Sign in to use this feature.

Years

Between: -

Subjects

remove_circle_outline
remove_circle_outline
remove_circle_outline
remove_circle_outline
remove_circle_outline
remove_circle_outline
remove_circle_outline
remove_circle_outline
remove_circle_outline

Journals

remove_circle_outline
remove_circle_outline
remove_circle_outline
remove_circle_outline
remove_circle_outline
remove_circle_outline
remove_circle_outline
remove_circle_outline
remove_circle_outline
remove_circle_outline
remove_circle_outline
remove_circle_outline
remove_circle_outline
remove_circle_outline

Article Types

Countries / Regions

remove_circle_outline
remove_circle_outline
remove_circle_outline
remove_circle_outline
remove_circle_outline

Search Results (1,083)

Search Parameters:
Keywords = external rotation

Order results
Result details
Results per page
Select all
Export citation of selected articles as:
17 pages, 6888 KB  
Article
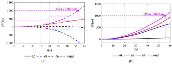
A Rapid and Self-Contained Calibration Method for MIMUs Based on Residual Velocity Measurement
by Ling Xu, Tianyu Zhu, Jiangshan Ma, Yun Xu and Jianbo Luo
Electronics 2025, 14(21), 4277; https://doi.org/10.3390/electronics14214277 (registering DOI) - 31 Oct 2025
Abstract
In micro inertial measurement units (MIMUs), the zero bias, scale factor error, and non-orthogonal error in both gyroscopes and accelerometers will lead to cumulative errors in inertial navigation computation. This paper proposes a rapid, self-contained calibration method for estimating the MIMU output model [...] Read more.
In micro inertial measurement units (MIMUs), the zero bias, scale factor error, and non-orthogonal error in both gyroscopes and accelerometers will lead to cumulative errors in inertial navigation computation. This paper proposes a rapid, self-contained calibration method for estimating the MIMU output model based on residual velocity measurement, which significantly reduces calibration time and enhances estimation accuracy without requiring high-precision turntables or external references. First, a comprehensive output model of the MIMU is established. Subsequently, a self-contained calibration model based on a Kalman filter is developed, utilizing residual velocity and the difference between gravity-integrated velocity and inertial navigation velocity. Then, an oriented rotation scheme is designed by a self-developed spherical rotation platform, and the observability for parameters in the MIMU output model is analyzed. Finally, the simulation results indicate that the parameters in the MIMU output model can be successfully estimated within 390 s, achieving an estimation accuracy exceeding 85%. The static and dynamic scenario navigation experiment results demonstrate the effectiveness of the proposed self-contained calibration. Collectively, the proposed method provides a rapid, convenient, and self-contained calibration solution for MIMUs. Full article
Show Figures

Figure 1

23 pages, 3740 KB  
Article
Farmers’ Willingness to Adopt Maize-Soybean Rotation Based on the Extended Theory of Planned Behavior: Evidence from Northeast China
by Yunzheng Zhang, Zainab Oyetunde-Usman, Simon Willcock, Minglong Zhang, Ning Jiang, Luran Zhang, Li Zhang, Yu Su, Zongyi Huo, Cailong Xu, Yuquan Chen, Qingfeng Meng and Xiangping Jia
Agriculture 2025, 15(21), 2264; https://doi.org/10.3390/agriculture15212264 - 30 Oct 2025
Abstract
Context: For decades, maize monoculture practices dominated Northeast China, causing significant damage to the local soil and ecological environment. Crop rotation has, in recent years, been promoted as an environmentally friendly and sustainable technology in China. Despite its numerous benefits for the environment [...] Read more.
Context: For decades, maize monoculture practices dominated Northeast China, causing significant damage to the local soil and ecological environment. Crop rotation has, in recent years, been promoted as an environmentally friendly and sustainable technology in China. Despite its numerous benefits for the environment and crop productivity, farmers’ willingness to adopt crop rotation remains low. Objective: This study aims to investigate the social–psychological factors influencing farmers’ intentions to adopt maize–soybean rotation, with the goal of informing strategies for promoting sustainable agricultural practices. Methods: Based on a farm-level survey of 298 rural households in Northeast China, this study integrates value orientation into the Theory of Planned Behavior and employs structural equation modeling to investigate the social–psychological factors that affect farmers’ willingness to adopt soybean-based rotation. Results and Conclusions: The findings confirm the applicability of the extended Theory of Planned Behavior in explaining farmers’ decision-making. Farmers’ attitudes (0.384) and perceived behavioral control (0.323) had significant positive effects on adoption intentions, whereas subjective norms (0.018) were not significant. More favorable attitudes and greater perceived behavioral control, reflecting higher risk tolerance and better access to external support, promoted adoption. Value orientations strongly shaped farmers’ attitudes: altruism (0.148) and biospheric values (0.180) had positive effects, while egoism (0.044) showed no significant impact. These results offer guidance for policymakers to design targeted interventions promoting sustainable crop rotation. Significance: These results can help policymakers better understand what factors influence farmers’ adoption of rotation and what targeted measures can be taken to popularize the improved agricultural system. To foster farmers’ adoption of rotation, it is important to go beyond traditional supporting policies and to leverage innovative approaches to promote value orientation on sustainable farming practices. Full article
(This article belongs to the Section Agricultural Economics, Policies and Rural Management)
Show Figures

Figure 1

16 pages, 4758 KB  
Article
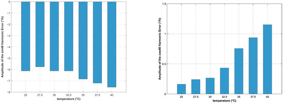
An Angle-Dependent Bias Compensation Method for Hemispherical Resonator Gyro Inertial Navigation Systems
by Chao Liu, Qixin Lou, Ding Li, Huiping Li, Tian Lan, Yutao Wu, Hongjie Meng, Jingyu Li, Tao Xia and Xudong Yu
Sensors 2025, 25(21), 6639; https://doi.org/10.3390/s25216639 - 29 Oct 2025
Abstract
In the whole-angle mode of a hemispherical resonator gyro (HRG), the external input rotation angle is obtained by detecting the standing-wave rotation angle through electrodes. Due to this operational principle and manufacturing constraints of HRGs, the gyro output in an HRG inertial navigation [...] Read more.
In the whole-angle mode of a hemispherical resonator gyro (HRG), the external input rotation angle is obtained by detecting the standing-wave rotation angle through electrodes. Due to this operational principle and manufacturing constraints of HRGs, the gyro output in an HRG inertial navigation system exhibits angle-dependent errors that are highly sensitive to temperature variations. To address this issue, this paper proposes a system-level calibration scheme to characterize and compensate for these correlated errors. Angle-dependent bias models were established through multi-temperature point experiments. A Kalman filter was subsequently designed, and a calibration path satisfying observability requirements was developed. System-level calibration experiments were conducted to determine and compensate for the identified errors. Finally, navigation experiments demonstrated the effectiveness of the proposed method, showing that the navigation accuracy of the HRG inertial navigation system was improved by up to 94.35%. Full article
(This article belongs to the Section Navigation and Positioning)
Show Figures

Figure 1

15 pages, 3627 KB  
Article
Experimental Investigation of Ring-Type Resonator Dynamics
by Ali F. Abdulla, Soroush Arghavan, Jihyun Cho, Ibrahim F. Gebrel, Mohamed Bognash and Samuel F. Asokanthan
Vibration 2025, 8(4), 67; https://doi.org/10.3390/vibration8040067 - 28 Oct 2025
Viewed by 63
Abstract
One of the challenges in inertia sensor applications is the need for a class of devices that operate at one of the ring resonant frequencies to achieve large amplitudes of vibration. However, large amplitudes tend to produce undesirable nonlinear effects due to geometrical [...] Read more.
One of the challenges in inertia sensor applications is the need for a class of devices that operate at one of the ring resonant frequencies to achieve large amplitudes of vibration. However, large amplitudes tend to produce undesirable nonlinear effects due to geometrical nonlinearities. Hence, a rigorous experimental dynamic analysis of rotating thin circular ring-type structures is considered important to gain a deeper understanding of the device’s nonlinear behavior as well as the potential performance improvements. This study aims to experimentally investigate the nonlinear dynamic behavior of rotating thin circular rings and the effects of angular rate as well as mass mismatch variations on the system natural frequency. A prototype made of a macroscale thin cylindrical structure is employed to study the nonlinear dynamic behavior of rotating thin circular rings. Using a precision rate table equipped with a slip ring as well as non-contact sensors/actuators, experiments that closely represent the actual physical operating conditions of angular rate sensors are developed. Natural frequency variations due to the input angular rate changes are measured in time and frequency domains. Useful experimental observations on the frequency split and mass mismatch effects have been performed. Typical nonlinear behavior, such as jump phenomena of a rotating thin circular cylinder, is noted. The nonlinear dynamic behavior of a ring-type resonator system, which is subjected to external excitations, is experimentally investigated. Results from the present experimental study on the mechanics of the ring structure are expected to provide further insight into the design and operation of ring-type resonators for angular rate sensing applications. Full article
Show Figures

Figure 1

14 pages, 911 KB  
Article
Multiparty Quantum Private Comparison Protocol Using n-Particle GHZ State
by Min Hou, Yue Wu and Shibin Zhang
Mathematics 2025, 13(21), 3422; https://doi.org/10.3390/math13213422 - 27 Oct 2025
Viewed by 138
Abstract
Multiparty quantum private comparison (MQPC) aims to determine the equality relationship of inputs from multiple participants while maintaining the confidentiality of these inputs. Current MQPC protocols primarily focus on utilizing d-level quantum states, which limits feasible implementation. To address this issue, we [...] Read more.
Multiparty quantum private comparison (MQPC) aims to determine the equality relationship of inputs from multiple participants while maintaining the confidentiality of these inputs. Current MQPC protocols primarily focus on utilizing d-level quantum states, which limits feasible implementation. To address this issue, we introduce an MQPC protocol that utilizes n-particle Greenberger–Horne–Zeilinger (GHZ) state to enable private comparison while preserving the secrecy of individual inputs. A semi-honest third party (TP), adhering to protocol specifications but potentially curious about private data, generates and distributes GHZ state qubits to all participants. Each party encodes their secret input through rotation operations on their allocated qubits and returns the modified state to the TP, which then performs single-particle quantum measurements to derive the outcomes without accessing the raw inputs. The protocol’s sequence distribution method yields a high qubit efficiency of 1/n, outperforming many existing MQPC protocols. Security analysis confirms resilience against external adversaries employing quantum attack strategies and collusion attempts among participants. Simulations using IBM Qiskit validate the feasibility of the protocol, which relies on GHZ state preparation, single-qubit operations, and single-particle quantum measurements. Full article
(This article belongs to the Special Issue Applications of Cryptography Theory in Network Security)
Show Figures

Figure 1

22 pages, 8072 KB  
Article
Enhanced Dynamic Obstacle Avoidance for UAVs Using Event Camera and Ego-Motion Compensation
by Bahar Ahmadi and Guangjun Liu
Drones 2025, 9(11), 745; https://doi.org/10.3390/drones9110745 - 25 Oct 2025
Viewed by 496
Abstract
To navigate dynamic environments safely, UAVs require accurate, real time onboard perception, which relies on ego motion compensation to separate self-induced motion from external dynamics and enable reliable obstacle detection. Traditional ego-motion compensation techniques are mainly based on optimization processes and may be [...] Read more.
To navigate dynamic environments safely, UAVs require accurate, real time onboard perception, which relies on ego motion compensation to separate self-induced motion from external dynamics and enable reliable obstacle detection. Traditional ego-motion compensation techniques are mainly based on optimization processes and may be computationally expensive for real-time applications or lack the precision needed to handle both rotational and translational movements, leading to issues such as misidentifying static elements as dynamic obstacles and generating false positives. In this paper, we propose a novel approach that integrates an event camera-based perception pipeline with an ego-motion compensation algorithm to accurately compensate for both rotational and translational UAV motion. An enhanced warping function, integrating IMU and depth data, is constructed to compensate camera motion based on real-time IMU data to remove ego motion from the asynchronous event stream, enhancing detection accuracy by reducing false positives and missed detections. On the compensated event stream, dynamic obstacles are detected by applying a motion aware adaptive threshold to the normalized mean timestamp image, with the threshold derived from the image’s spatial mean and standard deviation and adjusted by the UAV’s angular and linear velocities. Furthermore, in conjunction with a 3D Artificial Potential Field (APF) for obstacle avoidance, the proposed approach generates smooth, collision-free paths, addressing local minima issues through a rotational force component to ensure efficient UAV navigation in dynamic environments. The effectiveness of the proposed approach is validated through simulations, and its application for UAV navigation, safety, and efficiency in environments such as warehouses is demonstrated, where real-time response and precise obstacle avoidance are essential. Full article
Show Figures

Figure 1

19 pages, 5892 KB  
Article
The Immediate Effects of Instrument-Assisted Soft Tissue Mobilization on Pain and Function in Female Runners with Patellofemoral Pain
by Seong Chan Cho and Young Kyun Kim
Medicina 2025, 61(11), 1912; https://doi.org/10.3390/medicina61111912 - 24 Oct 2025
Viewed by 200
Abstract
Background and Objectives: Patellofemoral pain (PFP) is the most prevalent running-related injury due to underlying biomechanical factors, particularly among female runners. Although instrument-assisted soft tissue mobilization (IASTM) is a popular therapeutic technique, the optimal application site for the short-and long-term outcomes of [...] Read more.
Background and Objectives: Patellofemoral pain (PFP) is the most prevalent running-related injury due to underlying biomechanical factors, particularly among female runners. Although instrument-assisted soft tissue mobilization (IASTM) is a popular therapeutic technique, the optimal application site for the short-and long-term outcomes of PFP has not been well established. This aim of this study was to compare the immediate and short-term (1-week) effects of a single IASTM treatment applied to the hip and knee versus the knee alone on running-related pain. Range of motion (ROM), muscle strength, and functional performance were also assessed to compare change between the two treatment conditions. Materials and Methods: Twenty-eight female runners with PFP were randomly assigned to either the Hip and Knee (HK) group (n = 14) or the knee-only (K) group (n = 14). The HK group received a 7-min IASTM treatment targeting the quadriceps, patella, iliotibial band (ITB), and gluteus medius, whereas the K group received a 3-min treatment targeting the quadriceps and patella. Visual analog scale (VAS), hip adduction ROM, hip abduction/external rotation strength, and step-down test scores were measured at baseline, immediately post-intervention, and 1 week later. Results: Running-related pain significantly decreased in both groups (main effect of time, p < 0.001) from baseline (HK: 5.49 ± 2.14 [95% CI: 4.78–6.68]; K: 5.30 ± 1.45 [95% CI: 4.69–5.91]) to week 1 (HK: 1.30 ± 1.08 [95%CI: 0.69–1.90]; K: 1.57 ± 1.20 [95%CI: 0.93–2.21]). However, no significant difference was found between the groups. Significant improvement was also observed in hip adduction ROM (p < 0.001), hip abduction strength (p = 0.02), step-down pain (p < 0.001), and patellofemoral function (p < 0.001) immediately after the intervention, which was sustained at the 1-week follow-up. However, no significant difference was found between the groups. Also, hip external rotation strength showed no significant change over time or between groups (p = 0.737). Conclusions: A single IASTM session effectively reduced pain and improved function in female runners with PFP. However, the hip treatment did not show a significant additional benefit compared with knee treatment alone. IASTM can provide immediate and short-term relief of pain and functional limitations. Full article
(This article belongs to the Special Issue Sports Injuries: Prevention, Treatment and Rehabilitation)
Show Figures

Figure 1

26 pages, 6312 KB  
Article
A Novel Telescopic Aerial Manipulator for Installing and Grasping the Insulator Inspection Robot on Power Lines: Design, Control, and Experiment
by Peng Yang, Hao Wang, Xiuwei Huang, Jiawei Gu, Tao Deng and Zonghui Yuan
Drones 2025, 9(11), 741; https://doi.org/10.3390/drones9110741 - 24 Oct 2025
Viewed by 276
Abstract
Insulators on power lines require regular maintenance by operators in high-altitude hazardous environments, and the emergence of aerial manipulators provides an efficient and safe support for this scenario. In this study, a lightweight telescopic aerial manipulator system is developed, which can realize the [...] Read more.
Insulators on power lines require regular maintenance by operators in high-altitude hazardous environments, and the emergence of aerial manipulators provides an efficient and safe support for this scenario. In this study, a lightweight telescopic aerial manipulator system is developed, which can realize the installation and retrieval of insulator inspection robots on power lines. The aerial manipulator has three degrees of freedom, including two telescopic scissor mechanisms and one pitch rotation mechanism. Multiple types of cameras and sensors are specifically configured in the structure, and the total mass of the structure is 2.2 kg. Next, the kinematic model, dynamic model, and instantaneous contact force model of the designed aerial manipulator are derived. Then, the hybrid position/force control strategy of the aerial manipulator and the visual detection and estimation algorithm are designed to complete the operation or complete the task. Finally, the lifting external load test, grasp and installation operation test, as well as outdoor flight operation test are carried out. The test results not only quantitatively evaluate the effectiveness of the structural design and control design of the system but also verify that the aerial manipulator can complete the accurate automatic grasp and installation operation of the 3.6 kg target device in outdoor flight. Full article
Show Figures

Figure 1

43 pages, 8058 KB  
Article
Biomechanical Design and Adaptive Sliding Mode Control of a Human Lower Extremity Exoskeleton for Rehabilitation Applications
by Sk K. Hasan and Nafizul Alam
Robotics 2025, 14(10), 146; https://doi.org/10.3390/robotics14100146 - 21 Oct 2025
Viewed by 411
Abstract
The human lower extremity plays a vital role in locomotion, posture, and weight-bearing through coordinated motion at the hip, knee, and ankle joints. These joints facilitate essential functions including flexion, extension, and internal and external rotation. To address mobility impairments through personalized therapy, [...] Read more.
The human lower extremity plays a vital role in locomotion, posture, and weight-bearing through coordinated motion at the hip, knee, and ankle joints. These joints facilitate essential functions including flexion, extension, and internal and external rotation. To address mobility impairments through personalized therapy, this study presents the design, dynamic modeling, and control of a four-degree-of-freedom (4-DOF) lower limb exoskeleton robot. The system actuates hip flexion–extension and internal–external rotation, knee flexion–extension, and ankle dorsiflexion–plantarflexion. Anatomically aligned joint axes were incorporated to enhance biomechanical compatibility and reduce user discomfort. A detailed CAD model ensures ergonomic fit, modular adjustability, and the integration of actuators and sensors. The exoskeleton robot dynamic model, derived using Lagrangian mechanics, incorporates subject-specific anthropometric parameters to accurately reflect human biomechanics. A conventional sliding mode controller (SMC) was implemented to ensure robust trajectory tracking under model uncertainties. To overcome limitations of conventional SMC, an adaptive sliding mode controller with boundary layer-based chattering suppression was developed. Simulations in MATLAB/Simulink 2025 R2025a demonstrate that the adaptive controller achieves smoother torque profiles, minimizes high-frequency oscillations, and improves tracking accuracy. This work establishes a comprehensive framework for anatomically congruent exoskeleton design and robust control, supporting the future integration of physiological intent detection and clinical validation for neurorehabilitation applications. Full article
(This article belongs to the Section Neurorobotics)
Show Figures

Figure 1

19 pages, 3339 KB  
Article
Sensorless Control of Permanent Magnet Synchronous Motor in Low-Speed Range Based on Improved ESO Phase-Locked Loop
by Minghao Lv, Bo Wang, Xia Zhang and Pengwei Li
Processes 2025, 13(10), 3366; https://doi.org/10.3390/pr13103366 - 21 Oct 2025
Viewed by 377
Abstract
Aiming at the speed chattering problem caused by high-frequency square wave injection in permanent magnet synchronous motors (PMSMs) during low-speed operation (200–500 r/min), this study intends to improve the rotor position estimation accuracy of sensorless control systems as well as the system’s ability [...] Read more.
Aiming at the speed chattering problem caused by high-frequency square wave injection in permanent magnet synchronous motors (PMSMs) during low-speed operation (200–500 r/min), this study intends to improve the rotor position estimation accuracy of sensorless control systems as well as the system’s ability to resist harmonic interference and sudden load changes. The goal is to enhance the control performance of traditional control schemes in this scenario and meet the requirement of stable low-speed operation of the motor. First, the study analyzes the harmonic error propagation mechanism of high-frequency square wave injection and finds that the traditional PI phase-locked loop (PI-PLL) is susceptible to high-order harmonic interference during demodulation, which in turn leads to position estimation errors and periodic speed fluctuations. Therefore, the extended state observer phase-locked loop (ESO-PLL) is adopted to replace the traditional PI-PLL. A third-order extended state observer (ESO) is used to uniformly regard the system’s unmodeled dynamics, external load disturbances, and harmonic interference as “total disturbances”, realizing real-time estimation and compensation of disturbances, and quickly suppressing the impacts of harmonic errors and sudden load changes. Meanwhile, a dynamic pole placement strategy for the speed loop is designed to adaptively adjust the controller’s damping ratio and bandwidth parameters according to the motor’s operating states (loaded/unloaded, steady-state/transient): large poles are used in the start-up phase to accelerate response, small poles are switched in the steady-state phase to reduce errors, and a smooth attenuation function is used in the transition phase to achieve stable parameter transition, balancing the system’s dynamic response and steady-state accuracy. In addition, high-frequency square wave voltage signals are injected into the dq axes of the rotating coordinate system, and effective rotor position information is extracted by combining signal demodulation with ESO-PLL to realize decoupling of high-frequency response currents. Verification through MATLAB/Simulink simulation experiments shows that the improved strategy exhibits significant advantages in the low-speed range of 200–300 r/min: in the scenario where the speed transitions from 200 r/min to 300 r/min with sudden load changes, the position estimation curve of ESO-PLL basically overlaps with the actual curve, while the PI-PLL shows obvious deviations; in the start-up and speed switching phases, dynamic pole placement enables the motor to respond quickly without overshoot and no obvious speed fluctuations, whereas the traditional fixed-pole PI control has problems of response lag or overshoot. In conclusion, the “ESO-PLL + dynamic pole placement” cooperative control strategy proposed in this study effectively solves the problems of harmonic interference and load disturbance caused by high-frequency square wave injection in the low-speed range and significantly improves the accuracy and robustness of PMSM sensorless control. This strategy requires no additional hardware cost and achieves performance improvement only through algorithm optimization. It can be directly applied to PMSM control systems that require stable low-speed operation, providing a reliable solution for the promotion of sensorless control technology in low-speed precision fields. Full article
Show Figures

Figure 1

23 pages, 5554 KB  
Article
Design and Gait Simulation Study of Wheel-Legged Conversion Device Used in Hexapod Bionic Robot
by Yidong Mu, Shaoqing Wang, Anfu Guo, Peng Qu, Wenchao Han, Qing Yan, Haibin Liu and Chunxia Liu
Processes 2025, 13(10), 3364; https://doi.org/10.3390/pr13103364 - 21 Oct 2025
Viewed by 378
Abstract
By emulating the morphological structures of organisms, bionic robots achieve enhanced locomotion efficiency, stability, and environmental adaptability. Inspired by insect morphology and biological locomotion mechanisms, a wheel-legged transformation device for a hexapedal robot is proposed in this work. First, an iris-type wheel-legged transformation [...] Read more.
By emulating the morphological structures of organisms, bionic robots achieve enhanced locomotion efficiency, stability, and environmental adaptability. Inspired by insect morphology and biological locomotion mechanisms, a wheel-legged transformation device for a hexapedal robot is proposed in this work. First, an iris-type wheel-legged transformation mechanism is designed. Subsequently, the operational principle of the iris–link composite mechanism is analyzed, and kinematic modeling of the transformation process is conducted. Finally, joint angle rotation, positional variation, and their effects under different gait states are examined through simulation of three typical gait patterns. Experimental results demonstrate that the proposed design significantly improves the motion stability of the bionic hexapedal robot. Furthermore, the adoption of a hollow leg structure reduces weight while enhancing locomotion flexibility, thereby strengthening the robot’s overall capability to respond to external disturbances. In summary, this study offers a valuable reference for the future development of wheel-legged transformable bionic robots. Full article
(This article belongs to the Section Biological Processes and Systems)
Show Figures

Figure 1

10 pages, 242 KB  
Article
Nerve Transfers and Adjunct Procedures for Restoration of Shoulder External Rotation in Obstetrical Brachial Plexus Palsy: Long-Term Outcomes and Review of the Literature
by Filippo M. Sénès, Annalisa Valore, Chiara Arrigoni, Maria Grazia Calevo and Nunzio Catena
J. Clin. Med. 2025, 14(20), 7415; https://doi.org/10.3390/jcm14207415 - 20 Oct 2025
Viewed by 295
Abstract
Background: Obstetrical brachial plexus palsy (OBPP) often results in medial shoulder contracture, with limited abduction and external rotation due to muscle imbalance and joint deformities. Late nerve transfers, such as spinal accessory nerve (SAN) to suprascapular nerve (SSN) transfer, combined with soft [...] Read more.
Background: Obstetrical brachial plexus palsy (OBPP) often results in medial shoulder contracture, with limited abduction and external rotation due to muscle imbalance and joint deformities. Late nerve transfers, such as spinal accessory nerve (SAN) to suprascapular nerve (SSN) transfer, combined with soft tissue release, represent a therapeutic option for shoulder reanimation in children presenting after infancy. Methods: 56 children treated between 2007 and 2019 have been evaluated. Inclusion criteria were as follows: age at time of surgery > 9 months, no primary reconstruction of the brachial plexus, late presentation, two years of follow-up. Patients were divided into groups based on age (<18 months vs. >18 months) and procedures: SAN to SSN transfer associated with subscapularis release (58.9%), SAN to SSN transfer associated with coracohumeral ligament release (17.9%), isolated SAN to SSN (12.5%), multiple nerve transfer (10.7%). Universal Mallet Grading Score was applied. A review of literature on the topic published on Pub Med up to December 2024 was associated with the retrospective analysis of clinical data. Results: At 2 years 84% of patients achieved Mallet Scores > 3, with progressive improvement up to 5 years. No significant differences were observed between age groups or type of palsy. Coracohumeral ligament release demonstrated comparable effectiveness to subscapularis release with fewer complications. Secondary surgical interventions were required in 30% of cases, mainly in those undergoing multiple nerve transfers. Conclusions: SAN to SSN transfer is a reliable and effective procedure for restoring shoulder external rotation. Coracohumeral ligament release provides a minimally invasive means to improve passive range of motion while preserving internal rotation muscle integrity. These combined interventions may reduce the need for more invasive secondary surgeries. Full article
(This article belongs to the Special Issue Innovation in Hand Surgery)
39 pages, 9661 KB  
Article
Flight-Parameter-Based Motion Vector Prediction for Drone Video Compression
by Altuğ Şimşek, Ahmet Öncü and Günhan Dündar
Drones 2025, 9(10), 720; https://doi.org/10.3390/drones9100720 - 16 Oct 2025
Viewed by 277
Abstract
Block-based hybrid video coders typically use inter-prediction and bidirectionally coded (B) frames to improve compression efficiency. For this purpose, they employ look-ahead buffers, perform out-of-sequence frame coding, and implement similarity search-based general-purpose algorithms for motion estimation. While effective, these methods increase computational complexity [...] Read more.
Block-based hybrid video coders typically use inter-prediction and bidirectionally coded (B) frames to improve compression efficiency. For this purpose, they employ look-ahead buffers, perform out-of-sequence frame coding, and implement similarity search-based general-purpose algorithms for motion estimation. While effective, these methods increase computational complexity and may not suit delay-sensitive practical applications such as real-time drone video transmission. If future motion can be predicted from external metadata, encoding can be optimized with lower complexity. In this study, a mathematical model for predicting motion vectors in drone video using only flight parameters is proposed. A remote-controlled drone with a fixed downward-facing camera recorded 4K video at 50 fps during autonomous flights over a marked terrain. Four flight parameters were varied independently, altitude, horizontal speed, vertical speed, and rotational rate. OpenCV was used to detect ground markers and compute motion vectors for temporal distances of 5 and 25 frames. Polynomial surface fitting was applied to derive motion models for translational, rotational, and elevational motion, which were later combined. The model was validated using complex motion scenarios (e.g., circular, ramp, helix), yielding worst-case prediction errors of approximately −1 ± 3 and −6 ± 14 pixels at 5 and 25 frames, respectively. The results suggest that flight-aware modeling enables accurate and low-complexity motion vector prediction for drone video coding. Full article
Show Figures

Figure 1

12 pages, 655 KB  
Systematic Review
Descriptive Profile of Hip Rotation in Athletic, Injured and Non-Active Populations: A Systematic Review
by Maria Figueroa-Mayordomo, Cristina Salar-Andreu, Julio Fernández-Garrido, Luís González-Lago and Josep Benitez-Martinez
Encyclopedia 2025, 5(4), 170; https://doi.org/10.3390/encyclopedia5040170 - 16 Oct 2025
Viewed by 339
Abstract
Objectives: This systematic review aimed to examine hip rotator range of motion (ROM) and strength values across athletic, injured, and non-active populations, and to determine how these values differ when measured at different hip flexion angles. Methods: A systematic literature search was conducted [...] Read more.
Objectives: This systematic review aimed to examine hip rotator range of motion (ROM) and strength values across athletic, injured, and non-active populations, and to determine how these values differ when measured at different hip flexion angles. Methods: A systematic literature search was conducted in accordance with PRISMA guidelines across six electronic databases (PubMed, Scopus, Web of Science, SPORTDiscus, CINAHL, and Medline) from inception to June 2025. Eligible studies included observational, cross-sectional, case-control, or randomized controlled trial (RCT) studies that quantitatively assessed hip IR/ER ROM and/or strength in defined population groups (athletic, injured, or non-active). Two reviewers independently screened titles, abstracts, and full texts, extracted data on study design, population characteristics, measurement methods, and outcome variables, and assessed risk of bias using an established tool. Discrepancies were resolved by a third reviewer. Results: 11 studies met the inclusion criteria, including 1276 participants across athletic, injured, and non-active populations. Hip rotator ROM was measured in nine studies and strength in three, with varying testing angles (0° and/or 90° hip flexion). Overall, athletes showed greater ROM at 0° compared to injured and non-active groups, but had reduced ROM at 90° relative to non-active participants. Non-active individuals had the lowest ROM at 0°. Strength findings, though limited, indicated higher values at 90° than at 0°. Conclusions: Hip rotator ROM and strength vary across populations and testing angles, with ROM generally lower and strength higher at 90° of hip flexion. Due to methodological inconsistencies, findings should be interpreted as directional evidence, reinforcing the need for standardized assessment protocols in future research. Full article
(This article belongs to the Section Biology & Life Sciences)
Show Figures

Figure 1

15 pages, 282 KB  
Article
Effects of 4-Week Complex Decongestive Therapy in the Management of Breast Cancer-Related Arm Lymphedema in Montenegrin Women Post-Mastectomy and Chemo/Radiotherapy
by Miloš Kuzmanović and Dušan Mustur
Healthcare 2025, 13(20), 2596; https://doi.org/10.3390/healthcare13202596 - 15 Oct 2025
Viewed by 377
Abstract
Objectives: In this study, we aimed to assess the effects of complete decongestive therapy (CDT) on reducing lymphedema and enhancing gross motor strength (GMS), functional ability in the upper arm, quality of life (QoL), and pain relief among women who had undergone breast [...] Read more.
Objectives: In this study, we aimed to assess the effects of complete decongestive therapy (CDT) on reducing lymphedema and enhancing gross motor strength (GMS), functional ability in the upper arm, quality of life (QoL), and pain relief among women who had undergone breast cancer surgery and chemo/radiotherapy in Montenegro. Methods: This prospective observational/pilot study included 50 women with breast cancer-related arm lymphedema, with an average age of 60.88 ± 12.78 years. The four-week Phase1-CDT program involved manual lymphatic drainage, compression bandaging, skin care, tailored kinesitherapy and patient education. Measurements included arm edema circumference compared to the contralateral arm, pain severity (VAS), arm muscle strength (MMT), functional ability (QDASH), and overall QoL (WHOQOL-BREF). Results: Following CDT, significant reductions in lymphedema circumference were observed in various areas and overall (p = 0.002), along with improvements in overall upper-arm GMS (p = 0.002) and specific upper-extremity movements such as wrist and forearm flexion, supination, and external rotation (p < 0.001). Significant improvements were also observed in pain severity and QDASH scores (p < 0.001), and overall QoL significantly increased (p < 0.001). Muscle strength in the hand, wrist, forearm, and shoulder also improved significantly (p < 0.05). We found a negative correlation between edema size and motor function in different muscle groups of the upper extremities, as well as between the QDASH score, quality of life, and overall upper-arm gross motor strength. Conclusions: It was observed that the four-week Phase 1-CDT program significantly improved lymphedema severity, functional abilities, gross motor strength, quality of life, and pain levels in Montenegrin women with breast cancer who had undergone mastectomy and chemo/radiotherapy. Our findings are limited to the immediate post-intervention period. This study is the first of its kind in Montenegro, suggesting the need for future randomized studies with a larger number of participants are needed. Full article
(This article belongs to the Special Issue Advances in Primary Health Care and Community Health)
Back to TopTop