Dynamic Event-Triggered Interval Observer-Based Fault Detection for a Class of Nonlinear Cyber–Physical Systems with Disturbance
Abstract
1. Introduction
- (1)
- The DETM that possesses a dynamic interval variable, which depends on the system states, is introduced to save communication resources in CPSs; compared to the static ETM, it can save more network resources while guaranteeing the stability of the systems.
- (2)
- A DETIO is designed for CPSs under actuator/sensor faults. The mentioned DETIO approach can accurately obtain the bounded estimation of the states without wasting additional data transmission resources.
- (3)
- The designed DETIO is applied to fault detection in CPSs. By bounding the state estimates with the DETM, this fault detection method reduces computational load and ensures the robustness of the system.
2. Preliminaries and Problem Statement
3. Main Results
3.1. Design of the Fault Detection DETIO
3.2. Coordinate Transformation-Based Fault Detection DETIO Design
| Algorithm 1 Algorithm for Fault Detection DETIO | 
| 
 | 
4. Numerical Example
4.1. Example of an Unmanned Ground Vehicle
4.1.1. Simulation of Fault-Free Case
4.1.2. Simulation with Random Faults
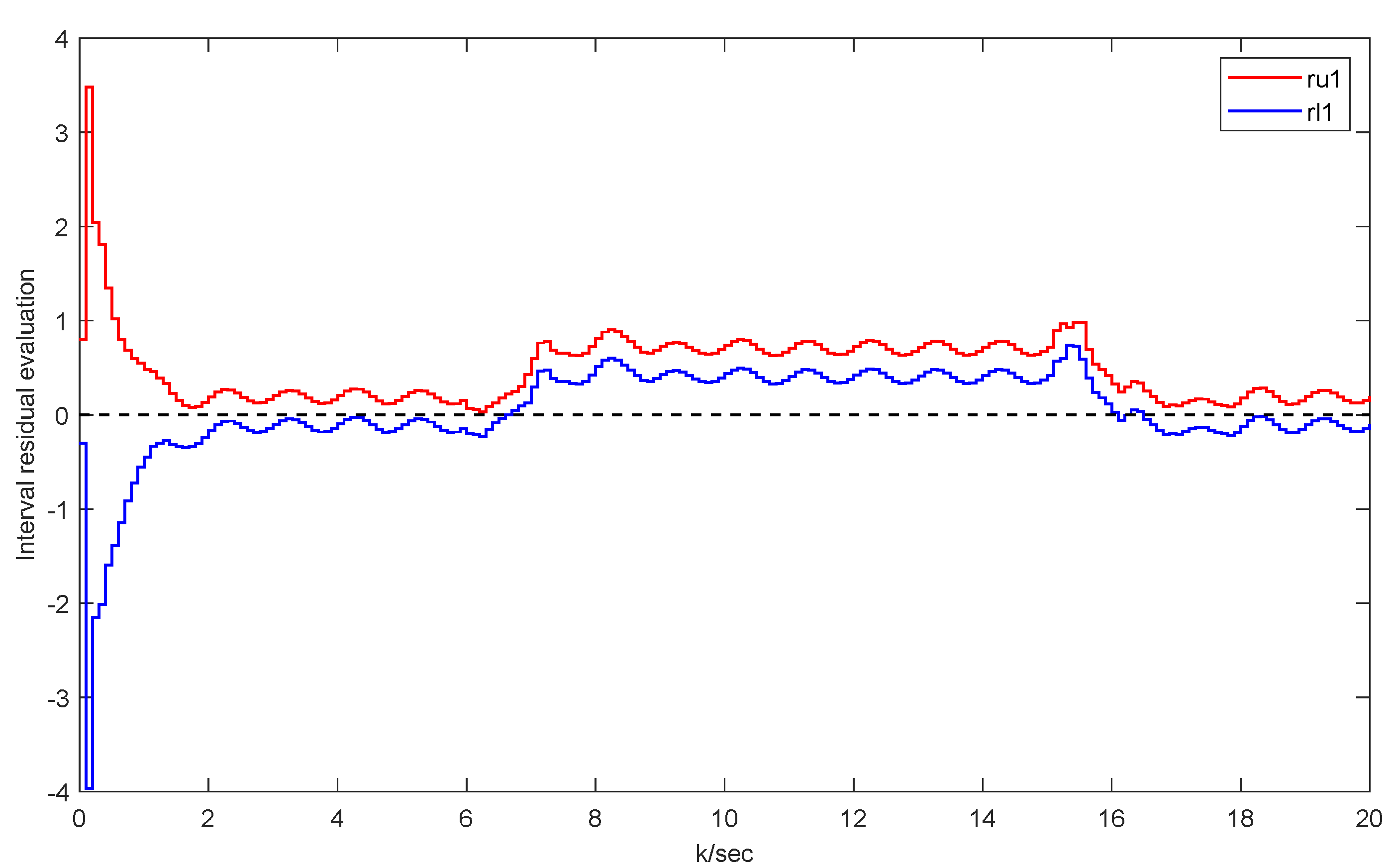
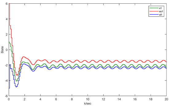
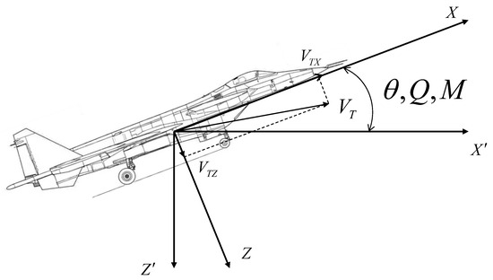
4.2. Example of an Unmanned Aerial Vehicle
4.2.1. Simulation of a Fault-Free Case
4.2.2. Simulation with Random Faults
4.3. Quantitative Comparison with UGV Model
5. Conclusions
Author Contributions
Funding
Data Availability Statement
Conflicts of Interest
References
- Poovendran, R.; Sampigethaya, K.; Gupta, S.K.S.; Lee, I.; Prasad, K.V.; Corman, D.; Paunicka, J.L. Special Issue on Cyber—Physical Systems. Proc. IEEE 2012, 100, 6–12. [Google Scholar] [CrossRef]
- Oyewole, P.A.; Jayaweera, D. Power System Security with Cyber-Physical Power System Operation. IEEE Access 2020, 8, 179970–179982. [Google Scholar] [CrossRef]
- Dionysios, N.; Christos, M. Stress-testing water distribution networks for cyber-physical attacks on water quality. Urban Water J. 2022, 19, 256–270. [Google Scholar]
- Lu, A.Y.; Yang, G.H. Secure Switched Observers for Cyber-Physical Systems Under Sparse Sensor Attacks: A Set Cover Approach. IEEE Trans. Autom. Control 2019, 64, 3949–3955. [Google Scholar] [CrossRef]
- Ye, L.; Zhu, F.; Zhang, J. Sensor attack detection and isolation based on sliding mode observer for cyber-physical systems. Int. J. Adapt. Control Signal Process. 2020, 34, 469–483. [Google Scholar] [CrossRef]
- Hu, L.; Wang, Z.; Han, Q.L.; Liu, X. State estimation under false data injection attacks: Security analysis and system protection. Automatica 2018, 87, 176–183. [Google Scholar] [CrossRef]
- Qin, Y.; Huang, J.; Wu, H. An Interval Observer for a Class of Cyber–Physical Systems with Disturbance. Axioms 2024, 13, 18. [Google Scholar] [CrossRef]
- Zhang, J.; Huang, J.; Li, C. Distributed Interval Observers with Switching Topology Design for Cyber-Physical Systems. Mathematics 2024, 12, 163. [Google Scholar] [CrossRef]
- Heemels, W.P.M.H.; Donkers, M.C.F.; Teel, A.R. Periodic Event-Triggered Control for Linear Systems. IEEE Trans. Autom. Control 2013, 58, 847–861. [Google Scholar] [CrossRef]
- Yang, X.; Huang, M.; Wu, Y.; Tan, X. A Proportional–Integral Observer-Based Dynamic Event-Triggered Consensus Protocol for Nonlinear Positive Multi-Agent Systems. Axioms 2024, 13, 384. [Google Scholar] [CrossRef]
- Shi, D.; Chen, T.; Shi, L. Event-triggered maximum likelihood state estimation. Automatica 2014, 50, 247–254. [Google Scholar] [CrossRef]
- Deng, C.; Che, W.W.; Wu, Z.G. A Dynamic Periodic Event-Triggered Approach to Consensus of Heterogeneous Linear Multiagent Systems with Time-Varying Communication Delays. IEEE Trans. Cybern. 2021, 51, 1812–1821. [Google Scholar] [CrossRef] [PubMed]
- Zhang, M.; Zhang, J.; Huang, J. Design of dynamic event-triggered interval observer for Euler-lagrange systems under stealthy attack. In Circuits, Systems, and Signal Processing; Springer: Berlin/Heidelberg, Germany, 2025; pp. 1–24. [Google Scholar]
- Huong, D.C.; Huynh, V.T.; Trinh, H. Design of event-triggered interval functional observers for systems with input and output disturbances. Math. Methods Appl. Sci. 2021, 44, 13968–13978. [Google Scholar] [CrossRef]
- Fei, Z.; Yang, L.; Guan, C.; Wu, Y. Zonotopic state bounding for 2-D systems with dynamic event-triggered mechanism. Automatica 2023, 154, 111066. [Google Scholar] [CrossRef]
- Guo, S.; Tang, M.; Huang, D.; Song, J. State estimation and finite-frequency fault detection for interconnected switched cyber-physical systems. Sci. China Inf. Sci. 2023, 66, 192204. [Google Scholar] [CrossRef]
- Corradini, M.L.; Cristofaro, A. Robust detection and reconstruction of state and sensor attacks for cyber-physical systems using sliding modes. IET Control Theory Appl. 2017, 11, 1756–1766. [Google Scholar] [CrossRef]
- Jiang, W.; Wen, L.; Zhan, J.; Jiang, K. Design optimization of confidentiality-critical cyber physical systems with fault detection. J. Syst. Archit. 2020, 107, 101739. [Google Scholar] [CrossRef]
- He, Y.; Nie, B.; Zhang, J.; Kumar, P.M.; Muthu, B.A. Fault Detection and Diagnosis of Cyber-Physical System Using the Computer Vision and Image Processing. Wirel. Pers. Commun. 2022, 127, 2141–2160. [Google Scholar] [CrossRef]
- Jafari, N.; Lopes, A.M. Fault Detection and Identification with Kernel Principal Component Analysis and Long Short-Term Memory Artificial Neural Network Combined Method. Axioms 2023, 12, 583. [Google Scholar] [CrossRef]
- Wilhelm, Y.; Reimann, P.; Gauchel, W.; Mitschang, B. Overview on hybrid approaches to fault detection and diagnosis: Combining data-driven, physics-based and knowledge-based models. Procedia CIRP 2021, 99, 278–283. [Google Scholar] [CrossRef]
- Liu, Q.; Long, Y.; Li, T.; Chen, C.L.P. Attack Tolerant Fault Detection for CPSs: An Unknown Input Interval Observer Approach. IEEE Trans. Autom. Sci. Eng. 2025, 22, 1163–1172. [Google Scholar] [CrossRef]
- Zhu, F.; Tang, Y.; Wang, Z. Interval-Observer-Based Fault Detection and Isolation Design for T-S Fuzzy System Based on Zonotope Analysis. IEEE Trans. Fuzzy Syst. 2022, 30, 945–955. [Google Scholar] [CrossRef]
- Zhang, K.; Jiang, B.; Yan, X.G.; Mao, Z. Incipient Fault Detection for Traction Motors of High-Speed Railways Using an Interval Sliding Mode Observer. IEEE Trans. Intell. Transp. Syst. 2019, 20, 2703–2714. [Google Scholar] [CrossRef]
- Yin, Z.; Huang, J.; Zhang, Y. Event-triggered interval observer design for a class of Euler-Lagrange systems with disturbances. Trans. Inst. Meas. Control 2023. [Google Scholar] [CrossRef]
- Efimov, D.; Raïssi, T.; Zolghadri, A. Control of nonlinear and LPV systems: Interval observer-based framework. IEEE Trans. Autom. Control 2013, 58, 773–778. [Google Scholar] [CrossRef]
- Guo, S.; Zhu, F. Interval observer design for discrete-time switched system. IFAC-PapersOnLine 2017, 50, 5073–5078. [Google Scholar] [CrossRef]
- Huang, J.; Fan, J.; Dinh, T.N.; Zhao, X.; Zhang, Y. Event-triggered interval estimation method for cyber–Physical systems with unknown inputs. ISA Trans. 2022, 135, 1–12. [Google Scholar] [CrossRef]
- Zhang, C.L.; Yang, G.H.; Lu, A.Y. Resilient observer-based control for cyber-physical systems under denial-of-service attacks. Inf. Sci. 2021, 545, 102–117. [Google Scholar] [CrossRef]



















| Methods | Number of Event-Triggered Instants | 
|---|---|
| DETIO Fault Detection | 44 Times | 
| Static ETIO Fault Detection | 58 Times | 
| Traditional IO Fault Detection 1 | 200 Times | 
| Disclaimer/Publisher’s Note: The statements, opinions and data contained in all publications are solely those of the individual author(s) and contributor(s) and not of MDPI and/or the editor(s). MDPI and/or the editor(s) disclaim responsibility for any injury to people or property resulting from any ideas, methods, instructions or products referred to in the content. | 
© 2025 by the authors. Licensee MDPI, Basel, Switzerland. This article is an open access article distributed under the terms and conditions of the Creative Commons Attribution (CC BY) license (https://creativecommons.org/licenses/by/4.0/).
Share and Cite
Zhao, Z.; Huang, J.; Zhang, M.; Zhang, J. Dynamic Event-Triggered Interval Observer-Based Fault Detection for a Class of Nonlinear Cyber–Physical Systems with Disturbance. Axioms 2025, 14, 435. https://doi.org/10.3390/axioms14060435
Zhao Z, Huang J, Zhang M, Zhang J. Dynamic Event-Triggered Interval Observer-Based Fault Detection for a Class of Nonlinear Cyber–Physical Systems with Disturbance. Axioms. 2025; 14(6):435. https://doi.org/10.3390/axioms14060435
Chicago/Turabian StyleZhao, Zixu, Jun Huang, Mingyi Zhang, and Junchao Zhang. 2025. "Dynamic Event-Triggered Interval Observer-Based Fault Detection for a Class of Nonlinear Cyber–Physical Systems with Disturbance" Axioms 14, no. 6: 435. https://doi.org/10.3390/axioms14060435
APA StyleZhao, Z., Huang, J., Zhang, M., & Zhang, J. (2025). Dynamic Event-Triggered Interval Observer-Based Fault Detection for a Class of Nonlinear Cyber–Physical Systems with Disturbance. Axioms, 14(6), 435. https://doi.org/10.3390/axioms14060435
 
        



 
       