutts
Children 2019, 6(7), 83; https://doi.org/10.3390/children6070083 - 17 Jul 2019
Cited by 4 | Viewed by 4667
Abstract
Worldwide 37,000 people are forced to flee their homes every day due to conflict and persecution. The factors that lead people to leave their home countries often originate with economic deprivation and violence, escalated to a level that becomes a struggle for survival. [...] Read more.
Worldwide 37,000 people are forced to flee their homes every day due to conflict and persecution. The factors that lead people to leave their home countries often originate with economic deprivation and violence, escalated to a level that becomes a struggle for survival. Climate change, as it has accelerated over the last three to four decades and negatively impacted natural resources, contributes to a parallel increase in strife and migration. The US response to migration has been to construct an “Invisible Wall” of isolationist and xenophobic policies, many of which are especially harmful to children and their families. The southern US border is perhaps the most high profile location of the Invisible Wall’s construction, fortified by federal policies and a withdrawal from international cooperation. Global reengagement on climate change and migration, US ratification of the Convention on the Rights of the Child, and destruction of the Invisible Wall will help to create a world where children can thrive. Full article
10 pages, 199 KB  
Article
NewSTEPs: The Establishment of a National Newborn Screening Technical Assistance Resource Center
by Jelili Ojodu, Sikha Singh, Yvonne Kellar-Guenther, Careema Yusuf, Elizabeth Jones, Thalia Wood, Mei Baker and Marci K. Sontag
Int. J. Neonatal Screen. 2018, 4(1), 1; https://doi.org/10.3390/ijns4010001 - 22 Dec 2017
Cited by 31 | Viewed by 7985
Abstract
As newborn screening (NBS) programs in the US implement expanded screening panels, utilize emerging technologies and identify areas for improvement, the need to establish and maintain a community engagement based national technical assistance center becomes apparent. The Newborn Screening Technical assistance and Evaluation [...] Read more.
As newborn screening (NBS) programs in the US implement expanded screening panels, utilize emerging technologies and identify areas for improvement, the need to establish and maintain a community engagement based national technical assistance center becomes apparent. The Newborn Screening Technical assistance and Evaluation Program (NewSTEPs)—a program of the Association of Public Health Laboratories (APHL) in partnership with the Colorado School of Public Health (ColoradoSPH), offers expertise in newborn screening program development, member connection, data analysis, and program evaluation. NewSTEPs provides a secure online data repository designed to collect comprehensive data on newborn screening programs in three strata: state profiles (description of each state program including program hours, fees, and disorders screened), quality indicators (metrics of program performance encompassing screening accuracy and timeliness) and NBS public health surveillance case definitions. NewSTEPs was created in 2012 under a cooperative agreement with the United States Department of Health and Human Services (HHS), Health Resources and Services Administration (HRSA), Maternal and Child Health Bureau (MCHB). Successful activities of NewSTEPs have resulted in the establishment of a technical assistance resource center and the organization of a network of newborn screening experts. In addition, NewSTEPs coordinates efforts with other federally funded programs in order to maximize resources and to ensure a unified approach to data collection and information sharing. Full article
Show Figures

Graphical abstract

Back to TopTop