Sign in to use this feature.

Years

Between: -

Subjects

remove_circle_outline
remove_circle_outline
remove_circle_outline
remove_circle_outline
remove_circle_outline
remove_circle_outline
remove_circle_outline
remove_circle_outline
remove_circle_outline

Journals

remove_circle_outline
remove_circle_outline
remove_circle_outline
remove_circle_outline
remove_circle_outline
remove_circle_outline
remove_circle_outline
remove_circle_outline
remove_circle_outline
remove_circle_outline
remove_circle_outline
remove_circle_outline
remove_circle_outline
remove_circle_outline

Article Types

Countries / Regions

remove_circle_outline
remove_circle_outline
remove_circle_outline
remove_circle_outline
remove_circle_outline

Search Results (1,056)

Search Parameters:
Keywords = ellipsoid

Order results
Result details
Results per page
Select all
Export citation of selected articles as:
19 pages, 3577 KB  
Article
Comparison of Lagrangian and Isogeometric Boundary Element Formulations for Orthotropic Heat Conduction Problems
by Ege Erdoğan and Barbaros Çetin
Computation 2026, 14(2), 35; https://doi.org/10.3390/computation14020035 (registering DOI) - 2 Feb 2026
Abstract
Orthotropic materials are increasingly employed in advanced thermal systems due to their direction-dependent heat transfer characteristics. Accurate numerical modeling of heat conduction in such media remains challenging, particularly for 3D geometries with nonlinear boundary conditions and internal heat generation. In this study, conventional [...] Read more.
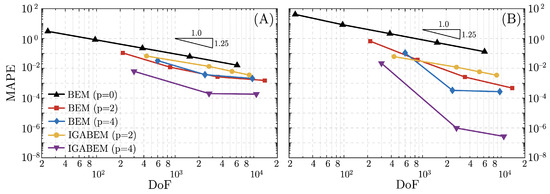
Orthotropic materials are increasingly employed in advanced thermal systems due to their direction-dependent heat transfer characteristics. Accurate numerical modeling of heat conduction in such media remains challenging, particularly for 3D geometries with nonlinear boundary conditions and internal heat generation. In this study, conventional boundary element method (BEM) and isogeometric boundary element method (IGABEM) formulations are developed and compared for steady-state orthotropic heat conduction problems. A coordinate transformation is adopted to map the anisotropic governing equation onto an equivalent isotropic form, enabling the use of classical Laplace fundamental solutions. Volumetric heat generation is incorporated via the radial integration method (RIM), preserving the boundary-only discretization, while nonlinear Robin boundary conditions are treated using variable condensation and a Newton–Raphson iterative scheme. The performance of both methods is evaluated using a hollow ellipsoidal benchmark problem with available analytical solutions. The results demonstrate that IGABEM provides higher accuracy and smoother convergence than conventional BEM, particularly for higher-order discretizations, which is owing to its exact geometric representation and higher continuity. Although IGABEM involves additional computational overhead due to NURBS evaluations, both methods exhibit similar quadratic scaling with respect to the degrees of freedom. Full article
(This article belongs to the Special Issue Computational Heat and Mass Transfer (ICCHMT 2025))
Show Figures

Figure 1

26 pages, 4477 KB  
Article
Robust Multi-Objective Optimization of Ore-Drawing Process Using the OGOOSE Algorithm Under an ε-Constraint Framework
by Chuanchuan Cai, Junzhi Chen, Chunfang Ren, Chaolin Xiong, Qiangyi Liu and Changyao He
Symmetry 2026, 18(2), 254; https://doi.org/10.3390/sym18020254 - 30 Jan 2026
Viewed by 19
Abstract
To address the complex multi-objective optimization problem of “cost–risk–recovery–dilution” in sublevel caving without bottom pillars under uncertainty, this study develops an operational GOOSE-based framework (OGOOSE) integrated with robust ε-constraint modeling. Methodologically, OGOOSE adopts three synergistic mechanisms: Opposition-Based Learning (OBL) for enhanced initial solution [...] Read more.
To address the complex multi-objective optimization problem of “cost–risk–recovery–dilution” in sublevel caving without bottom pillars under uncertainty, this study develops an operational GOOSE-based framework (OGOOSE) integrated with robust ε-constraint modeling. Methodologically, OGOOSE adopts three synergistic mechanisms: Opposition-Based Learning (OBL) for enhanced initial solution quality and spatial coverage symmetry, an Adaptive Inertia Weight (AIW) mechanism to maintain a symmetrical balance between exploration and exploitation, and a Boundary Reflection Mechanism (BRM) to ensure engineering feasibility. For modeling, an “ellipsoid-plane” geometric surrogate is employed, where the ellipsoid’s structural symmetry serves as the ideal baseline, while the Mean-CVaR criterion quantifies the asymmetry of operational risk (negative tail) under uncertainty. Taking robust cost (C) as the primary objective, the four-objective problem is decomposed via the ϵ-constraint method to enforce a balanced Pareto trade-off. Results demonstrate that OGOOSE significantly outperforms GOOSE, WOA, and HHO on CEC2017 benchmarks, achieving the lowest Friedman rank. In the engineering case study, it attains an average dilution rate of 28.95% (the lowest among comparators) without increasing unit cost or compromising recovery, demonstrating stable operational symmetry across economic and quality indicators. Sensitivity analysis of the ε-thresholds identifies an optimal “knee-point” that establishes a manageable balance between risk control (εR) and dilution limits (εP). OGOOSE effectively balances accuracy, stability, and interpretability, providing a robust tool for stabilizing complex mining systems against inherent operational asymmetry. Full article
(This article belongs to the Section Computer)
22 pages, 1700 KB  
Article
Ellipsoid-Structured Localized Generalized Eigenvalue Proximal Support Vector Machines
by Jianhang Zhou, Qi Zhang, Xubing Yang and Jia Gu
Mathematics 2026, 14(3), 485; https://doi.org/10.3390/math14030485 - 30 Jan 2026
Viewed by 50
Abstract
The Generalized Eigenvalue Proximal Support Vector Machine (GEPSVM) introduces a novel large-margin classifier that improves upon standard SVMs by constructing a pair of non-parallel hyperplanes derived from a generalized eigenvalue problem. However, the GEPSVM suffers from severe misclassification in the overlapped hyperplane region, [...] Read more.
The Generalized Eigenvalue Proximal Support Vector Machine (GEPSVM) introduces a novel large-margin classifier that improves upon standard SVMs by constructing a pair of non-parallel hyperplanes derived from a generalized eigenvalue problem. However, the GEPSVM suffers from severe misclassification in the overlapped hyperplane region, known as the underdetermined hyperplane problem (UHP). A localized GEPSVM (LGEPSVM) alleviates this issue by building convex hulls on the hyperplanes for classification, but it still faces notable drawbacks: (1) an inability to integrate both local and global information, (2) a lack of consideration of the data’s statistical characteristics, and (3) high computational and storage costs. To address these limitations, we propose the Ellipsoid-structured Localized GEPSVM (EL-GEPSVM), which extends the GEPSVM by constructing ellipsoid-structured convex hulls under the Mahalanobis metric. This design incorporates statistical data characteristics and enables a classification scheme that simultaneously considers local and global information. Extensive theoretical analyses and experiments demonstrate that the proposed EL-GEPSVM achieves improved effectiveness and efficiency compared with existing methods. Full article
Show Figures

Figure 1

27 pages, 6028 KB  
Article
A Comparative Study and Introduction of a New Heat Source Model for the Macro-Scale Numerical Simulation of Selective Laser Melting Technology
by Hao Zhang, Shuai Wang, Junjie Wang and Zhiqiang Yan
Materials 2026, 19(3), 480; https://doi.org/10.3390/ma19030480 - 25 Jan 2026
Viewed by 253
Abstract
Selective Laser Melting (SLM), as a common metal additive manufacturing (AM) technology, achieves high-precision complex part formation by layer-by-layer melting of metal powder using a laser. However, the dynamic behavior of the melt pool during the SLM process is influenced by the heat [...] Read more.
Selective Laser Melting (SLM), as a common metal additive manufacturing (AM) technology, achieves high-precision complex part formation by layer-by-layer melting of metal powder using a laser. However, the dynamic behavior of the melt pool during the SLM process is influenced by the heat source model, which is crucial for suppressing porosity defects and optimizing process parameters, directly determining the reliability of numerical simulations. To address the issue of traditional surface heat source models overestimating the melt pool width and volume heat source models underestimating the melt pool depth, this study constructs a three-dimensional transient heat conduction finite element model based on ANSYS Parametric Design Language (APDL) to simulate the evolution of the temperature field and melt pool geometry under different laser parameters. First, the temperature fields and melt pool morphology and dimensions of four heat source models—Gaussian surface heat source, volumetric heat source models (rotating Gaussian volumetric heat source, double ellipsoid heat source), and a combined heat source model—were investigated. Subsequently, a dynamic heat source model was proposed, combining a Gaussian surface heat source with a rotating volumetric heat source. By dynamically allocating the laser energy absorption ratio between the powder surface layer and the substrate depth, the influence of this heat source model on melt pool size was explored and compared with other heat source models. The results show that under the dynamic heat source, the melt pool width and depth are 128.6 μm and 63.13 μm, respectively. The melt pool width is significantly larger compared to other heat source models, and the melt pool depth is about 17% greater than that of the combined heat source model. At the same time, the predicted melt pool width and depth under this heat source model have relative errors of 1.0% and 5.5% compared to the experimental measurements, indicating that this heat source model has high accuracy in predicting the melt pool’s lateral dimensions and can effectively reflect the actual melt pool morphology during processing. Full article
(This article belongs to the Section Materials Simulation and Design)
Show Figures

Figure 1

14 pages, 788 KB  
Article
Anatomical and Systemic Predictors of Early Response to Subthreshold Micropulse Laser in Diabetic Macular Edema: A Retrospective Cohort Study
by Oscar Matteo Gagliardi, Giulia Gregori, Alessio Muzi, Lorenzo Mangoni, Veronica Mogetta, Jay Chhablani, Gregorio Pompucci, Clara Rizzo, Danilo Iannetta, Cesare Mariotti and Marco Lupidi
J. Clin. Med. 2026, 15(3), 955; https://doi.org/10.3390/jcm15030955 - 24 Jan 2026
Viewed by 168
Abstract
Background/Objectives: The aim of this study was to identify anatomical and systemic predictors of early (≤2 months) response to subthreshold micropulse laser (SMPL) in center-involving diabetic macular edema (DME) using automated AI-based OCT biomarker quantification. Methods: Retrospective observational study of 65 [...] Read more.
Background/Objectives: The aim of this study was to identify anatomical and systemic predictors of early (≤2 months) response to subthreshold micropulse laser (SMPL) in center-involving diabetic macular edema (DME) using automated AI-based OCT biomarker quantification. Methods: Retrospective observational study of 65 eyes. Spectral-domain optical coherence tomography (SD-OCT) volumes were analyzed with a CE-marked software (Ophthal v1.0; Mr. Doc s.r.l., Rome, Italy) to quantify intraretinal fluid (IRF) and subretinal fluid (SRF) volumes and outer retinal integrity (external limiting membrane, ELM; ellipsoid zone, EZ). SMPL (577 nm; 5% duty cycle; 200 ms; 150 µm; 250 mW) was applied in a high-density macular grid, sparing the foveal avascular zone. The primary endpoint was absolute and percentage change in IRF volume from baseline to follow-up; predictors of %IRF reduction were assessed by multivariable linear regression. Results: At 52 days (IQR 41–60), best-corrected visual acuity improved from 0.22 to 0.15 logMAR (p < 0.001). IRF volume decreased (median −0.045 mm3; p = 0.034) despite stable central subfield thickness. All eyes with baseline SRF (n = 5; median 0.026 mm3 [0.020–0.046]) achieved complete SRF resolution. Treatment-naïve eyes had greater %IRF reduction than pretreated eyes (59.6% vs. 11.5%; p = 0.029). High responders showed shorter diabetes duration than low responders (14.5 vs. 17 years; p = 0.025); however, treatment-naïve status was the strongest independent predictor of %IRF reduction (p = 0.028). Conclusions: AI-derived fluid volumetrics capture early SMPL response despite unchanged thickness. Treatment-naïve status and shorter diabetes duration may define a metabolic window for optimal early response in DME. Full article
(This article belongs to the Section Ophthalmology)
Show Figures

Figure 1

12 pages, 3222 KB  
Article
Temporal Arcuate Relaxing Retinotomy for Persistent Full-Thickness Macular Holes: Anatomical and Functional Assessment
by Luca Ventre, Erik Mus, Antonio Valastro, Gabriella De Salvo and Michele Reibaldi
J. Clin. Med. 2026, 15(2), 863; https://doi.org/10.3390/jcm15020863 - 21 Jan 2026
Viewed by 69
Abstract
Background: Evidence guiding secondary repair of persistent full-thickness macular holes (FTMHs) remains limited and heterogeneous. Temporal arcuate relaxing retinotomy has been described as a salvage maneuver intended to increase temporal retinal compliance, yet functional safety data are scarce. We report consecutive real-world outcomes [...] Read more.
Background: Evidence guiding secondary repair of persistent full-thickness macular holes (FTMHs) remains limited and heterogeneous. Temporal arcuate relaxing retinotomy has been described as a salvage maneuver intended to increase temporal retinal compliance, yet functional safety data are scarce. We report consecutive real-world outcomes of temporal arcuate relaxing retinotomy for persistent FTMHs after failed standard repair(s). Methods: Retrospective consecutive case series of patients with persistent FTMH after ≥1 pars plana vitrectomy (PPV) with internal limiting membrane (ILM) peeling, treated with repeat PPV and temporal arcuate relaxing retinotomy. Outcomes included OCT (Optical Coherence Tomography)-confirmed closure after gas absorption and best-corrected visual acuity (BCVA, logMAR), ellipsoid zone (EZ) status, retinotomy-site morphology on OCT/fundus autofluorescence (FAF), and safety/functional outcomes (systematic scotoma symptom inquiry; Humphrey visual field testing when feasible). Exact binomial 95% confidence intervals (CI) were calculated for proportions. Results: Nine eyes (median age 70 years; range 55–76) underwent temporal arcuate relaxing retinotomy for persistent FTMH. Minimum linear diameter ranged 412–1037 µm (median 613 µm). OCT-confirmed closure was achieved in 7/9 eyes (77.8%; 95% CI 40.0–97.2) at a mean follow-up of 5.9 months (range 2–12). BCVA improved in 8/9 eyes (88.9%; 95% CI 51.8–99.7); mean BCVA improved from 1.26 ± 0.51 logMAR pre-operatively to 0.61 ± 0.18 logMAR at last follow-up (mean change −0.64 logMAR; Wilcoxon signed-rank test p = 0.011). As a sensitivity analysis, the paired t-test yielded p = 0.008. Humphrey visual fields were obtained in 6/9 eyes; one patient reported a new paracentral nasal scotoma, which was subjectively well tolerated. Conclusions: In this small consecutive series, temporal arcuate relaxing retinotomy was associated with a 78% closure rate and mean BCVA improvement in eyes with persistent FTMH after failed standard repair(s), with limited symptomatic scotoma reporting in those assessed. Given the retrospective design, small cohort, and incomplete standardized functional testing, larger comparative studies with uniform functional endpoints (microperimetry, RNFL/GCL metrics, and systematic perimetry) are needed to define patient selection, reproducibility, and relative performance versus contemporary salvage options. Full article
Show Figures

Figure 1

14 pages, 1788 KB  
Article
CDHR1-Associated Retinal Dystrophies: Expanding the Clinical and Genetic Spectrum with a Hungarian Cohort
by Ágnes Takács, Balázs Varsányi, Mirella Barboni, Rita Vámos, Balázs Lesch, Dominik Dobos, Emília Clapp, András Végh, Ditta Zobor, Krisztina Knézy, Zoltán Zsolt Nagy and Viktória Szabó
Genes 2026, 17(1), 102; https://doi.org/10.3390/genes17010102 - 19 Jan 2026
Viewed by 255
Abstract
Aim: To report on the clinical and genetic spectrum of retinopathy associated with CDHR1 variants in a Hungarian cohort. Methods: A retrospective cohort study was conducted at a single tertiary care referral center. The study enrolled nine patients harboring biallelic variants [...] Read more.
Aim: To report on the clinical and genetic spectrum of retinopathy associated with CDHR1 variants in a Hungarian cohort. Methods: A retrospective cohort study was conducted at a single tertiary care referral center. The study enrolled nine patients harboring biallelic variants in the CDHR1 gene. Detailed clinical history, multimodal imaging, electroretinography, and molecular genetics are presented. Results: We identified four CDHR1 variants predicted to cause loss-of-function and five phenotypes (cone dystrophy, central areolar choroidal dystrophy, cone-rod dystrophy, rod-cone dystrophy, and late-onset macular dystrophy). The most frequent variant was the synonymous CDHR1 c.783G>A (p.Pro261=) variant (10/18 alleles, 55.6%). A novel splice acceptor site variant, CDHR1 c.349-1G>A, and a novel intronic variant, CDHR1 c.1168-10A>G, were also detected. Fundus examination revealed macular atrophy with or without peripheral retinal changes. Full-field electroretinography, available in seven patients, demonstrated decreased light-adapted and extinguished dark-adapted responses in both the rod-cone dystrophy group and patients with macular involvement. OCT imaging indicated ellipsoid zone disruption with foveal sparing in two out of nine patients and severe retinal damage in rod-cone dystrophy cases. Conclusions: The predominant clinical manifestations of cone dystrophy, cone-rod dystrophy, and macular dystrophy in the Hungarian patient cohort showed heterogeneity, with a rod-cone dystrophy phenotype observed in five of nine cases (55.6%). The natural history of CDHR1-associated retinopathy typically follows a slow progression, providing a therapeutic window, which makes the disease a candidate for gene therapy. Full article
(This article belongs to the Special Issue Current Advances in Inherited Retinal Disease)
Show Figures

Figure 1

15 pages, 2495 KB  
Article
Efficacy of Transcatheter Renal Arterial Embolization to Contract Renal Size and Increase Muscle Mass in Patients with Polycystic Kidney Disease
by Che-Ming Lin, Tai-Shuan Lai, Ting-Wei Liao, Trianingsih, Ying-Hui Wu, Chun-Jung Cheng and Chih-Horng Wu
Diagnostics 2026, 16(2), 302; https://doi.org/10.3390/diagnostics16020302 - 17 Jan 2026
Viewed by 473
Abstract
Background/Objectives: Autosomal dominant polycystic kidney disease (ADPKD) is a major cause of end-stage kidney disease (ESKD), accounting for approximately 5–10% of patients receiving dialysis worldwide. The large and numerous cysts in the liver and kidneys cause abdominal distention and poor appetite. Previous [...] Read more.
Background/Objectives: Autosomal dominant polycystic kidney disease (ADPKD) is a major cause of end-stage kidney disease (ESKD), accounting for approximately 5–10% of patients receiving dialysis worldwide. The large and numerous cysts in the liver and kidneys cause abdominal distention and poor appetite. Previous studies showed that renal arterial embolization (RAE) reduces total kidney volume (TKV), increases appetite, and improves quality of life. This article aims to evaluate the efficacy of RAE in increasing psoas muscle (PM) and paraspinal muscle (PS) mass in patients with polycystic kidney disease. Methods: A retrospective study was conducted from May 2016 to December 2020. Thirty-five patients with PKD and ESKD who received RAE were enrolled. The clinical data, including age, sex, body weight, abdominal circumference, and laboratory results, including albumin, creatinine, estimated glomerular filtration rate, and dialysis vintage, were collected. TKV was calculated with the ellipsoid formula method, and muscle mass was measured with bilateral PM and PS areas at the third lumbar level. The associated clinical, laboratory, and imaging data were compared before and after RAE. Results: There were 19 females and 16 males with a mean age of 59.9 for the final analysis. There were significant changes between baseline and 3-month, 6-month, 12-month after RAE, such as a decrease in TKV (4684 ± 3361 vs. 4079 ± 3456, 3675 ± 3401, 2459 ± 1706 mL, all p < 0.001), an increase in the PM area (12.6 ± 5.8 vs. 13.3 ± 5.7, 14.7 ± 6.9, 14.3 ± 7.1 cm2, all p < 0.05), but no difference in body weight, body mass index, albumin, hemoglobin, creatinine, or estimated glomerular filtration rate. The increase in the PM and PS was more obvious in the sarcopenic group than in the non-sarcopenic group in the 12-month follow-up (p = 0.001 and 0.016 vs. p = 0.205 and 0.259). Conclusions: RAE effectively reduces TKV, increases PM and PS mass, and serves as a candidate to reverse muscle loss in patients with PKD. Full article
(This article belongs to the Section Medical Imaging and Theranostics)
Show Figures

Figure 1

17 pages, 3329 KB  
Article
Intravitreal Dexamethasone Implant in Retinal Vein Occlusion: A Pilot Study Exploring Baseline Ocular and Circulating Biomarkers
by Carlo Gesualdo, Settimio Rossi, Fabiana Anna D’Agostino, Rosalba Casaburi, Maria Consiglia Trotta, Caterina Claudia Lepre, Marina Russo, Michele D’Amico and Francesca Simonelli
Int. J. Mol. Sci. 2026, 27(2), 924; https://doi.org/10.3390/ijms27020924 - 16 Jan 2026
Viewed by 159
Abstract
This pilot study assessed the effectiveness of the intravitreal dexamethasone implant (Ozurdex) in retinal vein occlusion (RVO) patients and explored potential pre-treatment biomarkers to improve management and prognosis. Eighteen patients with branch RVO (BRVO) and twenty-four with central RVO (CRVO) receiving two intravitreal [...] Read more.
This pilot study assessed the effectiveness of the intravitreal dexamethasone implant (Ozurdex) in retinal vein occlusion (RVO) patients and explored potential pre-treatment biomarkers to improve management and prognosis. Eighteen patients with branch RVO (BRVO) and twenty-four with central RVO (CRVO) receiving two intravitreal injections of Ozurdex (at baseline and between 4 and 6 months) were included. Best-corrected visual acuity (BCVA) and central retinal thickness (CRT) were recorded at baseline and after 3, 6, and 12 months. Retinal morphology was assessed using optical coherence tomography (OCT), and serum biomarkers were analyzed by ELISAs. No significant BCVA improvement was observed in RVO patients, while CRT significantly decreased from 3 to 12 months. Patients without defects of the retinal inner layers, ellipsoid zone, and external limiting membrane showed significantly higher BCVA at 6 and 12 months. Both BRVO and CRVO groups demonstrated significant BCVA improvement and CRT reduction at 6 and 12 months, with better outcomes in BRVO patients. These patients exhibited lower baseline serum levels of xanthine oxidase (XO) and thrombospondin-1 (TSP-1), which inversely correlated with BCVA at 12 months. Ozurdex was effective in real-life RVO treatment, particularly in BRVO. Serum XO and TSP-1 may serve as prognostic biomarkers for RVO. Full article
(This article belongs to the Special Issue Molecular and Cellular Mechanisms of Retinal Diseases)
Show Figures

Figure 1

11 pages, 3899 KB  
Proceeding Paper
Computation of Conduction and Displacement Current Densities in Modelled Human Organs near an Overhead Transmission Line
by Cvetanka Bilbiloska, Elena Todorova, Bojan Glushica and Andrijana Kuhar
Eng. Proc. 2026, 122(1), 9; https://doi.org/10.3390/engproc2026122009 - 15 Jan 2026
Viewed by 154
Abstract
This study employs numerical simulations to analyse current densities in modelled human organs originating from extremely low frequency (ELF) electromagnetic fields emanating from a 110 kV single-circuit high-voltage transmission line. Exposure to these ELF fields gives rise to both conduction and displacement currents [...] Read more.
This study employs numerical simulations to analyse current densities in modelled human organs originating from extremely low frequency (ELF) electromagnetic fields emanating from a 110 kV single-circuit high-voltage transmission line. Exposure to these ELF fields gives rise to both conduction and displacement currents within the human body, potentially perturbing endogenous bioelectric currents and raising concerns of health risks. Using CST Studio Suite 2018 software, a three-dimensional multipart ellipsoidal anatomical model is developed to analyse these phenomena. Although displacement currents have lower magnitudes than conduction currents, they contribute significantly to the total current density and must therefore be included in rigorous safety assessments. Simulation results indicate that the current density values remain below the basic restrictions of the International Commission on Non-Ionizing Radiation Protection. Full article
Show Figures

Figure 1

19 pages, 6631 KB  
Article
Research on the Influence of Ore Particle Shape on the Load Behavior of Charge and Wear of Ball Mill Liners Based on Rocky-DEM
by Zixin Yin and Xiangyi Pan
Lubricants 2026, 14(1), 37; https://doi.org/10.3390/lubricants14010037 - 15 Jan 2026
Viewed by 258
Abstract
This study investigates the influence of ore particle shape on the wear behavior of ball mill liners using the Rocky-DEM software. A simulation model of a laboratory-scale ball mill was established to analyze the wear patterns of liners under three different ore particle [...] Read more.
This study investigates the influence of ore particle shape on the wear behavior of ball mill liners using the Rocky-DEM software. A simulation model of a laboratory-scale ball mill was established to analyze the wear patterns of liners under three different ore particle shapes: polyhedron, ellipsoid, and sphere. The results indicate that while the overall motion patterns of the charge showed minor differences across particle shapes, significant variations were observed in flowability, with the polyhedral system exhibiting the lowest fluidity. Particle shape had a negligible impact on translational velocity but a substantial effect on rotational velocity. Regarding liner wear, the polyhedral system generated significantly higher wear compared to the spherical and ellipsoidal systems. The polyhedral system also exhibited the highest shear stress, identifying shear stress as the core factor dominating liner wear. The wear-time curves for individual liners in both radial and axial directions displayed a stepwise increase, suggesting that wear is primarily concentrated in the toe region. Full article
(This article belongs to the Special Issue Tribology in Ball Milling: Theory and Applications)
Show Figures

Figure 1

18 pages, 12661 KB  
Article
Gradient Microstructure of Ag–Cu Metastable Metal-Matrix Composite Processed by Complex Extrusion: A Preliminary Study
by Pavel Lejček, Drahomír Dvorský, Orsolya Molnárová, Filip Průša, Stanislav Habr and Angelina Strakošová
Metals 2026, 16(1), 89; https://doi.org/10.3390/met16010089 - 13 Jan 2026
Viewed by 183
Abstract
Severe plastic deformation is an effective process to modify materials’ structures. In this work, its new modification entitled channel angular extrusion was applied to a metastable metal-matrix composite consisting of a Ag matrix and spherical Cu particulates. During this process, the rod sample [...] Read more.
Severe plastic deformation is an effective process to modify materials’ structures. In this work, its new modification entitled channel angular extrusion was applied to a metastable metal-matrix composite consisting of a Ag matrix and spherical Cu particulates. During this process, the rod sample deforms in an inhomogeneous way and exhibits a gradient microstructure that is characterized by ellipsoidal Cu particulates at the edge of the sample but elongated and fragmented rectangular ones in the center. In addition to the different shapes, the edge and center of the sheet also differ in preferential orientations: the ⟨110⟩ direction predominates in the center of the sheet, while the ⟨111⟩ direction dominates at the sheet edge. The changed angle of the {111} shear plane relative to the extrusion direction explains these differences. Full article
(This article belongs to the Special Issue Microstructure and Characterization of Metal Matrix Composites)
Show Figures

Figure 1

11 pages, 8813 KB  
Article
Omphalotus yunnanensis: A New Poisonous Mushroom Discovered from China Based on Morphological, Molecular and Toxin-Detection Evidence
by Zhong-Feng Li, Jing Zhang, Xiang-Dong Min, Hong-Shun Zhang, Li Chen, Dai-Neng Li, Yi-Zhe Zhang, Ming-Xuan Yuan, Zhi-Yuan Liu, Jia-Ju Zhong, Meng-Huan Ruan and Hai-Jiao Li
Toxins 2026, 18(1), 40; https://doi.org/10.3390/toxins18010040 - 12 Jan 2026
Cited by 1 | Viewed by 315
Abstract
In the past few years, several mushroom poisoning incidents caused by Omphalotus species have occurred in China. In addition to O. guepiniformis and O. olearius, a new white Omphalotus species, O. yunnanensis, was discovered in Southwestern and Southern China based on [...] Read more.
In the past few years, several mushroom poisoning incidents caused by Omphalotus species have occurred in China. In addition to O. guepiniformis and O. olearius, a new white Omphalotus species, O. yunnanensis, was discovered in Southwestern and Southern China based on morphological, molecular and toxin-detection evidence. Omphalotus yunnanensis is characterized by its small, cream to white basidiomata with a hygrophanous pileal surface, non-bioluminescent lamellae, broadly ellipsoid to subglobose basidiospores (8–12.5 × 7–10 μm), fusoid to ventricose cheilocystidia with occasional apical outgrowths, cream to white pileipellis composed of thick-walled, subsoil to solid hyphae, clavate, and fusoid to ventricose caulocystidia with occasional apical outgrowths. The species has been discovered in tropical to subtropical areas in Southwestern and Southern China. Phylogenetic analyses based on ITS and nrLSU showed that the new species clustered with the Australasian species O. nidiformis, but can be easily distinguished by its smaller, white to cream pileus, non-bioluminescent lamellae, larger basidiospores and growing on Fagaceae species. Illudin S was detected in this new species using UPLC-MS/MS, at 6.98 to 86.1 mg/kg of the content (dry weight), while no illudin M was detected. Full article
(This article belongs to the Section Mycotoxins)
Show Figures

Figure 1

22 pages, 2157 KB  
Article
Nonextensive Statistics in Nanoscopic Quantum Dots
by John A. Gil-Corrales, Alvaro L. Morales and Carlos A. Duque
Nanomaterials 2026, 16(2), 94; https://doi.org/10.3390/nano16020094 - 12 Jan 2026
Viewed by 279
Abstract
Nanoscopic quantum dots exhibit discrete energy spectra and size- and shape-dependent thermal properties that cannot always be adequately described within the conventional Boltzmann–Gibbs statistical framework. In systems with strong confinement, finite size, and reduced symmetry, deviations from extensivity may emerge, affecting the occupation [...] Read more.
Nanoscopic quantum dots exhibit discrete energy spectra and size- and shape-dependent thermal properties that cannot always be adequately described within the conventional Boltzmann–Gibbs statistical framework. In systems with strong confinement, finite size, and reduced symmetry, deviations from extensivity may emerge, affecting the occupation of energy levels and the resulting thermodynamic response. In this context, this work elucidates how GaAs quantum dot geometry, external electric fields, and nonextensive statistical effects jointly influence the thermal response of quantum dots with different geometries—cubic, cylindrical, ellipsoidal, and pyramidal. These energy levels are calculated by solving the Schrödinger equation under the effective mass approximation, employing the finite element method for numerical computation. These energy levels are then incorporated into an iterative numerical procedure to calculate the specific heat for different values of the nonextensivity parameter, thereby enabling exploration of both extensive (Boltzmann–Gibbs) and nonextensive regimes. The results demonstrate that the shape of the quantum dots strongly influences the energy spectrum and, consequently, the thermal properties, producing distinctive features such as Schottky-type anomalies and geometry-dependent shifts under an external electric field. In subextensive regimes, a discrete behavior in the specific heat emerges due to natural cutoffs in the accessible energy states. In contrast, in superextensive regimes, a smooth, saturation-like behavior is observed. These findings highlight the importance of geometry, external-field effects, and nonextensive statistics as complementary tools for tailoring the energy distribution and thermal response in nanoscopic quantum systems. Full article
(This article belongs to the Section Theory and Simulation of Nanostructures)
Show Figures

Graphical abstract

24 pages, 18396 KB  
Article
Modeling and Mechanistic Analysis of Molten Pool Evolution and Energy Synergy in Laser–Cold Metal Transfer Hybrid Additive Manufacturing of 316L Stainless Steel
by Jun Deng, Chen Yan, Xuefei Cui, Chuang Wei and Ji Chen
Materials 2026, 19(2), 292; https://doi.org/10.3390/ma19020292 - 11 Jan 2026
Viewed by 319
Abstract
The present work uses numerical methods to explore the impact of spatial orientation on the behavior of molten pool and thermal responses during the laser–Cold Metal Transfer (CMT) hybrid additive manufacturing of metallic cladding layers. Based on the traditional double-ellipsoidal heat source model, [...] Read more.
The present work uses numerical methods to explore the impact of spatial orientation on the behavior of molten pool and thermal responses during the laser–Cold Metal Transfer (CMT) hybrid additive manufacturing of metallic cladding layers. Based on the traditional double-ellipsoidal heat source model, an adaptive CMT arc heat source model was developed and optimized using experimentally calibrated parameters to accurately represent the coupled energy distribution of the laser and CMT arc. The improved model was employed to simulate temperature and velocity fields under horizontal, transverse, vertical-up, and vertical-down orientations. The results revealed that variations in gravity direction had a limited effect on the overall molten pool morphology due to the dominant role of vapor recoil pressure, while significantly influencing the local convection patterns and temperature gradients. The simulations further demonstrated the formation of keyholes, dual-vortex flow structures, and Marangoni-driven circulation within the molten pool, as well as the redistribution of molten metal under different orientations. In multi-layer deposition simulations, optimized heat input effectively mitigated excessive thermal stresses, ensured uniform interlayer bonding, and maintained high forming accuracy. This work establishes a comprehensive numerical framework for analyzing orientation-dependent heat and mass transfer mechanisms and provides a solid foundation for the adaptive control and optimization of laser–CMT hybrid additive manufacturing processes. Full article
Show Figures

Figure 1

Back to TopTop