Sign in to use this feature.

Years

Between: -

Subjects

remove_circle_outline
remove_circle_outline
remove_circle_outline
remove_circle_outline
remove_circle_outline
remove_circle_outline
remove_circle_outline

Journals

Article Types

Countries / Regions

Search Results (18)

Search Parameters:
Keywords = expert PID

Order results
Result details
Results per page
Select all
Export citation of selected articles as:
21 pages, 8691 KB  
Article
Hybrid Supervised and Reinforcement Learning for Motion-Sickness-Aware Path Tracking in Autonomous Vehicles
by Yukang Lv, Yi Chen, Ziguo Chen, Yuze Fan, Yongchao Tao, Rui Zhao and Fei Gao
Sensors 2025, 25(12), 3695; https://doi.org/10.3390/s25123695 - 12 Jun 2025
Cited by 1 | Viewed by 937
Abstract
Path tracking is an essential task for autonomous driving (AD), for which controllers are designed to issue commands so that vehicles will follow the path of upper-level decision planning properly to ensure operational safety, comfort, and efficiency. Current path-tracking methods still face challenges [...] Read more.
Path tracking is an essential task for autonomous driving (AD), for which controllers are designed to issue commands so that vehicles will follow the path of upper-level decision planning properly to ensure operational safety, comfort, and efficiency. Current path-tracking methods still face challenges in balancing tracking accuracy with computational overhead, and more critically, lack consideration for Motion Sickness (MS) mitigation. However, as AD applications divert occupants’ attention to non-driving activities at varying degrees, MS in self-driving vehicles has been significantly exacerbated. This study presents a novel framework, the Hybrid Supervised–Reinforcement Learning (HSRL), designed to reduce passenger discomfort while achieving high-precision tracking performance with computational efficiency. The proposed HSRL employs expert data-guided supervised learning to rapidly optimize the path-tracking model, effectively mitigating the sample efficiency bottleneck inherent in pure Reinforcement Learning (RL). Simultaneously, the RL architecture integrates a passenger MS mechanism into a multi-objective reward function. This design enhances model robustness and control performance, achieving both high-precision tracking and passenger comfort optimization. Simulation experiments demonstrate that the HSRL significantly outperforms Proportional–Integral–Derivative (PID) and Model Predictive Control (MPC), achieving improved tracking accuracy and significantly reducing passengers’ cumulative Motion Sickness Dose Value (MSDV) across several test scenarios. Full article
(This article belongs to the Section Vehicular Sensing)
Show Figures

Figure 1

25 pages, 6378 KB  
Article
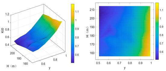
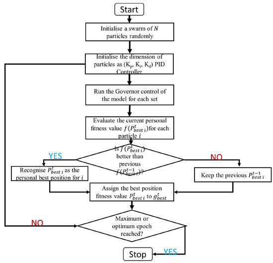
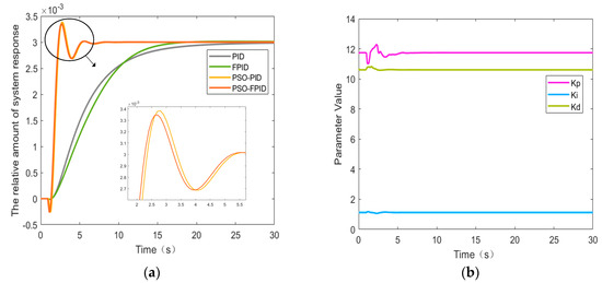
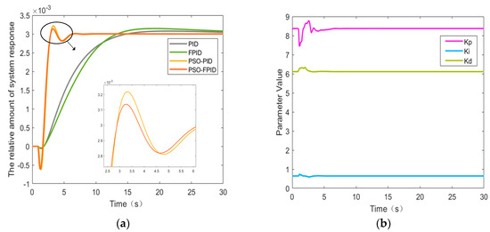
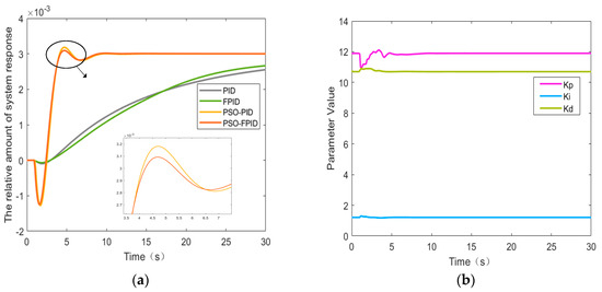
Adaptive PID Control of Hydropower Units Based on Particle Swarm Optimization and Fuzzy Inference
by Dong Liu, Shichao Zhao and Jingjing Zhang
Water 2025, 17(10), 1512; https://doi.org/10.3390/w17101512 - 16 May 2025
Viewed by 719
Abstract
Currently, fixed-parameter proportional–integral–derivative (PID) control is widely adopted by the governor of hydropower units (HPUs), which causes regulation performance to deteriorate during variable operating conditions. To solve this problem, a novel particle swarm optimization-based fuzzy PID (PSO-FPID) is proposed for the frequency regulation [...] Read more.
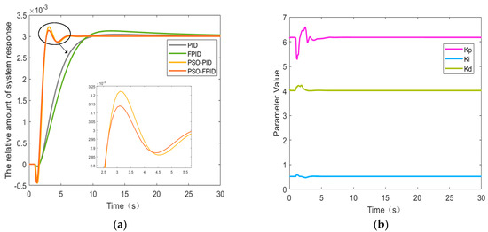
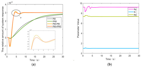
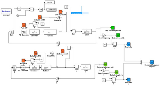
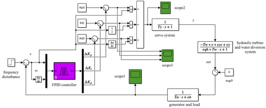
Currently, fixed-parameter proportional–integral–derivative (PID) control is widely adopted by the governor of hydropower units (HPUs), which causes regulation performance to deteriorate during variable operating conditions. To solve this problem, a novel particle swarm optimization-based fuzzy PID (PSO-FPID) is proposed for the frequency regulation of HPUs. The segment linearization model of HPU is first established to reflect the changes in the operating conditions. On this basis, FPID is designed based on expert experience. The PID control parameters are optimized using PSO under different operating conditions to determine the optimal initial values of the FPID controller. To verify the effectiveness of the proposed PSO-FPID, its performance is compared and analyzed with the actual PID, FPID, and particle swarm optimization-based PID (PSO-PID) in the MATLAB/Simulink platform. The results show that the average adjust time of PSO-FPID is 16.60 s less than that of PID, 18.05 s less than that of FPID, and 0.23 s less than that of PSO-PID. PSO-FPID can maintain better control performance than the other methods under most operating conditions. Full article
(This article belongs to the Section Hydraulics and Hydrodynamics)
Show Figures

Figure 1

20 pages, 9415 KB  
Article
Research on Adaptive Variable Impedance Control Method Based on Adaptive Neuro-Fuzzy Inference System
by Xianlun Wang, Chuanhuan Li, Dexin Cai and Yuxia Cui
Sensors 2025, 25(10), 3055; https://doi.org/10.3390/s25103055 - 12 May 2025
Viewed by 1003
Abstract
Precise force tracking and overshoot suppression are critical for manipulator dynamic contact tasks, especially in unstructured environments such as complex surface cleaning that rely on dynamic feedback from force sensors. Traditional impedance control methods exhibit limitations through excessive force overshoot and steady-state error, [...] Read more.
Precise force tracking and overshoot suppression are critical for manipulator dynamic contact tasks, especially in unstructured environments such as complex surface cleaning that rely on dynamic feedback from force sensors. Traditional impedance control methods exhibit limitations through excessive force overshoot and steady-state error, severely impacting cleaning performance. To address this problem, this paper introduces proportional–integral–derivative (PID) control based on the traditional impedance model and verifies the stability and convergence of the controller through theoretical analysis. Meanwhile, to improve the applicability of the controller and avoid using expert experience to formulate fuzzy rules, this paper designs an adaptive neuro-fuzzy inference system (ANFIS) to dynamically adjust the update rate. To validate the effectiveness of the proposed method, simulation experiments mirroring real-world scenarios of contact cleaning tasks are constructed in Simulink. The results demonstrate that, compared to adaptive impedance control (AIC) and adaptive variable impedance control (AVIC), the proposed controller achieves a faster steady-state response and exhibits negligible overshoot and minimal force steady-state error during both constant and sinusoidal force tracking. Furthermore, the controller demonstrates superior stability under abrupt changes in stiffness and desired force. Full article
(This article belongs to the Section Intelligent Sensors)
Show Figures

Figure 1

24 pages, 4726 KB  
Article
Soft Fuzzy Reinforcement Neural Network Proportional–Derivative Controller
by Qiang Han, Farid Boussaid and Mohammed Bennamoun
Appl. Sci. 2025, 15(9), 5071; https://doi.org/10.3390/app15095071 - 2 May 2025
Viewed by 822
Abstract
Controlling systems with highly nonlinear or uncertain dynamics present significant challenges, particularly when using conventional Proportional–Integral–Derivative (PID) controllers, as they can be difficult to tune. While PID controllers can be adapted for such systems using advanced tuning methods, they often struggle with lag [...] Read more.
Controlling systems with highly nonlinear or uncertain dynamics present significant challenges, particularly when using conventional Proportional–Integral–Derivative (PID) controllers, as they can be difficult to tune. While PID controllers can be adapted for such systems using advanced tuning methods, they often struggle with lag and instability due to their integral action. In contrast, fuzzy Proportional–Derivative (PD) controllers offer a more responsive alternative by eliminating reliance on error accumulation and enabling rule-based adaptability. However, their industrial adoption remains limited due to challenges in manual rule design. To overcome this limitation, Fuzzy Neural Networks (FNNs) integrate neural networks with fuzzy logic, enabling self-learning and reducing reliance on manually crafted rules. However, most fuzzy neural network PD (FNNPD) controllers rely on mean square error (MSE)-based training, which can be inefficient and unstable in complex, dynamic systems. To address these challenges, this paper presents a Soft Fuzzy Reinforcement Neural Network PD (SFPD) controller, integrating the Soft Actor–Critic (SAC) framework into FNNPD control to improve training speed and stability. While the actor–critic framework is widely used in reinforcement learning, its application to FNNPD controllers has been unexplored. The proposed controller leverages reinforcement learning to autonomously adjust parameters, eliminating the need for manual tuning. Additionally, entropy-regularized stochastic exploration enhances learning efficiency. It can operate with or without expert knowledge, leveraging neural network-driven adaptation. While expert input is not required, its inclusion accelerates convergence and improves initial performance. Experimental results show that the proposed SFPD controller achieves fast learning, superior control performance, and strong robustness to noise, making it effective for complex control tasks. Full article
Show Figures

Figure 1

24 pages, 14227 KB  
Article
Polynomial Regression-Based Predictive Expert System for Enhancing Hydraulic Press Performance over a 5G Network
by Denis Jankovič, Miha Pipan, Marko Šimic and Niko Herakovič
Appl. Sci. 2024, 14(24), 12016; https://doi.org/10.3390/app142412016 - 22 Dec 2024
Cited by 5 | Viewed by 1924
Abstract
In industrial applications, hydraulic presses maintain workloads by controlling the hydraulic cylinder to extend and retract, ensuring optimum tracking performance in terms of position and force. Dealing with nonlinear and multinode systems, such as hydraulic systems, often requires an advanced approach that frequently [...] Read more.
In industrial applications, hydraulic presses maintain workloads by controlling the hydraulic cylinder to extend and retract, ensuring optimum tracking performance in terms of position and force. Dealing with nonlinear and multinode systems, such as hydraulic systems, often requires an advanced approach that frequently includes machine learning and artificial intelligence methods. Introducing an adaptive control system to significantly improve the response of hydraulic presses is a challenge. Therefore, a polynomial regression model predictive control (PR-MPC) mechanism is proposed in this paper to compensate for external disturbances such as the forming processes and friction dynamics. Using polynomial regression modeling and least squares optimization, the approach produces highly accurate data-driven models with an R2 value of 0.948 to 0.999. The simplicity of polynomial regression facilitates the integration of smart algorithms into an expert system with additional decision-making rules. Remote adaptive control integrated within a 5G network is based on I 4.0 distributed system guidelines that provide insights into the behavior of the hydraulic press. The results of real-time experiments have shown that the PR-MPC mechanism integrated into the expert system reduces the absolute response error of the hydraulic press by up to 98.7% compared to the initial control system with a PID regulation. Full article
(This article belongs to the Special Issue Research Progress on Hydraulic Fluid and Hydraulic Systems)
Show Figures

Figure 1

20 pages, 6266 KB  
Article
Temperature Control Strategy for Hydrogen Fuel Cell Based on IPSO-Fuzzy-PID
by Zenghui Liu, Haiying Dong and Xiping Ma
Electronics 2024, 13(24), 4949; https://doi.org/10.3390/electronics13244949 - 16 Dec 2024
Cited by 3 | Viewed by 1357
Abstract
Hydrogen fuel cell water-thermal management systems suffer from slow response time, system vibration, and large temperature fluctuations of load current changes. In this paper, Logistic chaotic mapping, adaptively adjusted inertia weight and asymmetric learning factors are integrated to enhance the particle swarm optimization [...] Read more.
Hydrogen fuel cell water-thermal management systems suffer from slow response time, system vibration, and large temperature fluctuations of load current changes. In this paper, Logistic chaotic mapping, adaptively adjusted inertia weight and asymmetric learning factors are integrated to enhance the particle swarm optimization (PSO) algorithm and combine it with fuzzy control to propose an innovative improved particle swarm optimization-Fuzzy control strategy. The use of chaotic mapping to initialize the particle population effectively enhances the variety within the population, which subsequently improves the ability to search globally and prevents the algorithm from converging to a local optimum solution prematurely; by improving the parameters of learning coefficients and inertia weight, the global and local search abilities are balanced at different stages of the algorithm, so as to strengthen the algorithm’s convergence certainty while reducing the dependency on expert experience in fuzzy control. In this article, a fuel cell experimental platform is constructed to confirm the validity and efficiency of the recommended strategy, and the analysis reveals that the improved particle swarm optimization (IPSO) algorithm demonstrates better convergence performance than the standard PSO algorithm. The IPSO-Fuzzy-PID management approach is capable of providing a swift response and significantly diminishing the overshoot in the system’s performance, to maintain the system’s safe and stable execution. Full article
(This article belongs to the Section Systems & Control Engineering)
Show Figures

Figure 1

28 pages, 12381 KB  
Article
Application of Variable Universe Fuzzy PID Controller Based on ISSA in Bridge Crane Control
by Youyuan Zhang, Lisang Liu and Dongwei He
Electronics 2024, 13(17), 3534; https://doi.org/10.3390/electronics13173534 - 5 Sep 2024
Cited by 7 | Viewed by 1622
Abstract
Bridge crane control systems are complex, multivariable, and nonlinear. However, traditional fuzzy PID control methods rely heavily on expert experience for initial parameter tuning and lack adaptive adjustment for the fuzzy universe. To address these issues, we propose a variable universe fuzzy PID [...] Read more.
Bridge crane control systems are complex, multivariable, and nonlinear. However, traditional fuzzy PID control methods rely heavily on expert experience for initial parameter tuning and lack adaptive adjustment for the fuzzy universe. To address these issues, we propose a variable universe fuzzy PID controller based on the improved sparrow search algorithm (ISSA-VUFPID). First, tent chaotic mapping is introduced to initialize the sparrow population, enhancing the algorithm’s global search capability. Second, the positioning strategy of the northern goshawk exploration phase is integrated to improve the search thoroughness of sparrow discoverers within the solution space and to accelerate the optimization process. Last, an adaptive t-distribution perturbation strategy is employed to adjust the positions of sparrow followers, enhancing the algorithm’s optimization ability in the early search phase and focusing on local exploitation in the later phase to improve solution accuracy. The improved algorithm is applied to tune the initial parameters of the PID controller. Additionally, system error and its rate of change are introduced as dynamic parameters into the scaling factor, which is used to achieve adaptive adjustment of the fuzzy universe, thereby enhancing the safety and reliability of the control system. Simulation results demonstrate that the proposed ISSA-VUFPID control method outperforms ISSA-FPID and ISSA-PID control methods. It reduces the trolley’s positioning time and minimizes the load’s maximum swing angle, demonstrating strong adaptability and robustness. This approach greatly enhances the robustness and safety of bridge crane operations. Full article
Show Figures

Figure 1

33 pages, 12225 KB  
Article
Coordinated Control for the Trajectory Tracking of Four-Wheel Independent Drive–Four-Wheel Independent Steering Electric Vehicles Based on the Extension Dynamic Stability Domain
by Yiran Qiao, Xinbo Chen and Dongxiao Yin
Actuators 2024, 13(2), 77; https://doi.org/10.3390/act13020077 - 16 Feb 2024
Cited by 8 | Viewed by 3293
Abstract
In order to achieve multi-objective chassis coordination control for 4WID-4WIS (four-wheel independent drive–four-wheel independent steering) electric vehicles, this paper proposes a coordinated control strategy based on the extension dynamic stability domain. The strategy aims to improve trajectory tracking performance, handling stability, and economy. [...] Read more.
In order to achieve multi-objective chassis coordination control for 4WID-4WIS (four-wheel independent drive–four-wheel independent steering) electric vehicles, this paper proposes a coordinated control strategy based on the extension dynamic stability domain. The strategy aims to improve trajectory tracking performance, handling stability, and economy. Firstly, expert PID and model predictive control (MPC) are used to achieve longitudinal speed tracking and lateral path tracking, respectively. Then, a sliding mode controller is designed to calculate the expected yaw moment based on the desired vehicle states. The extension theory is applied to construct the extension dynamic stability domain, taking into account the linear response characteristics of the vehicle. Different coordinated allocation strategies are devised within various extension domains, providing control targets for direct yaw moment control (DYC) and active rear steering (ARS). Additionally, a compound torque distribution strategy is formulated to optimize driving efficiency and tire adhesion rate, considering the vehicle’s economy and stability requirements. The optimal wheel torque is calculated based on this strategy. Simulation tests using the CarSim/Simulink co-simulation platform are conducted under slalom test and double-lane change to validate the control strategy. The test results demonstrate that the proposed control strategy not only achieves good trajectory tracking performance but also enhances handling stability and economy during driving. Full article
(This article belongs to the Special Issue Integrated Intelligent Vehicle Dynamics and Control)
Show Figures

Figure 1

10 pages, 239 KB  
Review
The Therapy of SARS-CoV-2 Infection in Children
by Kathryn M. Edwards
J. Clin. Med. 2024, 13(1), 120; https://doi.org/10.3390/jcm13010120 - 25 Dec 2023
Cited by 1 | Viewed by 2467
Abstract
The impact of SARS-CoV-2 infections in children has fortunately been lower than what has been seen in adults. However, even previously healthy children have developed severe disease, sometimes with subsequent mortality, and those who are infants or adolescents, are from racial and ethnic [...] Read more.
The impact of SARS-CoV-2 infections in children has fortunately been lower than what has been seen in adults. However, even previously healthy children have developed severe disease, sometimes with subsequent mortality, and those who are infants or adolescents, are from racial and ethnic minority groups, or have certain chronic conditions are at higher risk of these outcomes. During the pandemic, extensive studies of therapeutic agents, including antivirals and immunomodulators, were conducted in adults. Few trials included children, and most were in older children and adolescents. Thus, the potential benefits of therapies in children must be extrapolated from adult evidence. Despite these limitations, advisory committees of the National Institute of Health (NIH), the Infectious Disease Society of America (IDSA), and the Pediatric Infectious Diseases Society (PIDS) were constituted, and expert consensus guidelines were developed. This review provides a synthesis of those comprehensive recommendations for therapy in children. These address treatment during the early infectious period with antiviral agents, including remdesivir and nirmatrelvir/ritonavir, as well as treatment in the later period of immune dysregulation with corticosteroids and immunomodulators. In addition, the therapeutic approach for multisystem inflammatory syndrome in children (MIS-C), also referred to as Pediatric Inflammatory Multisystem Syndrome temporally associated with SARS-CoV-2 (PIMS-TS), is also provided. Full article
(This article belongs to the Special Issue Pediatrics and COVID-19)
17 pages, 4689 KB  
Article
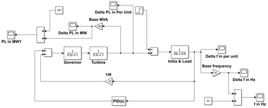
Load Frequency Control Using the Particle Swarm Optimisation Algorithm and PID Controller for Effective Monitoring of Transmission Line
by Vincent N. Ogar, Sajjad Hussain and Kelum A. A. Gamage
Energies 2023, 16(15), 5748; https://doi.org/10.3390/en16155748 - 1 Aug 2023
Cited by 30 | Viewed by 4179
Abstract
Load frequency control (LFC) plays a critical role in maintaining the stability and reliability of the power system. With the increasing integration of renewable energy sources and the growth of complex interconnected grids, efficient and robust LFC strategies are in high demand. In [...] Read more.
Load frequency control (LFC) plays a critical role in maintaining the stability and reliability of the power system. With the increasing integration of renewable energy sources and the growth of complex interconnected grids, efficient and robust LFC strategies are in high demand. In recent years, the combination of particle swarm optimisation (PSO) and proportional-integral-derivative (PID) controllers, known as PSP-PID, has been used as a promising approach to enhance the performance of LFC systems. This article focuses on modelling, simulation, optimisation, advanced control techniques, expert knowledge, and iterative refinement of the power system to help achieve suitable PID settings that provide reliable control of the load frequency in the transmission line. The performance indices of the proposed algorithm are measured by the integral time absolute error (ITAE), which is 0.0005757 with 0.9994 Ki, 0.7741 Kp, and 0.1850 Kd. The model system dynamics are tested by varying the load frequency from 300 MW to 350 MW at a load variation of 0.2. The suggested controller algorithm is relatively reliable and accurate in power system management and protection load frequency control compared to conventional methods. This work can be improved by including more generating stations synchronised into a single network. Full article
Show Figures

Figure 1

29 pages, 10245 KB  
Article
Trajectory Tracking Coordinated Control of 4WID-4WIS Electric Vehicle Considering Energy Consumption Economy Based on Pose Sensors
by Yiran Qiao, Xinbo Chen and Zhen Liu
Sensors 2023, 23(12), 5496; https://doi.org/10.3390/s23125496 - 11 Jun 2023
Cited by 9 | Viewed by 2798
Abstract
In order to improve the stability and economy of 4WID-4WIS (four-wheel independent drive—four-wheel independent steering) electric vehicles in trajectory tracking, this paper proposes a trajectory tracking coordinated control strategy considering energy consumption economy. First, a hierarchical chassis coordinated control architecture is designed, which [...] Read more.
In order to improve the stability and economy of 4WID-4WIS (four-wheel independent drive—four-wheel independent steering) electric vehicles in trajectory tracking, this paper proposes a trajectory tracking coordinated control strategy considering energy consumption economy. First, a hierarchical chassis coordinated control architecture is designed, which includes target planning layer, and coordinated control layer. Then, the trajectory tracking control is decoupled based on the decentralized control structure. Expert PID and Model Predictive Control (MPC) are employed to realize longitudinal velocity tracking and lateral path tracking, respectively, which calculate generalized forces and moments. In addition, with the objective of optimal overall efficiency, the optimal torque distribution for each wheel is achieved using the Mutant Particle Swarm Optimization (MPSO) algorithm. Additionally, the modified Ackermann theory is used to distribute wheel angles. Finally, the control strategy is simulated and verified using Simulink. Comparing the control results of the average distribution strategy and the wheel load distribution strategy, it can be concluded that the proposed coordinated control not only provides good trajectory tracking but also greatly improves the overall efficiency of the motor operating points, which enhances the energy economy and realizes the multi-objective coordinated control of the chassis. Full article
Show Figures

Figure 1

42 pages, 21970 KB  
Article
UPAFuzzySystems: A Python Library for Control and Simulation with Fuzzy Inference Systems
by Martín Montes Rivera, Ernesto Olvera-Gonzalez and Nivia Escalante-Garcia
Machines 2023, 11(5), 572; https://doi.org/10.3390/machines11050572 - 22 May 2023
Cited by 7 | Viewed by 7543
Abstract
The main goal of control theory is input tracking or system stabilization. Different feedback-computed controlled systems exist in this area, from deterministic to soft methods. Some examples of deterministic methods are Proportional (P), Proportional Integral (PI), Proportional Derivative (PD), Proportional Integral Derivative (PID), [...] Read more.
The main goal of control theory is input tracking or system stabilization. Different feedback-computed controlled systems exist in this area, from deterministic to soft methods. Some examples of deterministic methods are Proportional (P), Proportional Integral (PI), Proportional Derivative (PD), Proportional Integral Derivative (PID), Linear Quadratic (LQ), Linear Quadratic Gaussian (LQG), State Feedback (SF), Adaptative Regulators, and others. Alternatively, Fuzzy Inference Systems (FISs) are soft-computing methods that allow using the human expertise in logic in IF–THEN rules. The fuzzy controllers map the experience of an expert in controlling the plant. Moreover, the literature shows that optimization algorithms allow the adaptation of FISs to control different processes as a black-box problem. Python is the most used programming language, which has seen the most significant growth in recent years. Using open-source libraries in Python offers numerous advantages in software development, including saving time and resources. In this paper, we describe our proposed UPAFuzzySystems library, developed as an FISs library for Python, which allows the design and implementation of fuzzy controllers with transfer-function and state-space simulations. Additionally, we show the use of the library for controlling the position of a DC motor with Mamdani, FLS, Takagi–Sugeno, fuzzy P, fuzzy PD, and fuzzy PD-I controllers. Full article
(This article belongs to the Topic Intelligent Systems and Robotics)
Show Figures

Figure 1

25 pages, 1652 KB  
Article
Performance Portrait Method: An Intelligent PID Controller Design Based on a Database of Relevant Systems Behaviors
by Mikulas Huba and Damir Vrancic
Sensors 2022, 22(10), 3753; https://doi.org/10.3390/s22103753 - 14 May 2022
Cited by 10 | Viewed by 3203
Abstract
The article deals with a computer-supported design of optimal and robust proportional-integral-derivative controllers with two degrees of freedom (2DoF PID) for a double integrator plus dead-time (DIPDT) process model. The particular design steps are discussed in terms of intelligent use of all available [...] Read more.
The article deals with a computer-supported design of optimal and robust proportional-integral-derivative controllers with two degrees of freedom (2DoF PID) for a double integrator plus dead-time (DIPDT) process model. The particular design steps are discussed in terms of intelligent use of all available information extracted from a database of control tracking and disturbance rejection step responses, assessed by means of speed and shape-related performance measures of the process input and output signals, and denoted as a performance portrait (PP). In the first step, the performance portrait method (PPM) is used as a verifier, for whether the pilot analytical design of the parallel 2DoF PID controller did not omit practically interesting settings and shows that the optimality analysis can easily be extended to the series 2DoF PID controller. This is important as an explicit observer of equivalent input disturbances based on steady-state input values of ultra-local DIPDT models, while the parallel PID controller, allowing faster transient responses, needs an additional low-pass filter when reconstructed equivalent disturbances are required. Next, the design efficiency and conciseness in analyzing the effects of different loop parameters on changing the optimal processes are illustrated by an iterative use of PPM, enabled by the visualization of the dependence between the closed-loop performance and the shapes of the control signals. The main contributions of the paper are the introduction of PPM as an intelligent method for controller tuning that mimics an expert with sufficient experience to select the most appropriate solution based on a database of known solutions. In doing so, the analysis in this paper reveals new, previously undiscovered dimensions of PID control design. Full article
(This article belongs to the Special Issue Intelligent Control and Digital Twins for Industry 4.0)
Show Figures

Figure 1

28 pages, 7445 KB  
Article
Research on Improved Intelligent Control Processes Based on Three Kinds of Artificial Intelligence
by Jingwei Liu, Tianyue Li, Jiaming Chen and Fangling Zuo
Processes 2020, 8(9), 1042; https://doi.org/10.3390/pr8091042 - 26 Aug 2020
Cited by 3 | Viewed by 2679
Abstract
Autotuning and online tuning of control parameters in control processes (OTP) are widely used in practice, such as in chemical production and industrial control processes. Better performance (such as dynamic speed and steady-state error) and less repeated manual-tuning workloads in bad environments for [...] Read more.
Autotuning and online tuning of control parameters in control processes (OTP) are widely used in practice, such as in chemical production and industrial control processes. Better performance (such as dynamic speed and steady-state error) and less repeated manual-tuning workloads in bad environments for engineers are expected. The main works are as follows: Firstly, a change ratio for expert system and fuzzy-reasoning-based OTP methods is proposed. Secondly, a wavelet neural-network-based OTP method is proposed. Thirdly, comparative simulations are implemented in order to verify the performance. Finally, the stability of the proposed methods is analyzed based on the theory of stability. Results and effects are as follows: Firstly, the proposed control parameters of online tuning methods of artificial-intelligence-based classical control (AI-CC) systems had better performance, such as faster speed and smaller error. Secondly, stability was verified theoretically, so the proposed method could be applied with a guarantee. Thirdly, a lot of repeated and unsafe manual-based tuning work for engineers can be replaced by AI-CC systems. Finally, an upgrade solution AI-CC, with low cost, is provided for a large number of existing classical control systems. Full article
Show Figures

Figure 1

27 pages, 1196 KB  
Article
Intelligent Controller Design by the Artificial Intelligence Methods
by Jana Nowaková and Miroslav Pokorný
Sensors 2020, 20(16), 4454; https://doi.org/10.3390/s20164454 - 10 Aug 2020
Cited by 19 | Viewed by 5022
Abstract
With the rapid growth of sensor networks and the enormous, fast-growing volumes of data collected from these sensors, there is a question relating to the way it will be used, and not only collected and analyzed. The data from these sensors are traditionally [...] Read more.
With the rapid growth of sensor networks and the enormous, fast-growing volumes of data collected from these sensors, there is a question relating to the way it will be used, and not only collected and analyzed. The data from these sensors are traditionally used for controlling and influencing the states and processes. Standard controllers are available and successfully implemented. However, with the data-driven era we are facing nowadays, there is an opportunity to use controllers, which can include much information, elusive for common controllers. Our goal is to propose a design of an intelligent controller–a conventional controller, but with a non-conventional method of designing its parameters using approaches of artificial intelligence combining fuzzy and genetics methods. Intelligent adaptation of parameters of the control system is performed using data from the sensors measured in the controlled process. All parts designed are based on non-conventional methods and are verified by simulations. The identification of the system’s parameters is based on parameter optimization by means of its difference equation using genetic algorithms. The continuous monitoring of the quality control process and the design of the controller parameters are conducted using a fuzzy expert system of the Mamdani type, or the Takagi–Sugeno type. The concept of the intelligent control system is open and easily expandable. Full article
Show Figures

Figure 1

Back to TopTop