Sign in to use this feature.

Years

Between: -

Subjects

remove_circle_outline
remove_circle_outline
remove_circle_outline
remove_circle_outline
remove_circle_outline
remove_circle_outline
remove_circle_outline

Journals

Article Types

Countries / Regions

remove_circle_outline
remove_circle_outline
remove_circle_outline
remove_circle_outline

Search Results (192)

Search Parameters:
Keywords = ezetimibe

Order results
Result details
Results per page
Select all
Export citation of selected articles as:
22 pages, 332 KB  
Article
Assessment of CoQ10 Dietary Intake in a Mediterranean Cohort of Familial Hypercholesterolemia Patients: A Pilot Study
by Teresa Sanclemente, Alicia Carazo, Tania Silvestre-Muñoz, Julio Montoya, Eduardo Ruiz-Pesini, José Puzo and David Pacheu-Grau
Nutrients 2025, 17(22), 3512; https://doi.org/10.3390/nu17223512 - 10 Nov 2025
Viewed by 372
Abstract
Background/Objectives: Coenzyme Q 10 is a lipid molecule that works as a mobile electron transporter in the mitochondrial respiratory chain and, in addition, plays the role of an antioxidant. Interestingly, CoQ10 synthesis in human cells derives from the mevalonate pathway, the same metabolic [...] Read more.
Background/Objectives: Coenzyme Q 10 is a lipid molecule that works as a mobile electron transporter in the mitochondrial respiratory chain and, in addition, plays the role of an antioxidant. Interestingly, CoQ10 synthesis in human cells derives from the mevalonate pathway, the same metabolic route that delivers endogenous cholesterol. Mutations leading to Familial Hypercholesterolemia (FH) alter the levels of CoQ10 production and remarkably, statin therapy associated muscular symptoms (SAMSs) might also be modulated by CoQ10 supplementation. CoQ10 is also provided by diet and only a few studies have calculated the dietary intake of this metabolite among populations. Methods: Here, we present our Spanish FH cohort (n = 261) and characterized relevant clinical, metabolic, and anthropometric parameters. Results: A cohort of 75.1% followed lipid-lowering treatment at inclusion, being the most prescribed drugs statin alone (32.7%) and statins combined with ezetimibe (56.6%). The average time on statin treatment was 3.7 years. Interestingly, 22% of cohort patients presented with SAMS. In addition, we performed an exhaustive literature review to define for the first time the CoQ10 content present in food typically found in Spain or other southern-European countries and classified them from very rich (over 50 mg/kg) to very poor (<1 mg/kg). With this information, we calculated the daily intake of CoQ10 from a small group (12) of selected FH patients using a validated food-frequency questionnaire (FFQ) and determined a daily intake 9.72 ± 2.64 mg/day, different to other described populations. Conclusions: we discussed the relevance of exogenous CoQ10 for FH development and potential SAMS. Interestingly, this information can be extrapolated to define the regular CoQ10 intake of the Spanish population, especially when following the MedDiet. Full article
(This article belongs to the Special Issue Healthy Diets for Vascular Disease Prevention)
12 pages, 1230 KB  
Article
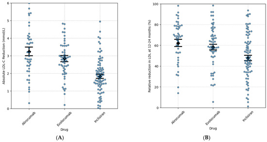
Relative Efficacy of Alirocumab, Evolocumab, Inclisiran, and Bempedoic Acid on Lipids in Patients with Cardiovascular Disease or Familial Hypercholesterolaemia
by Sophia Khattak, Antonio Ochoa-Ferraro, Nazish Khan, Sudhakar George, Sohail Q. Khan, Jonathan N. Townend, Charlotte Dawson and Mark R. Thomas
J. Clin. Med. 2025, 14(22), 7946; https://doi.org/10.3390/jcm14227946 - 10 Nov 2025
Viewed by 416
Abstract
Background: Lowering lipid levels after an acute coronary syndrome is critical for preventing recurrent adverse cardiovascular events. Multiple medications are now available, but there is limited evidence comparing how frequently they lead to the achievement of guideline-recommended lipid targets. Methods and Results: This [...] Read more.
Background: Lowering lipid levels after an acute coronary syndrome is critical for preventing recurrent adverse cardiovascular events. Multiple medications are now available, but there is limited evidence comparing how frequently they lead to the achievement of guideline-recommended lipid targets. Methods and Results: This observational study evaluated the impact of novel lipid-lowering therapies (alirocumab, evolocumab, inclisiran, and bempedoic acid) in patients with a history of atherosclerotic cardiovascular disease or familial hypercholesterolaemia treated with maximum-tolerated doses of high-intensity statin therapy with or without ezetimibe. Our primary assessment was the achievement of LDL-C below 1.4 mmol/L as per the European Society of Cardiology guidelines. The study comprised of 256 patients. Reduction in LDL-C was greatest with alirocumab and evolocumab, achieving a reduction of 62% (95% confidence interval [CI], 51 to 93; p < 0.001) and 58% (95% CI, 47 to 88; p < 0.001) after 12 months, respectively. This was followed by inclisiran with a reduction of 47% (95% CI, 37 to 78; p < 0.001) and bempedoic acid with a reduction of 36% (95% CI, 22 to 69; p < 0.001). Patients treated with alirocumab and evolocumab started from a higher baseline LDL-C than inclisiran, due to the higher LDL threshold required for initiation of alirocumab and evolocumab in the UK. Despite this, inclisiran, evolocumab, and alirocumab were all associated with similar proportions of patients achieving LDL targets: 35%, 42%, and 37% of patients achieved a guideline-recommended LDL-C target of <1.4 mmol/L. Patients with a baseline LDL-C > 4 mmol/L were more likely to reach the ESC target when treated with alirocumab or evolocumab compared to inclisiran, with results of 33.3% vs. 24.1% (p = 0.016) and 35.7% vs. 24.1% (p = 0.05). Conclusions: Alirocumab and evolocumab were associated with the greatest reductions in LDL-C, followed by inclisiran and bempedoic acid. Overall, alirocumab, evolocumab, and inclisiran led to approximately 40% of patients reaching ESC targets for LDL-C. In patients with a baseline LDL-C > 4 mmol/L, significantly more patients achieved LDL-C targets when treated with alirocumab or evolocumab compared to inclisiran. Strength and limitations: This was the first study to comprehensively compare the efficacy of novel lipid-lowering therapies in achieving guideline-recommended LDL targets within a high-risk cardiovascular population. The sample size was relatively small, especially for patients treated with bempedoic acid. Full article
(This article belongs to the Section Vascular Medicine)
Show Figures

Figure 1

17 pages, 647 KB  
Article
Residual Platelet Reactivity and Dyslipidemia in Post-CABG Patients Undergoing Repeat Revascularization: Insights from Kazakhstan
by Aisulu Mussagaliyeva, Sholpan Zhangelova, Laura Danyarova, Friba Nurmukhammad, Dina Kapsultanova, Orazbek Sakhov, Farida Rustamova, Akhmetzhan Sugraliyev and Dana Akhmentayeva
Diseases 2025, 13(11), 365; https://doi.org/10.3390/diseases13110365 - 9 Nov 2025
Viewed by 129
Abstract
Background: Coronary artery bypass grafting (CABG) remains a standard revascularization strategy for patients with advanced coronary artery disease (CAD). However, a considerable proportion of patients experience recurrent ischemia requiring repeat revascularization. Residual platelet reactivity (RPR) and dyslipidemia are recognized as key factors contributing [...] Read more.
Background: Coronary artery bypass grafting (CABG) remains a standard revascularization strategy for patients with advanced coronary artery disease (CAD). However, a considerable proportion of patients experience recurrent ischemia requiring repeat revascularization. Residual platelet reactivity (RPR) and dyslipidemia are recognized as key factors contributing to graft failure and disease progression. Methods: This observational study was conducted at a tertiary cardiology center in Kazakhstan. A total of 195 post-CABG patients who underwent repeat coronary angiography between 2023 and 2024 recruitment period for recurrent ischemic symptoms within 6–36 months after surgery were included. Clinical characteristics, comorbidities, lipid profiles, and antiplatelet response were analyzed. RPR was measured using the VerifyNow P2Y12 assay when available. Dyslipidemia was defined according to the 2019 and 2021 European guidelines. Results: Elevated RPR was identified in 45% of patients (n = 90) despite dual antiplatelet therapy (p < 0.01). Poor lipid control was frequent among those who underwent repeat percutaneous coronary intervention (PCI), particularly elevated levels of low-density lipoprotein cholesterol (LDL-C) and total cholesterol (p < 0.05). Both elevated RPR and dyslipidemia were independently associated with native coronary disease progression and graft failure (RPR: OR = 2.8; 95% CI 1.4–5.6; p = 0.003; dyslipidemia: OR = 2.2; 95% CI 1.1–4.3; p = 0.02). The use of ezetimibe was independently associated with a significantly lower risk of repeat stenting (OR = 0.12; 95% CI 0.02–0.75; p = 0.023). Smokers were younger, had lower blood pressure, and less frequently presented with diabetes or chronic kidney disease, demonstrating a pattern consistent with the “smoker’s paradox.” Conclusions: Residual platelet reactivity and dyslipidemia are common and clinically relevant predictors of repeat revascularization after CABG. Optimization of antiplatelet and lipid-lowering therapy should be prioritized in secondary prevention for this high-risk population. These findings are particularly important in Kazakhstan, where post-CABG management strategies warrant further improvement. Full article
(This article belongs to the Section Cardiology)
Show Figures

Graphical abstract

23 pages, 1085 KB  
Review
Research Status and Latest Progress in the Regulatory Mechanisms of ABCA1
by Xingtong Chen, Yunyue Zhou, Jinbiao Yang, Shuang Xue, Qiao Wang, Xuan Guo, Yukun Zhang and Wenying Niu
Int. J. Mol. Sci. 2025, 26(22), 10855; https://doi.org/10.3390/ijms262210855 - 8 Nov 2025
Viewed by 219
Abstract
Cholesterol is an essential lipid in the human body, involved in critical physiological processes such as cell membrane composition and hormone synthesis. The homeostasis of cholesterol is vital for the normal functioning of the organism. Reverse Cholesterol Transport (RCT) is a core mechanism [...] Read more.
Cholesterol is an essential lipid in the human body, involved in critical physiological processes such as cell membrane composition and hormone synthesis. The homeostasis of cholesterol is vital for the normal functioning of the organism. Reverse Cholesterol Transport (RCT) is a core mechanism maintaining this balance, and ABCA1, as a key membrane transporter, plays a decisive role in RCT by mediating cholesterol efflux to HDL precursors, thereby promoting the initial formation of HDL. The regulatory mechanism of ABCA1 is extremely complex, with its regulation mainly occurring through two dimensions: transcriptional expression and post-translational modification. Currently, clinical drugs for regulating cholesterol are dominated by statins, supplemented by ezetimibe, PCSK9 inhibitors, and others. However, these drugs have certain limitations, and research on ABCA1-targeted drugs is relatively scarce. Therefore, summarizing the research progress on the regulatory mechanism of ABCA1 is expected to provide important insights for the development of new therapies to maintain cholesterol homeostasis. Full article
(This article belongs to the Section Molecular Biology)
Show Figures

Figure 1

18 pages, 23959 KB  
Article
Cocrystallization of Ezetimibe with Organic Acids: Stoichiometric Optimization for Improved Solubility and Bioavailability
by Ravi Maharjan, Ha Eun Park, Ki Hyun Kim, Mansingh Chaudhary, Ki-Taek Kim, Minji Kim, Hea-Young Cho and Seong Hoon Jeong
Pharmaceutics 2025, 17(11), 1399; https://doi.org/10.3390/pharmaceutics17111399 - 29 Oct 2025
Viewed by 522
Abstract
Background/Objectives: Pharmaceutical cocrystallization offers a promising strategy to enhance drug properties while preserving molecular integrity. Ezetimibe, a BCS Class II hypolipidemic agent, faces therapeutic limitations due to poor aqueous solubility. This study aimed to systematically evaluate cocrystallization of ezetimibe with organic acid (benzoic, [...] Read more.
Background/Objectives: Pharmaceutical cocrystallization offers a promising strategy to enhance drug properties while preserving molecular integrity. Ezetimibe, a BCS Class II hypolipidemic agent, faces therapeutic limitations due to poor aqueous solubility. This study aimed to systematically evaluate cocrystallization of ezetimibe with organic acid (benzoic, tartaric, or succinic acid) at varying stoichiometric ratios (1:0.5–1:2) to optimize physicochemical properties and oral bioavailability. Methods: Cocrystals were prepared via solvent evaporation (SEV) and solvent/anti-solvent (SAS) methods. Structural characterization included Fourier-transform infrared spectroscopy (FTIR), differential scanning calorimetry (DSC), and powder/single-crystal X-ray diffraction (PXRD/SCXRD). Physicochemical performance was assessed through saturation solubility, in vitro dissolution, and in vivo pharmacokinetics in male Sprague Dawley rats (n = 4/group). Results: Benzoic acid cocrystals (1:2 ratio, SEV) showed O−H⋯N hydrogen bonding (FTIR band shifts: 2928 → 3264 cm−1) and novel crystalline phases (12.4°, 16.7°, and 24.9°). SCXRD confirmed monoclinic P21/n symmetry (a = 5.42 Å, b = 5.05 Å) for benzoic acid cocrystals. Ezetimibe/benzoic acid cocrystals (1:2) achieved 64-fold solubility enhancement and 2× faster dissolution vs. pure ezetimibe. Pharmacokinetics revealed 3× higher Cmax (18.38 ng/mL) and 4× greater AUC (40.36 h·ng/mL) for optimized cocrystals. Tartaric and succinic acid cocrystals showed moderate improvements, with melting points intermediate between parent compounds. Conclusions: Both stoichiometry and preparation method strongly determined cocrystal performance. Benzoic acid at a 1:2 ratio via SEV demonstrated superior solubility, dissolution, and bioavailability, addressing ezetimibe’s formulation challenges. These findings underscore the potential of rational cocrystal design to overcome solubility barriers in oral dosage development, particularly for hydrophobic therapeutics. Full article
Show Figures

Figure 1

19 pages, 2798 KB  
Article
Medical and Financial Consequences of Using PCSK9 Inhibitors for Managing Hypercholesterolemia in Saudi Arabia: A Historical Cohort Study
by Yazed AlRuthia, Khlood Khaled Almutairi, Norah Abdulaziz Aljammaz, Aseel Alsuwayegh, Miteb A. Alanazi, Rasha Fahad AlSulaiman, Tareq Majed Alfaori and Numan Alabdan
Healthcare 2025, 13(19), 2428; https://doi.org/10.3390/healthcare13192428 - 25 Sep 2025
Viewed by 1017
Abstract
Background: Managing hypercholesterolemia is essential for reducing health risks and costs. Proprotein Convertase Subtilisin/Kexin type 9 (PCSK9) inhibitors are recommended for patients with high low-density lipoprotein cholesterol (LDL-C) levels at risk for cardiovascular disease, especially those on maximum doses of statins and ezetimibe. [...] Read more.
Background: Managing hypercholesterolemia is essential for reducing health risks and costs. Proprotein Convertase Subtilisin/Kexin type 9 (PCSK9) inhibitors are recommended for patients with high low-density lipoprotein cholesterol (LDL-C) levels at risk for cardiovascular disease, especially those on maximum doses of statins and ezetimibe. However, their cost-effectiveness is unclear, particularly in Saudi Arabia, where cardiovascular disease is prevalent. The main objective of this study was to evaluate the costs and outcomes of PCSK9 inhibitors versus statins and ezetimibe. Methods: A multicenter retrospective study reviewed charts of adults (≥18 years) with hypercholesterolemia treated with PCSK9 inhibitors (evolocumab or alirocumab) for at least 12 months. Outcomes included LDL-C reduction and cardiovascular-related hospitalizations, with direct medical costs estimated via micro-costing and adjusted for confounders. Results: The analysis included 118 patients on PCSK9 inhibitors and 304 on statins plus ezetimibe. Mean LDL-C reductions were 1.432 mmol/L [95% CI: 0.964 to 1.899] for PCSK9 inhibitors and 0.644 mmol/L [95% CI: 0.464 to 0.823] for the other group. Cardiovascular-related hospitalizations averaged 0.645 for PCSK9 inhibitors compared to 0.808 for statins plus ezetimibe. The annual cost for PCSK9 inhibitors ranged from USD 4024 [95% CI: 3786.80 to 7947.91] to USD 7559 [95% CI: 7331.35 to 11,509.66]. In 99.13% and 98.78% of bootstrap distributions, PCSK9 inhibitors led to greater LDL-C reductions and fewer hospitalizations. Conclusions: The use of PCSK9 inhibitors for managing hypercholesterolemia was associated with a greater reduction in LDL-C levels and fewer cardiovascular-related hospitalizations. However, the more modest LDL-C reduction compared to clinical trials, combined with the high acquisition cost of PCSK9 inhibitors, underscores the need to provide significant price reductions to improve patient access to these lipid-lowering agents. Full article
Show Figures

Figure 1

15 pages, 3854 KB  
Article
Sinapic Acid Regulates the LXRα–ABCG5/8 Axis in the Hepatocytes: A Potential Strategy for Cholesterol Gallstone Management
by Sridevi Rajendran, Chitra Vellapandian, Bhupendra G. Prajapati and Himanshu Paliwal
Pharmaceuticals 2025, 18(9), 1388; https://doi.org/10.3390/ph18091388 - 17 Sep 2025
Viewed by 601
Abstract
Background/Objective: Gallstone disease (cholelithiasis) is a prevalent hepatobiliary disorder with limited non-surgical therapeutic options. Sinapic acid (SINAP), a phenolic compound found in various dietary sources, has demonstrated anti-inflammatory and hepatoprotective effects. However, its role in gallstone dissolution has not been explored. This study [...] Read more.
Background/Objective: Gallstone disease (cholelithiasis) is a prevalent hepatobiliary disorder with limited non-surgical therapeutic options. Sinapic acid (SINAP), a phenolic compound found in various dietary sources, has demonstrated anti-inflammatory and hepatoprotective effects. However, its role in gallstone dissolution has not been explored. This study was designed to evaluate whether sinapic acid modulates hepatic cholesterol transport and enhances gallstone dissolution using a gallstone dissolution assay in artificial bile solution. Methods: The cytotoxicity of SINAP was assessed in HepG2 cells via the MTT assay. The mRNA and protein expression of lipid transporters (ABCG5, ABCG8, and LXRα) was quantified using qRT-PCR, ELISA, and Western blotting. Additionally, molecular docking was conducted to evaluate SINAP’s interaction with gallstone-related protein targets compared to that for the standard drugs (ursodeoxycholic acid and ezetimibe). Results: SINAP achieved a 53.71% gallstone weight reduction over 12 days, comparable to that with ursodiol (59.24%), and following 24 h of exposure, SINAP demonstrated minimal cytotoxicity, maintaining over 80% cell viability up to 50 µg/mL, with an IC50 value of 28 µg/mL. SINAP significantly upregulated ABCG5, ABCG8, and LXRα expression (p < 0.01), suggesting enhanced bile acid secretion. Docking studies confirmed the strong binding affinities of SINAP to key cholesterol transport proteins. Conclusions: These results indicate that SINAP may serve as a promising natural candidate for non-surgical management of cholelithiasis and support further preclinical investigation. Full article
(This article belongs to the Section Pharmacology)
Show Figures

Figure 1

32 pages, 1295 KB  
Review
Dyslipidemia Treatment in Patients with Acute Coronary Syndrome: Is It Time to Move to Combination Therapy?
by Daniel Miron Brie, Cristian Mornoș, Ovidiu Adam, Alexandru Tîrziu and Alina Diduța Brie
J. Clin. Med. 2025, 14(18), 6445; https://doi.org/10.3390/jcm14186445 - 12 Sep 2025
Viewed by 1866
Abstract
Dyslipidemia is a major modifiable risk factor in patients with acute coronary syndrome (ACS), and effective management is essential to reduce the risk of recurrent cardiovascular events. Recent guidelines emphasize early, intensive lipid-lowering therapy (LLT) and increasingly recommend combination regimens to achieve ambitious [...] Read more.
Dyslipidemia is a major modifiable risk factor in patients with acute coronary syndrome (ACS), and effective management is essential to reduce the risk of recurrent cardiovascular events. Recent guidelines emphasize early, intensive lipid-lowering therapy (LLT) and increasingly recommend combination regimens to achieve ambitious low-density lipoprotein cholesterol (LDL-C) targets. This review evaluates current evidence and recommendations for dyslipidemia treatment in ACS, with a focus on the rationale, timing, and selection of combination therapy. We conducted a comprehensive review of recent clinical guidelines, randomized controlled trials, and observational studies addressing lipid management in ACS. The analysis included data on LDL-C targets, efficacy and safety of high-intensity statins, adjunctive non-statin therapies (ezetimibe, PCSK9 inhibitors), and the impact of dietary interventions. Early and intensive LLT, initiated within 24–48 h of ACS, is associated with significant reductions in recurrent events and mortality. High-intensity statins (atorvastatin 40–80 mg or rosuvastatin 20–40 mg) are first-line, with combination therapy (statin plus ezetimibe and/or PCSK9 inhibitor) recommended for patients not achieving LDL-C < 1.4 mmol/L (<55 mg/dL) or >50% reduction from baseline. Evidence supports further LDL-C lowering (<1.0 mmol/L) in very high-risk patients. The Mediterranean and DASH diets provide additional benefit in lipid profile optimization and risk reduction. Statins also confer pleiotropic effects, including anti-inflammatory and plaque-stabilizing actions. Recent studies and real-world data confirm the efficacy and safety of combination approaches but highlight the need for individualized therapy based on residual risk, comorbidities, and tolerability. Achieving guideline-recommended LDL-C targets in ACS patients often requires early initiation of combination lipid-lowering therapy. Optimal management should be individualized considering both LDL-C levels and broader risk profiles. Ongoing research is needed to refine patient selection for combination therapy and to integrate novel agents into clinical practice. Full article
(This article belongs to the Special Issue New Perspectives in Acute Coronary Syndrome)
Show Figures

Figure 1

12 pages, 286 KB  
Article
Assessing Prescribing Patterns of Nonstatins as Add-on Therapy for Secondary Prevention in a Federally Qualified Health Center
by Sabrina Guerra, Kathryn P. Lin, Ahmed S. Kenawy, Chanhyun Park and Morgan P. Stewart
Pharmacy 2025, 13(5), 129; https://doi.org/10.3390/pharmacy13050129 - 6 Sep 2025
Viewed by 558
Abstract
Background: Lipid management is a key aspect of secondary atherosclerotic cardiovascular disease (ASCVD) prevention. However, real-world studies show that ~72–88% of patients with ASCVD fail to meet their low-density lipoprotein cholesterol (LDL-C) target. Nonstatin agents are available as add-on therapies that can be [...] Read more.
Background: Lipid management is a key aspect of secondary atherosclerotic cardiovascular disease (ASCVD) prevention. However, real-world studies show that ~72–88% of patients with ASCVD fail to meet their low-density lipoprotein cholesterol (LDL-C) target. Nonstatin agents are available as add-on therapies that can be utilized when maximally tolerated statins are insufficient to achieve LDL-C goals. This retrospective study aimed to evaluate the current prescribing habits of nonstatins as add-on therapy to statins for secondary ASCVD prevention at a federally qualified health center (FQHC). Methods: Patients were included if they had a history of clinical ASCVD, ≥1 lipid panel obtained during the study period, and were prescribed any intensity statin. Results: Among 398 included participants, 11.1% were prescribed nonstatin therapy and 35.9% were meeting a LDL-C target of <70 mg/dL. There was a significant association between being prescribed ezetimibe based on the type of healthcare coverage (p = 0.04) and a higher number of ASCVD qualifying indications (p < 0.01). Conclusions: Overall, nonstatins were found to be underutilized for LDL-C management in this underserved population. Future initiatives should target ways to optimize nonstatin therapy to optimize secondary ASCVD prevention. Full article
(This article belongs to the Section Pharmacy Practice and Practice-Based Research)
Show Figures

Graphical abstract

18 pages, 401 KB  
Review
Treatment of Dyslipidemia in Patients with Type 1 Diabetes Mellitus: A Review of Current Evidence and Knowledge Gaps
by Viviana Elian, Alina Dorita, Daniela Stegaru and Dragos Vinereanu
Int. J. Mol. Sci. 2025, 26(17), 8558; https://doi.org/10.3390/ijms26178558 - 3 Sep 2025
Viewed by 1506
Abstract
Type 1 diabetes (T1D) is a chronic condition with an increasing prevalence worldwide and a significant improvement in life expectancy in the last decades. T1D confers an increased risk of cardiovascular events, driven by elevated LDL cholesterol (LDL-C) and qualitative lipoprotein abnormalities, such [...] Read more.
Type 1 diabetes (T1D) is a chronic condition with an increasing prevalence worldwide and a significant improvement in life expectancy in the last decades. T1D confers an increased risk of cardiovascular events, driven by elevated LDL cholesterol (LDL-C) and qualitative lipoprotein abnormalities, such as dysfunctional HDL and smaller, denser LDL-C. Lipid-lowering outcome trials have overwhelmingly focused on type 2 diabetes or the general population, resulting in very limited T1D-specific evidence. Recommendations from major medical associations (ADA, ESC/EAS, ACC/AHA, ISPAD) create additional ambiguity regarding the treatment of dyslipidemia in T1D. This review synthesizes the available evidence on dyslipidemia management in T1D, including published observational cohorts, randomized controlled trials, and international guideline recommendations from January 2000 to June 2025. LDL-C remains the primary modifiable risk factor. Each 1 mmol/L increase is associated with 35–50% greater cardiovascular (CV) risk in T1D cohorts. Statin therapy reduces CV risk by up to 25% in patients with diabetes; however, evidence remains limited in patients with T1D. Ezetimibe provides an additional 18% LDL-C lowering and a 14% event reduction in mixed-diabetes trials, while PCSK9 inhibitors offer a potent 40–60% LDL-C reduction and an 18% MACE reduction. The uptake of statins in eligible adults with T1D remains below 50%. Statins remain the cornerstone of dyslipidemia management in T1D, with emerging evidence supporting ezetimibe and PCSK9 inhibitors. The heterogeneity across international guidelines and the scarcity of T1D-specific outcome data underscore the need for targeted research and evidence-based strategies. Full article
Show Figures

Figure 1

18 pages, 841 KB  
Review
Naturally Occurring PCSK9 Inhibitors: An Updated Review
by Jungmoo Huh and Hyunwoo Kim
Molecules 2025, 30(17), 3582; https://doi.org/10.3390/molecules30173582 - 2 Sep 2025
Viewed by 3083
Abstract
Proprotein convertase subtilisin/kexin type 9 (PCSK9) is a key modulator of low-density lipoprotein cholesterol (LDL-C) levels and emerged as an attractive therapeutic target for the treatment of hypercholesterolemia and cardiovascular diseases. Although statins and ezetimibe have been widely used to manage these disorders, [...] Read more.
Proprotein convertase subtilisin/kexin type 9 (PCSK9) is a key modulator of low-density lipoprotein cholesterol (LDL-C) levels and emerged as an attractive therapeutic target for the treatment of hypercholesterolemia and cardiovascular diseases. Although statins and ezetimibe have been widely used to manage these disorders, concerns regarding side effects and high costs have driven ongoing efforts to search for alternative therapeutic candidates. To date, several classes of PCSK9 inhibitors, including monoclonal antibodies, oligonucleotides, proteins, and peptides, have been approved or are under clinical trials. In this review, we summarize 57 newly identified compounds derived from natural products showing inhibitory effects against PCSK9 reported between 2020 and April 2025. These compounds were isolated from 18 plants species and belong to various structural classes, including isoprenoids, flavonoids, alkaloids, and phenolic derivatives. Full article
Show Figures

Graphical abstract

12 pages, 299 KB  
Article
Low-Density Lipoprotein Cholesterol Target Attainment in Lithuania: A Nationwide Analysis of Real-World Health Data
by Gediminas Urbonas, Tomas Lapinskas, Indrė Čeponienė, Olga Vasiliauskienė, Jelena Umbrasienė, Ingrida Grabauskytė and Jurgita Plisienė
Medicina 2025, 61(8), 1484; https://doi.org/10.3390/medicina61081484 - 19 Aug 2025
Viewed by 905
Abstract
Background and Objectives: Low-density lipoprotein cholesterol (LDL-C) reduction is critical for cardiovascular disease (CVD) prevention. This study aimed to assess the proportion of patients achieving the LDL-C target in Lithuania and to identify factors associated with target achievement. Materials and Methods: [...] Read more.
Background and Objectives: Low-density lipoprotein cholesterol (LDL-C) reduction is critical for cardiovascular disease (CVD) prevention. This study aimed to assess the proportion of patients achieving the LDL-C target in Lithuania and to identify factors associated with target achievement. Materials and Methods: This retrospective study used anonymized health data from the Electronic Health Services and Cooperation Infrastructure Information System (ESPBI IS) in Lithuania. Adults aged ≥40 years with at least one LDL-C measurement in 2023 and no documented cancer diagnosis were included. The primary outcome was the proportion of patients achieving LDL-C < 1.8 mmol/L, the target recommended by the European Society of Cardiology guidelines for high-risk individuals. Univariate logistic regression analysis was conducted to identify factors associated with achieving the LDL-C target. Results: The study included 396,835 patients (mean age, 66.9 years). The mean LDL-C concentration was 3.32 mmol/L, and only 8.1% of patients achieved LDL-C < 1.8 mmol/L. Target achievement was higher among patients in the secondary CVD prevention group compared to primary prevention (20.6% vs. 7.3%). Over half of patients (56.4%) received no lipid-lowering therapy (LLT). Statin monotherapy was the most prescribed LLT (31.3%), while only 2.7% of patients received statin and ezetimibe combination. In logistic regression analysis, secondary prevention status, more frequent cardiologist consultations, and higher LLT prescription frequency were associated with LDL-C target achievement. Compared to patients not receiving LLT, the odds of achieving LDL-C < 1.8 mmol/L were significantly higher in those receiving statin monotherapy (odds ratio [OR]: 3.153, 95% confidence interval [CI]: 3.069–3.240), statin and ezetimibe (OR: 7.631, 95% CI: 7.267–8.013), or statin and antihypertensive (OR: 3.945, 95% CI: 3.803–4.092). Conclusions: LDL-C target attainment remains low in Lithuania, with the underuse of LLT. Broader implementation of guideline-recommended lipid-lowering strategies is needed to improve LDL-C control. Full article
(This article belongs to the Special Issue Primary Care in the Post-Pandemic Era)
12 pages, 535 KB  
Article
Real-World Effectiveness of Rosuvastatin–Ezetimibe Single Pill (Rovazet®) in Korean Dyslipidemia Patients
by Hack-Lyoung Kim, Hyun Sung Joh, Sang-Hyun Kim and Myung-A Kim
J. Clin. Med. 2025, 14(15), 5480; https://doi.org/10.3390/jcm14155480 - 4 Aug 2025
Viewed by 2635
Abstract
Background: Fixed-dose combinations of rosuvastatin and ezetimibe are increasingly used in clinical practice, but real-world data on their effectiveness and safety in large populations remain limited. Methods: This prospective, single-group, open-label, non-interventional observational study was conducted in the Republic of Korea to evaluate [...] Read more.
Background: Fixed-dose combinations of rosuvastatin and ezetimibe are increasingly used in clinical practice, but real-world data on their effectiveness and safety in large populations remain limited. Methods: This prospective, single-group, open-label, non-interventional observational study was conducted in the Republic of Korea to evaluate the effectiveness and safety of Rovazet® (a fixed-dose combination of rosuvastatin and ezetimibe). Patients were prospectively enrolled from 235 institutions (50 general hospitals and 185 private clinics) as part of routine clinical practice over a five-year period. Lipid profiles and medication compliance questionnaire results were collected at baseline, 12 weeks, and 24 weeks of treatment. Results: A total of 5527 patients with dyslipidemia, the majority were men (53.0%), and the mean age was 60.4 years. Rovazet® significantly reduced low-density lipoprotein cholesterol (LDL-C) by 23.5% at 12 weeks (from 117.47 ± 50.65 mg/dL to 81.14 ± 38.20 mg/dL; p < 0.0001) and by 27.4% at 24 weeks (from 117.47 ± 50.65 mg/dL to 74.52 ± 33.36 mg/dL; p < 0.0001). Total cholesterol was significantly reduced by 17.7% at 12 weeks and by 19.8% at 24 weeks. Rovazet® treatment reduced triglycerides by 4.1% at 12 weeks and by 7.2% at 24 weeks. High-density lipoprotein cholesterol increased by 4.5% at 12 weeks and by 7.9% at 24 weeks following Rovazet® treatment. These changes in lipid profiles were consistent, regardless of cardiovascular risk profiles. By 24 weeks of treatment with Rovazet®, 91.8% of patients had reached their target LDL-C goals. Adverse drug reactions were reported in 2.81% of patients, most of which were minor, indicating that Rovazet® was well tolerated. Conclusions: Rovazet® was effective in improving lipid profiles and well tolerated in Korean adults with dyslipidemia. Full article
(This article belongs to the Section Pharmacology)
Show Figures

Figure 1

16 pages, 2377 KB  
Review
Intensive Lipid-Lowering Therapy Following Acute Coronary Syndrome: The Earlier the Better
by Akshyaya Pradhan, Prachi Sharma, Sudesh Prajapathi, Maurizio Aracri, Ferdinando Iellamo and Marco Alfonso Perrone
J. Cardiovasc. Dev. Dis. 2025, 12(8), 300; https://doi.org/10.3390/jcdd12080300 - 4 Aug 2025
Viewed by 3607
Abstract
Elevated levels of atherogenic lipoproteins are known to be associated with an increased risk of incident and recurrent cardiovascular events. Knowing that the immediate post-acute coronary syndrome (ACS) period is associated with the maximum risk of recurrent events, the gradual escalation of therapy [...] Read more.
Elevated levels of atherogenic lipoproteins are known to be associated with an increased risk of incident and recurrent cardiovascular events. Knowing that the immediate post-acute coronary syndrome (ACS) period is associated with the maximum risk of recurrent events, the gradual escalation of therapy allows the patient to remain above the targets during the most vulnerable period. In addition, the percentage of lipid-lowering levels for each class of drugs is predictable and has a ceiling. Hence, it is prudent to immediately start with a combination of lipid-lowering drugs following ACS according to the baseline lipid levels. Multiple studies with injectable lipid-lowering agents (PCSK9 inhibitors) such as EVOPACS, PACMAN MI, and HUYGENS MI have shown the feasibility of achieving LDL-C goals by day 28 and beneficial plaque modification in non-infarct-related coronary arteries. Recently, a study from India demonstrated that an upfront triple combination of oral lipid-lowering agents was able to achieve LDL-C goals in a majority of patients in the early post-ACS period. This notion is also supported by a few recent lipid-lowering guidelines advocating for an upfront dual combination of a high-intensity statin and ezetimibe following ACS. Henceforth, the goal should not only be the achievement of lipid targets but also their early achievement. However, the impact of this strategy on long-term cardiovascular outcomes is yet to be ascertained. Full article
(This article belongs to the Special Issue Effect of Lipids and Lipoproteins on Atherosclerosis)
Show Figures

Figure 1

42 pages, 1287 KB  
Review
A Comprehensive Review of the Latest Approaches to Managing Hypercholesterolemia: A Comparative Analysis of Conventional and Novel Treatments: Part II
by Narcisa Jianu, Ema-Teodora Nițu, Cristina Merlan, Adina Nour, Simona Buda, Maria Suciu, Silvia Ana Luca, Laura Sbârcea, Minodora Andor and Valentina Buda
Pharmaceuticals 2025, 18(8), 1150; https://doi.org/10.3390/ph18081150 - 1 Aug 2025
Cited by 2 | Viewed by 3460
Abstract
Cardiovascular disease (CVD) remains the leading cause of mortality worldwide, with hypercholesterolemia identified as a major, but modifiable risk factor. This review serves as the second part of a comprehensive analysis of dyslipidemia management. The first installment laid the groundwork by detailing the [...] Read more.
Cardiovascular disease (CVD) remains the leading cause of mortality worldwide, with hypercholesterolemia identified as a major, but modifiable risk factor. This review serves as the second part of a comprehensive analysis of dyslipidemia management. The first installment laid the groundwork by detailing the key pathophysiological mechanisms of lipid metabolism, the development of atherosclerosis, major complications of hyperlipidemia, and the importance of cardiovascular risk assessment in therapeutic decision-making. It also examined non-pharmacological interventions and conventional therapies, with a detailed focus on statins and ezetimibe. Building upon that foundation, the present article focuses exclusively on emerging pharmacological therapies designed to overcome limitations of standard treatment. It explores the mechanisms, clinical applications, safety profiles, and pharmacogenetic aspects of novel agents such as proprotein convertase subtilisin/kexin type 9 (PCSK9) inhibitors (alirocumab, evolocumab), small interfering RNA (siRNA) therapy (inclisiran), adenosine triphosphate–citrate lyase (ACL) inhibitor (bempedoic acid), microsomal triglyceride transfer protein (MTP) inhibitor (lomitapide), and angiopoietin-like protein 3 (ANGPTL3) inhibitor (evinacumab). These agents offer targeted strategies for patients with high residual cardiovascular risk, familial hypercholesterolemia (FH), or statin intolerance. By integrating the latest advances in precision medicine, this review underscores the expanding therapeutic landscape in dyslipidemia management and the evolving potential for individualized care. Full article
(This article belongs to the Special Issue Pharmacotherapy of Dyslipidemias, 2nd Edition)
Show Figures

Figure 1

Back to TopTop