Trajectory Tracking Coordinated Control of 4WID-4WIS Electric Vehicle Considering Energy Consumption Economy Based on Pose Sensors
Abstract
1. Introduction
- A hierarchical architecture for chassis coordinated control is designed including target planning layer, and coordinated control layer.
- The MPC path tracking controller is constructed, which takes into account stability constraints, such as yaw rate and tire slip angle.
- The MPSO algorithm is also used to create a mapping of the distribution coefficients by optimizing the torque distribution between the front and rear wheels offline, thereby reducing the computational cost.
2. Trajectory Tracking Coordinated Control
2.1. Vehicle Model
2.1.1. Vehicle Dynamic Model
2.1.2. Tire Model
2.1.3. Motor Model
- In-wheel motor model
- 2.
- Steering Motor Model
2.2. Vehicle State Acquisition
2.3. Chassis Control Architecture
2.4. Target Planning
2.4.1. Longitudinal Velocity Tracking
- (1)
- When , it means that the velocity error is unacceptably large. At this time, the controller should be directly output at full load, that is, .
- (2)
- When , it means that the velocity deviation is changing in the direction of increasing the absolute value of the deviation, or the deviation is a certain fixed value, then
- (3)
- When , it means that the absolute value of the velocity deviation is changing in the direction of decreasing, or has reached the equilibrium state. Then, the controller output remains unchanged, that is, .
- (4)
- When , it means that the velocity deviation is in the limit state, then,
- (5)
- When , it means that the absolute value of the velocity deviation is very small. In order to reduce the static error of the system, PI control is implemented:
2.4.2. Lateral Path Tracking
- Predictive model design
- 2.
- Objective function design
- 3.
- Constraints design
2.5. Coordinated Control
2.5.1. Torque Distribution Control
- The rule-based torque distribution control does not consider the operating efficiency of motor, resulting in unnecessary power loss.
- The real-time optimization of torque distribution places a large burden on the controller. The solution speed may be slow and this problem may even be unsolvable under certain working conditions.
- The economic evaluation generally uses the size of the control variables as the index, ignoring the efficiency characteristics of the motor. This is mainly due to the nonlinearity of the motor model, which makes it impossible to optimize the system efficiency in real-time.
- Left-right distribution
- 2.
- Front-rear distribution
- (1)
- The MPSO algorithm
- (2)
- Distribution coefficient optimization
- (3)
- Torque calculation for each wheel
2.5.2. Wheel Angle Distribution Control
3. Simulation and Results
3.1. Environment and Configuration
3.1.1. Average Distribution Strategy
3.1.2. Wheel Load Distribution Strategy
3.2. Results and Analysis
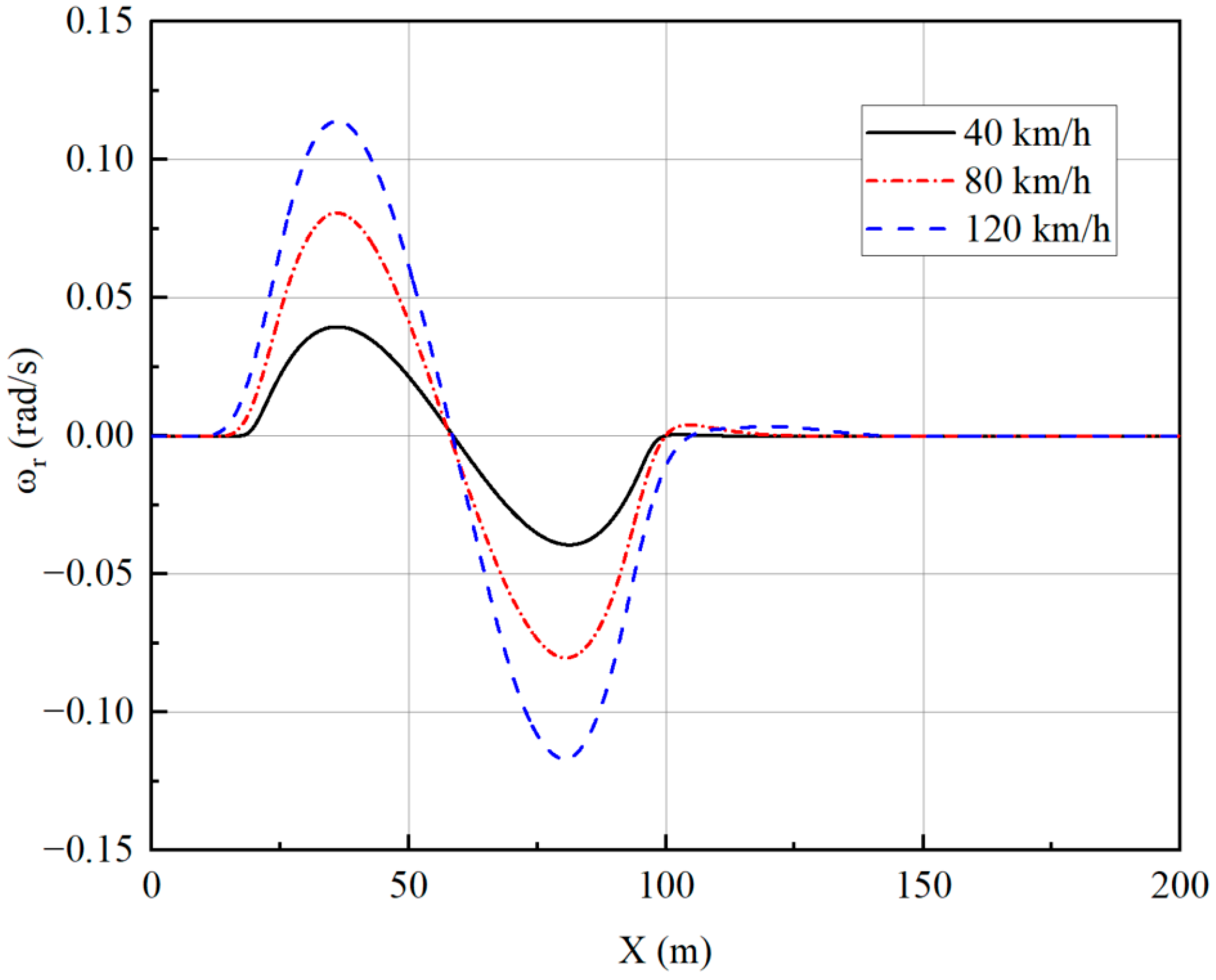
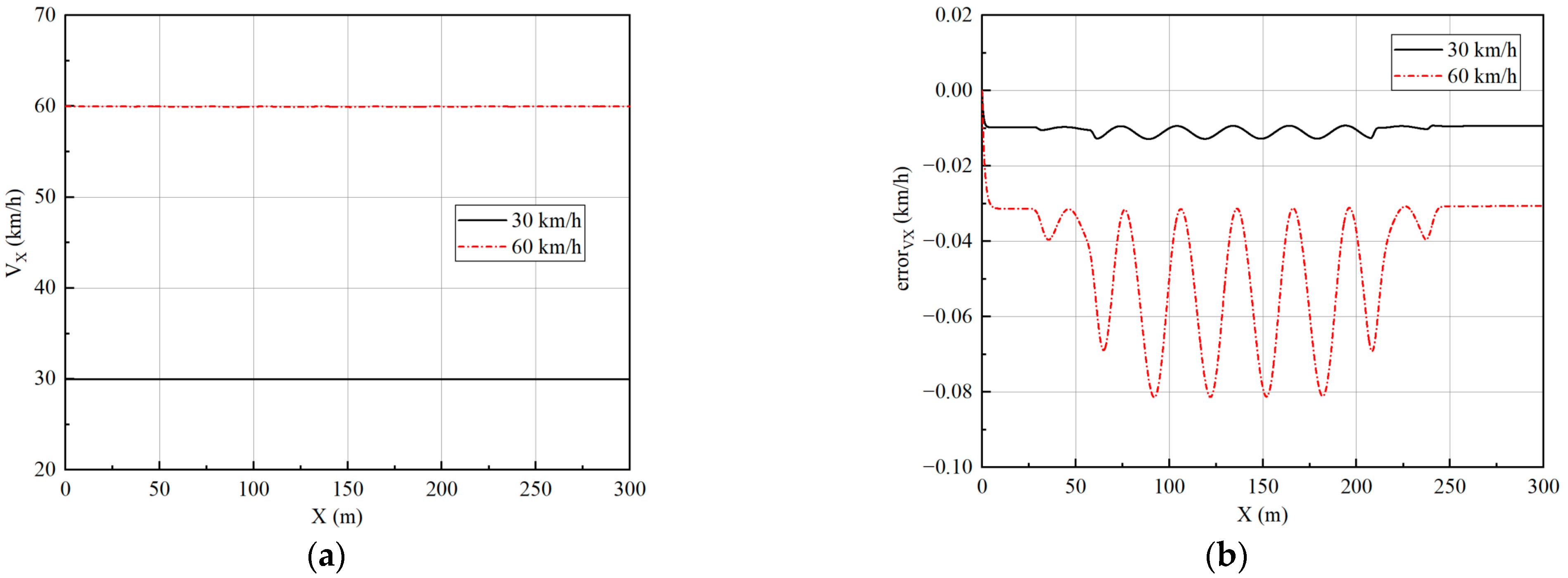
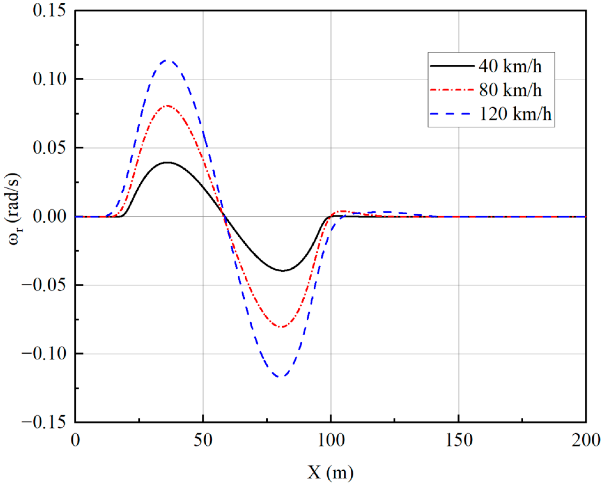
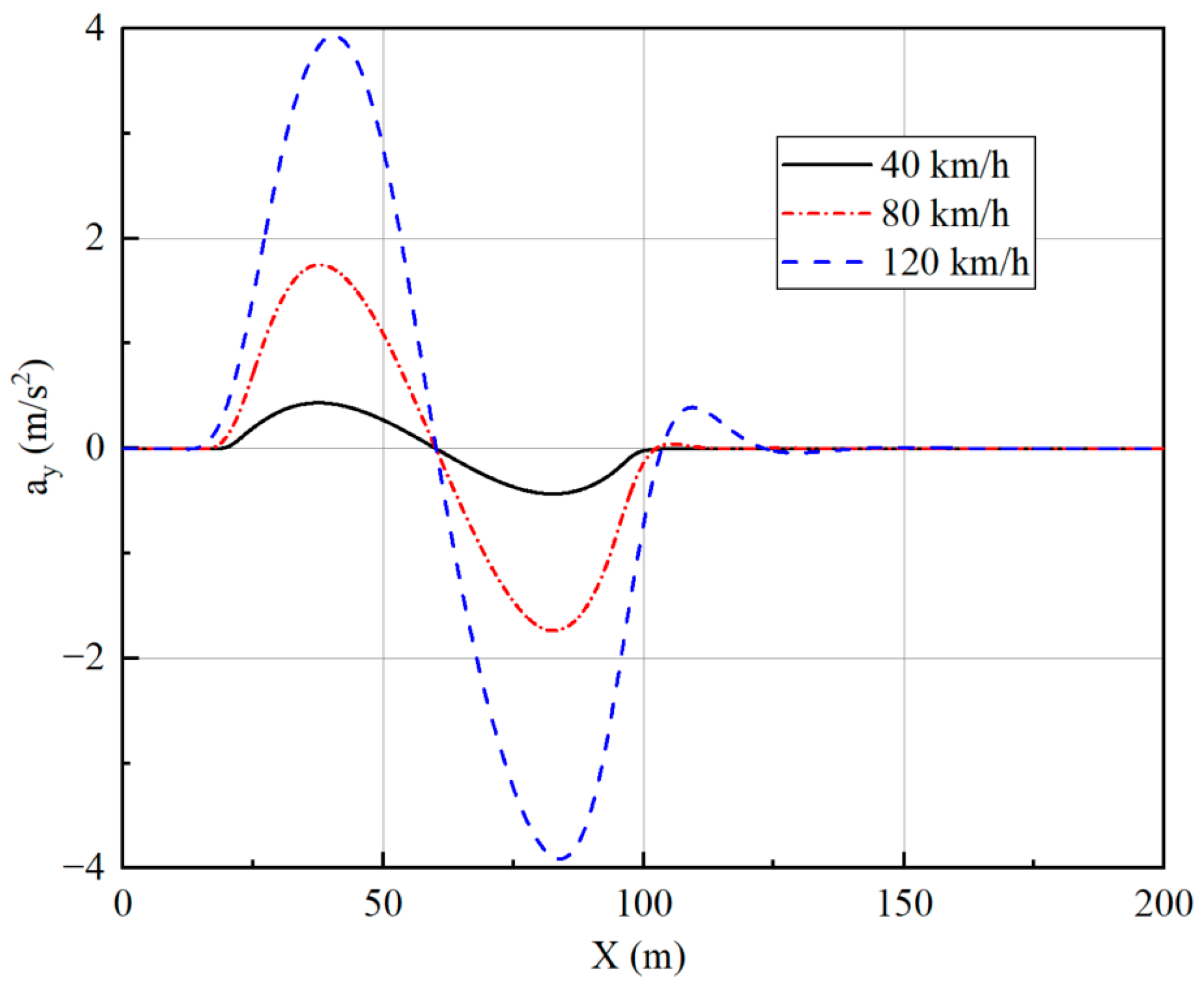
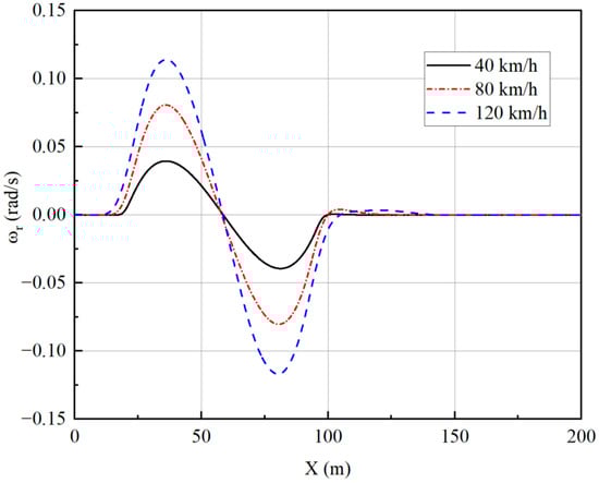
3.2.1. Single-Lane Change
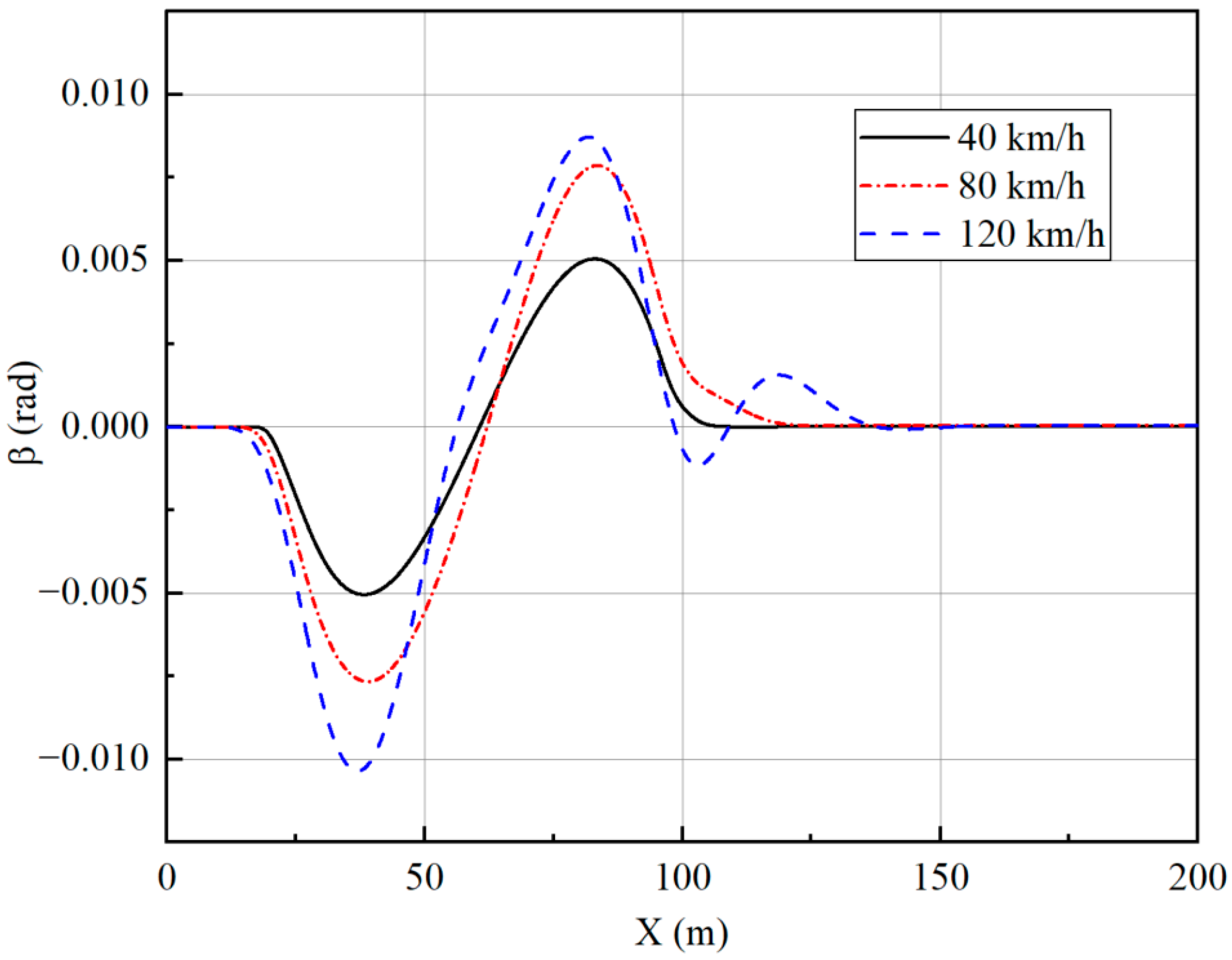
- Trajectory tracking effect
- 2.
- Economy optimization effect
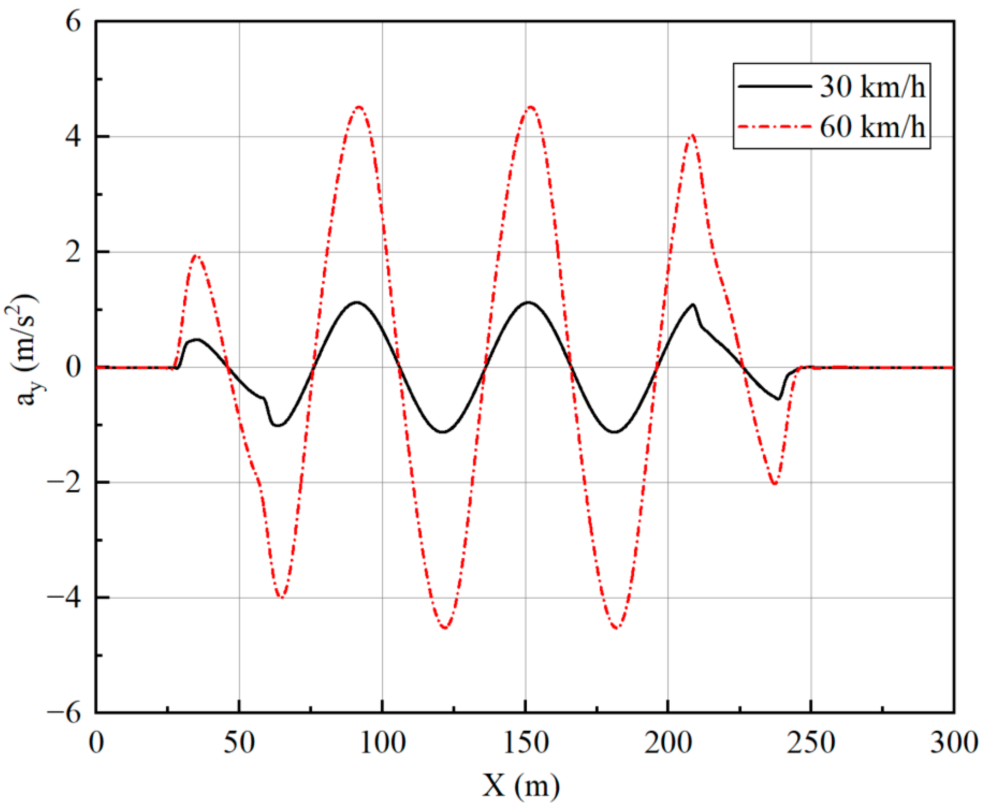
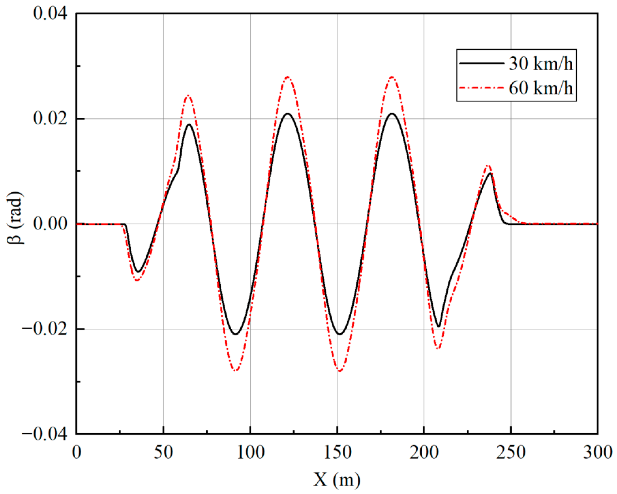
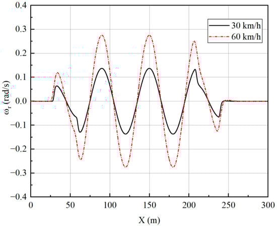
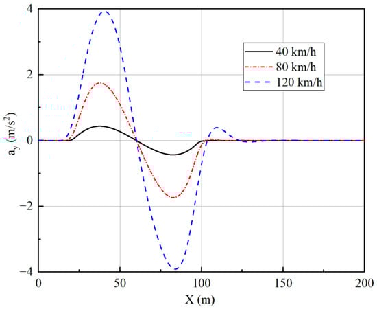
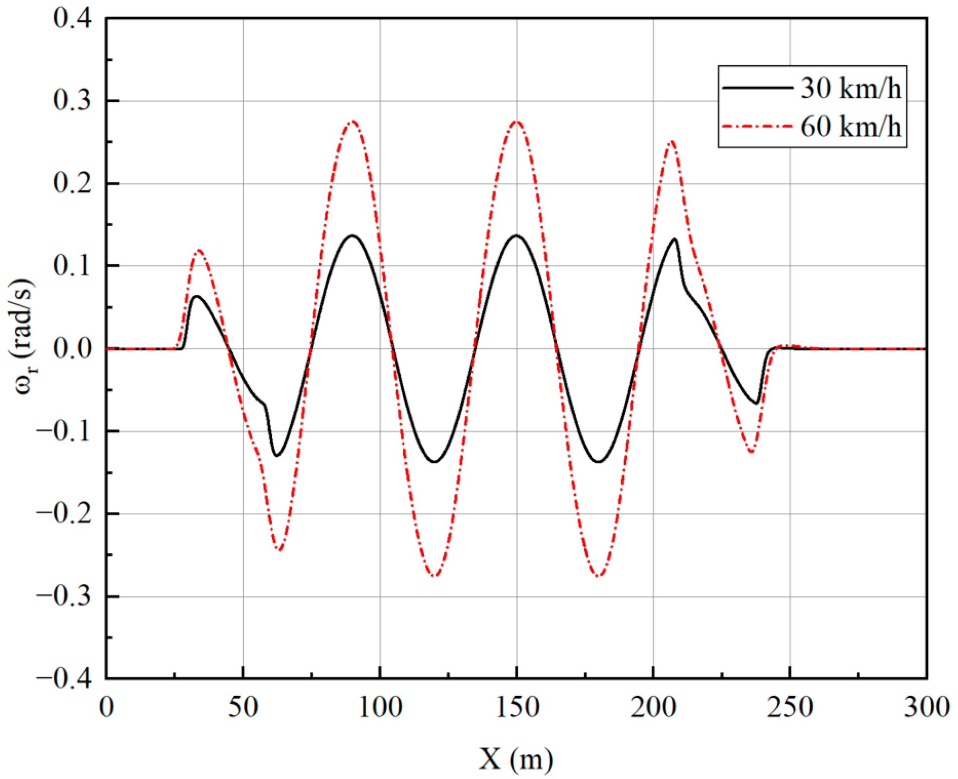
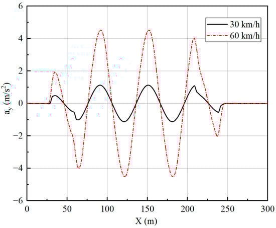
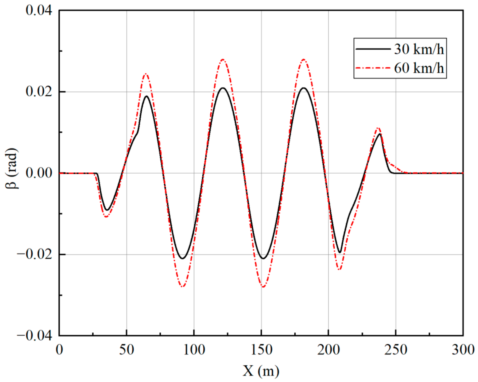
3.2.2. Slalom Test
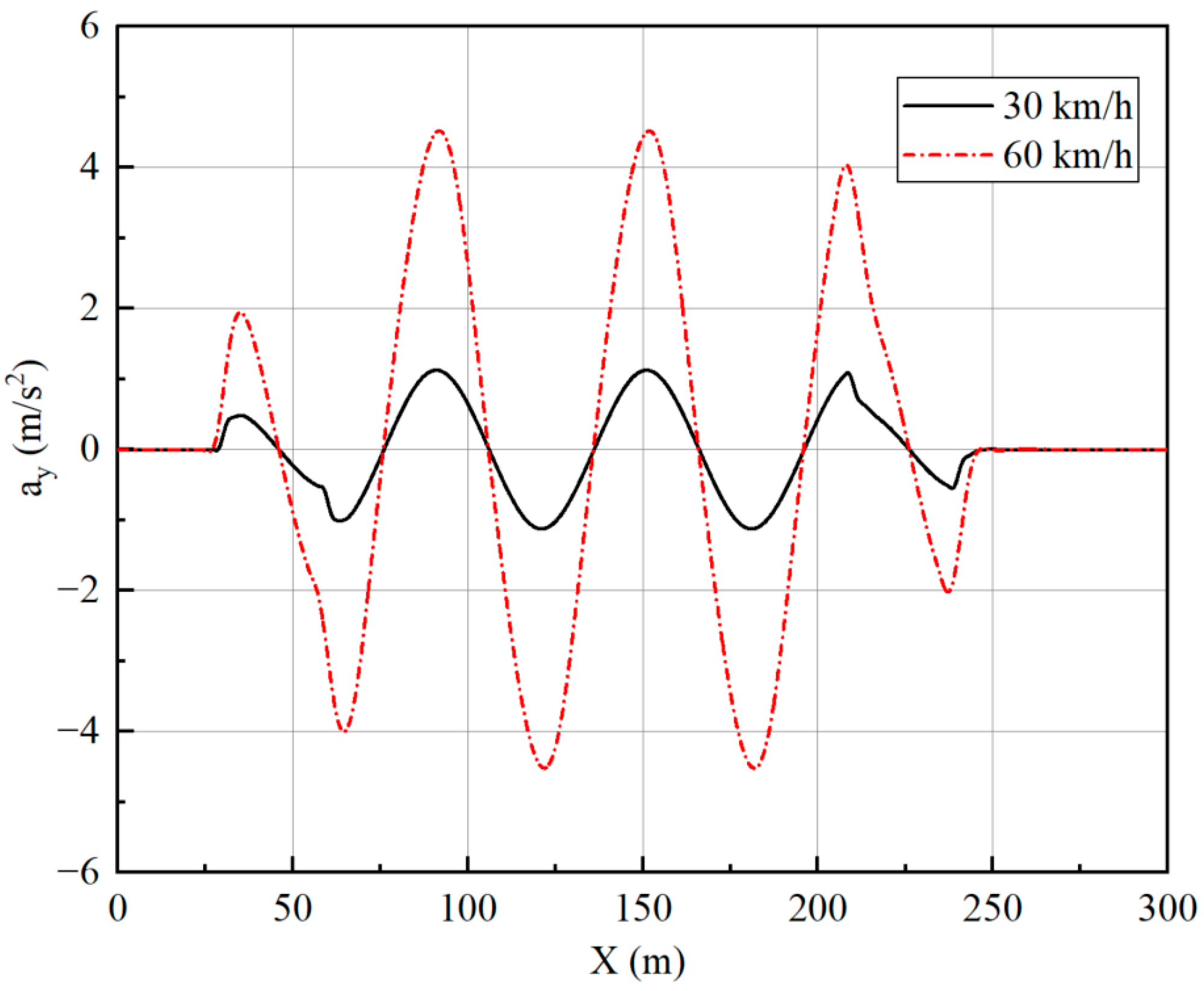
- Trajectory tracking effect
- 2.
- Economy optimization effect
4. Conclusions
Author Contributions
Funding
Institutional Review Board Statement
Informed Consent Statement
Data Availability Statement
Acknowledgments
Conflicts of Interest
References
- Peng, H.; Chen, X.B. Active Safety Control of X-by-Wire Electric Vehicles: A Survey. Sae Int. J. Veh. Dyn. Stab. NVH 2022, 6, 115–133. [Google Scholar] [CrossRef]
- Tong, Y.W.; Li, C.; Wang, G.; Jing, H. Integrated Path-Following and Fault-Tolerant Control for Four-Wheel Independent-Driving Electric Vehicles. Automot. Innov. 2022, 5, 311–323. [Google Scholar] [CrossRef]
- Tianjun, Z.; Wan, H.; Wang, Z.; Wei, M.; Xu, X.; Zhiliang, Z.; Sanmiao, D. Model Reference Adaptive Control of Semi-active Suspension Model Based on AdaBoost Algorithm for Rollover Prediction. SAE Int. J. Veh. Dyn. Stab. NVH 2021, 6, 71–86. [Google Scholar] [CrossRef]
- Song, P.; Tomizuka, M.; Zong, C.F. A novel integrated chassis controller for full drive-by-wire vehicles. Veh. Syst. Dyn. 2015, 53, 215–236. [Google Scholar] [CrossRef]
- Lai, F.; Huang, C.; Jiang, C. Comparative Study on Bifurcation and Stability Control of Vehicle Lateral Dynamics. SAE Int. J. Veh. Dyn. Stab. NVH 2021, 6, 35–52. [Google Scholar] [CrossRef]
- Zhang, N.; Wang, J.; Li, Z.; Xu, N.; Ding, H.; Zhang, Z.; Guo, K.; Xu, H. Coordinated Optimal Control of AFS and DYC for Four-Wheel Independent Drive Electric Vehicles Based on MAS Model. Sensors 2023, 23, 505. [Google Scholar] [CrossRef]
- Peng, H.N.; Wang, W.D.; Xiang, C.L.; Li, L.; Wang, X.Y. Torque Coordinated Control of Four In-Wheel Motor Independent-Drive Vehicles With Consideration of the Safety and Economy. IEEE Trans. Veh. Technol. 2019, 68, 9604–9618. [Google Scholar] [CrossRef]
- Wang, J.N.; Gao, S.L.; Wang, K.; Wang, Y.; Wang, Q.S. Wheel torque distribution optimization of four-wheel independent-drive electric vehicle for energy efficient driving. Control Eng. Pract. 2021, 110, 104779. [Google Scholar] [CrossRef]
- Zhang, B.H.; Lu, S.B.; Zhao, L.; Xiao, K.X. Fault-tolerant control based on 2D game for independent driving electric vehicle suffering actuator failures. Proc. Inst. Mech. Eng. Part D-J. Automob. Eng. 2020, 234, 3011–3025. [Google Scholar] [CrossRef]
- Xu, X.; Zhang, Y.; Wang, X.; Fang, J.G.; Chen, J.W.; Li, J.X. Searching superior crashworthiness performance by constructing variable thickness honeycombs with biomimetic cells. Int. J. Mech. Sci. 2022, 235, 107718. [Google Scholar] [CrossRef]
- Zhang, Y.; Xu, X.; Fang, J.G.; Huang, W.Z.; Wang, J. Load characteristics of triangular honeycomb structures with self-similar hierarchical features. Eng. Struct. 2022, 257, 114114. [Google Scholar] [CrossRef]
- Li, D.F.; Liu, A.; Pan, H.; Chen, W.T. Safe, Efficient and Socially-Compatible Decision of Automated Vehicles: A Case Study of Unsignalized Intersection Driving. Automot. Innov. 2023, 6, 1–16. [Google Scholar] [CrossRef]
- Xie, F.; Liang, G.; Chien, Y.R. Highly Robust Adaptive Sliding Mode Trajectory Tracking Control of Autonomous Vehicles. Sensors 2023, 23, 3454. [Google Scholar] [CrossRef] [PubMed]
- Oh, K.; Seo, J. Development of a Sliding-Mode-Control-Based Path-Tracking Algorithm with Model-Free Adaptive Feedback Action for Autonomous Vehicles. Sensors 2023, 23, 405. [Google Scholar] [CrossRef]
- Zhang, Y.G.; Chen, G.Y.; Hu, H.Y.; Gao, Z.H. Hierarchical Parking Path Planning Based on Optimal Parking Positions. Automot. Innov. 2023, 6, 1–11. [Google Scholar] [CrossRef]
- Guo, N.Y.; Zhang, X.D.; Zou, Y. Real-Time Predictive Control of Path Following to Stabilize Autonomous Electric Vehicles Under Extreme Drive Conditions. Automot. Innov. 2022, 5, 453–470. [Google Scholar] [CrossRef]
- Mashadi, B.; Ahmadizadeh, P.; Majidi, M. Integrated Controller Design for Path Following in Autonomous Vehicles. In Autonomous Vehicles for Safer Driving; SAE: Warrendale, PA, USA, 2011. [Google Scholar]
- Li, B.Y.; Du, H.P.; Li, W.H. Trajectory control for autonomous electric vehicles with in-wheel motors based on a dynamics model approach. Iet Intell. Transp. Syst. 2016, 10, 318–330. [Google Scholar] [CrossRef]
- Liu, R.Q.; Wei, M.X.; Zhao, W.Z. Trajectory tracking control of four wheel steering under high speed emergency obstacle avoidance. Int. J. Veh. Des. 2018, 77, 1–21. [Google Scholar] [CrossRef]
- Nah, J.; Yim, S. Vehicle Stability Control with Four-Wheel Independent Braking, Drive and Steering on In-Wheel Motor-Driven Electric Vehicles. Electronics 2020, 9, 1934. [Google Scholar] [CrossRef]
- Seo, Y.; Cho, K.; Nam, K. Integrated Yaw Stability Control of Electric Vehicle Equipped with Front/Rear Steer-by-Wire Systems and Four In-Wheel Motors. Electronics 2022, 11, 1277. [Google Scholar] [CrossRef]
- Xu, N.; Zhou, J.F.; Li, X.Y.; Li, F. Analysis of the Effect of Inflation Pressure on Vehicle Handling and Stability under Combined Slip Conditions Based on the UniTire Model. Sae Int. J. Veh. Dyn. Stab. NVH 2021, 5, 259–277. [Google Scholar] [CrossRef]
- Li, F.; Xu, N.; Wang, Z.; Gruber, P.; Bruzelius, F.; Ran, S. Letter from the Special Issue Editors. SAE Int. J. Veh. Dyn. Stab. NVH 2021, 5, 229–231. [Google Scholar] [CrossRef]
- Yu, Z.T.; Wang, J.M. Automatic Vehicle Trajectory Tracking Control with Self-calibration of Nonlinear Tire Force Function. In Proceedings of the 2017 American Control Conference (ACC), IEEE, Seattle, WA, USA, 24–26 May 2017; pp. 985–990. [Google Scholar]
- Attia, R.; Orjuela, R.; Basset, M. Combined longitudinal and lateral control for automated vehicle guidance. Veh. Syst. Dyn. 2014, 52, 261–279. [Google Scholar] [CrossRef]
- Wang, Y.Q.; Ye, Y.H.; Zhang, H. A Stable Tracking Control Method for an Autonomous Welding Mobile Robot. Chem. Mech. Mater. Eng. 2011, 79, 264–269. [Google Scholar] [CrossRef]
- Attia, R.; Orjuela, R.; Basset, M. Coupled longitudinal and lateral control strategy improving lateral stability for autonomous vehicle. In Proceedings of the 2012 American Control Conference (ACC), IEEE, Montreal, QC, Canada, 27–29 June 2012; pp. 6509–6514. [Google Scholar]
- Brown, M.; Gerdes, J.C. Coordinating Tire Forces to Avoid Obstacles Using Nonlinear Model Predictive Control. IEEE Trans. Intell. Veh. 2020, 5, 21–31. [Google Scholar] [CrossRef]
- Choi, S.; d’Andrea-Novel, B.; Fliess, M.; Mounier, H.; Villagra, J. Model-free control of automotive engine and brake for Stop-and-Go scenarios. In Proceedings of the European Control Conference, Budapest, Hungary, 23–26 August 2009. [Google Scholar]
- Falcone, P.; Borrelli, F.; Asgari, J.; Tseng, H.E.; Hrovat, D. Predictive active steering control for autonomous vehicle systems. IEEE Trans. Control Syst. Technol. 2007, 15, 566–580. [Google Scholar] [CrossRef]
- Falcone, P.; Borrelli, F.; Tseng, H.E.; Asgari, J.; Hrovat, D. Linear time-varying model predictive control and its application to active steering systems: Stability analysis and experimental validation. Int. J. Robust Nonlinear Control 2008, 18, 862–875. [Google Scholar] [CrossRef]
- Falcone, P.; Tseng, H.E.; Borrelli, F.; Asgari, J.; Hrovat, D. MPC-based yaw and lateral stabilisation via active front steering and braking. Veh. Syst. Dyn. 2008, 46, 611–628. [Google Scholar] [CrossRef]
- Wong, A.; Kasinathan, D.; Khajepour, A.; Chen, S.K.; Litkouhi, B. Integrated torque vectoring and power management framework for electric vehicles. Control Eng. Pract. 2016, 48, 22–36. [Google Scholar] [CrossRef]
- Liu, W.; Khajepour, A.; He, H.W.; Wang, H.; Huang, Y.J. Integrated Torque Vectoring Control for a Three-Axle Electric Bus Based on Holistic Cornering Control Method. IEEE Trans. Veh. Technol. 2018, 67, 2921–2933. [Google Scholar] [CrossRef]
- Marini, F.; Walczak, B. Particle swarm optimization (PSO). A tutorial. Chemom. Intell. Lab. Syst. 2015, 149, 153–165. [Google Scholar] [CrossRef]
























| Performance Index | 40 km/h | 80 km/h | 120 km/h | |
|---|---|---|---|---|
| Lateral displacement tracking error (m) | Maximum | 0.0115 | 0.0171 | 0.0234 |
| Average | 0.0024 | 0.0036 | 0.0053 | |
| Standard deviations | 0.0040 | 0.0058 | 0.0075 | |
| Heading angle tracking error (rad) | Maximum | 0.0012 | 0.0036 | 0.0042 |
| Average | 0.0002 | 0.0009 | 0.0009 | |
| Standard deviations | 0.0004 | 0.0012 | 0.0012 |
| Velocity (km/h) | Strategy | Maximum | Average |
|---|---|---|---|
| 40 | Rule 1 | 0.7356 | 0.7303 |
| Rule 2 | 0.7347 | 0.7283 | |
| Rule 3 | 0.8411 | 0.8375 | |
| 80 | Rule 1 | 0.8969 | 0.8877 |
| Rule 2 | 0.8970 | 0.8882 | |
| Rule 3 | 0.9276 | 0.9241 | |
| 120 | Rule 1 | 0.8973 | 0.8791 |
| Rule 2 | 0.8972 | 0.8793 | |
| Rule 3 | 0.9147 | 0.9107 |
| Performance Index | 30 km/h | 60 km/h | |
|---|---|---|---|
| Lateral displacement tracking error (m) | Maximum | 0.0412 | 0.0603 |
| Average | 0.0158 | 0.0241 | |
| Standard deviations | 0.0147 | 0.0214 | |
| Heading angle tracking error (rad) | Maximum | 0.0058 | 0.0129 |
| Average | 0.0011 | 0.0033 | |
| Standard deviations | 0.0010 | 0.0029 |
| Velocity (km/h) | Strategy | Maximum | Average |
|---|---|---|---|
| 30 | Rule 1 | 0.6404 | 0.6151 |
| Rule 2 | 0.6409 | 0.6121 | |
| Rule 3 | 0.7857 | 0.7484 | |
| 60 | Rule 1 | 0.8973 | 0.7995 |
| Rule 2 | 0.8971 | 0.7987 | |
| Rule 3 | 0.9345 | 0.8829 |
Disclaimer/Publisher’s Note: The statements, opinions and data contained in all publications are solely those of the individual author(s) and contributor(s) and not of MDPI and/or the editor(s). MDPI and/or the editor(s) disclaim responsibility for any injury to people or property resulting from any ideas, methods, instructions or products referred to in the content. |
© 2023 by the authors. Licensee MDPI, Basel, Switzerland. This article is an open access article distributed under the terms and conditions of the Creative Commons Attribution (CC BY) license (https://creativecommons.org/licenses/by/4.0/).
Share and Cite
Qiao, Y.; Chen, X.; Liu, Z. Trajectory Tracking Coordinated Control of 4WID-4WIS Electric Vehicle Considering Energy Consumption Economy Based on Pose Sensors. Sensors 2023, 23, 5496. https://doi.org/10.3390/s23125496
Qiao Y, Chen X, Liu Z. Trajectory Tracking Coordinated Control of 4WID-4WIS Electric Vehicle Considering Energy Consumption Economy Based on Pose Sensors. Sensors. 2023; 23(12):5496. https://doi.org/10.3390/s23125496
Chicago/Turabian StyleQiao, Yiran, Xinbo Chen, and Zhen Liu. 2023. "Trajectory Tracking Coordinated Control of 4WID-4WIS Electric Vehicle Considering Energy Consumption Economy Based on Pose Sensors" Sensors 23, no. 12: 5496. https://doi.org/10.3390/s23125496
APA StyleQiao, Y., Chen, X., & Liu, Z. (2023). Trajectory Tracking Coordinated Control of 4WID-4WIS Electric Vehicle Considering Energy Consumption Economy Based on Pose Sensors. Sensors, 23(12), 5496. https://doi.org/10.3390/s23125496

