Sign in to use this feature.

Years

Between: -

Subjects

remove_circle_outline
remove_circle_outline
remove_circle_outline
remove_circle_outline
remove_circle_outline

Journals

Article Types

Countries / Regions

Search Results (27)

Search Parameters:
Keywords = electromagnetic coupler structure

Order results
Result details
Results per page
Select all
Export citation of selected articles as:
18 pages, 6058 KB  
Article
An Efficient Magnetic Coupler with Tight Coupling, Precise Alignment, and Low Leakage Shielding for UAV Wireless Charging
by Yanming Cheng, Shaojie Yu, Xiaodan Zhang, Ruiyang Zhang, Pengfei Liu and Shuairan Yu
Electronics 2025, 14(22), 4358; https://doi.org/10.3390/electronics14224358 - 7 Nov 2025
Viewed by 462
Abstract
In this paper, an efficient magnetic coupler featuring tight coupling and precise alignment is proposed for unmanned aerial vehicle (UAV) wireless charging systems. The design integrates ArUco markers for accurate landing guidance, a position-limiting guide groove to facilitate mechanical alignment, and a dual-coil [...] Read more.
In this paper, an efficient magnetic coupler featuring tight coupling and precise alignment is proposed for unmanned aerial vehicle (UAV) wireless charging systems. The design integrates ArUco markers for accurate landing guidance, a position-limiting guide groove to facilitate mechanical alignment, and a dual-coil tightly coupled configuration to significantly enhance charging efficiency. Specifically, the dual-coil structure is carefully optimized to maximize magnetic coupling and energy transfer performance. Additionally, an improved electromagnetic shielding structure is implemented to reduce electromagnetic leakage and further improve system efficiency. A suitable wireless charging circuit topology is then designed and thoroughly analyzed to match the proposed magnetic coupler, enabling constant-voltage charging operation. The performance of the system is validated through both finite element simulations using ANSYS Maxwell and experimental testing on a prototype setup. Results demonstrate that the integration of ArUco-based visual guidance with the mechanical alignment mechanism achieves a landing deviation of ±12.5 mm without requiring auxiliary positioning components, thereby simplifying system architecture. Under the tightly coupled configuration, the proposed system delivers 78.8 W of charging power to a UAV with a peak efficiency of 95.93%, confirming its effectiveness and high performance. Full article
(This article belongs to the Special Issue Wireless Power Transfer Systems: Design and Implementation)
Show Figures

Figure 1

19 pages, 3524 KB  
Article
Electric-Field and Magnetic-Field Decoupled Wireless Power and Full-Duplex Signal Transfer Technology for Pre-Embedded Sensors
by Xiaolong Wang, Xiaozhou Wei and Laiqiang Jia
Electronics 2025, 14(21), 4302; https://doi.org/10.3390/electronics14214302 - 31 Oct 2025
Viewed by 521
Abstract
Pre-embedded sensors for concrete structure monitoring face bottlenecks in power supply and data transmission. Existing power supply solutions such as photovoltaic systems and batteries suffer from drawbacks including energy randomness and structural damage to concrete caused by their installation methods. Additionally, commercial wireless [...] Read more.
Pre-embedded sensors for concrete structure monitoring face bottlenecks in power supply and data transmission. Existing power supply solutions such as photovoltaic systems and batteries suffer from drawbacks including energy randomness and structural damage to concrete caused by their installation methods. Additionally, commercial wireless communication signals exhibit issues like strong attenuation and poor security during propagation. This paper proposes a hybrid electromagnetic field decoupled parallel transmission technology for power and signals. It utilizes the inherent decoupling characteristic of electric and magnetic fields within the near-field range to construct independent power/signal transfer channels, and achieves independent full-duplex transmission of uplink/downlink data via orthogonal coupling plates. Mathematical models for the power and signal channels are established, and finite element simulations are conducted. A parameter design method for the power compensation network and signal filtering circuit is also proposed. An experimental setup is built, with a coupler outer dimension of 200 mm × 200 mm, a coupling distance of 10 mm, and a thickness of 16 mm for both the transmitting and receiving sides. Experimental results show that the system achieves power transmission with a power of 100 W and an efficiency of 82%, while simultaneously realizing full-duplex communication with a bidirectional rate of 9600 bit/s. Moreover, no bit errors occur within 300,000 characters of bidirectional data. Full article
Show Figures

Figure 1

15 pages, 4009 KB  
Article
Design and Theoretical Analysis of a Hexagonal-Stacked MISO Electric Resonant Coupling Wireless Power Transfer Coupler
by Hong-Guk Bae and Sang-Wook Park
Electronics 2025, 14(17), 3568; https://doi.org/10.3390/electronics14173568 - 8 Sep 2025
Cited by 1 | Viewed by 650
Abstract
This study presents the design of an optimal Electric Resonant Coupling Wireless Power Transfer (ER-WPT) coupler intended for multiple-input multiple-output (MIMO) systems. The proposed coupler features a hexagonal-stacked structure optimized for electric field coupling and consists of three transmitters and one receiver. Analysis [...] Read more.
This study presents the design of an optimal Electric Resonant Coupling Wireless Power Transfer (ER-WPT) coupler intended for multiple-input multiple-output (MIMO) systems. The proposed coupler features a hexagonal-stacked structure optimized for electric field coupling and consists of three transmitters and one receiver. Analysis of the electromagnetic characteristics in this 3-to-1 configuration can be extended to larger arrays. Theoretical analysis based on a practical equivalent circuit (PEC) model, which incorporates loss elements from measurement, is validated through comparison with 3D full-wave simulations and experimental results. Across three representative receiver positions, the summed transmission coefficient of the MISO structure reaches up to 0.90, while the PEC model agrees with measurements within a maximum deviation of 0.09, confirming high accuracy. Furthermore, the proposed structure demonstrates stable resonance characteristics near 6.78 MHz with reduced frequency shifts under different receiver positions. The key contributions of this work are the proposal of an efficient hexagonal-stacked MISO ER-WPT coupler and a validated equivalent circuit modeling approach that reflects real-world losses, providing a reliable basis for future multi-transmitter/multi-receiver Wireless Power Transfer systems. Full article
Show Figures

Figure 1

20 pages, 7127 KB  
Article
Design Method of Array-Type Coupler for UAV Wireless Power Transmission System Based on the Deep Neural Network
by Mingyang Li, Jiacheng Li, Wei Xiao, Jingyi Li and Chenyue Zhou
Drones 2025, 9(8), 532; https://doi.org/10.3390/drones9080532 - 29 Jul 2025
Cited by 1 | Viewed by 1483
Abstract
Unmanned aerial vehicles (UAVs) are commonly used in various fields and industries, but their limited battery life has become a key constraint for their development. Wireless Power Transmission (WPT) technology, with its convenience, durability, intelligence, and unmanned features, significantly enhances UAVs’ battery life [...] Read more.
Unmanned aerial vehicles (UAVs) are commonly used in various fields and industries, but their limited battery life has become a key constraint for their development. Wireless Power Transmission (WPT) technology, with its convenience, durability, intelligence, and unmanned features, significantly enhances UAVs’ battery life and operational range. However, the variety of UAV models and different sizes pose challenges for designing couplers in the WPT system. This paper presents a design method for an array-type coupler in a UAV WPT system that uses a deep neural network. By establishing an electromagnetic 3D structure of the array-type coupler using electromagnetic simulation software, the dimensions of the transmitting and receiving coils are modified to assess how changes in the aperture of the transmitting coil and the length of the receiving coil affect the mutual inductance of the coupler. Furthermore, deep learning methods are utilized to train a high-precision model using the calculated data as the training and testing sets. Finally, taking the FAIRSER-X model UAV as an example, the transmitting and receiving coils are wound, and the feasibility and accuracy of the proposed method are verified through an LCR meter, which notably enhances the design efficiency of UAV WPT systems. Full article
(This article belongs to the Section Drone Design and Development)
Show Figures

Figure 1

10 pages, 3595 KB  
Article
EM Characterization of a Compact RFQ Cold Model Prototype Employing a New Power Injection Scheme
by Marco A. López, Joaquín Portilla, Victor Etxebarria, Iñigo Arredondo and Jorge Feuchtwanger
Particles 2025, 8(3), 67; https://doi.org/10.3390/particles8030067 - 1 Jul 2025
Viewed by 843
Abstract
The experimental and computational characterization of a cold model prototype designed to test the electromagnetic properties of a new RFQ (Radio-Frequency Quadrupole) cavity is reported. This cavity is intended to be an essential part of a compact, high-gradient proton accelerator for medical purposes. [...] Read more.
The experimental and computational characterization of a cold model prototype designed to test the electromagnetic properties of a new RFQ (Radio-Frequency Quadrupole) cavity is reported. This cavity is intended to be an essential part of a compact, high-gradient proton accelerator for medical purposes. The RFQ’s design employs a novel RF power-coupler injection solution. One common way to couple the RF power in proton RFQs has been the use of loop-couplers inserted into the mid-section of the RFQ’s lobe sections. This technique has been demonstrated to be reliable and effective but introduces a significant perturbation into the lobe that can be more noticeable when dealing with compact structures. We propose a RF injection scheme that uses direct transition from a coaxial cable to the RFQ by connecting the inner coaxial conductor to the RFQ vane body. As a consequence, the lobe geometry is not perturbed, and the transversal electrical fields are directly excited through the vanes. Moreover, by using a pair of such couplers connected to opposite vanes at a given transversal plane of the RFQ, it is also possible to excite the desired quadrupolar TE210 modes while avoiding the excitation of dipolar TE110 modes. The resonances corresponding to different RFQ modes have been characterized, and the dependence of the amplitude of the modes on the relative phase of the field injected through the RF power ports has been demonstrated both by measurements and simulations. Full article
(This article belongs to the Section Experimental Physics and Instrumentation)
Show Figures

Figure 1

12 pages, 3583 KB  
Article
Smart Transfer Planer with Multiple Antenna Arrays to Enhance Low Earth Orbit Satellite Communication Ground Links
by Mon-Li Chang, Ding-Bing Lin, Hui-Tzu Rao, Hsuan-Yu Lin and Hsi-Tseng Chou
Electronics 2024, 13(17), 3581; https://doi.org/10.3390/electronics13173581 - 9 Sep 2024
Viewed by 1388
Abstract
In this study, we propose a smart transfer planer equipped with multiple antenna arrays to improve ground links for low Earth orbit (LEO) satellite communication. The STP features a symmetrical structure and is strategically placed on both ends of a window, serving both [...] Read more.
In this study, we propose a smart transfer planer equipped with multiple antenna arrays to improve ground links for low Earth orbit (LEO) satellite communication. The STP features a symmetrical structure and is strategically placed on both ends of a window, serving both indoor and outdoor environments. Using the window glass as a medium, energy transmission occurs through a coupling mechanism between the planers. The design focuses on large array antenna design, beamforming networks, and coupler design on both sides of the glass. Beamforming networks enable the indoor and outdoor antenna arrays to switch beams in various directions, optimizing high-gain antennas with narrow beamwidths. Through electromagnetic induction and filter couplers, a robust signal transmission channel is established between indoor and outdoor environments. This setup significantly enhances communication efficiency, particularly in non-line-of-sight environments. Full article
Show Figures

Figure 1

14 pages, 4139 KB  
Article
Design of Photonic Molecule-Based Multiway Beam Splitter/Coupler with Variable Division Ratio
by Yury E. Geints
Photonics 2024, 11(7), 600; https://doi.org/10.3390/photonics11070600 - 26 Jun 2024
Cited by 1 | Viewed by 3284
Abstract
An optical beam splitter is used for dividing an input optical beam into several separate beams with a specific power ratio. Usually, conventional optical beam splitters have bulky dimensions (many optical wavelengths) and a fixed dividing ratio, which significantly limit the design of [...] Read more.
An optical beam splitter is used for dividing an input optical beam into several separate beams with a specific power ratio. Usually, conventional optical beam splitters have bulky dimensions (many optical wavelengths) and a fixed dividing ratio, which significantly limit the design of new miniaturized optical devices and integrated optical circuits. We propose and investigate in detail a novel physical concept of a highly miniaturized (up to two working wavelengths) planar optical resonant splitter/coupler with a switching element comprising a photonic molecule (PM) pair dispersing input optical fluxes in multiple directions with a tailored power ratio. The structural design of the proposed splitter is based on a silicon-on-insulator (SOI) platform and composed of high-quality resonators in the form of electromagnetically coupled submicron-sized microcylinders. The control on the power division ratio and the selection of optical beam directions is realized by tuning the photonic splitter structure to the corresponding resonance of the PM supermode. Compared to known analogs, the proposed design is easy and cheap in fabrication. Because of its tiny dimensions, it is suitable for integration into a “System-on-a-chip” platform and can dynamically change the beam power division ratio by input wave-phase manipulation. Full article
(This article belongs to the Special Issue Recent Advances in Diffractive Optics)
Show Figures

Figure 1

12 pages, 2857 KB  
Article
A Compact Circular Waveguide Directional Coupler for High-Order Mode Vacuum Electronic Devices
by Tao Zhu, Wenjie Fu, Dun Lu, Yibo Pan, Chuannan Li, Lin He, Haoxuan Sun and Yang Yan
Electronics 2024, 13(3), 633; https://doi.org/10.3390/electronics13030633 - 2 Feb 2024
Cited by 2 | Viewed by 2012
Abstract
In this paper, a compact circular waveguide directional coupler for high-order mode vacuum electronic devices is presented and investigated. To reduce the size, the primary and secondary waveguides of this coupler are connected in an orthogonal way by two coupling holes. Moreover, to [...] Read more.
In this paper, a compact circular waveguide directional coupler for high-order mode vacuum electronic devices is presented and investigated. To reduce the size, the primary and secondary waveguides of this coupler are connected in an orthogonal way by two coupling holes. Moreover, to improve the directivity and operating bandwidth, a method of loading adjustable metal stubs on the isolating port is proposed and introduced in design. A Ka-band TE01-mode circular waveguide directional coupler was designed, and the structure parameters were optimized by electromagnetic simulation. To verify the design, a prototype sample was fabricated, assembled, and tested. The experimental results show good agreement with the simulations, and the directivity are improved by adjusting the metal stubs on the isolating port. In the experiment, a 26.7 dB directivity at 35 GHz was obtained, and the bandwidth of directivity above 20 dB was higher than 7 GHz, corresponding to a relative bandwidth higher than 20%. Meanwhile, the TE01° mode maintained good transmission efficiency in this compact high-order mode directional coupler. Full article
(This article belongs to the Special Issue Advanced RF, Microwave Engineering, and High-Power Microwave Sources)
Show Figures

Figure 1

13 pages, 2364 KB  
Article
Utilizing Mixed Training and Multi-Head Attention to Address Data Shift in AI-Based Electromagnetic Solvers for Nano-Structured Metamaterials
by Zhenjia Zeng, Lei Wang, Yiran Wu, Zhipeng Hu, Julian Evans, Xinhua Zhu, Gaoao Ye and Sailing He
Nanomaterials 2023, 13(20), 2778; https://doi.org/10.3390/nano13202778 - 17 Oct 2023
Cited by 6 | Viewed by 1938
Abstract
When designing nano-structured metamaterials with an iterative optimization method, a fast deep learning solver is desirable to replace a time-consuming numerical solver, and the related issue of data shift is a subtle yet easily overlooked challenge. In this work, we explore the data [...] Read more.
When designing nano-structured metamaterials with an iterative optimization method, a fast deep learning solver is desirable to replace a time-consuming numerical solver, and the related issue of data shift is a subtle yet easily overlooked challenge. In this work, we explore the data shift challenge in an AI-based electromagnetic solver and present innovative solutions. Using a one-dimensional grating coupler as a case study, we demonstrate the presence of data shift through the probability density method and principal component analysis, and show the degradation of neural network performance through experiments dealing with data affected by data shift. We propose three effective strategies to mitigate the effects of data shift: mixed training, adding multi-head attention, and a comprehensive approach that combines both. The experimental results validate the efficacy of these approaches in addressing data shift. Specifically, the combination of mixed training and multi-head attention significantly reduces the mean absolute error, by approximately 36%, when applied to data affected by data shift. Our work provides crucial insights and guidance for AI-based electromagnetic solvers in the optimal design of nano-structured metamaterials. Full article
(This article belongs to the Section Theory and Simulation of Nanostructures)
Show Figures

Figure 1

15 pages, 6070 KB  
Article
Comparison and Analysis of Electromagnetic Characteristics of Basic Structure of Wireless Power Coil for Permanent Magnet Motors in Electric Vehicles
by Junfeng Zhao, Lingyun Zhao, Yuwei Zou and Tianjin Chen
World Electr. Veh. J. 2023, 14(8), 199; https://doi.org/10.3390/wevj14080199 - 26 Jul 2023
Cited by 1 | Viewed by 2073
Abstract
The purpose of this paper is to compare and analyze the electromagnetic characteristics of the basic structure of the coil in the electromagnetic coupling mechanism for the wireless power supply of permanent magnet motors in electric vehicles. The electromagnetic coupling mechanism is one [...] Read more.
The purpose of this paper is to compare and analyze the electromagnetic characteristics of the basic structure of the coil in the electromagnetic coupling mechanism for the wireless power supply of permanent magnet motors in electric vehicles. The electromagnetic coupling mechanism is one of the key technologies for wireless power transmission and the coil structure plays a key role in the transmission performance of the coupling mechanism, and different structures can achieve different performances. The central objective of coil structure studies is to investigate how the coupling coefficient can be increased to achieve greater transmitted power and higher efficiency. In this paper, we investigate two basic coil configurations, circular and square, by studying their flux density variations when used as transmitting coils and their electromagnetic coupling characteristics when used as receiving coils. Three couplers consisting of circular and square coils are also analyzed in simulations and experiments are carried out on couplings containing circular and square coils of the same area. The results of the study show that the qualitative analysis, simulation analysis and experimental results are in high agreement. The results of this paper are an important reference for the design and optimization of wireless power coils for permanent magnet motors in electric vehicles. Full article
Show Figures

Figure 1

16 pages, 30694 KB  
Article
A Dual-Polarized Omnidirectional Rectenna Array for RF Energy Harvesting
by Yong Wang, Ningning Lu, Hucheng Sun and Rui Ren
Micromachines 2023, 14(5), 1071; https://doi.org/10.3390/mi14051071 - 18 May 2023
Cited by 11 | Viewed by 3222
Abstract
In this paper, a dual-polarized omnidirectional rectenna array using a hybrid power-combining scheme is proposed for the applications of RF energy harvesting. In the antenna design part, two omnidirectional antenna subarrays are created to receive horizontally polarized electromagnetic (EM) waves and a four-dipole [...] Read more.
In this paper, a dual-polarized omnidirectional rectenna array using a hybrid power-combining scheme is proposed for the applications of RF energy harvesting. In the antenna design part, two omnidirectional antenna subarrays are created to receive horizontally polarized electromagnetic (EM) waves and a four-dipole subarray is produced to receive vertically polarized incoming EM waves. The two antenna subarrays of different polarizations are combined and optimized, so as to reduce the mutual influence between them. In this way, a dual-polarized omnidirectional antenna array is realized. In the rectifier design part, a half-wave rectifying structure is adopted for converting the RF energy into DC energy. Based on the Wilkinson power divider and 3-dB hybrid coupler structure, a power-combining network is designed to connect the whole antenna array and rectifiers. The proposed rectenna array is fabricated and measured under different RF energy harvesting scenarios. All simulated and measured results are in good agreement, which verifies the capabilities of the designed rectenna array. Full article
(This article belongs to the Special Issue Advanced Antenna System: Structural Analysis, Design and Application)
Show Figures

Figure 1

19 pages, 7629 KB  
Article
An Adaptive Control Strategy for Underwater Wireless Charging System Output Power with an Arc-Shaped Magnetic Core Structure
by Tao Xia, Xiaoliang Zhang, Zhiying Zhu, Haitao Yu and Hang Li
J. Mar. Sci. Eng. 2023, 11(2), 294; https://doi.org/10.3390/jmse11020294 - 31 Jan 2023
Cited by 9 | Viewed by 3201
Abstract
Aiming at the problem of unstable output power of wireless charging systems for autonomous underwater vehicles (AUVs), a magnetic coupler (MC) with an arc-shaped core structure is introduced and an output power stabilization control strategy based on mutual inductance identification algorithm is proposed. [...] Read more.
Aiming at the problem of unstable output power of wireless charging systems for autonomous underwater vehicles (AUVs), a magnetic coupler (MC) with an arc-shaped core structure is introduced and an output power stabilization control strategy based on mutual inductance identification algorithm is proposed. Firstly, an arc-shaped MC with high tolerances, excellent magnetic coupling and weak electromagnetic interference (EMI) is designed for the cylinder-shaped AUV. Based on ANSYS Maxwell simulation, an analysis of the magnetic field and comparative misalignment tests are carried out for the arc-shaped and the double dipole core structures. Secondly, a mathematical model of the LCC-S type magnetically coupled resonant wireless power transfer (MCR-WPT) system is developed, and a particle swarm parameter identification algorithm with adaptive inertia weights is proposed. Finally, the output power is steadily controlled by real-time adaptation of the duty cycle for the Buck-Boost circuit. The results show there is a maximum error within 2.5% in mutual inductance identification when the load is changed from 0 Ω to 12 Ω and the mutual inductance is changed from 25 μH to 50 μH. The system output power is steady at around 680 W with a maximum fluctuation rate of 4.90%, which verifies the efficiency of the power stabilization control strategy. Full article
(This article belongs to the Section Ocean Engineering)
Show Figures

Figure 1

25 pages, 3321 KB  
Review
Review of Crucial Problems of Underwater Wireless Power Transmission
by Le Yu, Han Sun, Shangwei Su, Huixuan Tang, Hao Sun and Xiaoyu Zhang
Electronics 2023, 12(1), 163; https://doi.org/10.3390/electronics12010163 - 29 Dec 2022
Cited by 15 | Viewed by 6034
Abstract
In order to solve the problem of energy supply for underwater equipment, wireless power transmission technology is becoming a new way of underwater power transmission. It has incomparable technical advantages over traditional power supply method, and can effectively improve the safety, reliability, convenience [...] Read more.
In order to solve the problem of energy supply for underwater equipment, wireless power transmission technology is becoming a new way of underwater power transmission. It has incomparable technical advantages over traditional power supply method, and can effectively improve the safety, reliability, convenience and concealment of power supply for underwater equipment. The WPT has a natural electrical isolation between the primary and secondary sides to ensure safe charging in an underwater environment. This breakthrough technology greatly facilitates power transmission in the deep sea. However, current transmission power and efficiency levels are not at the level of WPT systems in air. Based on the analysis of the development status of underwater wireless power transmission technology, this paper firstly puts forward the challenges of underwater wireless power transmission, and summarizes the electromagnetic coupler structure, underwater docking mode, compensation topology, control method and eddy current loss. The current research hotspots in the field of underwater wireless power transmission are summarized and analyzed. Finally, according to the development trend of technology, the urgent technical problems in underwater wireless power transmission are expounded. Full article
(This article belongs to the Special Issue Energy Storage, Analysis and Battery Usage)
Show Figures

Figure 1

14 pages, 3046 KB  
Article
Reduced-Cost Optimization-Based Miniaturization of Microwave Passives by Multi-Resolution EM Simulations for Internet of Things and Space-Limited Applications
by Anna Pietrenko-Dabrowska, Slawomir Koziel and Ali Ghaffarlouy Raef
Electronics 2022, 11(24), 4094; https://doi.org/10.3390/electronics11244094 - 8 Dec 2022
Cited by 5 | Viewed by 2104
Abstract
Stringent performance specifications along with constraints imposed on physical dimensions make the design of contemporary microwave components a truly onerous task. In recent years, the latter demand has been growing in importance with the innovative application of areas such as the Internet of [...] Read more.
Stringent performance specifications along with constraints imposed on physical dimensions make the design of contemporary microwave components a truly onerous task. In recent years, the latter demand has been growing in importance with the innovative application of areas such as the Internet of Things coming into play. The need to employ full-wave electromagnetic (EM) simulations for response evaluation, reliable, yet CPU-heavy, only aggravates the issue. This paper proposes a reduced-cost miniaturization algorithm that employs a trust-region search procedure and multi-resolution EM simulations. In our approach, the resolution of the EM model is adjusted throughout the optimization process based on its convergence status starting from the lowest admissible fidelity. As the algorithm converges, the resolution is increased up to the high-fidelity one, used at the final phase to ensure reliability. Four microwave components have been utilized as verification structures: an impedance matching transformer and three branch-line couplers. Significant savings in terms of the number of EM analyses required to conclude the size reduction process of 41, 42, 38 and 50 percent have been obtained (in comparison to a single-fidelity procedure). The footprint area of the designs optimized using the proposed approach are equal to 32, 205, 410 and 132 mm2, in comparison to 52, 275, 525 and 213 mm2 of the initial (and already compact) design. Full article
(This article belongs to the Special Issue Advanced RF, Microwave Engineering, and High-Power Microwave Sources)
Show Figures

Figure 1

18 pages, 8015 KB  
Article
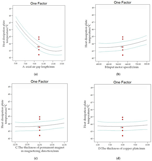
Multi-Parameter Optimization of Heat Dissipation Structure of Double Disk Magnetic Coupler Based on Orthogonal Experimental Design
by Shuang Wang, Xin Ma, Zeyong Hu and Shousuo Sun
Energies 2022, 15(23), 8801; https://doi.org/10.3390/en15238801 - 22 Nov 2022
Cited by 10 | Viewed by 1979
Abstract
The existing heat dissipation research on double disk magnetic couplers ignores the coupling influence of electromagnetic temperature–stress and other multiphysics fields, and the error between the calculation and analysis results and the measured values is large. Therefore, a multi-parameter optimization method for heat [...] Read more.
The existing heat dissipation research on double disk magnetic couplers ignores the coupling influence of electromagnetic temperature–stress and other multiphysics fields, and the error between the calculation and analysis results and the measured values is large. Therefore, a multi-parameter optimization method for heat dissipation structures of double disk magnetic couplers based on orthogonal experimental design is proposed. Based on the double disk magnetic coupler model, a three-dimensional finite element model based on fluid–solid–heat coupling is established, with the axial air gap length, input motor speed, the thickness of the permanent magnet in the magnetizing direction, the thickness of the copper plate, the number of fins of the heat dissipation plate and the length of the fins of the heat dissipation plate as design variables. Six-factor and three-level simulation experiments are designed with the minimum temperature of the heat dissipation plate as the objective function, and additionally, orthogonal experiments were designed according to the actual working conditions by selecting the optimal combination of parameters and modifying the model to perform physical tests. The results show that the variables that have the most significant impact on heat dissipation performance from high to low are as follows: axial air gap length, input motor speed, the length of the fins of the heat dissipation plate, the thickness of the permanent magnet in the magnetizing direction, the number of fins of the heat dissipation plate and the thickness of the copper plate. The increase in axial air gap length can effectively reduce the temperature rise, and the maximum decrease can reach 9.76%. Under the same conditions, the input motor speeds are set to 300 r/min, 400 r/min, 500 r/min, 600 r/min and 700 r/min, respectively, and the simulation results are in good agreement with the physical test results, with a maximum error of 4.8%. The error between the simulation result and the physical test result is only 1.9% under the optimal combination of parameters obtained by the orthogonal experiment, which verifies the correctness of the optimization model. In conclusion, the study is of reference significance for the parameter optimization of the heat dissipation structure of the double disk magnetic coupler. Full article
(This article belongs to the Section J1: Heat and Mass Transfer)
Show Figures

Figure 1

Back to TopTop