Sign in to use this feature.

Years

Between: -

Subjects

remove_circle_outline
remove_circle_outline
remove_circle_outline
remove_circle_outline
remove_circle_outline
remove_circle_outline
remove_circle_outline
remove_circle_outline
remove_circle_outline

Journals

Article Types

Countries / Regions

Search Results (137)

Search Parameters:
Keywords = event-triggered transmission

Order results
Result details
Results per page
Select all
Export citation of selected articles as:
35 pages, 2970 KB  
Article
Sustainable Land-Use Policy: Land Price Circuit Breaker
by Jianhua Wang
Sustainability 2025, 17(24), 11232; https://doi.org/10.3390/su172411232 - 15 Dec 2025
Viewed by 106
Abstract
Rising residential land prices push up housing prices and worsen credit misallocation. These patterns emerge amid cyclical real estate fluctuations and heavy land-based public finance. Such pressures undermine macroeconomic stability and sustainable land-use. The land price circuit breaker is widely applied with a [...] Read more.
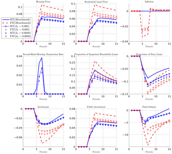
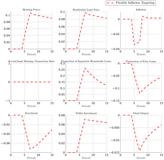
Rising residential land prices push up housing prices and worsen credit misallocation. These patterns emerge amid cyclical real estate fluctuations and heavy land-based public finance. Such pressures undermine macroeconomic stability and sustainable land-use. The land price circuit breaker is widely applied with a price cap and state dependence, yet its trigger mechanism and interaction with inflation targeting remain underexplored. This study addresses three core questions. First, how does the circuit breaker’s discrete trigger and rule-switching logic differ from traditional static price ceilings? Second, can the mechanism, via the collateral channel, restrain excessive land price hikes, improve credit allocation, and, thereby, stabilize land price dynamics and long-run macroeconomic performance? Third, how does the circuit breaker interact with inflation targeting, and through which endogenous channels does a strict target dampen housing prices and raise activation probability? This study develops a multi-sector DSGE model with an embedded land price circuit breaker. The price cap is modeled as an occasionally binding constraint. A dynamic price band and trigger indicator capture the policy’s switch between slack and binding states. The framework incorporates interactions among local governments, the central bank, developers, and households. It also links firms and the secondary housing market. Under different inflation-targeting rules, this study uses impulse responses, an event study, and welfare analysis to assess trigger conditions and macroeconomic effects. The findings are threefold. First, a strict inflation target increases the probability of a circuit breaker being triggered. It channels housing-demand shocks toward land prices and creates a “nominal anchor–relative price constraint” linkage. Second, once activated, the circuit breaker narrows the gap between land price and house-price growth. It weakens the procyclicality of collateral values. It also restrains credit expansion by impatient households. These effects redirect credit toward firms, improve corporate financing, reduce the decline in investment, and accelerate output recovery. Third, the circuit breaker limits new land supply and shifts demand toward the secondary housing market. This generates a supply-side effect that releases existing stock and stabilizes prices, thereby weakening the amplification mechanism of housing cycles. This study identifies the endogenous trigger logic and cross-market transmission of the land price circuit breaker under a strict inflation target. It shows that the mechanism is not merely a price-management tool in the land market but a systemic policy variable that links the real estate, finance, and fiscal sectors. By dampening real estate procyclicality, improving credit allocation, and stabilizing macroeconomic fluctuations, the mechanism offers new insights for sustainable land-use policy and macroeconomic stabilization. Full article
(This article belongs to the Section Economic and Business Aspects of Sustainability)
Show Figures

Figure 1

22 pages, 698 KB  
Article
Model Predictive Load Frequency Control for Virtual Power Plants: A Mixed Time- and Event-Triggered Approach Dependent on Performance Standard
by Liangyi Pu, Jianhua Hou, Song Wang, Haijun Wei, Yanghaoran Zhu, Xiong Xu and Xiongbo Wan
Technologies 2025, 13(12), 571; https://doi.org/10.3390/technologies13120571 - 5 Dec 2025
Viewed by 281
Abstract
To improve the load frequency control (LFC) performance of power systems incorporating virtual power plants (VPPs) while reducing network resource consumption, a model predictive control (MPC) method based on a mixed time/event-triggered mechanism (MTETM) is proposed. This mechanism integrates an event-triggered mechanism (ETM) [...] Read more.
To improve the load frequency control (LFC) performance of power systems incorporating virtual power plants (VPPs) while reducing network resource consumption, a model predictive control (MPC) method based on a mixed time/event-triggered mechanism (MTETM) is proposed. This mechanism integrates an event-triggered mechanism (ETM) with a time-triggered mechanism (TTM), where ETM avoids unnecessary signal transmission and TTM ensures fundamental control performance. Subsequently, for the LFC system incorporating VPPs, a state hard constrained MPC problem is formulated and transformed into a “min-max” optimisation problem. Through linear matrix inequalities, the original optimisation problem is equivalently transformed into an auxiliary optimisation problem, with the optimal control law solved via rolling optimisation. Theoretical analysis demonstrates that the proposed auxiliary optimisation problem possesses recursive feasibility, whilst the closed-loop system satisfies input-to-state stability. Finally, validation through case studies of two regional power systems demonstrates that the MPC approach based on MTETM outperforms the ETM-based MPC approach in terms of control performance while maintaining a triggering rate of 33.3%. Compared with the TTM-based MPC algorithm, the MTETM-based MPC method reduces the triggering rate by 66.7%, while maintaining nearly equivalent control performance. Consequently, the results validate the effectiveness of the MTETM-based MPC approach in conserving network resources while maintaining control performance. Full article
(This article belongs to the Special Issue Next-Generation Distribution System Planning, Operation, and Control)
Show Figures

Figure 1

19 pages, 5630 KB  
Article
Microscopic Evidence of Haze Formation During the COVID-19 Lockdown in Beijing: Insights from Physicochemical Properties
by Wenjun Li, Longyi Shao, Timothy P. Jones, Hong Li, Daizhou Zhang, Weijun Li, Jian Gao, M. Santosh, Shushen Yang and Kelly BéruBé
Toxics 2025, 13(12), 1051; https://doi.org/10.3390/toxics13121051 - 4 Dec 2025
Viewed by 255
Abstract
The COVID-19 pandemic emerging in early 2020 triggered global responses. In China, stringent lockdown measures were implemented to suppress the rapid spread of infection, resulting in substantial reductions in anthropogenic emissions. However, several atmospheric haze episodes still occurred. Previous studies have investigated the [...] Read more.
The COVID-19 pandemic emerging in early 2020 triggered global responses. In China, stringent lockdown measures were implemented to suppress the rapid spread of infection, resulting in substantial reductions in anthropogenic emissions. However, several atmospheric haze episodes still occurred. Previous studies have investigated the cause of these haze events predominantly based on the average concentration obtained from bulk analysis, while the micro-scale structure and composition of the haze particles remain poorly understood. In this study, we analyzed the morphology and elemental composition of individual airborne particles collected from an urban area of Beijing in early 2020 using high-resolution transmission electron microscopy equipped with Energy Dispersive X-ray Spectroscopy. The results show that sulfur-dominant, ultrafine, and mixed particles were the most abundant types during the pollution process. Reduced human activities corresponded with a lower percentage of anthropogenic-derived soot, organic particles, and metal-containing particles. Atmospheric aging analysis demonstrated that secondary aerosols were the most significant component during the haze events. The proportion of core–shell particles increased with the intensification of the pollution, while the core/shell ratio of the particles decreased, suggesting a substantial contribution of secondary aerosols to the haze formation. Despite reductions in anthropogenic emissions, larger proportions of secondary aerosol formation enhanced aerosol aging and thereby caused episodic haze pollution during the lockdown period. Full article
Show Figures

Figure 1

13 pages, 6491 KB  
Article
Event-Triggered Neural Network Multivariate Control for Wastewater Treatment Process
by Yin Su, Yixin He, Jipeng Guo and Dawei Wang
Actuators 2025, 14(12), 570; https://doi.org/10.3390/act14120570 - 25 Nov 2025
Viewed by 242
Abstract
Recently, the neural network control has been widely used in the field of wastewater treatment process (WWTP). However, most neural network (NN) control methods are time-driven, with a large number of transmissions and a large amount of neural network computation. To reduce the [...] Read more.
Recently, the neural network control has been widely used in the field of wastewater treatment process (WWTP). However, most neural network (NN) control methods are time-driven, with a large number of transmissions and a large amount of neural network computation. To reduce the number of controller executions and save computational cost, the event-triggered neural network multivariate method is proposed to control WWTP. Firstly, different from the traditional NN-based control, the event-triggered mechanism based on sliding windows is designed to reduce the computation. Then, the multi-input and multi-output recurrent wavelet neural network (RWNN) controller is proposed for simultaneous control of dissolved oxygen and nitrate nitrogen. Furthermore, the stability of the RWNN controller is analyzed through the Lyapunov stability theorem. Experimental results demonstrate that the event-triggered RWNN delivers a significant 25% reduction in the number of executions without compromising control accuracy. Full article
(This article belongs to the Section Control Systems)
Show Figures

Figure 1

21 pages, 2952 KB  
Review
A Review of Urban Flood Disaster Chain Research: Causes, Identification, and Assessment
by Xichao Gao, Pengfei Wang, Zhiyong Yang, Weijia Liang, Wangqi Lou and Jinjun Zhou
Water 2025, 17(23), 3344; https://doi.org/10.3390/w17233344 - 22 Nov 2025
Viewed by 819
Abstract
Urban flood disasters have become one of the most significant natural hazards under the dual pressures of rapid urbanization and intensified climate change. With the increasing interconnection among urban subsystems, these disasters often evolve into urban flood disaster chains, characterized by cascading failures [...] Read more.
Urban flood disasters have become one of the most significant natural hazards under the dual pressures of rapid urbanization and intensified climate change. With the increasing interconnection among urban subsystems, these disasters often evolve into urban flood disaster chains, characterized by cascading failures across infrastructure, environment, and society. Current research hotspots mainly focus on three key aspects: the formation mechanisms, identification methods, and risk assessment approaches of urban flood disaster chains. In terms of formation mechanisms, most studies qualitatively describe the triggering and transmission processes of cascading events, revealing how interactions among hazard-inducing factors, disaster-formative environments, and disaster receptor generate chain reactions. Identification methods are categorized into four paradigms: qualitative identification based on experiential reasoning, semantic identification driven by data, structural identification through model inference, and behavioral identification using simulation modeling. Risk assessment approaches include historical disaster analysis, indicator-based evaluation models, uncertainty models, numerical simulation models, and intelligent algorithm models that integrate machine learning with physical simulations. The review finds that, due to the scarcity and heterogeneity of disaster chain event data, existing studies lack a unified quantitative framework to represent the mechanisms of urban flood disaster chains, as well as dynamic identification and assessment methods that can adapt to their evolutionary processes. Future research should focus on developing integrated mathematical paradigms, enhancing multisource data fusion and causal reasoning, and constructing hybrid models to support real-time risk assessment for urban flooding disaster chains. Full article
(This article belongs to the Special Issue "Watershed–Urban" Flooding and Waterlogging Disasters)
Show Figures

Figure 1

30 pages, 3301 KB  
Article
Stubborn Composite Disturbance Observer-Based MPC for Spacecraft Systems: An Event-Triggered Approach
by Jianlin Chen, Lei Liu, Yang Xu and Yang Yu
Aerospace 2025, 12(11), 1010; https://doi.org/10.3390/aerospace12111010 - 12 Nov 2025
Viewed by 273
Abstract
This paper studies spacecraft control under communication congestion, multi-source uncertainties, and input constraints. To reduce communication load, a static event-triggered mechanism is used so that transmissions occur only when necessary. Unknown nonlinearities are estimated online by a radial basis function neural network (RBFNN). [...] Read more.
This paper studies spacecraft control under communication congestion, multi-source uncertainties, and input constraints. To reduce communication load, a static event-triggered mechanism is used so that transmissions occur only when necessary. Unknown nonlinearities are estimated online by a radial basis function neural network (RBFNN). To address sensor outliers and external disturbances, an event-triggered stubborn composite disturbance observer (ESCDO) is proposed, and sufficient conditions are derived to ensure its globally uniformly bounded stability. Based on this, an MPC-based composite anti-disturbance controller is designed to satisfy input constraints, and conditions are provided to guarantee the uniform bounded stability of the closed loop. Numerical simulations are conducted to demonstrate the effectiveness of the proposed approach. Full article
(This article belongs to the Special Issue New Sights of Intelligent Robust Control in Aerospace)
Show Figures

Figure 1

31 pages, 1406 KB  
Article
Performance Analysis of Unmanned Aerial Vehicle-Assisted and Federated Learning-Based 6G Cellular Vehicle-to-Everything Communication Networks
by Abhishek Gupta and Xavier Fernando
Drones 2025, 9(11), 771; https://doi.org/10.3390/drones9110771 - 7 Nov 2025
Viewed by 1252
Abstract
The paradigm of cellular vehicle-to-everything (C-V2X) communications assisted by unmanned aerial vehicles (UAVs) is poised to revolutionize the future of sixth-generation (6G) intelligent transportation systems, as outlined by the international mobile telecommunication (IMT)-2030 vision. This integration of UAV-assisted C-V2X communications is set to [...] Read more.
The paradigm of cellular vehicle-to-everything (C-V2X) communications assisted by unmanned aerial vehicles (UAVs) is poised to revolutionize the future of sixth-generation (6G) intelligent transportation systems, as outlined by the international mobile telecommunication (IMT)-2030 vision. This integration of UAV-assisted C-V2X communications is set to enhance mobility and connectivity, creating a smarter and reliable autonomous transportation landscape. The UAV-assisted C-V2X networks enable hyper-reliable and low-latency vehicular communications for 6G applications including augmented reality, immersive reality and virtual reality, real-time holographic mapping support, and futuristic infotainment services. This paper presents a Markov chain model to study a third-generation partnership project (3GPP)-specified C-V2X network communicating with a flying UAV for task offloading in a Federated Learning (FL) environment. We evaluate the impact of various factors such as model update frequency, queue backlog, and UAV energy consumption on different types of communication latency. Additionally, we examine the end-to-end latency in the FL environment against the latency in conventional data offloading. This is achieved by considering cooperative perception messages (CPMs) that are triggered by random events and basic safety messages (BSMs) that are periodically transmitted. Simulation results demonstrate that optimizing the transmission intervals results in a lower average delay. Also, for both scenarios, the optimal policy aims to optimize the available UAV energy consumption, minimize the cumulative queuing backlog, and maximize the UAV’s available battery power utilization. We also find that the queuing delay can be controlled by adjusting the optimal policy and the value function in the relative value iteration (RVI). Moreover, the communication latency in an FL environment is comparable to that in the gross data offloading environment based on Kullback–Leibler (KL) divergence. Full article
(This article belongs to the Special Issue Advances in UAV Networks Towards 6G)
Show Figures

Figure 1

28 pages, 6122 KB  
Article
Comparative Analysis of Voltage Stability in Radial Power Distribution Networks Under Critical Loading Conditions and Diverse Load Models
by Salah Mokred and Yifei Wang
Electricity 2025, 6(4), 64; https://doi.org/10.3390/electricity6040064 - 4 Nov 2025
Viewed by 604
Abstract
Modern power distribution systems are increasingly stressed as they operate closer to their voltage stability limits, driven by growing electricity demand, complex load behaviors, and the evolving structure of power networks. Radial distribution systems, in particular, are highly susceptible to voltage instability under [...] Read more.
Modern power distribution systems are increasingly stressed as they operate closer to their voltage stability limits, driven by growing electricity demand, complex load behaviors, and the evolving structure of power networks. Radial distribution systems, in particular, are highly susceptible to voltage instability under critical loading conditions, where even minor load increases can trigger voltage collapse. Such events threaten the continuity and quality of power supply and can cause damage to infrastructure and sensitive equipment. While large-scale cascading failures are typically associated with transmission systems, localized cascading effects such as sequential voltage drops, feeder outages, and protective device operations can still occur in distribution networks, especially under high loading. Therefore, reliable and timely voltage stability assessment is essential to maintain system reliability and prevent disruptions. This study presents a comprehensive comparative analysis of four voltage stability indices designed for radial distribution networks. The performance of these indices is evaluated on the IEEE 33-bus and 69-bus test systems under various critical loading conditions and multiple static load models, including Constant Power Load (CPL), Constant Current Load (CIL), Constant Impedance Load (CZL), Composite Load (COML), and Exponential Load (EXL). The analysis investigates each index’s effectiveness in identifying voltage collapse points, estimating critical load levels, and calculating load margins, while also evaluating their robustness across diverse operating scenarios. The findings offer practical insights and serve as a valuable benchmark for selecting suitable voltage stability indicators to support monitoring and planning in modern distribution networks. Full article
Show Figures

Figure 1

19 pages, 1196 KB  
Article
Fixed-Time Formation Control for MAV/UAVs with Switching Threshold Event-Triggered Strategy
by Xueyan Han, Maolong Lv, Di Shen, Yuyuan Shi, Boyang Zhang and Peng Yu
Drones 2025, 9(10), 710; https://doi.org/10.3390/drones9100710 - 14 Oct 2025
Viewed by 446
Abstract
The cooperative flight of manned and unmanned aerial vehicles (MAV/UAVs) has recently become a focus in the research of civilian and humanitarian fields, in which formation control is crucial. This paper takes the improvement of convergence performance and resource conservation as the entry [...] Read more.
The cooperative flight of manned and unmanned aerial vehicles (MAV/UAVs) has recently become a focus in the research of civilian and humanitarian fields, in which formation control is crucial. This paper takes the improvement of convergence performance and resource conservation as the entry point to study control problems of cooperative formation configuration of MAV/UAVs. Following the backstepping recursive design procedures, an event-triggered fixed-time formation control strategy for MAV/UAVs operating under modeling uncertainties and external disturbances is presented. Moreover, a novel switching threshold event-triggered mechanism is introduced, which dynamically adjusts control signal updates based on system states. Compared with periodic sampling control (Controller 1), fixed threshold strategies (Controller 2) and relative threshold strategies (Controller 3), this mechanism enhances resource efficiency and prevents Zeno behavior. On the basis of Lyapunov stability theory, the closed-loop system is shown to be stable in the sense of the fixed-time concept. Numerical simulations are carried out in Simulink to validate the effectiveness of the theoretical findings. The results show that compared with the three comparison methods, the proposed control method saves 86%, 34%, and 43% of control transmission burden respectively, which significantly reduces the number of triggered events. Full article
Show Figures

Figure 1

17 pages, 877 KB  
Review
Synaptic Pathology in Traumatic Brain Injury and Therapeutic Insights
by Poojith Nuthalapati, Sophie E. Holmes, Hamada H. Altalib and Arman Fesharaki-Zadeh
Int. J. Mol. Sci. 2025, 26(19), 9604; https://doi.org/10.3390/ijms26199604 - 1 Oct 2025
Viewed by 1196
Abstract
Traumatic brain injury (TBI) results in a cascade of neuropathological events, which can significantly disrupt synaptic integrity. This review explores the acute, subacute and chronic phases of synaptic dysfunction and loss in trauma which commence post-TBI, and their contribution to the subsequent neurological [...] Read more.
Traumatic brain injury (TBI) results in a cascade of neuropathological events, which can significantly disrupt synaptic integrity. This review explores the acute, subacute and chronic phases of synaptic dysfunction and loss in trauma which commence post-TBI, and their contribution to the subsequent neurological sequelae. Central to these disruptions is the loss of dendritic spines and impaired synaptic plasticity, which compromise neuronal connectivity and signal transmission. During the acute phase of TBI, mechanical injury triggers presynaptic glutamate secretion and Ca2+ ion-mediated excitotoxic injury, accompanied by cerebral edema, mitochondrial dysfunction and the loss of the mushroom-shaped architecture of the dendritic spines. The subacute phase is marked by continued glutamate excitotoxicity and GABAergic disruption, along with neuroinflammatory pathology and autophagy. In the chronic phase, long-term structural remodeling and reduced synaptic densities are evident. These chronic alterations underlie persistent cognitive and memory deficits, mood disturbances and the development of post-traumatic epilepsy. Understanding the phase-specific progression of TBI-related synaptic dysfunction is essential for targeted interventions. Novel therapeutic strategies primarily focus on how to effectively counter acute excitotoxicity and neuroinflammatory cascades. Future approaches may benefit from boosting synaptic repair and modulating neurotransmitter systems in a phase-specific manner, thereby mitigating the long-term impact of TBI on neuronal function. Full article
(This article belongs to the Section Molecular Neurobiology)
Show Figures

Figure 1

16 pages, 548 KB  
Article
Zonotope-Based State Estimation for Boost Converter System with Markov Jump Process
by Chaoxu Guan, You Li, Zhenyu Wang and Weizhong Chen
Micromachines 2025, 16(10), 1099; https://doi.org/10.3390/mi16101099 - 27 Sep 2025
Viewed by 437
Abstract
This article investigates the zonotope-based state estimation for boost converter system with Markov jump process. DC-DC boost converters are pivotal in modern power electronics, enabling renewable energy integration, electric vehicle charging, and microgrid operations by elevating low input voltages from sources like photovoltaics [...] Read more.
This article investigates the zonotope-based state estimation for boost converter system with Markov jump process. DC-DC boost converters are pivotal in modern power electronics, enabling renewable energy integration, electric vehicle charging, and microgrid operations by elevating low input voltages from sources like photovoltaics to stable high outputs. However, their nonlinear dynamics and sensitivity to uncertainties/disturbances degrade control precision, driving research into robust state estimation. To address these challenges, the boost converter is modeled as a Markov jump system to characterize stochastic switching, with time delays, disturbances, and noises integrated for a generalized discrete-time model. An adaptive event-triggered mechanism is adopted to administrate the data transmission to conserve communication resources. A zonotopic set-membership estimation design is proposed, which involves designing an observer for the augmented system to ensure H performance and developing an algorithm to construct zonotopes that enclose all system states. Finally, numerical simulations are performed to verify the effectiveness of the proposed approach. Full article
Show Figures

Figure 1

44 pages, 9564 KB  
Review
Oxidative Stress, Inflammation, and Cellular Senescence in Neuropathic Pain: Mechanistic Crosstalk
by Bojan Stojanovic, Ivana Milivojcevic Bevc, Milica Dimitrijevic Stojanovic, Bojana S. Stojanovic, Tatjana Lazarevic, Marko Spasic, Marko Petrovic, Ivana Stefanovic, Marina Markovic, Jelena Nesic, Danijela Jovanovic, Miodrag Peulic, Ana Azanjac Arsic, Ana Lukovic, Nikola Mirkovic, Stevan Eric and Nenad Zornic
Antioxidants 2025, 14(10), 1166; https://doi.org/10.3390/antiox14101166 - 25 Sep 2025
Cited by 2 | Viewed by 2605
Abstract
Neuropathic pain is a chronic condition driven by intertwined mechanisms of oxidative stress, inflammation, and cellular senescence. Nerve injury and metabolic stress elevate reactive oxygen and nitrogen species, disrupt mitochondrial function, and activate the DNA-damage response, which stabilizes p53 and induces p16/p21-mediated cell-cycle [...] Read more.
Neuropathic pain is a chronic condition driven by intertwined mechanisms of oxidative stress, inflammation, and cellular senescence. Nerve injury and metabolic stress elevate reactive oxygen and nitrogen species, disrupt mitochondrial function, and activate the DNA-damage response, which stabilizes p53 and induces p16/p21-mediated cell-cycle arrest. These events promote a senescence-associated secretory phenotype (SASP) rich in cytokines, chemokines, and prostanoids that amplify neuroimmune signaling. In the spinal dorsal horn and dorsal root ganglia, microglia and astroglia respond to redox imbalance and danger cues by engaging NF-κB and MAPK pathways, increasing COX-2–dependent prostaglandin synthesis, and releasing mediators such as IL-1β and BDNF that enhance synaptic transmission and reduce inhibitory tone through KCC2 dysfunction. At the periphery, persistent immune-glial cross-talk lowers activation thresholds of nociceptors and sustains ectopic firing, while impaired autophagy and mitophagy further exacerbate mitochondrial dysfunction and ROS production. Collectively, these processes establish a feed-forward loop in which redox imbalance triggers senescence programs and SASP, SASP perpetuates neuroinflammation, and neuroinflammation maintains central sensitization—thereby consolidating a self-sustaining redox–senescence–inflammatory circuit underlying neuropathic pain chronicity. Full article
(This article belongs to the Special Issue Chronic Pain and Oxidative Stress)
Show Figures

Figure 1

28 pages, 1987 KB  
Article
Towards Corporate Sustainability: Can the Cultural and Tourism Consumption Promotion Policy Enhance Corporate ESG Performance?
by Xiatian Chen, Kaihua Bao, Chen Gao, Ya Wen and Ting Zhang
Sustainability 2025, 17(18), 8402; https://doi.org/10.3390/su17188402 - 19 Sep 2025
Cited by 2 | Viewed by 992
Abstract
Environmental, Social, and Governance (ESG) performance is increasingly recognized as a pivotal metric for assessing corporate sustainability. Hence, this study investigates the effect of the Cultural and Tourism Consumption Promotion (CTCP) policy on corporate ESG performance. By treating the designation of demonstration cities [...] Read more.
Environmental, Social, and Governance (ESG) performance is increasingly recognized as a pivotal metric for assessing corporate sustainability. Hence, this study investigates the effect of the Cultural and Tourism Consumption Promotion (CTCP) policy on corporate ESG performance. By treating the designation of demonstration cities as a quasi-exogenous policy event, a difference-in-differences (DID) methodology is adopted for a sample of Chinese A-share-listed culture and tourism companies from 2011 to 2024. The results indicate that the CTCP policy substantially improves culture and tourism firms’ ESG outcomes. Analysis of the underlying mechanisms identified three primary transmission channels: contributing to corporate revenue growth, encouraging green innovation, and alleviating financing constraints. Heterogeneity analysis revealed that the improvement effect of the policy on ESG performance is more significant in state-owned firms, those with sound governance structures, and labor-intensive culture and tourism firms. In addition, the policy may trigger strategic ESG disclosures, particularly among small-scale firms, leading to a greater divergence between their ESG reporting and their actual performance. Our findings illuminate the micro-level governance impacts of special policies for cultural and tourism consumption, providing a theoretical basis and empirical reference for improving culture and tourism industry policies and guiding firms’ sustainable development. Full article
Show Figures

Figure 1

22 pages, 3892 KB  
Article
Adaptive Sliding Mode Control for Unmanned Surface Vehicle Trajectory Tracking Based on Event-Driven and Control Input Quantization
by Zhihui Li, Mengyuan Li, Xinrui Jing, Changfu Yuan and Kai Wang
Actuators 2025, 14(9), 457; https://doi.org/10.3390/act14090457 - 18 Sep 2025
Viewed by 894
Abstract
This primary study aims to optimize network resource utilization efficiency in marine control systems. A novel event-triggering condition is proposed to significantly reduce communication traffic, where the error norm is squared while the input norm remains linear. To simulate realistic environmental disturbances, bounded [...] Read more.
This primary study aims to optimize network resource utilization efficiency in marine control systems. A novel event-triggering condition is proposed to significantly reduce communication traffic, where the error norm is squared while the input norm remains linear. To simulate realistic environmental disturbances, bounded unknown parameters are incorporated. Within the networked transmission architecture, input quantization is introduced, enabling the design of a quantized feedback controller without prior knowledge of quantization parameters. By integrating the event-triggering mechanism with sliding mode control, a quantized feedback control system is developed. The closed-loop system’s stability is rigorously proven via Lyapunov theory, with guaranteed boundedness of trajectory tracking errors. Numerical simulations validate the effectiveness of the proposed method for marine vehicle trajectory control under environmental disturbances. Full article
(This article belongs to the Special Issue Control System of Autonomous Surface Vehicles)
Show Figures

Figure 1

18 pages, 1719 KB  
Article
Estimate-Based Dynamic Memory-Event-Triggered Control for Nonlinear Networked Control Systems Subject to Hybrid Attacks
by Bo Zhang, Tao Zhang, Zesheng Xi, Yunfan Wang and Meng Yang
Mathematics 2025, 13(17), 2829; https://doi.org/10.3390/math13172829 - 2 Sep 2025
Viewed by 641
Abstract
Within the framework of a dynamic memory-event-triggered mechanism (DMETM), this paper proposes an estimate-based secure control algorithm for nonlinear networked control systems (NNCSs) that suffer from hybrid attacks. Firstly, a sampled-data observer is employed utilizing the output signals to estimate the states. Secondly, [...] Read more.
Within the framework of a dynamic memory-event-triggered mechanism (DMETM), this paper proposes an estimate-based secure control algorithm for nonlinear networked control systems (NNCSs) that suffer from hybrid attacks. Firstly, a sampled-data observer is employed utilizing the output signals to estimate the states. Secondly, due to the limitation of data transmission capacity in NNCSs, a novel DMETM with auxiliary variable is proposed, which effectively leverages the benefits of historical sampled data. In the process of network data transmission, a hybrid attack model that simultaneously considers the impact of both deception and denial of service (DoS) attacks is introduced, which can undermine signal integrity and disrupt data transmission. Then, a memory-event-triggered controller is developed, and the mean square stability of the NNCSs can be ensured by selecting some appropriate values. Finally, a numerical simulation and a practical example are given to illustrate the meaning of the designed dynamic memory-event-triggered control (DMETC) algorithm. Full article
Show Figures

Figure 1

Back to TopTop