Sign in to use this feature.

Years

Between: -

Subjects

remove_circle_outline
remove_circle_outline
remove_circle_outline
remove_circle_outline
remove_circle_outline
remove_circle_outline

Journals

Article Types

Countries / Regions

Search Results (32)

Search Parameters:
Keywords = factorial experiment design (FED)

Order results
Result details
Results per page
Select all
Export citation of selected articles as:
13 pages, 1447 KB  
Article
Effects of Chromium Yeast Supplementation on Serum hsp60 and hsp70, mRNA Expression in Heat-Stressed Lambs
by Edwin Sandoval-Lozano, Iang S. Rondón Barragán, Andrés Sandoval-Lozano and Román David Castañeda-Serrano
Vet. Sci. 2025, 12(9), 801; https://doi.org/10.3390/vetsci12090801 - 24 Aug 2025
Viewed by 1416
Abstract
Small ruminant production is increasingly affected by heat stress, with recent heat waves highlighting growing economic and welfare-related challenges. Chronic exposure to elevated temperatures disrupts thermoregulation, reduces feed intake, slows growth, compromises meat quality, and increases mortality. This study evaluated the effects of [...] Read more.
Small ruminant production is increasingly affected by heat stress, with recent heat waves highlighting growing economic and welfare-related challenges. Chronic exposure to elevated temperatures disrupts thermoregulation, reduces feed intake, slows growth, compromises meat quality, and increases mortality. This study evaluated the effects of chromium-yeast supplementation at different doses and timepoints on physiological and molecular stress biomarkers in heat-stressed lambs. Forty-eight clinically healthy 6-month-old Katahdin lambs (average weight 20 ± 2.9 kg) were assigned to a 2 × 4 factorial design, with two ambient temperature conditions (heat stress [HS] and thermoneutral [TN]) and four levels of dietary Cr-yeast (0, 0.2, 0.4, and 0.8 mg/kg of dry matter intake). Lambs were housed individually in pens (1.2 × 2.5 m), with ad libitum access to water, and fed a 50:50 corn silage and concentrate diet (excluding mineral premix) twice daily. Blood samples were collected at days 0, 30, and 60 to evaluate plasma cortisol and the expression of hsp60 and hsp70. Chromium bioavailability was assessed by blood levels using absorption chromatography, and glucose clearance was measured at the end of the experiment. Significant reductions in cortisol and hsp70 expression were observed after 30 days of Cr-yeast supplementation under HS conditions (p < 0.05), particularly at the highest dose. For hsp60, a significant reduction was observed at the highest dose on day 30 under HS (p < 0.05). These effects were not sustained on day 60 (p > 0.05). No significant differences were detected under TN conditions (p > 0.05). These findings suggest that Cr-yeast may offer short-term physiological and cellular protection against chronic heat stress in lambs. Full article
Show Figures

Figure 1

16 pages, 2387 KB  
Article
The Impacts of Feeding a Reduced Energy and Lysine Balance in Lactation on Sow Body Composition, Litter Growth, and Markers of Subsequent Reproductive Performance
by Tracy L. Muller, Kate J. Plush, John R. Pluske, Darryl N. D’Souza, David W. Miller and Robert J. Van Barneveld
Agriculture 2025, 15(14), 1559; https://doi.org/10.3390/agriculture15141559 - 21 Jul 2025
Cited by 1 | Viewed by 1746
Abstract
This experiment examined whether multiparous sows fed a diet lower in energy and lysine at a reduced feed allowance would still mobilise fat and (or) protein to support piglet growth and negatively impact subsequent reproductive performance. A total of 152 multiparous sows was [...] Read more.
This experiment examined whether multiparous sows fed a diet lower in energy and lysine at a reduced feed allowance would still mobilise fat and (or) protein to support piglet growth and negatively impact subsequent reproductive performance. A total of 152 multiparous sows was allocated in a 2 × 2 factorial design with the respective factors being diet type fed in lactation (gestation, 13.0 MJ digestible energy (DE)/kg, 0.42 g standardised ileal digestible (SID) lysine/MJ DE; or lactation, 14.3 MJ DE/kg, 0.62 g SID lysine/MJ DE) and feed allowance (ad libitum or 7.5 kg/d, ~15% reduction on ad libitum intake). Body composition was estimated on the day after farrowing (day 2) and at weaning (day 21). Blood was collected on days 2, 21 and at standing heat, for the analysis of insulin and insulin-like growth factor 1 (IGF-1). Diet type did not alter (p > 0.05) bodyweight or P2 backfat depth change in lactation, estimated body fat and protein changes, litter growth, or subsequent total piglets born. Ad libitum-fed sows showed a significant gain in girth compared to sows offered 7.5 kg/d (2.9 versus −0.4 mm, p = 0.015) and had a tendency for a shorter wean-to-service interval (p < 0.10). Sows fed the lactation diet had higher insulin concentrations at weaning (p < 0.05), but levels were the same (p > 0.10) by heat detection; IGF-1 concentrations remained unaffected. These data indicate that imposing a calculated negative energy and lysine balance on lactating sows had a limited impact on lactation or subsequent reproductive performance, supporting the notion that the modern sow may be more resilient to nutritional impositions than has been historically reported. Full article
(This article belongs to the Special Issue Effects of Dietary Interventions on Monogastric Animal Production)
Show Figures

Figure 1

17 pages, 4418 KB  
Article
Effect of Roughage Source on the Composition and Colonization of Rumen Bacteria and Methanogens in Dumont and Mongolian Sheep
by Wenliang Guo, Hongyang Liu, Yue Wang, Meila Na, Ran Zhang and Renhua Na
Animals 2025, 15(14), 2079; https://doi.org/10.3390/ani15142079 - 14 Jul 2025
Viewed by 586
Abstract
Understanding the influence of the sheep breed and roughage source on the composition of rumen bacteria and methanogens is essential for optimizing roughage efficiency. The experiment employed a 2 × 2 factorial design. Twenty-four Dumont and Mongolian sheep (initial body weight of 18.94 [...] Read more.
Understanding the influence of the sheep breed and roughage source on the composition of rumen bacteria and methanogens is essential for optimizing roughage efficiency. The experiment employed a 2 × 2 factorial design. Twenty-four Dumont and Mongolian sheep (initial body weight of 18.94 ± 1.01 kg) were randomly assigned by breed to two dietary treatment groups (AH: alfalfa hay; CS: corn straw); the experiment lasted 90 days. The results showed that sheep fed alfalfa hay diets had a higher feed intake and weight gain, and Dumont sheep had a higher feed intake than Mongolian sheep (p < 0.05). The diversity and composition of ruminal bacteria and methanogens differed between Dumont and Mongolian sheep fed either AH or CS diets. The taxonomic analysis revealed a distinct clustering pattern based on the roughage source, but not on the breed. When fed a corn straw diet, the bacterial Chao1 index of Dumont sheep increased (p < 0.05), while the diversity and richness of methanogens in Mongolian sheep increased (p < 0.05). Additionally, we have identified unique biomarkers for the rumen bacteria and methanogens of Dumont and Mongolian sheep in response to different roughage sources. The results suggest that the differences in the microbiota of the sheep were associated with the roughage source and breed. The higher growth performance of Dumont sheep might be attributed to the increase in bacterial diversity and the decrease in methanogenic bacteria diversity. Full article
Show Figures

Figure 1

19 pages, 715 KB  
Article
Effects of Supplemental Calcium Propionate and Concentrate Level: Growth Performance, Body Fat Reserves, and Health of High-Risk Beef Calves
by Alejandro Rivera-Villegas, Octavio Carrillo-Muro, Daniel Rodríguez-Cordero, Pedro Hernández-Briano, Oliver Yaotzin Sánchez-Barbosa, Rosalba Lazalde-Cruz, Beatriz Isabel Castro-Pérez and Alejandro Plascencia
Vet. Sci. 2024, 11(8), 336; https://doi.org/10.3390/vetsci11080336 - 25 Jul 2024
Cited by 5 | Viewed by 2745
Abstract
The aim of this study was to examine the impact of daily calcium propionate (CaPr) supplementation (0 or 20 g/calf) on growth performance, dietary energetics, body fat reserves, serum metabolites, and hematological responses in high-risk beef calves fed diets with varying (50, 60, [...] Read more.
The aim of this study was to examine the impact of daily calcium propionate (CaPr) supplementation (0 or 20 g/calf) on growth performance, dietary energetics, body fat reserves, serum metabolites, and hematological responses in high-risk beef calves fed diets with varying (50, 60, or 70%) concentrate (CON) levels. In addition, a cost/income analysis of CaPr supplementation was carried out. Forty-eight crossbred bull calves (152.8 ± 1.56 kg body weight and 5.5 months of age) were involved in a fully randomized experimental design employing a 2 × 3 factorial arrangement of treatments. Calves were allocated (n = 8 per treatment) to individual pens (3.14 × 5.25 m) and were subjected to one of the following treatments during 42 d: No CaPr supplementation in diets containing 50, 60, or 70% CON (NoCaPr + 50, NoCaPr + 60, NoCaPr + 70, respectively) or daily CaPr supplementation dosed at 20 g/calf in diets containing 50, 60, or 70% CON (20CaPr + 50, 20CaPr + 60, 20CaPr + 70, respectively). Non-supplemented calves exhibited decreased dry matter intake (DMI) with increasing CON levels in their diets, while CaPr-supplemented calves displayed the opposite effect (interaction, p = 0.04). In calves fed a lower-CON diet (50%), those supplemented with CaPr showed greater average daily gain (ADG, 20.2%, p = 0.05) and lower DMI (2.2%, p = 0.03), resulting in improved ADG/DMI ratio, dietary energy, and energy retention (24.6, 14.4, and 18%, p < 0.05). These effects diminished when calves received diets with 60 or 70% CON but led to a 14.2% increase in rump fat thickness (p = 0.04). Only in non-supplemented CaPr calves, increasing the level of CON from 50 to 70% in the diet increased ADG (21.2%), decreased DMI (2.2%), and improved the ADG/DMI ratio (22.7%), with no impact on dietary net energy utilization. Non-supplemented calves exhibited an increase in lymphocytes as CON levels rose in their diets, whereas CaPr-supplemented calves showed the opposite effect (interaction, p = 0.05). Supplementation of CaPr decreased total protein (TP, p = 0.03) and albumin (ALB, p < 0.01) serum concentrations, with lower concentrations observed in 20CaPr + 50. CaPr supplementation reduced (p = 0.01) total cholesterol (TCHO) levels. An interaction between CaPr and CON level (p = 0.02) was observed since TCHO levels remained consistently low at higher CON levels. Glucose was decreased with increasing levels of CON (p = 0.02) but not (p = 0.85) for CaPr-supplemented calves. NoCaPr + 50 and NoCaPr + 70 increased (p = 0.05) ALB concentration. Gamma glutamyltransferase levels increased (p = 0.05) with increasing CON levels irrespective of CaPr supplementation. Comparing the profit within the same CON level in the diet, CaPr treatments yielded higher income, with the largest difference in profit observed when CaPr was supplemented at 50% CON level (USD 29 more/calf). In conclusion, CaPr supplementation proves to be an effective strategy for enhancing growth performance and dietary energy among high-risk beef calves, resulting in greater economic returns. The groups that received CaPr demonstrated superior profitability, particularly in calves fed diets with lower CON levels. Under the conditions in which this experiment was carried out, the optimal response occurred when the low-CON diet (50%) was supplemented with CaPr. Full article
(This article belongs to the Special Issue Effects of Nutrition on Ruminants Production Performance and Health)
Show Figures

Figure 1

22 pages, 14335 KB  
Article
Dietary Energy and Protein Levels Influence the Mutton Quality and Metabolomic Profile of the Yunshang Black Goat
by Zijian Li, Yanting Jiang, Muhammad Khan, Bai Xue, Xiaoqi Zhao, Binlong Fu, Weijuan Li, Baiji Danzeng, Xiaojun Ni, Qingyong Shao and Yina Ouyang
Foods 2024, 13(14), 2271; https://doi.org/10.3390/foods13142271 - 18 Jul 2024
Cited by 5 | Viewed by 2210
Abstract
This study aimed to evaluate the impact of dietary energy and protein levels on the meat quality and metabolomic profile of Yunshang black goats. For this, 80 Yunshang black goats (male, 6 months old, with a mean live body weight of 35.82 ± [...] Read more.
This study aimed to evaluate the impact of dietary energy and protein levels on the meat quality and metabolomic profile of Yunshang black goats. For this, 80 Yunshang black goats (male, 6 months old, with a mean live body weight of 35.82 ± 2.79 kg) were used in a completely randomized design with a 2 × 2 factorial dietary arrangement. The dietary treatments were (1) high energy (9.74 MJ/kg) with high protein (12.99%) (HEHP), (2) high energy (9.76 MJ/kg) with low protein (10.01%) (HELP), (3) low energy (8.18 MJ/kg) with high protein (13.04%) (LEHP), and (4) low energy (8.14 MJ/kg) with low protein (10.05%) (LELP). The experiment lasted 64 days, including 14 days for dietary adaptation and a 50-day feeding trial. At the end of the experiment, four animals from each treatment were slaughtered to assess their meat quality and metabolomic profiles. The pH value was greater for the goats fed the LELP diet compared with the other treatments. The LEHP-fed group’s meat was brighter (L*) than that of the other three groups. The HEHP-fed group had considerably more tender meat (p < 0.05) compared with the LEHP-fed group. Moreover, 72 and 183 differentiated metabolites were detected in the longissimus muscle samples by using gas chromatography–mass spectrometry and liquid chromatography–tandem mass spectrometry, respectively. The hydropathy and volatilities of raw meat were different (p < 0.05), suggesting changes in the meat flavor because of the dietary treatments. Based on the results, it can be concluded that feeding a high-energy- and high-protein-containing diet improved the tenderness, flavor, and fatty acid contents of mutton. Full article
Show Figures

Figure 1

14 pages, 604 KB  
Article
Assessment of Novel Protein Ingredient Arthrospira platensis and Soybean Genotype Amino Acid and Oil Selection Improvements on Broiler Performance for a 28–42 d Feeding Period
by Savannah C. Wells-Crafton, Kenneth B. Nelson, Garrett J. Mullenix, Craig W. Maynard and Michael T. Kidd
Poultry 2024, 3(3), 210-223; https://doi.org/10.3390/poultry3030017 - 9 Jul 2024
Viewed by 2034
Abstract
Two experiments were conducted to assess the efficiency of including the novel protein ingredient Arthrospira platensis or improved soybean meal in a broiler diet. The first experiment aimed to determine the feeding value of soybean meal produced from varieties of soybeans bred for [...] Read more.
Two experiments were conducted to assess the efficiency of including the novel protein ingredient Arthrospira platensis or improved soybean meal in a broiler diet. The first experiment aimed to determine the feeding value of soybean meal produced from varieties of soybeans bred for increased amino acid content (SBAA) and improved oil content (SBO) compared to a conventional soybean variety in an ANOVA design fed to Cobb 500 female broilers for 28–42 d. The SBAA and SBO soybeans contained overall higher amino acid content and lower oligosaccharide content compared to the conventional soybean variety in addition to improved oil quality. The second experiment assessed the novel protein ingredient microalgae, Arthrospira platensis (algae), and was conducted to evaluate algae and corn distillers’ grain (DDGS) inclusion on broiler performance for a 28–42 d feeding period in Cobb CF05 male broilers with a 2 × 2 factorial treatment array. Prior to the experimental period, all birds were reared on common feeds. In Experiment 1, birds were fed a diet containing 20% inclusion of an experimental soybean source in the form of full-fat soybean meal. In Experiment 2, the four dietary treatments consisted of diets containing algae at inclusion levels of either 0 or 2% and DDGS at inclusion levels of 0% and 8%. Diets were fed to 288 female broilers (Experiment 1) and 384 male broilers (Experiment 2), placed in eight replicate pens of twelve birds, and live performance was assessed from d 28 to 42. At d 42, six birds from each pen were randomly selected and processed for evaluation of carcass traits and incidence of woody breast. For Experiment 1, all performance data were analyzed using a one-way ANOVA using JMP Pro 16 software with diet as the fixed effect and block as a random effect. Statistical significance was considered at p ≤ 0.05. No significant responses were observed for any recorded measurement for live performance, carcass traits, or woody breast. All data in Experiment 2 were analyzed as a full factorial with a mixed model using JMP software with algae, DDGS, and algae × DDGS as fixed effects and block as a random effect. The F-protected Fisher’s LSD test was used to separate means when p ≤ 0.05. No significant responses were observed for the algae, DDGS, and algae × DDGS influences on BWG, FI, and FCR or processing characteristics; the ingredient source did not affect bird performance. Experimental soybean lines developed at the University of Arkansas were able to be incorporated into broiler diets without decreasing performance. Algae has the potential to be a protein-contributing ingredient for broilers. Full article
Show Figures

Figure 1

19 pages, 1454 KB  
Article
Effects of Dietary Fiber Level and Forage Particle Size on Growth, Nutrient Digestion, Ruminal Fermentation, and Behavior of Weaned Holstein Calves under Heat Stress
by Mohammad-Hossein Izadbakhsh, Farzad Hashemzadeh, Masoud Alikhani, Gholam-Reza Ghorbani, Mohammad Khorvash, Mostafa Heidari, Morteza Hosseini Ghaffari and Farhad Ahmadi
Animals 2024, 14(2), 275; https://doi.org/10.3390/ani14020275 - 16 Jan 2024
Cited by 5 | Viewed by 5650
Abstract
This experiment was designed to investigate the effects of feeding diets with different fiber content and forage particle size on the performance, health, nutrient digestion, rumen fermentation, and behavioral and sorting activity of Holstein dairy calves kept under elevated environmental temperature. Sixty weaned [...] Read more.
This experiment was designed to investigate the effects of feeding diets with different fiber content and forage particle size on the performance, health, nutrient digestion, rumen fermentation, and behavioral and sorting activity of Holstein dairy calves kept under elevated environmental temperature. Sixty weaned Holstein female calves (age = 96.7 ± 7.62 days old; body weight = 82.4 ± 10.4 kg) were randomly assigned to one of 4 treatments arranged in a 2-by-2 factorial design in a 70-day experiment. Dietary forage content (moderate, 22.5%; or high, 40.0% on DM basis) and alfalfa hay particle size (short, 4.39 mm; or long, 7.22 mm as geometric mean) were the experimental factors, resulting in the following combinations: (1) high-fiber (HF) diets with forage-to-concentrate ratio of 40:60 and long particle-sized alfalfa hay (LPS; HF-LPS); (2) HF diets with short particle-sized alfalfa hay (SPS; HF-SPS); (3) moderate-fiber (MF) diets with forage-to-concentrate ratio of 22.5:77.5 with LPS (MF-LPS); and (4) MF diets with SPS (MF-SPS). The temperature–humidity index averaged 73.0 ± 1.86, indicating that weaned calves experienced a moderate extent of heat stress. Fiber level and AH particle size interacted and affected dry matter intake, with the greatest intake (4.83 kg/d) observed in MF-SPS-fed calves. Final body weight was greater in calves receiving MF vs. HF diets (164 vs. 152 kg; p < 0.01). Respiration rate decreased when SPS vs. LPS AH was included in HF but not MF diet. Lower rectal temperature was recorded in calves fed MF vs. HF diet. Digestibility of dry matter and crude protein was greater in calves fed MF than HF diets, resulting in lower ruminal pH (6.12 vs. 6.30; p = 0.03). Fiber digestibility was greater in calves fed SPS compared with those fed LPS alfalfa hay. Feeding HF compared with MF diet increased acetate but lowered propionate molar proportions. The inclusion of SPS vs. LPS alfalfa hay decreased lying time in HF diet (920 vs. 861 min; p < 0.01). Calves fed MF vs. HF diets spent less time eating but more time lying, which is likely indicative of better animal comfort. Dietary fiber level and forage particle size interacted and affected sorting against 19 mm particles, the extent of which was greater in HF-SPS diet. Overall, dietary fiber level had a stronger effect than forage particle size on the performance of weaned calves exposed to a moderate degree of heat stress as feeding MF vs. HF diet resulted in greater feed intake, final body weight, structural growth measures, nutrient digestion, as well as longer lying behavior. The inclusion of SPS alfalfa hay in MF diets increased feed consumption. Full article
(This article belongs to the Special Issue Calf Nutrition and Management)
Show Figures

Figure 1

16 pages, 4352 KB  
Article
Effects of the Oat Hay Feeding Method and Compound Probiotic Supplementation on the Growth, Antioxidant Capacity, Immunity, and Rumen Bacteria Community of Dairy Calves
by Yong-Qing Guo, Ya-Ru Hu, Su-Ran Liu, Meng Wang, Zhen-Yu Xian, De-Wu Liu, Bao-Li Sun, Yao-Kun Li, Guang-Bin Liu, Ming Deng, Wen-Feng Hu and Qing-Shen Liu
Antioxidants 2023, 12(10), 1851; https://doi.org/10.3390/antiox12101851 - 12 Oct 2023
Cited by 11 | Viewed by 2384
Abstract
This study aimed to investigate the effects of the oat hay feeding method and compound probiotics (CMP) on the growth, health, serum antioxidant and immune indicators, rumen fermentation, and bacteria community of dairy calves from 3 to 5 months of age. Forty-eight female [...] Read more.
This study aimed to investigate the effects of the oat hay feeding method and compound probiotics (CMP) on the growth, health, serum antioxidant and immune indicators, rumen fermentation, and bacteria community of dairy calves from 3 to 5 months of age. Forty-eight female Holstein calves (80 ± 7 days of age, 93.71 ± 5.33 kg BW) were selected and randomly divided into four groups. A 2 × 2 factorial design was adopted for the experiment, with the factors of the oat hay feeding method (fed as free-choice or 16.7% in the diet) and compound probiotics (CMP) inclusion (0.15% or 0%) in the pelleted starter. The results showed that, compared with giving oat hay as free-choice, feeding a diet of 16.7% oat hay increased the pelleted starter intake at 1–84 d (p < 0.05), with an average daily gain (ADG) at 61–84 d (p = 0.02); adding CMP to the pelleted starter did not significantly affect body weight, and reduced the fecal index (p < 0.05). Feeding 16.7% oat hay increased the concentration of IgA, IgG, and IgM (p < 0.01), while adding CMP increased the catalase (p < 0.01) and decreased the concentration of malondialdehyde (p < 0.01) in serum. Feeding 16.7% oat hay increased the ruminal concentration of propionic acid (p < 0.05) and isobutyric acid (p = 0.08), and decreased the ruminal pH (p = 0.08), the concentration of acetic acid (p < 0.05), and the ratio of acetic acid to propionic acid (p < 0.01). Feeding 16.7% oat hay reduced the relative abundance of ruminal Firmicutes, Unidentified-Bacteria, Actinobacteria, Prevotella, NK4A214-group, Olsenella, and Actinobacteriota (p < 0.05); adding CMP increased the relative abundance of ruminal Prevotella, Rikenellaceae-RC9-gut-group, Ruminococcus, NK4A214-group, and Ruminococcus (p < 0.05), and decreased the abundance of Desulfobacterora, Prevotella-7, and Erysipelotricaceae-UCG-002 (p < 0.05). In conclusion, feeding a diet of 16.7% oat hay increased the pelleted starter intake and average daily gain, while slightly reducing the ruminal pH values; adding CMP to the pelleted starter resulted in reduced diarrhea incidence, increased serum antioxidant capacity and immunity, as well as ruminal richness and diversity of microorganisms in dairy calves from 3 to 5 months of age. Full article
(This article belongs to the Section Health Outcomes of Antioxidants and Oxidative Stress)
Show Figures

Figure 1

15 pages, 666 KB  
Article
Interactive Effect of Dietary Gamma-Aminobutyric Acid (GABA) and Water Temperature on Growth Performance, Blood Plasma Indices, Heat Shock Proteins and GABAergic Gene Expression in Juvenile Olive Flounder Paralichthys olivaceus
by Seunghan Lee, Mohammad Moniruzzaman, Nathaniel Farris, Taesun Min and Sungchul C. Bai
Metabolites 2023, 13(5), 619; https://doi.org/10.3390/metabo13050619 - 30 Apr 2023
Cited by 20 | Viewed by 6487
Abstract
Gamma-aminobutyric acid (GABA) is an important inhibitory neurotransmitter in the central nervous system of living organisms and has the ability to reduce the magnitude of stress in humans and animals. In this study, we evaluated the supplemental effects of GABA on normal and [...] Read more.
Gamma-aminobutyric acid (GABA) is an important inhibitory neurotransmitter in the central nervous system of living organisms and has the ability to reduce the magnitude of stress in humans and animals. In this study, we evaluated the supplemental effects of GABA on normal and high water temperature based on growth, blood plasma composition as well as heat shock proteins and GABA-related gene expression in juvenile olive flounder. For this, a 2 × 2 factorial design of experiment was employed to investigate the dietary effects of GABA at 0 mg/kg of diet (GABA0 diet) and 200 mg/kg of diet (GABA200 diet) in water temperatures of 20 ± 1 °C (normal temperature) and 27 ± 1 °C (high temperature) for 28 days. A total of 180 fish with an average initial weight of 40.1 ± 0.4 g (mean ± SD) were distributed into 12 tanks, of which, each tank contained 15 fish based on the 4 dietary treatment groups in triplicate. At the end of the feeding trial, the results demonstrated that both temperature and GABA had significant effects on the growth performance of the fish. However, fish fed the GABA200 diet had a significantly higher final body weight, weight gain and specific growth rate as well as a significantly lower feed conversion ratio than the fish fed the GABA0 diet at the high water temperature. A significant interactive effect of water temperature and GABA was observed on the growth performance of olive flounder based on the two-way analysis of variance. The plasma GABA levels in fish were increased in a dose-dependent manner at normal or high water temperatures, whereas cortisol and glucose levels were decreased in fish fed GABA-supplemented diets under temperature stress. The GABA-related mRNA expression in the brains of the fish such as GABA type A receptor-associated protein (Gabarap), GABA type B receptor 1 (Gabbr1) and glutamate decarboxylase 1 (Gad1) were not significantly affected by GABA-supplemented diets under normal or temperature stressed conditions. On the other hand, the mRNA expression of heat shock proteins (hsp) in the livers of the fish, such as hsp70 and hsp90, were unchanged in fish fed the GABA diets compared to the control diet at the high water temperature. Collectively, the present study showed that dietary supplementation with GABA could enhance growth performance, and improve the feed utilization, plasma biochemical parameters and heat shock proteins and GABA-related gene expression under the stress of high water temperatures in juvenile olive flounder. Full article
Show Figures

Figure 1

28 pages, 7377 KB  
Article
Basal Diet Fed to Recipient Mice Was the Driving Factor for Colitis and Colon Tumorigenesis, despite Fecal Microbiota Transfer from Mice with Severe or Mild Disease
by Daphne M. Rodriguez, Korry J. Hintze, Giovanni Rompato, Eliza C. Stewart, Abbey H. Barton, Emily Mortensen-Curtis, Porter A. Green, Arnaud J. Van Wettere, Aaron J. Thomas and Abby D. Benninghoff
Nutrients 2023, 15(6), 1338; https://doi.org/10.3390/nu15061338 - 9 Mar 2023
Cited by 3 | Viewed by 3318
Abstract
Consumption of the total Western diet (TWD) in mice has been shown to increase gut inflammation, promote colon tumorigenesis, and alter fecal microbiome composition when compared to mice fed a healthy diet, i.e., AIN93G (AIN). However, it is unclear whether the gut microbiome [...] Read more.
Consumption of the total Western diet (TWD) in mice has been shown to increase gut inflammation, promote colon tumorigenesis, and alter fecal microbiome composition when compared to mice fed a healthy diet, i.e., AIN93G (AIN). However, it is unclear whether the gut microbiome contributes directly to colitis-associated CRC in this model. The objective of this study was to determine whether dynamic fecal microbiota transfer (FMT) from donor mice fed either the AIN basal diet or the TWD would alter colitis symptoms or colitis-associated CRC in recipient mice, which were fed either the AIN diet or the TWD, using a 2 × 2 factorial experiment design. Time-matched FMT from the donor mice fed the TWD did not significantly enhance symptoms of colitis, colon epithelial inflammation, mucosal injury, or colon tumor burden in the recipient mice fed the AIN diet. Conversely, FMT from the AIN-fed donors did not impart a protective effect on the recipient mice fed the TWD. Likewise, the composition of fecal microbiomes of the recipient mice was also affected to a much greater extent by the diet they consumed than by the source of FMT. In summary, FMT from the donor mice fed either basal diet with differing colitis or tumor outcomes did not shift colitis symptoms or colon tumorigenesis in the recipient mice, regardless of the basal diet they consumed. These observations suggest that the gut microbiome may not contribute directly to the development of disease in this animal model. Full article
(This article belongs to the Collection Connection between Microbiome, Lifestyle and Diet)
Show Figures

Figure 1

14 pages, 961 KB  
Article
Dietary Guanidine Acetic Acid Addition Improved Carcass Quality with Less Back-Fat Thickness and Remarkably Increased Meat Protein Deposition in Rapid-Growing Lambs Fed Different Forage Types
by Wen-Juan Li, Yao-Wen Jiang, Zhao-Yang Cui, Qi-Chao Wu, Fan Zhang, He-Wei Chen, Yan-Lu Wang, Wei-Kang Wang, Liang-Kang Lv, Feng-Liang Xiong, Ying-Yi Liu, Ailiyasi Aisikaer, Sheng-Li Li, Yu-Kun Bo and Hong-Jian Yang
Foods 2023, 12(3), 641; https://doi.org/10.3390/foods12030641 - 2 Feb 2023
Cited by 12 | Viewed by 3159
Abstract
The aim of this study was to investigate whether guanidine acetic acid (GAA) yields a response in rapid-growing lambs depending on forage type. In this study, seventy-two small-tailed Han lambs (initial body weights = 12 ± 1.6 kg) were used in a 120-d [...] Read more.
The aim of this study was to investigate whether guanidine acetic acid (GAA) yields a response in rapid-growing lambs depending on forage type. In this study, seventy-two small-tailed Han lambs (initial body weights = 12 ± 1.6 kg) were used in a 120-d feeding experiment after a 7-d adaptation period. A 2 × 3 factorial experimental feeding design was applied to the lambs, which were fed a total mixed ration with two forage types (OH: oaten hay; OHWS: oaten hay plus wheat silage) and three forms of additional GAA (GAA: 0 g/kg; UGAA: Uncoated GAA, 1 g/kg; CGAA: Coated GAA, 1 g/kg). The OH diet had a greater dry matter intake, average daily gain, and hot carcass weight than the OHWS diet. The GAA supplementation increased the final body weight, hot carcass weight, dressing percentage, and ribeye area in the longissimus lumborum. Meanwhile, it decreased backfat thickness and serum triglycerides. Dietary GAA decreased the acidity of the meat and elevated the water-holding capacity in mutton. In addition, the crude protein content in mutton increased with GAA addition. Dietary GAA (UGAA or CGAA) might be an effective additive in lamb fed by different forage types, as it has potential to improve growth performance and meat quality. Full article
(This article belongs to the Section Meat)
34 pages, 6595 KB  
Article
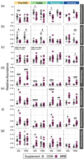
Dietary Supplementation with Black Raspberries Altered the Gut Microbiome Composition in a Mouse Model of Colitis-Associated Colorectal Cancer, although with Differing Effects for a Healthy versus a Western Basal Diet
by Daphne M. Rodriguez, Korry J. Hintze, Giovanni Rompato, Arnaud J. Van Wettere, Robert E. Ward, Sumira Phatak, Canyon Neal, Tess Armbrust, Eliza C. Stewart, Aaron J. Thomas and Abby D. Benninghoff
Nutrients 2022, 14(24), 5270; https://doi.org/10.3390/nu14245270 - 10 Dec 2022
Cited by 18 | Viewed by 4172
Abstract
Black raspberries (BRB) are rich in anthocyanins with purported anti-inflammatory properties. However, it is not known whether dietary supplementation would ameliorate Western-diet enhanced gut inflammation and colon tumorigenesis. We employed a mouse model of colitis-associated colorectal cancer (CAC) to determine the effects of [...] Read more.
Black raspberries (BRB) are rich in anthocyanins with purported anti-inflammatory properties. However, it is not known whether dietary supplementation would ameliorate Western-diet enhanced gut inflammation and colon tumorigenesis. We employed a mouse model of colitis-associated colorectal cancer (CAC) to determine the effects of dietary supplementation with 5 to 10% (w/w) whole, freeze-dried BRB in male C57BL/6J mice fed either a standard healthy diet (AIN93G) or the total Western diet (TWD). In a pilot study, BRB suppressed colitis and colon tumorigenesis while also shifting the composition of the fecal microbiome in favor of taxa with purported health benefits, including Bifidobacterium pseudolongum. In a follow-up experiment using a 2 × 2 factorial design with AIN and TWD basal diets with and without 10% (w/w) BRB, supplementation with BRB reduced tumor multiplicity and increased colon length, irrespective of the basal diet, but it did not apparently affect colitis symptoms, colon inflammation or mucosal injury based on histopathological findings. However, BRB intake increased alpha diversity, altered beta diversity and changed the relative abundance of Erysipelotrichaceae, Bifidobacteriaceae, Streptococcaceae, Rikenellaceae, Ruminococcaceae and Akkermansiaceae, among others, of the fecal microbiome. Notably, changes in microbiome profiles were inconsistent with respect to the basal diet consumed. Overall, these studies provide equivocal evidence for in vivo anti-inflammatory effects of BRB on colitis and colon tumorigenesis; yet, BRB supplementation led to dynamic changes in the fecal microbiome composition over the course of disease development. Full article
(This article belongs to the Section Phytochemicals and Human Health)
Show Figures

Figure 1

9 pages, 261 KB  
Article
Dietary Se-Enriched Cardamine enshiensis Supplementation Alleviates Transport-Stress-Induced Body Weight Loss, Anti-Oxidative Capacity and Meat Quality Impairments of Broilers
by Xiao Xu, Yunfen Zhu, Yu Wei, Xiaofei Chen, Rong Li, Junhui Xie, Guogui Wang, Jiajia Ming, Hongqing Yin, Jiqian Xiang, Feiruo Huang and Yongkang Yang
Animals 2022, 12(22), 3193; https://doi.org/10.3390/ani12223193 - 18 Nov 2022
Cited by 5 | Viewed by 2305
Abstract
The aim of this experiment was to explore the effects of a new selenium (Se) source from Se-enriched Cardamine enshiensis (SeCe) on body weight loss, anti-oxidative capacity and meat quality of broilers under transport stress. A total of 240 one-day-old ROSS 308 broilers [...] Read more.
The aim of this experiment was to explore the effects of a new selenium (Se) source from Se-enriched Cardamine enshiensis (SeCe) on body weight loss, anti-oxidative capacity and meat quality of broilers under transport stress. A total of 240 one-day-old ROSS 308 broilers were allotted into four treatments with six replicate cages and 10 birds per cage using a 2 × 2 factorial design. The four groups were as follows: (1) Na2SeO3-NTS group, dietary 0.3 mg/kg Se from Na2SeO3 without transport stress, (2) SeCe-NTS group, dietary 0.3 mg/kg Se from SeCe without transport stress, (3) Na2SeO3-TS group, dietary 0.3 mg/kg Se from Na2SeO3 with transport stress, and (4) SeCe-TS group, dietary 0.3 mg/kg Se from SeCe with transport stress. After a 42 d feeding period, the broilers were transported by a lorry or kept in the original cages for 3 h, respectively. The results showed that dietary SeCe supplementation alleviated transport-stress-induced body weight loss and hepatomegaly of the broilers compared with the broilers fed Na2SeO3 diets (p < 0.05). Furthermore, dietary SeCe supplementation increased the concentrations of plasma total protein and glucose, and decreased the activities of aspartate aminotransferase and alanine aminotransferase of the broilers under transport stress (p < 0.05). Dietary SeCe supplementation also enhanced the anti-oxidative capacity and meat quality in the breast and thigh muscles of the broilers under transport stress (p < 0.05). In summary, compared with Na2SeO3, dietary SeCe supplementation alleviates transport-stress-induced body weight loss, anti-oxidative capacity and meat quality impairments of broilers. Full article
16 pages, 314 KB  
Article
Effects of Using Processed Amaranth Grain with and without Enzyme on Performance, Egg Quality, Antioxidant Status and Lipid Profile of Blood and Yolk Cholesterol in Laying Hens
by Babak Hosseintabar-Ghasemabad, Hossein Janmohammadi, Ali Hosseinkhani, Saeid Amirdahri, Payam Baghban-Kanani, Ivan Fedorovich Gorlov, Marina Ivanovna Slozhenkina, Alexander Anatolyevich Mosolov, Lourdes Suarez Ramirez and Alireza Seidavi
Animals 2022, 12(22), 3123; https://doi.org/10.3390/ani12223123 - 12 Nov 2022
Cited by 14 | Viewed by 3203
Abstract
The objective of this study was to investigate the effects of feeding Amaranthus hybridus chlorostachys grain (AG) with (+E) and without enzyme (−E) on performance, egg quality, antioxidant status and lipid profile of blood serum and yolk cholesterol in laying hens. A total [...] Read more.
The objective of this study was to investigate the effects of feeding Amaranthus hybridus chlorostachys grain (AG) with (+E) and without enzyme (−E) on performance, egg quality, antioxidant status and lipid profile of blood serum and yolk cholesterol in laying hens. A total of 960 white leghorn (Hy-line W-36) commercial layers (56 weeks) were divided into 10 groups with 8 replicates per group (12 birds per replicate, including 3 adjacent cages with 4 birds each). A completely randomized design was implemented with a 5 × 2 factorial arrangement of treatments consisting of five levels of AG (0, 100, 200, 300 and 400 g/kg) and two levels of multienzyme complex addition (0 −E and 0.25 +E g/kg) fed to the hens for 12 weeks (2 wk. adaptation + 10 wk. main experiment). Feed intake (FI) and percentage of hen day production (HDP) were not affected by main effect of the AG level, but egg mass (EM) and egg weight (EW) were decreased (p < 0.01), and the feed conversion ratio (FCR) was impaired (p < 0.01). EM, EW and FCR were improved by enzyme addition (p < 0.01). EM, EW and FCR were affected (p < 0.01) by the interaction of AG and enzyme addition. The highest value of EM and the lowest value of FCR were observed in hens on the diet containing 200 g/kg AG with enzyme addition. Egg yolk cholesterol content was reduced (p < 0.05) by up to 10% with increasing levels AG in experimental diets. The egg quality traits, including Haugh units of protein quality, strength and shell thickness, were not affected by the main effects or interaction of AG and enzyme consumption. Amaranth feeding led to a decrease (p < 0.05) in triglyceride (TG) and low-density lipoprotein (LDL) while also promoting increases (p < 0.05) in the high-density lipoprotein (HDL) and total antioxidant capacity (TAC) of the blood. A comparison of the effects of contrasts showed that functional parameters (except FI), yolk cholesterol, antioxidant parameters (except MDA) and blood lipid profile had differed significantly (p < 0.05) between the hens fed amaranth versus those not fed amaranth. These findings indicate that feeding a diet containing up to 200 g/kg of AG with enzyme addition can improve EW, EM and FCR. Feeding laying hens diets containing AG also positively influenced blood traits and antioxidant status in laying hens while reducing egg yolk cholesterol content. Full article
(This article belongs to the Section Poultry)
12 pages, 284 KB  
Article
The Energy Value for Broiler Chickens of Heat-Treated and Untreated Amaranth Grain, with and without Enzyme Addition
by Hossein Janmohammadi, Babak Hosseintabar-Ghasemabad, Saeid Amirdahri, Ivan Fedorovich Gorlov, Karpenko Ekaterina Vladimirovna, Marina Ivanovna Slozhenkina, Rana Muhammad Bilal, Alireza Seidavi and Clive Julian Christie Phillips
Agriculture 2022, 12(11), 1810; https://doi.org/10.3390/agriculture12111810 - 31 Oct 2022
Cited by 10 | Viewed by 2752
Abstract
Amaranth is a pseudocereal which can thrive in conditions of drought and limited inputs. Samples of amaranth grain were subjected to proximate analysis with standard laboratory methods. We conducted two experiments to determine apparent (corrected to zero nitrogen balance) metabolisable energy (AMEn [...] Read more.
Amaranth is a pseudocereal which can thrive in conditions of drought and limited inputs. Samples of amaranth grain were subjected to proximate analysis with standard laboratory methods. We conducted two experiments to determine apparent (corrected to zero nitrogen balance) metabolisable energy (AMEn) content of untreated (UAG) and heat-treated (HTAG) amaranth grain for Ross-308 male broiler chicks (35–42 d and BW 2141 ± 10.41 g). In each experiment, 10 assay diets (ADs) were fed to 400 birds in individual metabolism cages in a 2 × 5 factorial design. ADs were obtained by substituting amaranth for the main ingredients in the reference diet (RD). Two levels of enzyme addition (0 and 0.55 g/kg) and five amaranth replacement rates (0, 150, 300, 450 and 600 g/kg) were used, and metabolism trials were conducted using the total excreta collection method. Two regression equations were estimated for UAG, with and without enzyme addition, that determined the AMEn content of UAG as 3264 and 3255 kcal/kg, respectively. For HTAG, the AMEn contents with and without enzyme addition were 3973 and 3828 kcal/kg, respectively. Thus, enzyme addition improved the energy value of UAG and HTAG by 0.28 and 3.8%, respectively. The AMEn value of HTAG was 708 and 573 kcal/kg higher than UAG in diets with and without enzyme addition, respectively. Thus, we conclude that there was more benefit from heat treatment than enzyme addition, but there was a synergistic effect of heat treatment and enzyme inclusion on the metabolisable energy concentration of amaranth in the diets of broilers. Full article
(This article belongs to the Special Issue New and Alternative Feeds, Additives, and Supplements)
Back to TopTop