Due to scheduled maintenance work on our servers, there may be short service disruptions on this website between 11:00 and 12:00 CEST on March 28th.
Sign in to use this feature.

Years

Between: -

Subjects

remove_circle_outline
remove_circle_outline
remove_circle_outline
remove_circle_outline

Journals

Article Types

Countries / Regions

Search Results (17)

Search Parameters:
Keywords = embedded atom method (EAM)

Order results
Result details
Results per page
Select all
Export citation of selected articles as:
16 pages, 16663 KB  
Article
Mechanical Response of FeNiCrCoAl High-Entropy Alloys at the Nanoscale: Predictions from Molecular Dynamics
by Ernesto Amaro, Joaly Delgado-Alvarez, Jairo Andrés Martínez-Uribe and Sergio Mejía-Rosales
Nanomaterials 2025, 15(9), 652; https://doi.org/10.3390/nano15090652 - 25 Apr 2025
Cited by 1 | Viewed by 1573
Abstract
The mechanical response of high-entropy alloys (HEAs), specifically the FeNiCrCoAl HEA, was studied at both bulk and nanoparticle scales using molecular dynamics simulations. These simulations were performed using the LAMMPS software with an Embedded Atom Method (EAM) potential. The results show that Bulk [...] Read more.
The mechanical response of high-entropy alloys (HEAs), specifically the FeNiCrCoAl HEA, was studied at both bulk and nanoparticle scales using molecular dynamics simulations. These simulations were performed using the LAMMPS software with an Embedded Atom Method (EAM) potential. The results show that Bulk HEAs exhibited enhanced hardening and plasticity, while in nanoparticles, distinct deformation patterns were observed, including nanotwin formation, V-shaped stacking fault planes, and intermittent dislocation activity due to free surface effects. The crystallographic orientation with respect to the compression significantly affected the deformation mechanisms, with the [100] direction favoring progressive hardening, while the [110] and [111] directions exhibited different stacking fault and dislocation dynamics. A detailed analysis using von Mises stress and dislocation analysis provided insights into the effects of scale on mechanical properties. Full article
(This article belongs to the Special Issue Modeling, Simulation and Optimization of Nanomaterials)
Show Figures

Graphical abstract

21 pages, 12165 KB  
Article
Microscopic Modeling of Interfaces in Cu-Mo Nanocomposites: The Case Study of Nanometric Metallic Multilayers
by Abdelhafid Akarou, Florence Baras and Olivier Politano
Metals 2025, 15(3), 282; https://doi.org/10.3390/met15030282 - 5 Mar 2025
Cited by 1 | Viewed by 1736
Abstract
Nanocomposites composed of Cu and Mo were investigated by means of molecular dynamics (MD) simulations to study the incoherent interface between Cu and Mo. In order to select an appropriate potential capable of accurately describing the Cu-Mo system, five many-body potentials were compared: [...] Read more.
Nanocomposites composed of Cu and Mo were investigated by means of molecular dynamics (MD) simulations to study the incoherent interface between Cu and Mo. In order to select an appropriate potential capable of accurately describing the Cu-Mo system, five many-body potentials were compared: three Embedded Atom Method (EAM) potentials, a Tight Binding Second Moment Approximation (TB-SMA) potential, and a Modified Embedded Atom Method (MEAM) potential. Among these, the EAM potential proposed by Zhou in 2001 was determined to provide the best compromise for the current study. The simulated system was constructed with two layers of Cu and Mo forming an incoherent fcc-Cu(111)/bcc-Mo(110) interface, based on the Nishiyama–Wassermann (NW) and Kurdjumov–Sachs (KS) orientation relationships (OR). The interfacial energies were calculated for each orientation relationship. The NW configuration emerged as the most stable, with an interfacial energy of 1.83 J/m², compared to 1.97 J/m² for the KS orientation. Subsequent simulations were dedicated to modeling Cu atomic deposition onto a Mo(110) substrate at 300 K. These simulations resulted in the formation of a dense layer with only a few defects in the two Cu planes closest to the interface. The interfacial structures were characterized by computing selected area electron diffraction (SAED) patterns. A direct comparison of theoretical and numerical SAED patterns confirmed the presence of the NW orientation relationship in the nanocomposites formed during deposition, corroborating the results obtained with the model fcc-Cu(111)/bcc-Mo(110) interfaces. Full article
(This article belongs to the Special Issue Design and Development of Metal Matrix Composites)
Show Figures

Figure 1

17 pages, 8431 KB  
Article
Construction and Experimental Validation of Embedded Potential Functions for Ta-Re Alloys
by Haohao Miao, Xuehuan Xia, Yonghao Fu, Jing Yan, Lu Li, Hongzhong Cai, Xiao Wang, Chengling Wu, Zhaolin Zhan, Xian Wang and Zhentao Yuan
Molecules 2024, 29(24), 5963; https://doi.org/10.3390/molecules29245963 - 18 Dec 2024
Cited by 1 | Viewed by 1453
Abstract
Ta/Re layered composite material is a high-temperature material composed of the refractory metal tantalum (Ta) as the matrix and high-melting-point, high-strength rhenium (Re) as the reinforcement layer. It holds significant potential for application in aerospace engine nozzles. Developing the Ta/Re potential function is [...] Read more.
Ta/Re layered composite material is a high-temperature material composed of the refractory metal tantalum (Ta) as the matrix and high-melting-point, high-strength rhenium (Re) as the reinforcement layer. It holds significant potential for application in aerospace engine nozzles. Developing the Ta/Re potential function is crucial for understanding the diffusion behavior at the Ta/Re interface and elucidating the high-temperature strengthening and toughening mechanism of Ta/Re layered composites. In this paper, the embedded atom method (EAM) potential function for tantalum/rhenium binary alloys (Ta-Re alloys) is derived using the force-matching method and validated through first-principles calculations and experimental characterization. The results show that for the lattice constant of a bcc structure containing 54 atoms, surface formation energies per unit area of Ta-Re alloys obtained based on the potential function are 12.196 Å, E100 = 0.16 × 10−2 eV, E110 = 0.10 × 10−2 eV, and E111 = 0.08 × 10−2 eV, with error values of 0.015 Å, 0.04 × 10−2 eV, 0.02 × 10−2 eV, and 0.01 × 10−2 eV, respectively, compared with the calculations from first principles calculations. It is noteworthy that the errors in the average binding energies of Ta-rich (Ta39Re20, where the number of Ta atoms is 39 and Re atoms is 20) and Re-rich (Ta20Re39, where the number of Ta atoms is 20 and Re atoms is 39) cluster atoms, calculated by the potential function and first-principles methods, are only 1.64% to 1.98%. These results demonstrate the accuracy of the constructed EAM potential function. Based on this, three compositions of Ta-Re alloys (Ta48Re6, Ta30Re24, and Ta6Re48; the numerical subscripts represent the number of atoms of each corresponding element) were randomly synthesized, and a comparative analysis of their bulk moduli was conducted. The results revealed that the experimental values of the bulk modulus showed a decreasing and then an increasing tendency with the calculated values, which indicated that the potential function has a very good generalization ability. This study can provide theoretical guidance for the modulation of Ta/Re laminate composite properties. Full article
Show Figures

Figure 1

17 pages, 33705 KB  
Article
Tunability of Martensitic Transformation with Cohesive Energies for Fe80−xMnxCo10Cr10 High-Entropy Alloys
by Yu Cao, Xiaoliang Zhang, Daoxuan Zhou, Peng Wang, Deng Pan and Hongtao Wang
Metals 2024, 14(6), 728; https://doi.org/10.3390/met14060728 - 19 Jun 2024
Cited by 3 | Viewed by 1753
Abstract
Multi-element alloys (e.g., non-equiatomic FeMnCoCr alloys) have attracted extensive attention from researchers due to the breaking of the strengthen-ductility tradeoff relationship. Plenty of work has been conducted to investigate the ingredient-dependent deformation mechanism in these alloys in experiments. However, the atomic simulations on [...] Read more.
Multi-element alloys (e.g., non-equiatomic FeMnCoCr alloys) have attracted extensive attention from researchers due to the breaking of the strengthen-ductility tradeoff relationship. Plenty of work has been conducted to investigate the ingredient-dependent deformation mechanism in these alloys in experiments. However, the atomic simulations on such parameter-related mechanisms are greatly limited with the lack of the related interatomic potentials. In this work, two interatomic potentials are developed within the embedded atom method (EAM) framework for Fe80−xMnxCo10Cr10 high-entropy alloys. The tunability of the cohesive energy-related martensitic transformation (MT) mechanism was comprehensively investigated using molecular dynamics (MD) through a series of unilateral crack configurations with different twin boundary spacings (TBs). It is noted that the main deformation mechanism around the crack tip is transformed from a martensitic transformation to dislocation activities (dislocation or twin) with the variation of different cohesive energies between face-centered cubic (fcc) and hexagonal close-packed (hcp) phases. Additionally, the introduction of twin boundaries significantly enhances the strength and toughness of the alloys. The newly developed interatomic potentials are expected to provide theoretical support for the related simulations, focusing the martensitic transformation mechanism on high-entropy alloys. Full article
(This article belongs to the Section Computation and Simulation on Metals)
Show Figures

Figure 1

19 pages, 16314 KB  
Article
Structure and Migration Mechanisms of Small Vacancy Clusters in Cu: A Combined EAM and DFT Study
by Vasileios Fotopoulos, David Mora-Fonz, Manuel Kleinbichler, Rishi Bodlos, Ernst Kozeschnik, Lorenz Romaner and Alexander L. Shluger
Nanomaterials 2023, 13(9), 1464; https://doi.org/10.3390/nano13091464 - 25 Apr 2023
Cited by 7 | Viewed by 4471
Abstract
Voids in face-centered cubic (fcc) metals are commonly assumed to form via the aggregation of vacancies; however, the mechanisms of vacancy clustering and diffusion are not fully understood. In this study, we use computational modeling to provide a detailed insight into the structures [...] Read more.
Voids in face-centered cubic (fcc) metals are commonly assumed to form via the aggregation of vacancies; however, the mechanisms of vacancy clustering and diffusion are not fully understood. In this study, we use computational modeling to provide a detailed insight into the structures and formation energies of primary vacancy clusters, mechanisms and barriers for their migration in bulk copper, and how these properties are affected at simple grain boundaries. The calculations were carried out using embedded atom method (EAM) potentials and density functional theory (DFT) and employed the site-occupation disorder code (SOD), the activation relaxation technique nouveau (ARTn) and the knowledge led master code (KLMC). We investigate stable structures and migration paths and barriers for clusters of up to six vacancies. The migration of vacancy clusters occurs via hops of individual constituent vacancies with di-vacancies having a significantly smaller migration barrier than mono-vacancies and other clusters. This barrier is further reduced when di-vacancies interact with grain boundaries. This interaction leads to the formation of self-interstitial atoms and introduces significant changes into the boundary structure. Tetra-, penta-, and hexa-vacancy clusters exhibit increasingly complex migration paths and higher barriers than smaller clusters. Finally, a direct comparison with the DFT results shows that EAM can accurately describe the vacancy-induced relaxation effects in the Cu bulk and in grain boundaries. Significant discrepancies between the two methods were found in structures with a higher number of low-coordinated atoms, such as penta-vacancies and di-vacancy absortion by grain boundary. These results will be useful for modeling the mechanisms of diffusion of complex defect structures and provide further insights into the structural evolution of metal films under thermal and mechanical stress. Full article
Show Figures

Figure 1

12 pages, 10121 KB  
Article
The Effect of Interatomic Potentials on the Nature of Nanohole Propagation in Single-Crystal Nickel: A Molecular Dynamics Simulation Study
by Xinmao Qin, Yilong Liang, Jiabao Gu and Guigui Peng
Crystals 2023, 13(4), 585; https://doi.org/10.3390/cryst13040585 - 29 Mar 2023
Cited by 4 | Viewed by 2415
Abstract
Based on a molecular dynamics (MD) simulation, we investigated the nanohole propagation behaviors of single-crystal nickel (Ni) under different styles of Ni–Ni interatomic potentials. The results show that the MEAM (the modified embedded atom method potential) potential is best suited to describe the [...] Read more.
Based on a molecular dynamics (MD) simulation, we investigated the nanohole propagation behaviors of single-crystal nickel (Ni) under different styles of Ni–Ni interatomic potentials. The results show that the MEAM (the modified embedded atom method potential) potential is best suited to describe the brittle propagation behavior of nanoholes in single-crystal Ni. The EAM/FS (embedded atom method potential developed by Finnis and Sinclair) potential, meanwhile, is effective at characterizing the plastic growth behavior of nanoholes in single-crystal Ni. Furthermore, the results show the difference between the different styles of interatomic potentials in characterizing nanohole propagation in single-crystal Ni and provide a theoretical basis for the selection of interatomic potentials in the MD simulation of Ni crystals. Full article
(This article belongs to the Special Issue Crystallization of High Performance Metallic Materials)
Show Figures

Figure 1

14 pages, 3595 KB  
Article
The Al-Fe Intermetallic Compounds and the Atomic Diffusion Behavior at the Interface of Aluminum-Steel Welded Joint
by Yinglong Zhang, Tianxiang Zhao, Xiaoquan Yu and Jiankang Huang
Metals 2023, 13(2), 334; https://doi.org/10.3390/met13020334 - 7 Feb 2023
Cited by 37 | Viewed by 7898
Abstract
The formation of intermetallic compounds (IMC) at the Al/Fe interface determined the mechanical property of steel-aluminum welded joint. To understand the interfacial microstructure evolution and relate diffusion mechanism of atoms cross the Al/Fe interface, the effect of welding parameters on the interfacial IMC [...] Read more.
The formation of intermetallic compounds (IMC) at the Al/Fe interface determined the mechanical property of steel-aluminum welded joint. To understand the interfacial microstructure evolution and relate diffusion mechanism of atoms cross the Al/Fe interface, the effect of welding parameters on the interfacial IMC was studied, and the molecular dynamics method (MD) was used to simulate the diffusion process of Al and Fe atoms. Four temperatures (950 K, 1000 K, 1050 K, and 1100 K) were selected in the simulation model. The interfacial IMC are distributed in a laminar pattern, and their physical phases are mainly composed of Fe2Al5, controlling the Al/Fe atomic ratio of 5:2 in the IMC configuration, the Embedded Atom Method (EAM) potential is used to describe the interactions between Al and Fe atoms. In the Al-Fe system IMC conformation, the mean square displacement and diffusion (MSD) coefficient of Al atoms at different temperatures were small, and the main diffusion path is the Al atoms across the IMC conformation into the Fe crystal structure. The diffusion in the IMC conformation was mainly along the direction perpendicular to the interface. The diffusion mechanisms were mainly vacancy diffusion and interstitial diffusion mechanisms. Full article
(This article belongs to the Section Welding and Joining)
Show Figures

Graphical abstract

15 pages, 5113 KB  
Article
Effects of Pressure on Homogeneous Nucleation and Growth during Isothermal Solidification in Pure Al: A Molecular Dynamics Simulation Study
by Xiaohua Chen, Weijie Fan, Wenwen Jiang, Deye Lin, Zidong Wang and Simeng Jiang
Metals 2022, 12(12), 2101; https://doi.org/10.3390/met12122101 - 7 Dec 2022
Cited by 4 | Viewed by 3057
Abstract
Effects of different pressures on the isothermal-solidification process of pure Al were studied by molecular dynamics (MD) simulation using the embedded-atom method (EAM). Al was first subjected to a rapid-cooling process, and then it was annealed under different pressures conditions. Mean first-passage times [...] Read more.
Effects of different pressures on the isothermal-solidification process of pure Al were studied by molecular dynamics (MD) simulation using the embedded-atom method (EAM). Al was first subjected to a rapid-cooling process, and then it was annealed under different pressures conditions. Mean first-passage times (MFPT) method, Johnson-Mehl-Avrami (JMA) law, and X-ray diffraction (XRD) simulation analysis method were used to qualify the solidification- kinetic processing. Nucleation rate, critical-nucleus size, Avrami exponent, growth exponent, and crystallite size were calculated. Results show that the nucleation rate increases as the pressure increases. The change of critical-nucleation size is not obvious as the pressure increases. With the pressure increasing, growth exponent decreases, indicative of decreased grain-growth rate. It was also found that with the pressure increasing, the Avrami exponent decreases, indicating that the increased pressure has an effect on growth modes during solidification, which changes from three-dimensional growth to one-dimensional growth. Results of XRD simulation shows that with pressure increasing, crystallite size decreases. Full article
(This article belongs to the Special Issue Microstructure and Mechanical Properties of Nanocrystalline Metals)
Show Figures

Figure 1

13 pages, 1534 KB  
Article
Determination of Young Modulus and Stress-Strain Curve for Metal Fe and Interstitial Alloy FeC
by Nguyen Quang Hoc, Dung Nguyen Trong, Nguyen Chinh Cuong, Bui Duc Tinh, Nguyen Duc Hien, Van Cao Long, Umut Saraç and Ştefan Ţălu
J. Compos. Sci. 2022, 6(9), 250; https://doi.org/10.3390/jcs6090250 - 26 Aug 2022
Cited by 8 | Viewed by 4044
Abstract
In this research, the numerical calculation for elastic and nonlinear strains of Fe metal and FeC alloy under different pressures has been performed by the statistical moment method SMM with Mie–-Lennard–Jones potential (MLJ) and Embedded-Jones potential Atom Method (EAM). The analysis reveals that [...] Read more.
In this research, the numerical calculation for elastic and nonlinear strains of Fe metal and FeC alloy under different pressures has been performed by the statistical moment method SMM with Mie–-Lennard–Jones potential (MLJ) and Embedded-Jones potential Atom Method (EAM). The analysis reveals that an enhancement in the concentration (cC) from 0 to 5% causes a decrement in the Young’s modulus (E) at room temperature (T = 300 K) for FeC. These calculated results are consistent with the experimental results. In addition, the obtained stress-strain curves for Fe are in perfect agreement with the experimental curves. Besides, increasing the cC for a continuous strain decreases the stress, showing that adding C to Fe to form FeC steel will increase strength and hardness, but decrease elasticity and hardness. The results obtained will be very useful not only for experimental studies but also for theoretical studies of metals and their interstitial alloys. Full article
(This article belongs to the Special Issue Metal Composites)
Show Figures

Figure 1

11 pages, 35286 KB  
Article
Effect of Crack Defects on Magnetostriction and Magnetic Moment Evolution of Iron Thin Films
by Hongwei Yang, Meng Zhang and Lianchun Long
Nanomaterials 2022, 12(7), 1236; https://doi.org/10.3390/nano12071236 - 6 Apr 2022
Cited by 2 | Viewed by 2767
Abstract
Molecular dynamics simulations of body-centered cubic (bcc) iron thin films with crack defects were carried out by adopting methods of EAM (Embedded Atom Method) potential, spin/exchange potential and spin/neel potential. In this article, the effects of the variation of distance between two crack [...] Read more.
Molecular dynamics simulations of body-centered cubic (bcc) iron thin films with crack defects were carried out by adopting methods of EAM (Embedded Atom Method) potential, spin/exchange potential and spin/neel potential. In this article, the effects of the variation of distance between two crack defects and their directions on the magnetostrictive properties of the thin films are studied, and the corresponding microscopic mechanism is also analyzed. The results show that the defects affect the atomic magnetic moment nearby, and the magnetostrictive properties of thin iron films vary with the direction and spacing of the crack defects. If the defect spacing is constant, the iron model with crack perpendicular to the magnetization direction has stronger magnetostriction than that of parallel to the magnetization direction. The variation of the defect spacing has a great influence on the magnetostrictive properties of the iron model with crack direction parallel to magnetization direction, but it has a small effect on another perpendicular situation. The atoms between the defects may move, but if the defect spacing increases to a certain value, then none of the atoms will move. Full article
(This article belongs to the Section Theory and Simulation of Nanostructures)
Show Figures

Figure 1

10 pages, 3678 KB  
Article
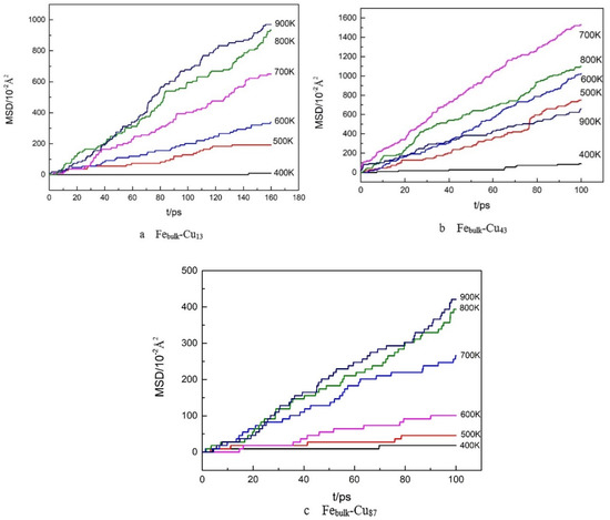
Atomic Simulations for Packing Changes of Nano-Sized Cu Clusters Embedded in the Febulk on Heating
by Peng Yu, Lin Zhang and Linxiu Du
Metals 2021, 11(6), 934; https://doi.org/10.3390/met11060934 - 8 Jun 2021
Cited by 3 | Viewed by 2265
Abstract
Understanding of the defect evolution mechanism under irradiation is very important for the research of pressure vessel steel embrittlement. In this paper, the embedded atom method (EAM) based canonical ensemble molecular dynamics (MD) method was used to study the evolution of the stacking [...] Read more.
Understanding of the defect evolution mechanism under irradiation is very important for the research of pressure vessel steel embrittlement. In this paper, the embedded atom method (EAM) based canonical ensemble molecular dynamics (MD) method was used to study the evolution of the stacking structure of different nano-sized Cun (n = 13, 43 and 87) clusters in an Febulk embedded with BCC lattice structure during continuous heating. The mean square displacement, pair distribution functions and atomic structures of Cu atom clusters at the nanometer scale were calculated at different temperatures. The structural changes present apparent differences, for the Febulks contain nano-sized Cu clusters with different atom numbers during heating. For the Febulk–Cu13 system, since the ability to accommodate the atomic Cu in the Fe substrate is lesser, a small number of Cu atoms in BCC lattice positions cannot influence the whole structure of the Fe-Cu system. For the Febulk–Cu43 system, with an increase in temperature, a Cu atomic pile structural change happened, and the strain areas decreased significantly in the Febulk, but a single strain area grew large. For the Febulk–Cu87 system, when the Cu atoms are constrained by the Fe atoms in bulk, only a few of the Cu atoms adjust their positions. With the increase in temperature, strain in the Fe eased. Full article
Show Figures

Figure 1

12 pages, 3608 KB  
Article
Molecular Dynamics as a Means to Investigate Grain Size and Strain Rate Effect on Plastic Deformation of 316 L Nanocrystalline Stainless-Steel
by Abdelrahim Husain, Peiqing La, Yue Hongzheng and Sheng Jie
Materials 2020, 13(14), 3223; https://doi.org/10.3390/ma13143223 - 20 Jul 2020
Cited by 20 | Viewed by 3691
Abstract
In the present study, molecular dynamics simulations were employed to investigate the effect of strain rate on the plastic deformation mechanism of nanocrystalline 316 L stainless-steel, wherein there was an average grain of 2.5–11.5 nm at room temperature. The results showed that the [...] Read more.
In the present study, molecular dynamics simulations were employed to investigate the effect of strain rate on the plastic deformation mechanism of nanocrystalline 316 L stainless-steel, wherein there was an average grain of 2.5–11.5 nm at room temperature. The results showed that the critical grain size was 7.7 nm. Below critical grain size, grain boundary activation was dominant (i.e., grain boundary sliding and grain rotation). Above critical grain size, dislocation activities were dominant. There was a slight effect that occurred during the plastic deformation mechanism transition from dislocation-based plasticity to grain boundaries, as a result of the stress rate on larger grain sizes. There was also a greater sensitive on the strain rate for smaller grain sizes than the larger grain sizes. We chose samples of 316 L nanocrystalline stainless-steel with mean grain sizes of 2.5, 4.1, and 9.9 nm. The values of strain rate sensitivity were 0.19, 0.22, and 0.14, respectively. These values indicated that small grain sizes in the plastic deformation mechanism, such as grain boundary sliding and grain boundary rotation, were sensitive to strain rates bigger than those of the larger grain sizes. We found that the stacking fault was formed by partial dislocation in all samples. These stacking faults were obstacles to partial dislocation emission in more sensitive stress rates. Additionally, the results showed that mechanical properties such as yield stress and flow stress increased by increasing the strain rate. Full article
Show Figures

Figure 1

19 pages, 5386 KB  
Article
Effect of Cold-Sintering Parameters on Structure, Density, and Topology of Fe–Cu Nanocomposites
by Alexey Tsukanov, Dmitriy Ivonin, Irena Gotman, Elazar Y. Gutmanas, Eugene Grachev, Aleksandr Pervikov and Marat Lerner
Materials 2020, 13(3), 541; https://doi.org/10.3390/ma13030541 - 23 Jan 2020
Cited by 10 | Viewed by 4377
Abstract
The design of advanced nanostructured materials with predetermined physical properties requires knowledge of the relationship between these properties and the internal structure of the material at the nanoscale, as well as the dependence of the internal structure on the production (synthesis) parameters. This [...] Read more.
The design of advanced nanostructured materials with predetermined physical properties requires knowledge of the relationship between these properties and the internal structure of the material at the nanoscale, as well as the dependence of the internal structure on the production (synthesis) parameters. This work is the first report of computer-aided analysis of high pressure consolidation (cold sintering) of bimetallic nanoparticles of two immiscible (Fe and Cu) metals using the embedded atom method (EAM). A detailed study of the effect of cold sintering parameters on the internal structure and properties of bulk Fe–Cu nanocomposites was conducted within the limitations of the numerical model. The variation of estimated density and bulk porosity as a function of Fe-to-Cu ratio and consolidation pressure was found in good agreement with the experimental data. For the first time, topological analysis using Minkowski functionals was applied to characterize the internal structure of a bimetallic nanocomposite. The dependence of topological invariants on input processing parameters was described for various components and structural phases. The model presented allows formalizing the relationship between the internal structure and properties of the studied nanocomposites. Based on the obtained topological invariants and Hadwiger’s theorem we propose a new tool for computer-aided design of bimetallic Fe–Cu nanocomposites. Full article
(This article belongs to the Special Issue Computer-Aided Design and Modeling of Materials at Different Scales)
Show Figures

Graphical abstract

14 pages, 6483 KB  
Article
Graphene Adhesion Mechanics on Iron Substrates: Insight from Molecular Dynamic Simulations
by Lu Wang, Jianfeng Jin, Peijun Yang, Yaping Zong and Qing Peng
Crystals 2019, 9(11), 579; https://doi.org/10.3390/cryst9110579 - 6 Nov 2019
Cited by 22 | Viewed by 4783
Abstract
The adhesion feature of graphene on metal substrates is important in graphene synthesis, transfer and applications, as well as for graphene-reinforced metal matrix composites. We investigate the adhesion energy of graphene nanosheets (GNs) on iron substrate using molecular dynamic (MD) simulations. Two Fe–C [...] Read more.
The adhesion feature of graphene on metal substrates is important in graphene synthesis, transfer and applications, as well as for graphene-reinforced metal matrix composites. We investigate the adhesion energy of graphene nanosheets (GNs) on iron substrate using molecular dynamic (MD) simulations. Two Fe–C potentials are examined as Lennard–Jones (LJ) pair potential and embedded-atom method (EAM) potential. For LJ potential, the adhesion energies of monolayer GN are 0.47, 0.62, 0.70 and 0.74 J/m2 on the iron {110}, {111}, {112} and {100} surfaces, respectively, compared to the values of 26.83, 24.87, 25.13 and 25.01 J/m2 from EAM potential. When the number of GN layers increases from one to three, the adhesion energy from EAM potential increases. Such a trend is not captured by LJ potential. The iron {110} surface is the most adhesive surface for monolayer, bilayer and trilayer GNs from EAM potential. The results suggest that the LJ potential describes a weak bond of Fe–C, opposed to a hybrid chemical and strong bond from EAM potential. The average vertical distances between monolayer GN and four iron surfaces are 2.0–2.2 Å from LJ potential and 1.3–1.4 Å from EAM potential. These separations are nearly unchanged with an increasing number of layers. The ABA-stacked GN is likely to form on lower-index {110} and {100} surfaces, while the ABC-stacked GN is preferred on higher-index {111} surface. Our insights of the graphene adhesion mechanics might be beneficial in graphene growing, surface engineering and enhancement of iron using graphene sheets. Full article
(This article belongs to the Special Issue Graphene Mechanics)
Show Figures

Figure 1

12 pages, 69711 KB  
Article
On the Influence of Loading Order in Nanostructural Fatigue Crack Propagation in BCC Iron—A Molecular Dynamics Study
by Markus Ladinek and Thomas Hofer
Metals 2019, 9(6), 684; https://doi.org/10.3390/met9060684 - 14 Jun 2019
Cited by 7 | Viewed by 3877
Abstract
Most investigations dealing with fatigue crack propagation on the nanoscale, limit their studies on a loading scenario of constant stress or strain amplitudes. Since such a load scenario is rather rare, this paper aims to examine the influence of the load sequence on [...] Read more.
Most investigations dealing with fatigue crack propagation on the nanoscale, limit their studies on a loading scenario of constant stress or strain amplitudes. Since such a load scenario is rather rare, this paper aims to examine the influence of the load sequence on the crack growth using bcc iron. For this purpose, a specimen containing a central crack was loaded repeatedly by varying the load amplitude. All computations were carried out using molecular dynamics methods (MD), and the material behaviour was represented by utilising an embedded atom method (EAM) potential. Significant deviation in the crack growth behaviour was observed when loading the specimens with variable amplitudes rather than with constant amplitudes. Cracks did not only extend during the loading phase but also in the initial phase of the unloading process where cracks expanded from voids that had been formed in the last phase of loading. These voids coalesced with the main crack as the specimen was subjected to further loading. Full article
Show Figures

Figure 1

Back to TopTop