Sign in to use this feature.

Years

Between: -

Subjects

remove_circle_outline
remove_circle_outline
remove_circle_outline
remove_circle_outline
remove_circle_outline
remove_circle_outline
remove_circle_outline

Journals

Article Types

Countries / Regions

Search Results (8)

Search Parameters:
Keywords = engineering waste spoil

Order results
Result details
Results per page
Select all
Export citation of selected articles as:
21 pages, 5369 KB  
Article
Properties of Magnesium Oxysulfate Soil Stabilizer
by Peng Cui, Wei Tang, Fu-Ming Luo, Chun-Ran Wu, Meng-Xiong Tang and Shi-Cong Kou
Buildings 2026, 16(3), 613; https://doi.org/10.3390/buildings16030613 - 2 Feb 2026
Abstract
Inorganic soil stabilizer represents a promising option to tackle the issues that arise from the land-filling of engineering waste spoil (EWS) due to its economic and environmental benefits. This paper investigates the mechanical and microscopic properties of magnesium oxysulfate soil stabilizer (MOSS) pastes. [...] Read more.
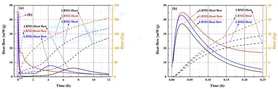
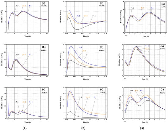
Inorganic soil stabilizer represents a promising option to tackle the issues that arise from the land-filling of engineering waste spoil (EWS) due to its economic and environmental benefits. This paper investigates the mechanical and microscopic properties of magnesium oxysulfate soil stabilizer (MOSS) pastes. In addition, the mechanical properties of a novel type of engineering waste spoil-based specimens (EWSS), fabricated using MOSS to solidify high-content EWS, were systematically investigated. The results show that a larger mean particle size and BJH adsorption average pore diameter of LBM were found to accelerate the heat flow rate of the hydration reaction. Specifically, the peak heat flow and total hydration heat attained 30.25 mW/g and 283.9 J/g, respectively, under the condition of an MgO-to-MgSO4 molar ratio of 9: 1 with LBM2 as the raw material. Furthermore, when the weight ratio of EWS rose from 5% to 80%, the compressive and flexural strengths of EWSS pastes at the 28-day curing age were reduced by 47.0% and 53.3% relative to the reference MOSS pastes. Full article
(This article belongs to the Topic Solid Waste Recycling in Civil Engineering Materials)
Show Figures

Figure 1

17 pages, 5736 KB  
Article
Investigation of Water-Stability Behaviors in Coastal Mud Multiply Modified by Cement and Coarse-Particle Spoil
by Zipeng Qin, Yan Tian, Xianding Guo, Jiongzhang Chen, Huang Huang, Zongkai Ye, Dongxue Wang, Erjin Xu, Hanwei Huang and Xinxin Chen
J. Mar. Sci. Eng. 2025, 13(11), 2105; https://doi.org/10.3390/jmse13112105 - 5 Nov 2025
Viewed by 566
Abstract
This study investigates the water-stability performance and stabilization mechanism of a hybrid-modified dredged muck sampled from the protection channel of the southern seawall, Cangnan County, China, and explores the feasibility of reusing the modified soil as backfill or non-structural fill behind the dike [...] Read more.
This study investigates the water-stability performance and stabilization mechanism of a hybrid-modified dredged muck sampled from the protection channel of the southern seawall, Cangnan County, China, and explores the feasibility of reusing the modified soil as backfill or non-structural fill behind the dike body. The muck was amended with two industrial by-products: (i) coarse-grained spoil excavated from an adjacent power-plant project, serving as a particle-size modifier, and (ii) ordinary Portland cement, acting as the chemical stabilizer. Unconfined compressive strength (UCS) tests were conducted on specimens cured for 7 d and 28 d under both saturated and unsaturated conditions, complemented by scanning electron microscopy (SEM) to elucidate microstructural evolution. An optimal mix proportion that satisfies the prescribed water-stability criterion while maintaining cost-effectiveness was thereby identified. Experimental results demonstrate that cement content, coarse-spoil fraction and curing age govern the water-stability behavior, with cement dosage exerting the most pronounced influence. A 28 d cured blend containing only 5% cement yielded a low water-stability coefficient (31.8%) and negligible post-immersion strength. Conversely, a ternary mixture comprising 40% muck, 60% coarse spoil and 15% cement achieved the highest water stability, recording UCS values of 1582 kPa (saturated) and 2025 kPa (unsaturated), corresponding to 78.1%. These findings provide a theoretical basis and practical guidance for the valorization of waste soils in coastal engineering and for the design/construction of seawalls. These findings not only provide a theoretical basis and practical guidance for the valorization of waste soils in coastal engineering and for the design/construction of seawalls, but also substantially expand the available material source, drive down construction costs, and markedly mitigate the environmental impacts associated with the off-site disposal of excavated waste. Full article
(This article belongs to the Section Coastal Engineering)
Show Figures

Figure 1

30 pages, 20720 KB  
Article
Modeling the River Health and Environmental Scenario of the Decaying Saraswati River, West Bengal, India, Using Advanced Remote Sensing and GIS
by Arkadeep Dutta, Samrat Karmakar, Soubhik Das, Manua Banerjee, Ratnadeep Ray, Fahdah Falah Ben Hasher, Varun Narayan Mishra and Mohamed Zhran
Water 2025, 17(7), 965; https://doi.org/10.3390/w17070965 - 26 Mar 2025
Cited by 2 | Viewed by 3324
Abstract
This study assesses the environmental status and water quality of the Saraswati River, an ancient and endangered waterway in Bengal, using an integrated approach. By combining traditional knowledge, advanced geospatial tools, and field analysis, it examines natural and human-induced factors driving the river’s [...] Read more.
This study assesses the environmental status and water quality of the Saraswati River, an ancient and endangered waterway in Bengal, using an integrated approach. By combining traditional knowledge, advanced geospatial tools, and field analysis, it examines natural and human-induced factors driving the river’s degradation and proposes sustainable restoration strategies. Tools such as the Garmin Global Positioning System (GPS) eTrex10, Google Earth Pro, Landsat imagery, ArcGIS 10.8, and Google Earth Engine (GEE) were used to map the river’s trajectory and estimate its water quality. Remote sensing-derived indices, including the Normalized Difference Water Index (NDWI), Modified Normalized Difference Water Index (MNDWI), Normalized Difference Salinity Index (NDSI), Normalized Difference Turbidity Index (NDTI), Floating Algae Index (FAI), and Normalized Difference Chlorophyll Index (NDCI), Total Dissolved Solids (TDS), were computed to evaluate parameters such as the salinity, turbidity, chlorophyll content, and water extent. Additionally, field data from 27 sampling locations were analyzed for 11 critical water quality parameters, such as the pH, Total Dissolved Solids (TDS), Electrical Conductivity (EC), Dissolved Oxygen (DO), Biochemical Oxygen Demand (BOD), and microbial content, using an arithmetic weighted water quality index (WQI). The results highlight significant spatial variation in water quality, with WQI values ranging from 86.427 at Jatrasudhi (indicating relatively better conditions) to 358.918 at Gobra Station Road (signaling severe contamination). The pollution is primarily driven by urban solid waste, industrial effluents, agricultural runoff, and untreated sewage. A microbial analysis revealed the presence of harmful species, including Escherichia coli (E. coli), Bacillus, and Entamoeba, with elevated concentrations in regions like Bajra, Chinsurah, and Chandannagar. The study detected heavy metals, fertilizers, and pesticides, highlighting significant anthropogenic impacts. The recommended mitigation measures include debris removal, silt extraction, riverbank stabilization, modern hydraulic structures, improved waste management, systematic removal of water hyacinth and decomposed materials, and spoil bank design in spilling zones to restore the river’s natural flow. Full article
Show Figures

Figure 1

17 pages, 14199 KB  
Article
The Risk of Alkali–Carbonate Reaction and the Freeze–Thaw Resistance of Waste Dolomite Slag-Based Concrete
by Yulin Chen, Xuefei Xiong, Ding Wang, Xianliang Zhou, Changwu Liu and Zhipeng Xu
Buildings 2024, 14(6), 1664; https://doi.org/10.3390/buildings14061664 - 4 Jun 2024
Cited by 2 | Viewed by 2136
Abstract
The alkali–carbonate reaction (ACR) is a type of alkali–aggregate reaction (AAR) that may lead to serious damage in concrete construction. There is sufficient research on the effect of the ACR on dolomite limestone; however, research on the effect of the ACR on pure [...] Read more.
The alkali–carbonate reaction (ACR) is a type of alkali–aggregate reaction (AAR) that may lead to serious damage in concrete construction. There is sufficient research on the effect of the ACR on dolomite limestone; however, research on the effect of the ACR on pure dolomite is absent, and there are a large number of dolomite resources that cannot be effectively utilized in civil engineering. This study aims to investigate whether the ACR occurs in pure dolomite spoil and to determine the freeze–thaw resistance of pure waste dolomite slag-based concrete (PWDSC). In this study, X-ray diffraction (XRD) and the lithofacies method (LM) confirmed that the tested samples were pure dolomite. The rock cylinder method (RCM) and rapid preliminary screening testing for carbonate aggregates (AAR-5) were employed to determine the alkali activity of pure dolomite: the RCM indicated a variation of −0.09% in length during the 84-day test period, the AAR-5 exhibited a length expansion rate of 0.03% within 28 days, and the expansion rates were less than 0.1%. These findings suggest that pure waste dolomite slag (PWDS) does not possess alkali activity. The freeze–thaw cycle test showed no significant spalling on the concrete surface, the inside of the cement produced few micro-cracks according to scanning electron microscopy (SEM), and the uniaxial compressive strength (UCS) test showed a decrease of approximately 20% after 200 freeze–thaw cycles. The results verified that ACR does not occur in PWDS and that it can withstand freeze–thaw damage, to a certain extent, when used as concrete coarse aggregate. Full article
(This article belongs to the Section Building Materials, and Repair & Renovation)
Show Figures

Figure 1

17 pages, 3144 KB  
Article
Suitability of Site Selection for Mountain Railway Engineering Spoil Disposal Areas from a Multi-Scenario Perspective
by Yange Li, Cheng Zeng, Zheng Han, Weidong Wang and Jianling Huang
Buildings 2024, 14(4), 1184; https://doi.org/10.3390/buildings14041184 - 22 Apr 2024
Cited by 3 | Viewed by 1760
Abstract
The current approach to selecting sites for abandoned spoil areas primarily relies on qualitative methods, often overlooking the impact of policy factors on decision-making. Traditional single-site selection strategies may not be flexible enough to accommodate evolving external policy demands. Addressing this challenge is [...] Read more.
The current approach to selecting sites for abandoned spoil areas primarily relies on qualitative methods, often overlooking the impact of policy factors on decision-making. Traditional single-site selection strategies may not be flexible enough to accommodate evolving external policy demands. Addressing this challenge is crucial for ensuring the site selection for abandoned spoil areas is both scientifically sound and policy-compliant. This research integrates various analytical methods, including principal component analysis, complex network theory, the CRITIC method, and the ordered weighted averaging method, to thoroughly evaluate the factors influencing site selection. Utilizing geographic information system (GIS) technology, the study simulates different policy scenarios, such as construction cost, social and ecological concerns, natural security, spatial accessibility, and a comprehensive balance approach. It specifically analyzes the suitability of the spoil site of a segment of the Chongqing ZW Railway under these policy conditions. Based on the actual policy situation in the local area, six potential suitable sites were screened with the help of field investigation. This study can offer a methodological framework and theoretical guidance for optimally locating mountain railway engineering waste disposal sites. In addition, the methodology presented in this study can be adapted to the development and change in policy scenarios. Full article
Show Figures

Figure 1

16 pages, 1962 KB  
Article
An Implementation Framework for On-Site Shield Spoil Utilization—A Case Study of a Metro Project
by Fangsheng Yang, Taibo Cao, Tingrong Zhang, Junfeng Hu, Xinrui Wang, Zhikun Ding and Zezhou Wu
Sustainability 2023, 15(12), 9304; https://doi.org/10.3390/su15129304 - 8 Jun 2023
Cited by 9 | Viewed by 2485
Abstract
A majority of metro projects have been constructed to reduce urban traffic congestion and to improve the convenience of public transportation, but these projects also produced a significant amount of engineering slag and mud. The shield construction method could improve the efficiency and [...] Read more.
A majority of metro projects have been constructed to reduce urban traffic congestion and to improve the convenience of public transportation, but these projects also produced a significant amount of engineering slag and mud. The shield construction method could improve the efficiency and safety; this technique has been frequently used in tunnel excavation projects. However, the spoil produced during the shield construction is challenging to deal with. In literature, though there has been an increasing number of studies on the technologies of utilizing shield spoil, the on-site utilization of shield spoil is still a subject of little research. This study introduced an implementation framework for the on-site utilization of shield spoil based on successful case experiences. It aims to assist project managers in efficiently implementing on-site resource utilization projects and to address the gaps in the relevant field. A case study was conducted in the Shenzhen Metro Line 13 North Extension Project; this study collected data through six semi-structured interviews and field research, analyzed the data, and constructed a framework using thematic analysis and focus group discussions. The three components of the implementation framework are project planning, project construction, and project closing, and each section describes what must be accomplished during that phase. Additionally, three recommendations—(1) combining intelligent technology to optimize the existing equipment, (2) utilizing lean technology in project execution, (3) establishing strategic partnerships with construction waste recycling enterprises—are also made for the development of the shield spoil utilization project. This study uses the Shenzhen Metro Line 13 North Extension Project as a model to theoretically underpin future research on shielding spoil on-site during resource utilization projects and to achieve the repeatable promotion of shield spoil utilization technology in Shenzhen. Full article
(This article belongs to the Special Issue Construction and Demolition Waste Management for Carbon Neutrality)
Show Figures

Figure 1

17 pages, 1649 KB  
Review
Machine Learning Algorithms and Fundamentals as Emerging Safety Tools in Preservation of Fruits and Vegetables: A Review
by Vinay Kumar Pandey, Shivangi Srivastava, Kshirod Kumar Dash, Rahul Singh, Shaikh Ayaz Mukarram, Béla Kovács and Endre Harsányi
Processes 2023, 11(6), 1720; https://doi.org/10.3390/pr11061720 - 4 Jun 2023
Cited by 69 | Viewed by 11043
Abstract
Machine learning assists with food process optimization techniques by developing a model to predict the optimal solution for given input data. Machine learning includes unsupervised and supervised learning, data pre-processing, feature engineering, model selection, assessment, and optimization methods. Various problems with food processing [...] Read more.
Machine learning assists with food process optimization techniques by developing a model to predict the optimal solution for given input data. Machine learning includes unsupervised and supervised learning, data pre-processing, feature engineering, model selection, assessment, and optimization methods. Various problems with food processing optimization could be resolved using these techniques. Machine learning is increasingly being used in the food industry to improve production efficiency, reduce waste, and create personalized customer experiences. Machine learning may be used to improve ingredient utilization and save costs, automate operations such as packing and labeling, and even forecast consumer preferences to develop personalized products. Machine learning is also being used to identify food safety hazards before they reach the consumer, such as contaminants or spoiled food. The usage of machine learning in the food sector is predicted to rise in the near future as more businesses understand the potential of this technology to enhance customer experience and boost productivity. Machine learning may be utilized to enhance nano-technological operations and fruit and vegetable preservation. Machine learning algorithms may find trends regarding various factors that impact the quality of the product being preserved by examining data from prior tests. Furthermore, machine learning may be utilized to determine optimal parameter combinations that result in maximal produce preservation. The review discusses the relevance of machine learning in ready-to-eat foods and its use as a safety tool for preservation were highlighted. The application of machine learning in agriculture, food packaging, food processing, and food safety is reviewed. The working principle and methodology, as well as the principles of machine learning, were discussed. Full article
(This article belongs to the Special Issue Processing Foods: Process Optimization and Quality Assessment (II))
Show Figures

Figure 1

14 pages, 2655 KB  
Review
The Mechanisms of Endogenous Fires Occurring in Extractive Waste Dumping Facilities
by Krzysztof Gogola, Tomasz Rogala, Małgorzata Magdziarczyk and Adam Smoliński
Sustainability 2020, 12(7), 2856; https://doi.org/10.3390/su12072856 - 3 Apr 2020
Cited by 29 | Viewed by 3362
Abstract
The processes of hard coal extraction and processing are accompanied by the generation of a considerable amount of post-mining extractive waste, which in most cases is deposited on the ground surface. In the past, such waste was disposed of by deposition in bings [...] Read more.
The processes of hard coal extraction and processing are accompanied by the generation of a considerable amount of post-mining extractive waste, which in most cases is deposited on the ground surface. In the past, such waste was disposed of by deposition in bings and spoil piles of various kinds. The application of modern technologies makes it possible to recycle, reuse or reclaim extractive waste in engineering works or as a substitute of natural aggregates used for the construction of different kinds of banks and embankments. Regardless of whether the waste is deposited or reused, the basic target method of waste management consists of depositing it on the ground surface. This form of extractive waste management is always associated with the risk of the occurrence of coal self-heating phenomena, which may consequently lead to an endogenous fire. Therefore, it is of critical importance to apply appropriate technologies for the construction of coal waste embankments on the one hand, and on the other hand to recognize the mechanisms responsible for the occurrence of fires in extractive waste dumps, which constitutes the subject matter of this paper. Full article
(This article belongs to the Section Energy Sustainability)
Show Figures

Figure 1

Back to TopTop