Due to scheduled maintenance work on our servers, there may be short service disruptions on this website between 11:00 and 12:00 CEST on March 28th.
Sign in to use this feature.

Years

Between: -

Subjects

remove_circle_outline
remove_circle_outline
remove_circle_outline
remove_circle_outline
remove_circle_outline
remove_circle_outline
remove_circle_outline
remove_circle_outline
remove_circle_outline

Journals

remove_circle_outline
remove_circle_outline
remove_circle_outline
remove_circle_outline
remove_circle_outline
remove_circle_outline
remove_circle_outline
remove_circle_outline
remove_circle_outline
remove_circle_outline
remove_circle_outline
remove_circle_outline
remove_circle_outline
remove_circle_outline

Article Types

Countries / Regions

remove_circle_outline
remove_circle_outline
remove_circle_outline
remove_circle_outline
remove_circle_outline

Search Results (772)

Search Parameters:
Keywords = equivalent projection

Order results
Result details
Results per page
Select all
Export citation of selected articles as:
23 pages, 1532 KB  
Article
Carbon Emission Accounting and Multi-Objective Analysis for Steel Slag Road Paving: A Case Study from Xinjiang
by Dong Liu, Litian Fan, Luyao Zhang and Xiaomin Dai
Processes 2026, 14(7), 1075; https://doi.org/10.3390/pr14071075 - 27 Mar 2026
Abstract
The large-scale accumulation of steel slag from steelmaking and the over-exploitation of natural aggregates pose significant environmental and resource challenges. Focusing on the arid-cold region of Xinjiang, China, this study proposes the use of steel slag as a substitute for natural aggregates in [...] Read more.
The large-scale accumulation of steel slag from steelmaking and the over-exploitation of natural aggregates pose significant environmental and resource challenges. Focusing on the arid-cold region of Xinjiang, China, this study proposes the use of steel slag as a substitute for natural aggregates in pavement engineering. Through experimental performance evaluation and regionalized life cycle assessment (LCA), the technical feasibility and carbon reduction potential of this application were comprehensively evaluated. Results indicate that steel slag asphalt mixtures meet or exceed specification requirements in terms of high-temperature stability, water stability, and low-temperature crack resistance. However, volume stability decreases slightly with higher steel slag content and finer particle size, necessitating pretreatment for long-term durability. A local life cycle assessment model considering regional transportation factors was applied to the G30 Luhuo Expressway project. During the materialization stage, steel slag was used to replace 30% of the natural aggregates, reducing approximately 6718 kg of carbon dioxide equivalent emissions (31.4%). This, to some extent, reduced the extraction of natural resources, saved land resources, and alleviated the problems of resource shortage and price fluctuations. Sensitivity analysis reveals a positive correlation between carbon reduction and steel slag content, while transport distance strongly influences overall benefits, with a critical threshold of about 78 km defining the effective utilization range. Furthermore, a multi-objective optimization model balancing service life, cost, and carbon reduction was developed to identify an optimal steel slag content scheme, maximizing comprehensive benefits under constrained conditions. This work confirms the technical viability of steel slag pavement in extreme climates and provides a systematic framework integrating environmental benefits and logistical constraints, supporting regional industrial synergy and promoting circular economy practices in low-carbon infrastructure. Full article
21 pages, 5131 KB  
Article
Quantifying and Mitigating Carbon Emissions in Long-Span Steel Bridge Construction: Lessons from the Anhsin Bridge in the Ankeng MRT System
by Tai-Yi Liu, Jui-Jiun Lin, Shih-Ping Ho, Nelson N. S. Chou and Chia-Cheng Lee
Constr. Mater. 2026, 6(2), 20; https://doi.org/10.3390/constrmater6020020 - 27 Mar 2026
Abstract
Construction materials are the primary source of embodied carbon in long-span bridge projects, particularly for steel-intensive structures. This study presents an empirical construction-stage carbon footprint assessment of the Anhsin Bridge, an asymmetric cable-stayed steel truss bridge in Taiwan. Using the emission factor method [...] Read more.
Construction materials are the primary source of embodied carbon in long-span bridge projects, particularly for steel-intensive structures. This study presents an empirical construction-stage carbon footprint assessment of the Anhsin Bridge, an asymmetric cable-stayed steel truss bridge in Taiwan. Using the emission factor method in accordance with ISO 14067 and Taiwan Environmental Protection Administration guidelines, a cradle-to-gate (A1–A5 equivalent) system boundary was applied, covering material production, transportation, and on-site construction activities. Total construction-stage emissions were estimated at 55,349 tCO2e, dominated by structural steel (51.8%), followed by reinforcing steel, concrete, and cement. Material-related emissions accounted for over 90% of the total, highlighting the critical role of material selection in embodied carbon reduction. Three practical mitigation strategies were evaluated using verified project data, as follows: 40% cement substitution with supplementary cementitious materials, optimized steel erection methods, and enhanced reuse of formwork and temporary works. The combined scenario achieved a 7.3% reduction in construction-stage emissions without compromising constructability. The findings demonstrate the effectiveness of material-oriented, constructability-aware strategies for reducing embodied carbon in steel-intensive bridge construction. Full article
Show Figures

Figure 1

28 pages, 5247 KB  
Article
Comparative Analysis of High-Fidelity and Reduced-Order Models for Nonlinear Wave–Bathymetry and Wave–Structure Interactions
by Wen-Huai Tsao and Christopher E. Kees
J. Mar. Sci. Eng. 2026, 14(7), 594; https://doi.org/10.3390/jmse14070594 - 24 Mar 2026
Viewed by 64
Abstract
This paper presents a computational study of wave–bathymetry and wave–structure interaction problems using advanced numerical techniques based on high-fidelity, two-phase Navier–Stokes (TpNS) flow and reduced-order, fully nonlinear potential flow models. For high-fidelity simulations, the TpNS equations are discretized using the finite-element method, with [...] Read more.
This paper presents a computational study of wave–bathymetry and wave–structure interaction problems using advanced numerical techniques based on high-fidelity, two-phase Navier–Stokes (TpNS) flow and reduced-order, fully nonlinear potential flow models. For high-fidelity simulations, the TpNS equations are discretized using the finite-element method, with free-surface evolution captured through a hybrid level-set (LS) and volume-of-fluid (VOF) formulation. A monolithic, phase-conservative LS equation is introduced to mitigate mass loss and interface smearing, combined with a semi-implicit projection scheme. Hydrodynamic forces are resolved using a high-order, phase-resolving cut finite-element method (CutFEM), which enables the representation of complex solid geometries within a fixed background mesh. An equivalent polynomial of Heaviside and Dirac distributions ensures accurate evaluation of surface and volume integrals. Hence, no explicit generation of cut cell meshes, adaptive quadrature, or local refinement is required. For reduced-order modeling, a fast regularized boundary integral method (RBIM) is employed to solve the fully nonlinear potential flow. Singular and near-singular integrals are treated using a subtract-and-addition technique based on auxiliary functions derived from Stokes’ theorem, allowing direct application of high-order quadrature without conventional boundary element discretization. An arbitrary Lagrangian–Eulerian (ALE) formulation is adopted to enforce free-surface boundary conditions while avoiding excessive mesh distortion. The proposed approaches are applied to investigate highly nonlinear wave transformation over complex bathymetry and wave-induced dynamics of floating structures, including eddy-making damping effects. Numerical results are validated against experimental measurements. These two modeling approaches represent complementary levels of physical fidelity and computational efficiency, and their systematic comparison clarifies the trade-offs between computational accuracy, efficiency, and cost for practical marine problems. Full article
(This article belongs to the Special Issue Wave–Structure–Seabed Interaction)
Show Figures

Figure 1

11 pages, 1539 KB  
Article
The Future of Snowpack Drought in the Upper Colorado River Basin (USA)
by Abel Andrés Ramírez Molina, Glenn Tootle, Zhixu Sun and Joshua Fu
Hydrology 2026, 13(4), 100; https://doi.org/10.3390/hydrology13040100 - 24 Mar 2026
Viewed by 104
Abstract
The Upper Colorado River Basin (UCRB), through the process of snow accumulation, to snowmelt, to streamflow runoff, provides a critical water source to approximately 40 million residents in the Southwestern United States. Given the importance of late fall–winter–early spring (October, November, December, January, [...] Read more.
The Upper Colorado River Basin (UCRB), through the process of snow accumulation, to snowmelt, to streamflow runoff, provides a critical water source to approximately 40 million residents in the Southwestern United States. Given the importance of late fall–winter–early spring (October, November, December, January, February, March, or ONDJFM), cumulative precipitation, future estimates of ONDJFM cumulative precipitation, and potential drought occurrence would provide a benefit to water managers and planners. Previous research efforts successfully reconstructed (extended the period of record) the regional April 1st Snow Water Equivalent (SWE) in the UCRB using tree-ring chronologies and reconstructed climate (El Niño–Southern Oscillation or ENSO). The current research efforts differ by (a) incorporating future [Shared Socioeconomic Pathway (SSP) 5-8.5] predictions of ONDJFM cumulative precipitation (in lieu of April 1st SWE) at a single station location (Kendall R.S.) in the UCRB; (b) reconstructing ONDJFM cumulative precipitation (in lieu of April 1st SWE) using tree-ring chronologies and ENSO; and (c) evaluating an alternative reconstructed ENSO index. The reconstructed record, recent past observations, and future (SSP 5-8.5) ONDJFM cumulative precipitation were then combined to provide a paleo perspective of future drought. Results indicate that extreme ONDJFM cumulative precipitation drought periods projected for the ~2040s were exceeded in the reconstructed record. A pattern of alternating wet and dry conditions was also identified, consisting of a wet (pluvial) period in the 2030s, followed by drought conditions in the 2040s, and another wet period in the 2050s. Many of the extreme future wet (pluvial) periods exceeded those in the recent record and reconstructed record. Full article
(This article belongs to the Section Hydrology–Climate Interactions)
Show Figures

Figure 1

23 pages, 3084 KB  
Article
Electric Two-Wheelers: A Low-Hanging Fruit Solution for Sustainable Transport?
by Arthit Champeecharoensuk, Peerawat Saisirirat, Phumanan Niyomna, Tawan Champeecharoensuk, Nuwong Chollacoop and Pimpa Limthongkul
Sustainability 2026, 18(6), 3099; https://doi.org/10.3390/su18063099 - 21 Mar 2026
Viewed by 185
Abstract
The recent expansion of mass public transit in Bangkok has increased demand for public motorcycle taxis as a first- and last-mile solution for sustainable urban mobility. This study presents the results of a real-world demonstration project that transitioned 50 conventional public motorcycle taxis [...] Read more.
The recent expansion of mass public transit in Bangkok has increased demand for public motorcycle taxis as a first- and last-mile solution for sustainable urban mobility. This study presents the results of a real-world demonstration project that transitioned 50 conventional public motorcycle taxis into electric motorcycles supported by a battery-swapping system. The project evaluated vehicle performance, operational patterns, electricity consumption, and greenhouse gas (GHG) emissions under actual traffic conditions. Electric motorcycles deployed in taxi services must accommodate additional passenger load, provide sufficient acceleration for dense urban traffic, and sustain high daily travel distances. The findings show that participating riders accumulated a total driving distance of 759,354 km during the project period, demonstrating the technical and operational feasibility of electrification in high utilization fleets. Based on measured electricity consumption and Thailand’s grid emission factor, the transition resulted in an estimated reduction of approximately 1708.4 metric tons of CO2 equivalent emissions, excluding additional benefits associated with modal shifts to mass public transit. The results further indicate that battery-swapping infrastructure is a critical operational enabler, as daily travel distances frequently exceed the single-charge range of typical electric motorcycles. Scenario projections aligned with Thailand’s 30-by-30 electric vehicle policy target suggest that large-scale electrification of motorcycle fleets could contribute substantially to national mitigation efforts, supporting the country’s accelerated goal of net-zero emissions target by 2050. Full article
Show Figures

Figure 1

21 pages, 1435 KB  
Article
Trends in Stroke Burden and Rehabilitation Demand in Saudi Arabia, 1990–2021, with Projections to 2030: A National Analysis Using GBD 2021 Data
by Faisal Alenzy, Saleh A. Abu Araigah, Maha Almarwani, Vishal Vennu and Saad M. Bindawas
J. Clin. Med. 2026, 15(6), 2382; https://doi.org/10.3390/jcm15062382 - 20 Mar 2026
Viewed by 152
Abstract
Background/Objectives: Stroke is a leading cause of mortality and disability in Saudi Arabia; however, national estimates of stroke-related rehabilitation needs remain limited. This study quantified temporal trends in stroke incidence, prevalence, premature mortality, and disability from 1990 to 2021. It also examined [...] Read more.
Background/Objectives: Stroke is a leading cause of mortality and disability in Saudi Arabia; however, national estimates of stroke-related rehabilitation needs remain limited. This study quantified temporal trends in stroke incidence, prevalence, premature mortality, and disability from 1990 to 2021. It also examined disparities in stroke-related disability by subtype, sex, and age in 2021 and projected rehabilitation demand to 2030 to inform health system planning under Vision 2030. Methods: We conducted a secondary analysis of Global Burden of Disease (GBD) 2021 estimates for Saudi Arabia. Age-standardized rates for incidence, prevalence, years of life lost (YLLs), and years lived with disability (YLDs) were extracted for overall stroke and three subtypes: ischemic stroke, intracerebral hemorrhage (ICH), and subarachnoid hemorrhage (SAH). Temporal trends were evaluated using log-linear regression to estimate the average annual percentage change (AAPC). YLDs were mapped to severity levels and four rehabilitation modalities, physiotherapy (PT), occupational therapy (OT), speech–language therapy (SLT), and multidisciplinary comprehensive rehabilitation (MCR), using utilization probabilities informed by the literature. Projections to 2030 incorporated national population forecasts and included 95% prediction intervals and sensitivity analyses. Results: From 1990 to 2021, age-standardized stroke incidence declined from 166.3 to 130.7 per 100,000 (−21.4%; AAPC, −0.86%, p = 0.004), prevalence from 982.4 to 965.2 per 100,000 (−1.8%; AAPC, −0.10%, p = 0.056), and YLL rates from 3209.0 to 1893.4 per 100,000 (−41.0%; AAPC, −1.76%, p < 0.001). In contrast, YLD rates declined modestly from 133.5 to 129.9 per 100,000 (−2.7%; AAPC, −0.13%; p = 0.032). Despite these reductions in age-standardized rates, absolute stroke-related YLDs more than tripled, increasing from approximately 10,900 (95% UI: 8100–13,900) in 1990 to 36,245 (95% UI: 26,600–46,100) in 2021, largely driven by population growth and aging. In 2021, ischemic stroke accounted for 71.1% of total YLDs, followed by ICH (20.3%) and SAH (8.5%). Among adults aged 15–49 years, females had higher hemorrhagic YLD rates than males, with particularly pronounced differences for SAH (female-to-male ratio, 1.5–1.7). By 2030, the projected YLD-equivalent workload, a standardized proxy measure of relative service demand rather than a direct headcount of required therapists, is expected to increase to 29,758 for PT, 21,809 for OT, 14,879 for SLT, and 15,083 for MCR. Sensitivity analyses showed that rehabilitation demand estimates were sensitive to assumptions regarding severity distribution, with a hemorrhagic-weighted scenario increasing projected MCR demand by 6.8%. Conclusions: The increasing absolute burden of stroke-related disability in Saudi Arabia, despite declining age-standardized rates and substantial reductions in premature mortality, highlights the necessity to expand rehabilitation capacity. Scaling community-based, outpatient, and telerehabilitation services in alignment with the Health Sector Transformation Program and integrating disability-informed planning into Vision 2030 should be prioritized. Full article
(This article belongs to the Special Issue Clinical Perspectives in Stroke Rehabilitation)
Show Figures

Figure 1

18 pages, 362 KB  
Article
Geodesic Dynamics for Constrained State-Space Models on Riemannian Manifolds
by Tianyu Wang, Xinghua Xu, Shaohua Qiu and Changchong Sheng
Mathematics 2026, 14(6), 1037; https://doi.org/10.3390/math14061037 - 19 Mar 2026
Viewed by 155
Abstract
We present a geodesic dynamics framework for discrete-time state evolution on the unit sphere SN1 that maintains exact unit-norm constraints through Riemannian exponential mapping. Given an input sequence and an initial state, the method constructs trajectories by projecting inputs to [...] Read more.
We present a geodesic dynamics framework for discrete-time state evolution on the unit sphere SN1 that maintains exact unit-norm constraints through Riemannian exponential mapping. Given an input sequence and an initial state, the method constructs trajectories by projecting inputs to tangent spaces and updating states along geodesics, incorporating temporal memory via approximate parallel transport of velocity directions. Unlike traditional approaches requiring post hoc normalization of linear updates, the geodesic formulation preserves xt=1 to machine precision while eliminating explicit N×N transition matrices in favor of D×N input embeddings when the intrinsic input dimension D is much smaller than the ambient dimension N. The update corresponds to a first-order exponential integrator on the sphere. We establish local Lipschitz continuity of the exponential map on positively curved manifolds with careful treatment of basepoint dependence, derive perturbation bounds showing linear-to-exponential growth transitions via Grönwall-type estimates, and we prove third-order asymptotic equivalence with normalized linear systems under appropriate scaling. Numerical experiments on synthetic data validate exact norm preservation over extended time horizons, confirm theoretical perturbation growth predictions, and demonstrate the effectiveness of the temporal memory mechanism in reducing long-horizon prediction errors. The framework provides a principled geometric approach for applications requiring exact directional or compositional constraints. Full article
17 pages, 300 KB  
Article
Fruit and Vegetable Parenting Practices in Preschoolers: Initial Examination and Cultural Equivalency of a New Measure
by Lenka H. Shriver and Cheryl Buehler
Nutrients 2026, 18(6), 974; https://doi.org/10.3390/nu18060974 - 19 Mar 2026
Viewed by 220
Abstract
Background: Encouraging fruit and vegetable (FV) consumption early in childhood is important for long-term healthy eating. Though parents play an important role in shaping children’s FV-related taste preferences and consumption, validated instruments assessing the range of parenting practices that specifically support young [...] Read more.
Background: Encouraging fruit and vegetable (FV) consumption early in childhood is important for long-term healthy eating. Though parents play an important role in shaping children’s FV-related taste preferences and consumption, validated instruments assessing the range of parenting practices that specifically support young children’s FV intake are scarce. Furthermore, little attention has been given to low-income families, cultural inclusivity, and FV practices across different settings. The current study sought to conduct an initial examination and explore the measurement equivalency of a new FV parenting practices questionnaire (FVPPQ) across racially/ethnically diverse groups that address these gaps. Methods: Data for this paper came from a large project focused on parents’ FV parenting practices with young children enrolled in Head Start programs in the southern part of the U.S. Inclusion criteria were (a) parent/legal guardian being eighteen or older, (b) being the primary person responsible for child feeding, and (c) the child not requiring a special diet (e.g., diabetic). Using a multi-phases project approach, we (1) developed a preliminary conceptual map of parenting practice domains by reviewing existing measures on FV parenting practices; (2) completed and content-analyzed data from 18 focus groups (n = 62) to identify and further revise the preliminary conceptual map of domains, (3) administered a questionnaire with 11 domains of FV parenting practices, and then (4) empirically explored and reduced the measure while evaluating its content, construct, and criterion validity, and cultural equivalency across Non-Hispanic White, Hispanic White, and Black parents (n = 281). Results: Findings from Phases 1 and 2 generated a 107-item questionnaire that was reduced during phase 3 through a series of principal component and confirmatory factor analyses to the final FVPPQ with 21 items in four unique domains, showing good variability and inter-item consistency reliability: (1) Availability (5 items); (2) modeling (5 items); child-focused (5 items); and pressure (6 items). Three of the four domains evidenced cultural equivalency. Conclusions: The FVPPQ with four unique subscales demonstrated good content, construct validity, and partial measurement equivalency across racially/ethnically diverse groups of parents. Further confirmatory validation is warranted in larger samples, but the FVPPQ might be a promising and easily administered measure for research and applied interventions in nutrition, health behavior, and parenting contexts. Full article
(This article belongs to the Section Nutrition and Public Health)
27 pages, 4022 KB  
Article
Structural Dynamic Response Assessment of CLT Wall Structure Systems in Wind-Only and Sequential Seismic–Wind Scenarios
by Yunxiang Ma, Qingli Dai and Xiang Zhao
Buildings 2026, 16(6), 1213; https://doi.org/10.3390/buildings16061213 - 19 Mar 2026
Viewed by 139
Abstract
Because of concentrated connection damage, the impact of sequential hazards on CLT shear wall systems is much more severe than that on traditional concrete and steel structures considering ductile component behaviors. The present paper evaluated the dynamic response of CLT wall structures in [...] Read more.
Because of concentrated connection damage, the impact of sequential hazards on CLT shear wall systems is much more severe than that on traditional concrete and steel structures considering ductile component behaviors. The present paper evaluated the dynamic response of CLT wall structures in wind-only and sequential seismic–wind scenarios and compared the structural dynamic responses and damage levels of different CLT wall systems. The structural models were established separately based on an SOM benchmark structure, a SOFIE project three-story CLT shear wall structure, and a PT CLT wall platform structure from the NHERI Tall Wood project. The equivalent fluctuating wind load was calculated with the ASCE 7 average wind speed, the reference ESDU wind profile, calibrated wind pressure distribution, and simulated fluctuation from the NatHaz Online Wind Simulator. The sequential load was applied to the structural models in the order of seismic excitation, resting time, and then dynamic wind load. The dynamic responses of different CLT wall structures were compared among loading scenarios with increasing seismic and wind intensities. The wind-excited peak story displacement and acceleration for both CLT structures were significantly magnified in the sequential seismic–wind scenarios compared with the wind-only scenarios. The simulation results indicated that the sequential seismic–wind scenarios caused significant acceleration in damaged connections for the conventional CLT shear wall structure. The PT CLT wall structure had minor displacement and acceleration, which were linear to the wind loading factors. For the conventional CLT shear wall structure, the magnification of the acceleration was found to have a strong correlation with the natural frequencies of the damaged structure. This study demonstrated that the wind responses of the PT wall structures were in a safe range after the seismic event, and conventional CLT wall structures need to be re-evaluated under sequential scenarios for structural resilience assessment. Full article
(This article belongs to the Special Issue Seismic Performance and Durability of Engineering Structures)
Show Figures

Figure 1

20 pages, 1291 KB  
Article
Development, Feasibility, and Appreciation of the Collaborative Integrated Depression Care (IDECA) Project in Flanders, Belgium
by Ruben Willems, Kris Van den Broeck, Reini Haverals, Lieven Annemans, Pauline Boeckxstaens, Didier Schrijvers, Geert Goderis, Elke Peeters and Liesbeth Borgermans
J. Clin. Med. 2026, 15(6), 2326; https://doi.org/10.3390/jcm15062326 - 18 Mar 2026
Viewed by 187
Abstract
Background: Depression remains a major global health burden, yet fragmented care often leads to waiting times and unmet needs. Therefore, the Belgian collaborative Integrated Depression Care (IDECA) project strengthened primary care depression management by introducing a Reference Person Mental Wellbeing (RPMW) who [...] Read more.
Background: Depression remains a major global health burden, yet fragmented care often leads to waiting times and unmet needs. Therefore, the Belgian collaborative Integrated Depression Care (IDECA) project strengthened primary care depression management by introducing a Reference Person Mental Wellbeing (RPMW) who functions as a case manager, supported by shared-care tools, structured psychoeducation modules, and targeted training for general practitioners (GPs). This study examines normalization in primary care practice. Methods: A single-arm, mixed-method study was implemented over 18 months in two Flemish Primary Care Zones (PCZ). Implementation outcomes were assessed every four months using the NoMAD questionnaire and analyzed using Wilcoxon signed-rank tests. Peer review sessions with professionals and interviews with patients were analyzed thematically. Caseload and service delivery were assessed using process evaluation logs. Results: Twenty-two professionals (17 GPs, two RPMWs, and three PCZ staff members) completed the NoMAD questionnaire. Intervention familiarity increased during the first eight months (T0–T1: p < 0.001; T1–T2: p = 0.022) and continued to rise thereafter (T3–T4: p = 0.008). Integration into daily practice and perceived impact on professional work improved progressively, reaching near-ceiling scores. Peer review sessions highlighted the RPMW’s central role in trust-building and care coordination. Over 12 months, one full-time equivalent RPMW supported 175 patients (mean age 40.7 years; 75% female), with an average of five consultations per patient. Patients reported high satisfaction, emphasizing accessibility, empathy, and practical support. Conclusions: Sustained results suggest successful normalization and support the potential of collaborative, low-threshold depression care. Future work will assess clinical and economic outcomes. Full article
(This article belongs to the Special Issue Innovations and Advances in Primary Care and Family Medicine)
Show Figures

Figure 1

21 pages, 3440 KB  
Article
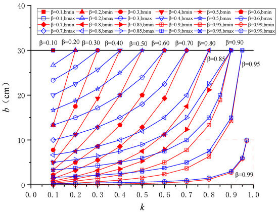
Theoretical Calculation of RCC Layer Thickness Based on Equivalent Elastic Model and Numerical Study on Dam Deformation
by Ruicong Han, Ying Hao, Shuanghua He, Ruibao Jin, Dazhi He, Min Zhang and Qingyun Wang
Buildings 2026, 16(6), 1186; https://doi.org/10.3390/buildings16061186 - 18 Mar 2026
Viewed by 88
Abstract
The layer-by-layer construction process of roller-compacted concrete (RCC) leads to the formation of layer zones, resulting in the transversely isotropic constitutive behavior of the RCC dam. Crucially, the thickness of the layer zone exerts a non-negligible influence on the overall deformation behavior of [...] Read more.
The layer-by-layer construction process of roller-compacted concrete (RCC) leads to the formation of layer zones, resulting in the transversely isotropic constitutive behavior of the RCC dam. Crucially, the thickness of the layer zone exerts a non-negligible influence on the overall deformation behavior of the RCC dam structure. An analytical expression for the thickness of the layer zone is derived based on the equivalent elastic modulus theory, and the influence of concrete with the same and different properties on the thickness of the layer zone is investigated. Numerical analysis is employed in conjunction with the RCC dam project to quantitatively assess the influence of layer thickness on the displacement of the dam structure. The numerical results demonstrate that considering the thickness of the layer zone leads to a substantial increase in both horizontal and vertical displacements of the dam. Furthermore, the range of extreme values of layer thickness is established using the variational principle of elasticity mechanics. When the elastic modulus ratio of RCC with layer zones to bulk concrete β is 0.85–0.99, a reasonable thickness of the layer can be obtained. When the weakening coefficient k and β are close to 1, the thickness of the layer is close to 10 cm, which is close in nature to the RCC dam. Full article
(This article belongs to the Special Issue The Greening of the Reinforced Concrete Industry)
Show Figures

Figure 1

15 pages, 1145 KB  
Article
Energy Target and Unemployment: Could the Bioenergy Industry Using Second-Generation Feedstocks Offer a Solution for Nigeria?
by Stanley U. Okoro, Chidinma Lucy Uka and Uwe A. Schneider
Sustainability 2026, 18(6), 2789; https://doi.org/10.3390/su18062789 - 12 Mar 2026
Viewed by 164
Abstract
This study explores Nigeria’s bioenergy industry’s potential in reducing unemployment. It focuses on two objectives: first, to determine how the development of the bioenergy sector can reduce Nigeria’s unemployment rate, and second, to identify effective policy instruments to harness the potential of the [...] Read more.
This study explores Nigeria’s bioenergy industry’s potential in reducing unemployment. It focuses on two objectives: first, to determine how the development of the bioenergy sector can reduce Nigeria’s unemployment rate, and second, to identify effective policy instruments to harness the potential of the bioenergy industry in Nigeria. Using a Forest and Agricultural Sector Optimization Model for Nigeria, this study modeled three scenarios with varying labor wage rates. The second scenario used an hourly wage of US$0.38/h for US$3.00 purchasing power parity (PPP), reflecting the International Labor Organization’s global minimum PPP. The first and third scenarios applied prices slightly below and well above the PPP at the rate of US$0.32/h for US$2.56 PPP and US$1.04/h for US$8.30 PPP, respectively. This was modeled against the baseline labor rate (Nigeria’s minimum wage of 45 USD/month, approximately US$0.28/h, equivalent to 70,000 NGN). Nigeria’s current energy and food security targets and policies are also implicitly implemented. The product-demand driver is the Nigerian population data projection, which aligns with the Shared Socioeconomic Pathways (SSPs) for Scenario 2. Results reveal that while increases in the labor wage rate improve labor welfare above the global poverty threshold, they also impact the bioenergy sector and the aggregated total economic welfare. Results highlight an optimal wage balance where employment growth in the bioenergy sector can be sustained without compromising production capacity or aggregated total welfare. Based on these insights, actionable policy implications from this study include implementing moderate wage growth, subsidies, and productivity investments to maximize bioenergy’s potential as a sustainable employment generator in Nigeria. Full article
Show Figures

Figure 1

16 pages, 360 KB  
Article
Perturbative Analysis of Singularity-Free Cosmological Solutions in Unimodular Kaluza–Klein Theory
by Júlio C. Fabris, Stéfani Faller and Richard Kerner
Universe 2026, 12(3), 75; https://doi.org/10.3390/universe12030075 - 9 Mar 2026
Viewed by 139
Abstract
The unimodular version of the Kaluza–Klein theory is briefly discussed, and its projection onto four-dimensional spacetime is constructed. Imposing the unimodularity condition on the five-dimensional Kaluza–Klein metric, detgAB=1 is equivalent to introducing a cosmological term in Einstein’s equations [...] Read more.
The unimodular version of the Kaluza–Klein theory is briefly discussed, and its projection onto four-dimensional spacetime is constructed. Imposing the unimodularity condition on the five-dimensional Kaluza–Klein metric, detgAB=1 is equivalent to introducing a cosmological term in Einstein’s equations in four dimensions with a scalar field of the Brans–Dicke type. Singularity-free cosmological solutions with scalar field and matter sources are constructed, and their basic properties are analyzed In the present paper, attention is focused on the perturbative analysis of cosmological solutions, providing insights into their stability against small fluctuations. Full article
(This article belongs to the Section Cosmology)
Show Figures

Figure 1

27 pages, 9176 KB  
Article
Multi-Objective Topological Optimization of 3D Multi-Material Structures Using the SESO Method with FORM
by Márcio Maciel da Silva, Hélio Luiz Simonetti, Francisco de Assis das Neves and Marcílio Sousa da Rocha Freitas
Buildings 2026, 16(5), 981; https://doi.org/10.3390/buildings16050981 - 2 Mar 2026
Viewed by 245
Abstract
Topological optimization has established itself as an efficient tool for the design of highly complex structures and the rational use of materials, especially in problems involving multiple constraints and conflicting objectives. This work presents a new multi-material topological optimization approach based on the [...] Read more.
Topological optimization has established itself as an efficient tool for the design of highly complex structures and the rational use of materials, especially in problems involving multiple constraints and conflicting objectives. This work presents a new multi-material topological optimization approach based on the ESO smoothing method (SESO), formulated as a multi-objective optimization problem in a MATLAB R2021a environment. The multi-objective formulation simultaneously considers the minimization of the maximum von Mises equivalent stress (or minimum principal stress) and the maximum displacement, which are fundamental criteria for structural engineering design. The proposed methodology also incorporates a reliability analysis using the First-Order Reliability Method (FORM), modeling uncertainties associated with the applied force, volume fraction, and modulus of elasticity through normal and lognormal probability distributions, with a target reliability index of βtarget=3.0. The consistency of the reliability analysis was evaluated using Monte Carlo simulations, validating the reliability indices obtained via FORM. The approach was applied to two classical three-dimensional numerical examples: a cantilever beam under base and center loads and an MBB beam, considering two widely used engineering materials, steel and concrete. The results indicate improved multi-material distribution in the design domain and greater structural robustness against unfavorable loading planes, variations in the modulus of elasticity, and volume constraints imposed by FORM. Furthermore, the minimum yield stress of steel (σymin) and the compressive strength of concrete (fckmin) were calibrated, representing the minimum material strengths required to resist the maximum von Mises stress in steel and the minimum principal stress (σ3) in concrete, ensuring the target reliability index is achieved. This method, thus, highlights the integration of SESO with multi-material, multi-objective, and reliability-based optimization as a consistent, robust, and practically relevant strategy with potential for future applications in structural engineering projects. Full article
Show Figures

Figure 1

20 pages, 1905 KB  
Article
Directional Asymmetry of Crossover Neuromuscular Fatigue Following Unilateral Handgrip Exercise in Adults and Prepubertal Children
by Aymen Ben Othman, Wissem Dhahbi, Manel Bessifi, Halil İbrahim Ceylan, Valentina Stefanica, Rihab Moncer and Helmi Ben Saad
Medicina 2026, 62(3), 471; https://doi.org/10.3390/medicina62030471 - 2 Mar 2026
Viewed by 232
Abstract
Background and Objectives: This study investigated whether crossover neuromuscular fatigue following unilateral handgrip exercise exhibits directional asymmetry, testing whether dominant-limb fatigue produces greater contralateral performance decrements than non-dominant-limb fatigue in adults and pre-peak-height-velocity children. Materials and Methods: Thirty-three healthy, right-handed males [...] Read more.
Background and Objectives: This study investigated whether crossover neuromuscular fatigue following unilateral handgrip exercise exhibits directional asymmetry, testing whether dominant-limb fatigue produces greater contralateral performance decrements than non-dominant-limb fatigue in adults and pre-peak-height-velocity children. Materials and Methods: Thirty-three healthy, right-handed males (16 adults: 22.5 ± 1.6 years; 17 pre-peak-height-velocity boys: 11.2 ± 0.8 years, maturity offset −2.2 ± 0.4 years) completed three counterbalanced experimental sessions (48–72 h apart): dominant-arm fatigue, non-dominant-arm fatigue, and control. The fatigue protocol consisted of 20 consecutive 6 s maximal voluntary isometric handgrip contractions. Primary outcomes were percentage changes in maximal voluntary isometric contraction of the contralateral limb across handgrip, elbow flexor, and elbow extensor muscle groups. Results: The experimental condition explained approximately 64% of crossover variance in adults (ηp2 = 0.650, ηG2 = 0.421) and children (ηp2 = 0.638, ηG2 = 0.448; both p < 0.001). Dominant-limb fatigue elicited substantially greater contralateral decrements than non-dominant-limb fatigue in adults (−11.00% vs. −3.92%, dz = −1.07) and children (−12.71% vs. −3.08%, dz = −1.33), representing 2.5- to 3.5-fold greater transfer efficiency (both p < 0.001). Age-group comparisons revealed no differences in crossover susceptibility (p = 0.627, ηp2 = 0.008), with equivalence testing confirming developmental invariance. Crossover effects extended to heterologous proximal muscles without magnitude differences (p > 0.13). Conclusions: Crossover fatigue (contralateral performance decrement following unilateral exercise) exhibited directional asymmetry, with dominant-limb protocols eliciting 2.5- to 3.5-fold greater contralateral decrements. This pattern aligns with asymmetric transcallosal inhibitory projections demonstrated in prior transcranial magnetic stimulation studies, though direct neurophysiological confirmation was not obtained. Functional equivalence between pre-peak-height-velocity children and adults indicates that interhemispheric transfer mechanisms achieve operational maturity before peak height velocity. Extension to heterologous muscles implicates supraspinal mechanisms. The findings establish normative parameters for clinical populations with compromised transcallosal integrity. Full article
(This article belongs to the Section Sports Medicine and Sports Traumatology)
Show Figures

Figure 1

Back to TopTop