Sign in to use this feature.

Years

Between: -

Subjects

remove_circle_outline
remove_circle_outline
remove_circle_outline
remove_circle_outline
remove_circle_outline
remove_circle_outline
remove_circle_outline
remove_circle_outline
remove_circle_outline

Journals

Article Types

Countries / Regions

remove_circle_outline
remove_circle_outline
remove_circle_outline
remove_circle_outline
remove_circle_outline

Search Results (352)

Search Parameters:
Keywords = dynamic downscaling

Order results
Result details
Results per page
Select all
Export citation of selected articles as:
28 pages, 4573 KB  
Article
Feasibility of Wave Energy Converters in the Azores Under Climate Change Scenarios
by Marta Gonçalves, Mariana Bernardino and Carlos Guedes Soares
J. Mar. Sci. Eng. 2026, 14(8), 760; https://doi.org/10.3390/jmse14080760 - 21 Apr 2026
Viewed by 142
Abstract
The wave energy resource along the Azores coast is evaluated for the present (1990–2019) and future (2030–2059) periods using the third-generation wave model WAVEWATCH III, forced by winds and sea-ice cover from the RCP8.5 EC-Earth integration dynamically downscaled with the Weather Research and [...] Read more.
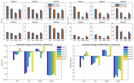
The wave energy resource along the Azores coast is evaluated for the present (1990–2019) and future (2030–2059) periods using the third-generation wave model WAVEWATCH III, forced by winds and sea-ice cover from the RCP8.5 EC-Earth integration dynamically downscaled with the Weather Research and Forecasting model. The results indicate that the region is characterized by a high-energy wave climate, with mean wave power values typically ranging between 30 and 40 kW/m. A statistical comparison between the two periods shows a moderate reduction in wave energy potential under future conditions, with strong spatial variability. The performance of four wave energy converters (AquaBuoy, Wavestar, Oceantec, and Atargis) is analyzed, revealing significant differences in energy production and capacity factor depending on device–site matching. A techno-economic evaluation is performed by estimating the LCOE, accounting for capital expenditure, operational costs, device lifetime, and annual energy production (AEP). The results demonstrate that economic performance is primarily driven by energy production rather than capital cost alone, and that wave energy exploitation in the Azores remains viable under near-future climate conditions. Full article
(This article belongs to the Section Marine Energy)
Show Figures

Figure 1

20 pages, 4080 KB  
Article
Implications of CMIP6 GCM-Based Climate Variability for Photovoltaic Potential over Four Selected Urban Areas in Central and Southeast Europe During Summer (1971–2020)
by Erzsébet Kristóf and Tímea Kalmár
Urban Sci. 2026, 10(4), 204; https://doi.org/10.3390/urbansci10040204 - 5 Apr 2026
Viewed by 379
Abstract
In the last two decades, the utilization of solar energy has been growing rapidly worldwide, mainly due to the increasing adoption of photovoltaic (PV) systems. Since solar energy is one of the most weather-dependent renewable energy sources, an increasing number of meteorological studies [...] Read more.
In the last two decades, the utilization of solar energy has been growing rapidly worldwide, mainly due to the increasing adoption of photovoltaic (PV) systems. Since solar energy is one of the most weather-dependent renewable energy sources, an increasing number of meteorological studies have focused on PV potential (PVpot) and its projected changes under global warming. GCM outputs disseminated through the Coupled Model Intercomparison Project (CMIP) are often applied in energy-related urban climate studies, as they can be downscaled either statistically or dynamically. It is essential to evaluate raw (not bias-corrected) GCM data, which helps to determine the uncertainties in the GCM simulations before downscaling. Despite their coarse resolution, some studies even rely directly on the GCM grid cell time series to represent individual locations. Accordingly, this study evaluates 10 CMIP Phase 6 (CMIP6) GCMs with respect to some atmospheric variables (air temperature, solar radiation, and wind speed, which are the primary drivers of PVpot) in four lowland grid cells representing four major urban areas in Central and Southeast Europe: Belgrade (Serbia), Budapest (Hungary), Vienna (Austria), and Prague (Czechia). The use of solar energy has increased significantly in most of these regions in recent years; however, it remains less studied than in Western Europe. ERA5 reanalysis is used as the reference dataset. We analyzed the boreal summer (JJA) days of three overlapping 30-year time periods: 1971–2000, 1981–2010, and 1991–2020. Our main findings are as follows: GCMs tend to overestimate solar radiation and underestimate maximum near-surface air temperature relative to ERA5 in all time periods and in all the four urban areas, which leads to a significant overestimation of the number of JJA days with high PVpot (PVpot,90). PVpot,90 is increasing from 1971–2000 to 1991–2020 in the vast majority of GCMs, in all the four regions. EC-Earth3 and its different configurations (EC-Earth3-Veg, EC-Earth3-CC) are considered the most accurate GCMs relative to ERA5. Full article
Show Figures

Figure 1

22 pages, 22077 KB  
Article
Groundwater Storage Variations in the Huadian Photovoltaic Base of the Tengger Desert Based on Machine Learning–Downscaled GRACE Data
by Rongbo Chen, Xiujing Huang, Chiu Chuen Onn, Fuqiang Jian, Yuting Hou and Chengpeng Lu
Water 2026, 18(7), 781; https://doi.org/10.3390/w18070781 - 26 Mar 2026
Viewed by 454
Abstract
Large-scale photovoltaic (PV) deployment in arid deserts may alter land–atmosphere interactions and influence groundwater systems, yet such impacts remain poorly quantified due to limited high-resolution observations. To overcome the coarse spatial resolution of GRACE data, this study develops a CNN-LSTM-Attention deep learning framework [...] Read more.
Large-scale photovoltaic (PV) deployment in arid deserts may alter land–atmosphere interactions and influence groundwater systems, yet such impacts remain poorly quantified due to limited high-resolution observations. To overcome the coarse spatial resolution of GRACE data, this study develops a CNN-LSTM-Attention deep learning framework to downscale terrestrial water storage anomalies (TWSA) from 0.25° × 0.25° to 0.1° × 0.1° over the Huadian PV base in the Tengger Desert, China, during 2004–2024. Groundwater storage anomalies (GWSA) were derived using a water-balance approach, and piecewise linear regression was applied to detect trend shifts associated with PV development. Results show a persistent decline in TWSA and GWSA before 2022, followed by short-term recovery signals afterward. Groundwater responses exhibit greater magnitude and delayed behavior relative to soil moisture. Spatial analysis reveals stronger variability and more frequent deficits in the western subregion, indicating intra-base heterogeneity. A seasonal phase analysis identifies an approximately six-month lag between soil moisture and groundwater, highlighting constraints from deep vadose-zone processes. The findings suggest that groundwater dynamics reflect the combined effects of climate variability, infiltration lag, and PV-related land surface modification rather than a single driver. This study demonstrates the potential of deep-learning-based GRACE downscaling for groundwater monitoring in human-modified arid regions and provides insights for sustainable water management under renewable energy development. Full article
Show Figures

Figure 1

30 pages, 19231 KB  
Article
Variational Autoencoder to Obtain High Resolution Wind Fields from Reanalysis Data
by Bernhard Rösch, Konstantin Zacharias, Luca Fabian Schlaug, Daniel Westerfeld, Stefan Geißelsöder and Alexander Buchele
Wind 2026, 6(1), 13; https://doi.org/10.3390/wind6010013 - 18 Mar 2026
Viewed by 798
Abstract
Accurate wind flow prediction is essential for various applications, including the placement of wind turbines and a multitude of environmental assessments. Traditionally this can be achieved by using time-consuming computational fluid dynamics (CFD) simulations on reanalysis data. This study explores the performance of [...] Read more.
Accurate wind flow prediction is essential for various applications, including the placement of wind turbines and a multitude of environmental assessments. Traditionally this can be achieved by using time-consuming computational fluid dynamics (CFD) simulations on reanalysis data. This study explores the performance of an autoencoder (AE) and a variational autoencoder (VAE) in approximating downscaled wind speed and direction using real-world reanalysis data and reference geo- and vegetation data. The AE model was trained for 2000 epochs and demonstrates the ability to replicate wind patterns with a mean absolute error (MAE) of approximately −0.9. However, the AE model exhibited a consistent underestimation of wind speeds and a directional shift of approximately 10 degrees compared to CFD reference simulations. The VAE model produced visually improved results, capturing complex wind flow structures more accurately than the AE model. It mainly achieves better local accuracy and a reduced variance of the results. The overall result suggests that while autoencoders can approximate wind flow patterns, challenges remain in capturing the full variability of wind speeds and directions with sufficient precision. The study highlights the importance of balancing reconstruction accuracy and latent space regularization in VAE models. Future work should focus on optimizing model architecture and training strategies to enhance accuracy, prediction reliability and generalizability across diverse wind conditions and various locations. Full article
Show Figures

Figure 1

21 pages, 6472 KB  
Article
Wave Climate Dynamics of a Morphologically Complex Coast: A Hybrid Downscaling Study of Manzanillo, Mexico
by Héctor García-Nava, Julieta Hernández-López, Manuel Gerardo Verduzco-Zapata, Marco Agustín Liñán-Cabello and Rodolfo Silva-Casarín
J. Mar. Sci. Eng. 2026, 14(6), 544; https://doi.org/10.3390/jmse14060544 - 14 Mar 2026
Viewed by 355
Abstract
A comprehensive characterization of the wave climate on the coast at Manzanillo, Colima, Mexico, based on an 11-year hindcast (2008–2018), was performed using a hybrid approach that integrates hydrodynamic numerical models with machine learning techniques. Wave conditions were analyzed at 23 nearshore sites, [...] Read more.
A comprehensive characterization of the wave climate on the coast at Manzanillo, Colima, Mexico, based on an 11-year hindcast (2008–2018), was performed using a hybrid approach that integrates hydrodynamic numerical models with machine learning techniques. Wave conditions were analyzed at 23 nearshore sites, including headlands, outer beaches, and sheltered beaches. The effects of the complex coastal morphology on wave propagation were evident, especially regarding storm waves. Two distinct wave climates were seen: a low-energy regime in the dry season (November–April) and a more energetic regime in the rainy season (May–October). Spatial variability was greatly modulated by headlands, bays, and port infrastructure, leading to sharp local contrasts in wave height, slope, and wave power. For instance, mean wave power ranged from 9.34 kW/m at exposed sites such as El Faro de Campos to only 0.36 kW/m near sheltered areas, such as San Pedrito beach. From these findings, it is clear that a regional scale description of the wave climate is insufficient when assessing coastal vulnerability in this morphologically complex area. The new dataset is a valuable baseline for use in coastal management, port planning, and risk assessments for Manzanillo, which is one of Mexico’s most important ports. Full article
(This article belongs to the Section Physical Oceanography)
Show Figures

Figure 1

22 pages, 12145 KB  
Article
Declining Ecological Water Consumption of Marsh Wetlands and the Driving Forces in Semi-Arid Plateau Region: A Case Study in the Bashang Plateau, China
by Chonglin Li, Peiyu Sun, Wei Sun, Wanbing Sun, Dapeng Li, Chengli Liu, Jianming Hong, Xuedong Wang and Yinghai Ke
Land 2026, 15(3), 450; https://doi.org/10.3390/land15030450 - 12 Mar 2026
Viewed by 347
Abstract
Wetlands in semi-arid regions are critical for ecological resilience but are increasingly degraded. Ecological water consumption (EWC), reflecting wetland water demand, is essential for understanding wetland sustainability. This study investigated the spatiotemporal dynamics of marsh wetland EWC in the Bashang Plateau, China, from [...] Read more.
Wetlands in semi-arid regions are critical for ecological resilience but are increasingly degraded. Ecological water consumption (EWC), reflecting wetland water demand, is essential for understanding wetland sustainability. This study investigated the spatiotemporal dynamics of marsh wetland EWC in the Bashang Plateau, China, from 1986 to 2021, and identified its main driving forces. A Random Forest model was used to downscale GLASS evapotranspiration (ET) product from 0.05° to a 250 m monthly resolution, showing good agreement with flux measurements (RMSE = 21.94 mm, R2 = 0.83). Marsh wetland EWC was estimated using the downscaled ET and land cover data, and Granger causality analysis was applied to explore driving mechanisms. Results indicate that the marsh wetland area declined by 74% (from 552.81 to 143.69 km2) while forestland expanded by 217%. Correspondingly, marsh wetland EWC decreased by 67.2%, from 125 to 41 million m3. Precipitation and surface water area were identified as direct drivers of marsh wetland EWC decline, whereas groundwater table, forest EWC, and cropland EWC acted as indirect drivers. While cropland water use has been widely reported as an important factor, results suggest that increased forest EWC associated with large-scale afforestation contributed considerably to groundwater table decline, thereby influencing marsh wetland EWC. Full article
(This article belongs to the Section Land Use, Impact Assessment and Sustainability)
Show Figures

Figure 1

25 pages, 5064 KB  
Article
Spatiotemporal Drought Assessment Projections for Climate-Resilient Planning in Distinct Mediterranean Agroecosystems
by Stavros Sakellariou, Nicolas Dalezios, Marios Spiliotopoulos, Nikolaos Alpanakis, Stergios Kartsios, Ioannis Faraslis, Georgios A. Tziatzios, Pantelis Sidiropoulos, Nicholas Dercas, Apostolos Tsiovoulos, Konstantina Giannousa, Alfonso Domínguez, José Antonio Martínez-López, Ramón López-Urrea, Fadi Karam, Hacib Amami and Radhouan Nsiri
Hydrology 2026, 13(2), 73; https://doi.org/10.3390/hydrology13020073 - 15 Feb 2026
Viewed by 722
Abstract
Drought is expected to intensify under climate change, posing significant risks to Mediterranean agroecosystems. This study provides long-term projections of drought and wetness conditions for three representative Mediterranean regions—Eastern Mancha (Spain), Sidi Bouzid Governorate (Tunisia), and the Beqaa Valley (Lebanon)—to support climate-resilient planning. [...] Read more.
Drought is expected to intensify under climate change, posing significant risks to Mediterranean agroecosystems. This study provides long-term projections of drought and wetness conditions for three representative Mediterranean regions—Eastern Mancha (Spain), Sidi Bouzid Governorate (Tunisia), and the Beqaa Valley (Lebanon)—to support climate-resilient planning. Future monthly precipitation (2020–2050) was dynamically downscaled using the Weather Research and Forecasting (WRF) model under the RCP4.5 scenario, and the Standardized Precipitation Index (SPI12) was subsequently applied to quantify drought severity at annual and monthly scales. By integrating dynamically downscaled WRF projections with pixel-based SPI analysis across three spatially distinct Mediterranean regions, the study provides a novel, spatially explicit and comparative framework for assessing future drought and wetness extremes in support of climate-resilient planning. The results reveal spatial variability and moderate temporal fluctuations across the three regions, reflected in differing timings and intensities of their driest and wettest hydrological years. Spain is projected to experience its driest hydrological year in 2046–2047, Tunisia in 2030–2031, and Lebanon in 2047–2048. The wettest years are projected to occur in 2045–2046 for Spain and Tunisia, and in 2028–2029 for Lebanon. Although extreme drought events are not widely anticipated, localised severe dry periods emerge in many parts of the study areas. while in Lebanon, these conditions also extend into the winter and spring. These findings underscore the need for spatially targeted adaptation rather than uniform regional measures. Identifying both driest and wettest projected years enhances preparedness, informs water-resource optimisation, and supports agricultural land-use planning, especially in areas with favourable future climatic conditions. Integrating drought projections into multi-hazard planning (i.e., drought and floods) frameworks can further strengthen territorial resilience in regions facing increasing climate-related extremes. Full article
(This article belongs to the Section Hydrology–Climate Interactions)
Show Figures

Figure 1

36 pages, 31133 KB  
Article
SOBLE-Top5: A Stacking Ensemble Learning-Based Seasonal Downscaling Inversion Framework for Surface Soil Moisture Using Multi-Source Data
by Shengmin Zhu, Haiyang Yu, Bingqian Ji, Qi Liu and Deng Pan
Remote Sens. 2026, 18(4), 585; https://doi.org/10.3390/rs18040585 - 13 Feb 2026
Viewed by 419
Abstract
Surface soil moisture (SSM) serves as a critical indicator for regional water cycles, agricultural management, and drought monitoring. However, existing the SMAP data suffers from limited spatial resolution, making it challenging to meet the demands of large-scale, high-resolution applications. Taking Henan Province, located [...] Read more.
Surface soil moisture (SSM) serves as a critical indicator for regional water cycles, agricultural management, and drought monitoring. However, existing the SMAP data suffers from limited spatial resolution, making it challenging to meet the demands of large-scale, high-resolution applications. Taking Henan Province, located in east-central China with a continental monsoon climate and marked seasonal variability, as the study area, this research integrates multi-source data to develop a seasonal modeling strategy. Based on stacking ensemble learning, the SSM downscaling inversion model (SOBLE-Top5) is constructed. SHAP value attribution analysis is employed to reveal the primary drivers of seasonal dynamics. The results indicate: (1) The SSM exhibits distinct seasonal characteristics. Compared to the all-season modeling, the RMSE and R2 metrics significantly improve during spring and summer. The winter ET and RF models show an approximately 9–14% higher R2 and a 47–50% lower RMSE. (2) The SOBLE-Top5 strategy achieved up to a 4.65% higher R2 and a 21.22% lower RMSE compared to the optimal single base model. (3) Spatial variations in the SSM characteristics reveal stable performance during the winter. The spring saw slight SSM declines in the northern regions due to rising temperatures. The study area reached its annual low (<0.08 m3/m3) in May–June. Driven by flood season precipitation, July–August witnessed local increases exceeding 52%. The autumn exhibited a stable-then-rising trend with pronounced north–south gradient characteristics. (4) The SHAP analysis indicates that the winter SSM is primarily controlled by bulk density and clay content. The spring SSM is most influenced by LST, followed by bulk density. The summer and the autumn SSM are synergistically driven by multiple factors including elevation, temperature, and precipitation, with the summer precipitation exerting the most significant impact on instantaneous SSM variations. Full article
(This article belongs to the Section Remote Sensing in Agriculture and Vegetation)
Show Figures

Figure 1

40 pages, 2475 KB  
Review
Research Progress of Deep Learning in Sea Ice Prediction
by Junlin Ran, Weimin Zhang and Yi Yu
Remote Sens. 2026, 18(3), 419; https://doi.org/10.3390/rs18030419 - 28 Jan 2026
Viewed by 1076
Abstract
Polar sea ice is undergoing rapid change, with recent record-low extents in both hemispheres, raising the demand for skillful predictions from days to seasons for navigation, ecosystem management, and climate risk assessment. Accurate sea ice prediction is essential for understanding coupled climate processes, [...] Read more.
Polar sea ice is undergoing rapid change, with recent record-low extents in both hemispheres, raising the demand for skillful predictions from days to seasons for navigation, ecosystem management, and climate risk assessment. Accurate sea ice prediction is essential for understanding coupled climate processes, supporting safe polar operations, and informing adaptation strategies. Physics-based numerical models remain the backbone of operational forecasting, but their skill is limited by uncertainties in coupled ocean–ice–atmosphere processes, parameterizations, and sparse observations, especially in the marginal ice zone and during melt seasons. Statistical and empirical models can provide useful baselines for low-dimensional indices or short lead times, yet they often struggle to represent high-dimensional, nonlinear interactions and regime shifts. This review synthesizes recent progress of DL for key sea ice prediction targets, including sea ice concentration/extent, thickness, and motion, and organizes methods into (i) sequential architectures (e.g., LSTM/GRU and temporal Transformers) for temporal dependencies, (ii) image-to-image and vision models (e.g., CNN/U-Net, vision Transformers, and diffusion or GAN-based generators) for spatial structures and downscaling, and (iii) spatiotemporal fusion frameworks that jointly model space–time dynamics. We further summarize hybrid strategies that integrate DL with numerical models through post-processing, emulation, and data assimilation, as well as physics-informed learning that embeds conservation laws or dynamical constraints. Despite rapid advances, challenges remain in generalization under non-stationary climate conditions, dataset shift, and physical consistency (e.g., mass/energy conservation), interpretability, and fair evaluation across regions and lead times. We conclude with practical recommendations for future research, including standardized benchmarks, uncertainty-aware probabilistic forecasting, physics-guided training and neural operators for long-range dynamics, and foundation models that leverage self-supervised pretraining on large-scale Earth observation archives. Full article
Show Figures

Graphical abstract

26 pages, 8387 KB  
Article
Machine Learning as a Lens on NWP ICON Configurations Validation over Southern Italy in Winter 2022–2023—Part I: Empirical Orthogonal Functions
by Davide Cinquegrana and Edoardo Bucchignani
Atmosphere 2026, 17(2), 132; https://doi.org/10.3390/atmos17020132 - 26 Jan 2026
Viewed by 385
Abstract
Validation of ICON model configurations optimized over a limited domain is essential before accepting new semi-empirical parameters that influence the behavior of subgrid-scale schemes. Because such parameters can modify the dynamics of a numerical weather prediction (NWP) model in highly nonlinear ways, we [...] Read more.
Validation of ICON model configurations optimized over a limited domain is essential before accepting new semi-empirical parameters that influence the behavior of subgrid-scale schemes. Because such parameters can modify the dynamics of a numerical weather prediction (NWP) model in highly nonlinear ways, we analyze one season of forecasts (December 2022, January and February 2023) generated with the NWP ICON-LAM through the lens of machine learning–based diagnostics as a complement to traditional evaluation metrics. The goal is to extract physically interpretable information on the model behavior induced by the optimized parameters. This work represents the first part of a wider study exploring machine learning tools for model validation, focusing on two specific approaches: Empirical Orthogonal Functions (EOFs), which are widely used in meteorology and climate science, and autoencoders, which are increasingly adopted for their nonlinear feature extraction capability. In this first part, EOF analysis is used as the primary tool to decompose weather fields from observed reanalysis and forecast datasets. Hourly 2-m temperature forecasts for winter 2022–2023 from multiple regional ICON configurations are compared against downscaled ERA5 data and in situ observations from ground station. EOF analyses revealed that the optimized configurations demonstrate a high skill in predicting surface temperature. From the signal error decomposition, the fourth EOF mode is effective particularly during night-time hours, and contributes to enhancing the performance of ICON. Analyses based on autoencoders will be presented in a companion paper (Part II). Full article
(This article belongs to the Special Issue Highly Resolved Numerical Models in Regional Weather Forecasting)
Show Figures

Figure 1

27 pages, 5010 KB  
Article
Towards a Process-Informed Framework for Assessing the Credibility of Statistical and Dynamical Downscaling Methods
by Melissa S. Bukovsky, Seth McGinnis, Rachel R. McCrary and Linda O. Mearns
Climate 2026, 14(2), 31; https://doi.org/10.3390/cli14020031 - 23 Jan 2026
Viewed by 666
Abstract
This study presents a process-informed framework for assessing the differential credibility of diverse downscaling methodologies, including both statistical (simple and complex) and dynamical approaches. The methods evaluated include a convolutional neural network (CNN), the Locally Constructed Analog Method (LOCA), the Statistical DownScaling Model [...] Read more.
This study presents a process-informed framework for assessing the differential credibility of diverse downscaling methodologies, including both statistical (simple and complex) and dynamical approaches. The methods evaluated include a convolutional neural network (CNN), the Locally Constructed Analog Method (LOCA), the Statistical DownScaling Model (SDSM), quantile delta mapping (QDM), simple interpolation with bias correction, and two regional climate models. As proof of concept, we apply the framework to evaluate the physical consistency of processes associated with wet-day occurrence at a site in the southern USA Great Plains. Additionally, we introduce a relative credibility metric that quantifies cross-method performance and outlines how this framework can be extended to other variables, regions, and downscaling applications. Results show that all downscaling methods perform credibly when the parent global climate model (GCM) performs credibly. However, complex statistical methods (CNN, LOCA, SDSM) tend to exacerbate GCM errors, while simpler methods (QDM, interpolation + bias correction) generally preserve GCM credibility. Dynamical downscaling, by contrast, can mitigate inherited biases and improve overall process-level credibility. These findings underscore the importance of process-based evaluation in downscaling assessments and reveal how downscaling model complexity interacts with GCM quality. Full article
(This article belongs to the Section Climate Dynamics and Modelling)
Show Figures

Figure 1

18 pages, 5694 KB  
Article
All-Weather Flood Mapping Using a Synergistic Multi-Sensor Downscaling Framework: Case Study for Brisbane, Australia
by Chloe Campo, Paolo Tamagnone, Suelynn Choy, Trinh Duc Tran, Guy J.-P. Schumann and Yuriy Kuleshov
Remote Sens. 2026, 18(2), 303; https://doi.org/10.3390/rs18020303 - 16 Jan 2026
Viewed by 494
Abstract
Despite a growing number of Earth Observation satellites, a critical observational gap persists for timely, high-resolution flood mapping, primarily due to infrequent satellite revisits and persistent cloud cover. To address this issue, we propose a novel framework that synergistically fuses complementary data from [...] Read more.
Despite a growing number of Earth Observation satellites, a critical observational gap persists for timely, high-resolution flood mapping, primarily due to infrequent satellite revisits and persistent cloud cover. To address this issue, we propose a novel framework that synergistically fuses complementary data from three public sensor types. Our methodology harmonizes these disparate data sources by using surface water fraction as a common variable and downscaling them with flood susceptibility and topography information. This allows for the integration of sub-daily observations from the Visible Infrared Imaging Radiometer Suite and the Advanced Himawari Imager with the cloud-penetrating capabilities of the Advanced Microwave Scanning Radiometer 2. We evaluated this approach on the February 2022 flood in Brisbane, Australia using an independent ground truth dataset. The framework successfully compensates for the limitations of individual sensors, enabling the consistent generation of detailed, high-resolution flood maps. The proposed method outperformed the flood extent derived from commercial high-resolution optical imagery, scoring 77% higher than the Copernicus Emergency Management Service (CEMS) map in the Critical Success Index. Furthermore, the True Positive Rate was twice as high as the CEMS map, confirming that the proposed method successfully overcame the cloud cover issue. This approach provides valuable, actionable insights into inundation dynamics, particularly when other public data sources are unavailable. Full article
Show Figures

Figure 1

31 pages, 15738 KB  
Article
HiT_DS: A Modular and Physics-Informed Hierarchical Transformer Framework for Spatial Downscaling of Sea Surface Temperature and Height
by Min Wang, Weixuan Liu, Rong Chu, Xidong Wang, Shouxian Zhu and Guanghong Liao
Remote Sens. 2026, 18(2), 292; https://doi.org/10.3390/rs18020292 - 15 Jan 2026
Viewed by 374
Abstract
Recent advances in satellite observations have expanded the use of Sea Surface Temperature (SST) and Sea Surface Height (SSH) data in climate and oceanography, yet their low spatial resolution limits fine-scale analyses. We propose HiT_DS, a modular hierarchical Transformer framework for high-resolution downscaling [...] Read more.
Recent advances in satellite observations have expanded the use of Sea Surface Temperature (SST) and Sea Surface Height (SSH) data in climate and oceanography, yet their low spatial resolution limits fine-scale analyses. We propose HiT_DS, a modular hierarchical Transformer framework for high-resolution downscaling of SST and SSH fields. To address challenges in multiscale feature representation and physical consistency, HiT_DS integrates three key modules: (1) Enhanced Dual Feature Extraction (E-DFE), which employs depth-wise separable convolutions to improve local feature modeling efficiently; (2) Gradient-Aware Attention (GA), which emphasizes dynamically important high-gradient structures such as oceanic fronts; and (3) Physics-Informed Loss Functions, which promote physical realism and dynamical consistency in the reconstructed fields. Experiments across two dynamically distinct oceanic regions demonstrate that HiT_DS achieves improved reconstruction accuracy and enhanced physical fidelity, with selective module combinations tailored to regional dynamical conditions. This framework provides an effective and extensible approach for oceanographic data downscaling. Full article
Show Figures

Figure 1

30 pages, 22514 KB  
Article
Spatiotemporal Heterogeneity Analysis of Net Primary Productivity in Nanjing’s Urban Green Spaces Based on the DLCC–NPP Model: A Long-Term and Multi-Scenario Approach
by Yuhao Fang, Yuyang Liu, Yuan Wang, Yilun Cao and Yuning Cheng
ISPRS Int. J. Geo-Inf. 2026, 15(1), 38; https://doi.org/10.3390/ijgi15010038 - 12 Jan 2026
Viewed by 609
Abstract
In the context of the “Dual Carbon” goals, accurately predicting the spatiotemporal evolution of urban Net Primary Productivity (NPP) is crucial for resilient urban planning. While recent studies have coupled land use models with ecosystem models to project NPP dynamics, they often face [...] Read more.
In the context of the “Dual Carbon” goals, accurately predicting the spatiotemporal evolution of urban Net Primary Productivity (NPP) is crucial for resilient urban planning. While recent studies have coupled land use models with ecosystem models to project NPP dynamics, they often face challenges in acquiring high-resolution future vegetation parameters and typically overlook the stability of NPP under changing climates. To address these gaps, this study focuses on Nanjing and develops a long-term, multi-scenario analysis framework based on the Dynamic Land Cover–Climate Model (DLCC–NPP). This framework innovatively integrates the PLUS model with a Random Forest (RF) algorithm. By establishing a direct statistical mapping between macro-climate/micro-land cover and NPP, the RF model functions as a statistical downscaling tool. This approach bypasses the uncertainty accumulation associated with simulating future vegetation indices, enabling precise spatiotemporal NPP prediction at a 30 m resolution. Using this approach, we systematically analyzed the NPP dynamics from 2004 to 2044 under three SSP scenarios. The results revealed that Nanjing’s NPP exhibited a fluctuating upward trend, with urban forests contributing the highest productivity (mean NPP ~266.15 gC/m2). Crucially, the volatility analysis highlighted divergent response characteristics: forests demonstrated the highest stability and “buffering effect,” whereas grasslands and croplands showed high volatility and sensitivity to climate fluctuations. Spatially, a distinct “stable high-NPP core, decreasing periphery” pattern was identified, driven by the interaction of urban expansion and ecological conservation policies. In conclusion, the DLCC–NPP framework effectively overcomes the data scarcity bottleneck in future simulations and characterizes the spatiotemporal heterogeneity of vegetation carbon fixation in urban ecosystems, providing scientific support for optimizing green space patterns and enhancing urban ecological resilience in high-density cities. Full article
Show Figures

Figure 1

23 pages, 12883 KB  
Article
Enhancing Land Degradation Assessment Using Advanced Remote Sensing Techniques: A Case Study from the Loiret Region, France
by Naji El Beyrouthy, Mario Al Sayah, Rita Der Sarkissian and Rachid Nedjai
Land 2025, 14(12), 2439; https://doi.org/10.3390/land14122439 - 17 Dec 2025
Cited by 1 | Viewed by 741
Abstract
The SDG 15.3.1 framework provides a standardized approach using land use/land cover (LULC) change, land productivity, and soil organic carbon (SOC) dynamics to assess land degradation. However, SDG 15.3.1. faces limitations like coarse resolutions of Landsat-8 and Sentinel-2, particularly for fine-scale studies. Accordingly, [...] Read more.
The SDG 15.3.1 framework provides a standardized approach using land use/land cover (LULC) change, land productivity, and soil organic carbon (SOC) dynamics to assess land degradation. However, SDG 15.3.1. faces limitations like coarse resolutions of Landsat-8 and Sentinel-2, particularly for fine-scale studies. Accordingly, this paper integrates Very Deep Super-Resolution (VDSR) for downscaling Landsat-8 imagery to 1 m resolution and the Vegetation Health Index (VHI) into SDG 15.3.1 to enhance detection in the heterogeneous Loiret region, France—a temperate agricultural hub featuring mixed croplands and peri-urban interfaces—using 2017 as baseline and 2024 as target. Results demonstrated that 1 m resolution detected more degraded LULC areas than coarser scales. SOC degradation was minimal (0.15%), concentrated in transitioned zones. VHI reduced overestimation of productivity declines compared to the Normalized Difference Vegetation Index by identifying more stable areas and 2.69 times less degradation in integrated assessments. The “One Out, All Out” rule classified 2.6% (using VHI) and 7.1% (using NDVI) of the region as degraded, mainly in peri-urban and cropland hotspots. This approach enables metre-scale land degradation mapping that remains effective in heterogeneous landscapes where fine-scale LULC changes drive degradation and would be missed at lower resolutions. However, future ground validation and longer timelines are essential to enhance the presented methodology. Full article
Show Figures

Figure 1

Back to TopTop