Sign in to use this feature.

Years

Between: -

Subjects

remove_circle_outline
remove_circle_outline
remove_circle_outline
remove_circle_outline
remove_circle_outline
remove_circle_outline
remove_circle_outline
remove_circle_outline
remove_circle_outline

Journals

remove_circle_outline
remove_circle_outline
remove_circle_outline
remove_circle_outline
remove_circle_outline
remove_circle_outline
remove_circle_outline
remove_circle_outline
remove_circle_outline
remove_circle_outline
remove_circle_outline
remove_circle_outline
remove_circle_outline
remove_circle_outline
remove_circle_outline
remove_circle_outline
remove_circle_outline
remove_circle_outline
remove_circle_outline
remove_circle_outline
remove_circle_outline

Article Types

Countries / Regions

remove_circle_outline
remove_circle_outline
remove_circle_outline
remove_circle_outline
remove_circle_outline

Search Results (1,851)

Search Parameters:
Keywords = dynamic contrast enhanced

Order results
Result details
Results per page
Select all
Export citation of selected articles as:
21 pages, 1747 KB  
Review
The Role of Advanced MR Imaging in Gliomas
by Anastasia K. Zikou, Eleni Romeo, George A. Alexiou, Marios Lampros, Spyridon Voulgaris, Loukas Astrakas and Maria I. Argyropoulou
Appl. Sci. 2026, 16(2), 1027; https://doi.org/10.3390/app16021027 - 20 Jan 2026
Abstract
Gliomas are a significant health problem with a lot of imaging challenges. The role of imaging is no longer limited to only providing anatomic details, but with the advancement of Magnetic Resonance Imaging (MRI) techniques, it now permits the assessment of the freedom [...] Read more.
Gliomas are a significant health problem with a lot of imaging challenges. The role of imaging is no longer limited to only providing anatomic details, but with the advancement of Magnetic Resonance Imaging (MRI) techniques, it now permits the assessment of the freedom of water molecule movement, the microvascular structure, the hemodynamic characteristics, and the chemical makeup of certain metabolites of lesions. These advanced imaging techniques include diffusion-weighted imaging, diffusion tensor imaging, dynamic contrast-enhanced MRI, Magnetic Resonance (MR) perfusion, MR angiography, and magnetic resonance spectroscopy. their role in the diagnosis, classification, and post-treatment follow-up of gliomas, as well as their application in radiogenomics and glioma analysis with the aid of artificial intelligence, is presented and discussed. Full article
(This article belongs to the Special Issue MR-Based Neuroimaging, 2nd Edition)
Show Figures

Figure 1

16 pages, 3466 KB  
Article
Differential Diagnosis of Oral Salivary Gland Carcinoma and Squamous Cell Carcinoma Using Quantitative Dynamic Contrast-Enhanced MRI
by Kunjie Zeng, Yanqin Zeng, Xinyin Chen, Siya Shi, Guoxiong Lu, Yusong Jiang, Xing Wu, Lingjie Yang, Zhaoqi Lai, Jiale Zeng and Yun Su
J. Clin. Med. 2026, 15(2), 822; https://doi.org/10.3390/jcm15020822 - 20 Jan 2026
Abstract
Background/Objectives: Preoperative differentiation between oral squamous cell carcinoma (SCC) and minor salivary gland carcinoma (SGC) remains clinically challenging due to overlapping imaging characteristics. This study aimed to develop a diagnostic model based on quantitative dynamic contrast-enhanced MRI (qDCE-MRI) parameters to distinguish SCC from [...] Read more.
Background/Objectives: Preoperative differentiation between oral squamous cell carcinoma (SCC) and minor salivary gland carcinoma (SGC) remains clinically challenging due to overlapping imaging characteristics. This study aimed to develop a diagnostic model based on quantitative dynamic contrast-enhanced MRI (qDCE-MRI) parameters to distinguish SCC from SGC prior to surgery. Methods: Patients with histopathologic confirmed SCC or minor SGC who underwent preoperative 3.0T qDCE-MRI were recruited. Clinical characteristics and pharmacokinetic parameters, including volume transfer constant (Ktrans), reverse reflux rate constant (Kep), volume fraction of extravascular extracellular space (Ve), plasma volume fraction (Vp), time to peak (TTP), maximum concentration (MAXConc), maximal slope (MAXSlope), and area under the concentration-time curve (AUCt), along with the apparent diffusion coefficient (ADC), were extracted. Univariate and multivariable logistic regression analyses were performed to identify independent discriminators. Diagnostic performance was assessed using receiver operating characteristic analysis, and model comparisons were conducted with the DeLong test. Interobserver agreement was evaluated using intraclass correlation coefficients (ICC). Results: All qDCE-MRI parameters demonstrated excellent interobserver agreement (ICC range, 0.82–0.94). Multivariable analysis identified Kep (OR = 2620.172, p = 0.001), maximal slope (OR = 1.715, p = 0.024), and tumor location (OR = 5.561, p = 0.027) as independent predictors. The qDCE-MRI model achieved superior diagnostic performance compared with the clinical model (AUC: 0.945 vs. 0.747; p = 0.012). Conclusions: A qDCE-MRI–based model incorporating Kep and MAXSlope was shown to provide excellent accuracy for preoperative differentiation between oral SCC and minor SGC. Full article
Show Figures

Figure 1

23 pages, 5986 KB  
Article
Modulation and Perturbation in Frequency Domain for SAR Ship Detection
by Mengqin Fu, Wencong Zhang, Xiaochen Quan, Dahu Shi, Luowei Tan, Jia Zhang, Yinghui Xing and Shizhou Zhang
Remote Sens. 2026, 18(2), 338; https://doi.org/10.3390/rs18020338 - 20 Jan 2026
Abstract
Synthetic Aperture Radar (SAR) has unique advantages in ship monitoring at sea due to its all-weather imaging capability. However, its unique imaging mechanism presents two major challenges. First, speckle noise in the frequency domain reduces the contrast between the target and the background. [...] Read more.
Synthetic Aperture Radar (SAR) has unique advantages in ship monitoring at sea due to its all-weather imaging capability. However, its unique imaging mechanism presents two major challenges. First, speckle noise in the frequency domain reduces the contrast between the target and the background. Second, side-lobe scattering blurs the ship outline, especially in nearshore complex scenes, and strong scattering characteristics make it difficult to separate the target from the background. The above two challenges significantly limit the performance of tailored CNN-based detection models in optical images when applied directly to SAR images. To address these challenges, this paper proposes a modulation and perturbation mechanism in the frequency domain based on a lightweight CNN detector. Specifically, the wavelet transform is firstly used to extract high-frequency features in different directions, and feature expression is dynamically adjusted according to the global statistical information to realize the selective enhancement of the ship edge and detail information. In terms of frequency-domain perturbation, a perturbation mechanism guided by frequency-domain weight is introduced to effectively suppress background interference while maintaining key target characteristics, which improves the robustness of the model in complex scenes. Extensive experiments on four widely adopted benchmark datasets, namely LS-SSDD-v1.0, SSDD, SAR-Ship-Dataset, and AIR-SARShip-2.0, demonstrate that our FMP-Net significantly outperforms 18 existing state-of-the-art methods, especially in complex nearshore scenes and sea surface interference scenes. Full article
Show Figures

Figure 1

20 pages, 8055 KB  
Article
Research on an Underwater Visual Enhancement Method Based on Adaptive Parameter Optimization in a Multi-Operator Framework
by Zhiyong Yang, Shengze Yang, Yuxuan Fu and Hao Jiang
Sensors 2026, 26(2), 668; https://doi.org/10.3390/s26020668 - 19 Jan 2026
Abstract
Underwater images often suffer from luminance attenuation, structural degradation, and color distortion due to light absorption and scattering in water. The variations in illumination and color distribution across different water bodies further increase the uncertainty of these degradations, making traditional enhancement methods that [...] Read more.
Underwater images often suffer from luminance attenuation, structural degradation, and color distortion due to light absorption and scattering in water. The variations in illumination and color distribution across different water bodies further increase the uncertainty of these degradations, making traditional enhancement methods that rely on fixed parameters, such as underwater dark channel prior (UDCP) and histogram equalization (HE), unstable in such scenarios. To address these challenges, this paper proposes a multi-operator underwater image enhancement framework with adaptive parameter optimization. To achieve luminance compensation, structural detail enhancement, and color restoration, a collaborative enhancement pipeline was constructed using contrast-limited adaptive histogram equalization (CLAHE) with highlight protection, texture-gated and threshold-constrained unsharp masking (USM), and mild saturation compensation. Building upon this pipeline, an adaptive multi-operator parameter optimization strategy was developed, where a unified scoring function jointly considers feature gains, geometric consistency of feature matches, image quality metrics, and latency constraints to dynamically adjust the CLAHE clip limit, USM gain, and Gaussian scale under varying water conditions. Subjective visual comparisons and quantitative experiments were conducted on several public underwater datasets. Compared with conventional enhancement methods, the proposed approach achieved superior structural clarity and natural color appearance on the EUVP and UIEB datasets, and obtained higher quality metrics on the RUIE dataset (Average Gradient (AG) = 0.5922, Underwater Image Quality Measure (UIQM) = 2.095). On the UVE38K dataset, the proposed adaptive optimization method improved the oriented FAST and rotated BRIEF (ORB) feature counts by 12.5%, inlier matches by 9.3%, and UIQM by 3.9% over the fixed-parameter baseline, while the adjacent-frame matching visualization and stability metrics such as inlier ratio further verified the geometric consistency and temporal stability of the enhanced features. Full article
(This article belongs to the Section Sensing and Imaging)
Show Figures

Figure 1

19 pages, 2189 KB  
Article
Vision-Based Perception and Execution Decision-Making for Fruit Picking Robots Using Generative AI Models
by Yunhe Zhou, Chunjiang Yu, Jiaming Zhang, Yuanhang Liu, Jiangming Kan, Xiangjun Zou, Kang Zhang, Hanyan Liang, Sheng Zhang and Fengyun Wu
Machines 2026, 14(1), 117; https://doi.org/10.3390/machines14010117 - 19 Jan 2026
Abstract
At present, fruit picking mainly relies on manual operation. Taking the litchi (litchi chinensis Sonn.)-picking robot as an example, visual perception is often affected by illumination variations, low recognition accuracy, complex maturity judgment, and occlusion, which lead to inaccurate fruit localization. This study [...] Read more.
At present, fruit picking mainly relies on manual operation. Taking the litchi (litchi chinensis Sonn.)-picking robot as an example, visual perception is often affected by illumination variations, low recognition accuracy, complex maturity judgment, and occlusion, which lead to inaccurate fruit localization. This study aims to establish an embodied perception mechanism based on “perception-reasoning-execution” to enhance the visual perception and decision-making capability of the robot in complex orchard environments. First, a Y-LitchiC instance segmentation method is proposed to achieve high-precision segmentation of litchi clusters. Second, a generative artificial intelligence model is introduced to intelligently assess fruit maturity and occlusion, providing auxiliary support for automatic picking. Based on the auxiliary judgments provided by the generative AI model, two types of dynamic harvesting decisions are formulated for subsequent operations. For unoccluded main fruit-bearing branches, a skeleton thinning algorithm is applied within the segmented region to extract the skeleton line, and the midpoint of the skeleton is used to perform the first type of localization and harvesting decision. In contrast, for main fruit-bearing branches occluded by leaves, threshold-based segmentation combined with maximum connected component extraction is employed to obtain the target region, followed by skeleton thinning, thereby completing the second type of dynamic picking decision. Experimental results show that the Y-LitchiC model improves the mean average precision (mAP) by 1.6% compared with the YOLOv11s-seg model, achieving higher accuracy in litchi cluster segmentation and recognition. The generative artificial intelligence model provides higher-level reasoning and decision-making capabilities for automatic picking. Overall, the proposed embodied perception mechanism and dynamic picking strategies effectively enhance the autonomous perception and decision-making of the picking robot in complex orchard environments, providing a reliable theoretical basis and technical support for accurate fruit localization and precision picking. Full article
(This article belongs to the Special Issue Control Engineering and Artificial Intelligence)
22 pages, 3383 KB  
Article
A Degradation-Aware Dual-Path Network with Spatially Adaptive Attention for Underwater Image Enhancement
by Shasha Tian, Adisorn Sirikham, Jessada Konpang and Chuyang Wang
Electronics 2026, 15(2), 435; https://doi.org/10.3390/electronics15020435 - 19 Jan 2026
Abstract
Underwater image enhancement remains challenging due to wavelength-dependent absorption, spatially varying scattering, and non-uniform illumination, which jointly cause severe color distortion, contrast degradation, and structural information loss. To address these issues, we propose UCS-Net, a degradation-aware dual-path framework that exploits the complementarity between [...] Read more.
Underwater image enhancement remains challenging due to wavelength-dependent absorption, spatially varying scattering, and non-uniform illumination, which jointly cause severe color distortion, contrast degradation, and structural information loss. To address these issues, we propose UCS-Net, a degradation-aware dual-path framework that exploits the complementarity between global and local representations. A spatial color balance module first stabilizes the chromatic distribution of degraded inputs through a learnable gray-world-guided normalization, mitigating wavelength-induced color bias prior to feature extraction. The network then adopts a dual-branch architecture, where a hierarchical Swin Transformer branch models long-range contextual dependencies and global color relationships, while a multi-scale residual convolutional branch focuses on recovering local textures and structural details suppressed by scattering. Furthermore, a multi-scale attention fusion mechanism adaptively integrates features from both branches in a degradation-aware manner, enabling dynamic emphasis on global or local cues according to regional attenuation severity. A hue-preserving reconstruction module is finally employed to suppress color artifacts and ensure faithful color rendition. Extensive experiments on UIEB, EUVP, and UFO benchmarks demonstrate that UCS-Net consistently outperforms state-of-the-art methods in both full-reference and non-reference evaluations. Qualitative results further confirm its effectiveness in restoring fine structural details while maintaining globally consistent and visually realistic colors across diverse underwater scenes. Full article
(This article belongs to the Special Issue Image Processing and Analysis)
23 pages, 2777 KB  
Article
Isolation and Biophysical Characterization of Lipoxygenase-1 from Soybean Seed, a Versatile Biocatalyst for Industrial Applications
by Ioanna Gerogianni, Antiopi Vardaxi, Ilias Matis, Maria Karayianni, Maria Zoumpanioti, Thomas Mavromoustakos, Stergios Pispas and Evangelia D. Chrysina
Biomolecules 2026, 16(1), 162; https://doi.org/10.3390/biom16010162 - 19 Jan 2026
Abstract
Lipoxygenases are enzymes found in plants, mammals, and other organisms that catalyse the hydroperoxidation of polyunsaturated fatty acids, such as arachidonic, linoleic, and linolenic acids. They have attracted a lot of attention as molecular targets for industrial and biomedical applications, due to their [...] Read more.
Lipoxygenases are enzymes found in plants, mammals, and other organisms that catalyse the hydroperoxidation of polyunsaturated fatty acids, such as arachidonic, linoleic, and linolenic acids. They have attracted a lot of attention as molecular targets for industrial and biomedical applications, due to their implication in key biological processes, such as plant development and defence, cell growth, as well as immune response and inflammation. Soybean (Glycine max) lipoxygenase (LOX) is a versatile biocatalyst used in biotechnology, pharmaceutical, and food industries. sLOX1, a soybean LOX isoform, is central in various industrial applications; thus, it is of particular interest to develop an efficient sLOX1 isolation process, control its activity, and leverage its potential as an effective industrial biocatalyst, tailoring it to a specific desired outcome. In this study, sLOX1 was extracted and purified from soybean seeds using an optimized protocol that yielded an enzyme preparation with higher activity compared to the commercially available lipoxygenase. Comprehensive biophysical characterization employing dynamic and electrophoretic light scattering, fluorescence, and Fourier-transform infrared spectroscopies revealed that sLOX1 exhibits remarkable structural and functional stability, particularly in sodium borate buffer (pH 9), where it retains activity and integrity up to at least 55 °C and displays minimal aggregation under thermal, ionic, and temporal stress. In contrast, sLOX1 in sodium phosphate buffer (pH 6.8) remained relatively stable against ionic strength and time but showed thermally induced aggregation above 55 °C, while in sodium acetate buffer (pH 4.6), the enzyme exhibited a pronounced aggregation tendency under all tested conditions. Overall, this study provides physicochemical and stability assessments of sLOX1. The combination of enhanced catalytic activity, high purity, and well-defined stability profile across diverse buffer systems highlights sLOX1 as a promising and adaptable biocatalyst for industrial applications, offering valuable insights into optimizing lipoxygenase-based bioprocesses. Full article
(This article belongs to the Section Molecular Biophysics: Structure, Dynamics, and Function)
Show Figures

Figure 1

20 pages, 2113 KB  
Article
Energy Transitions in the Digital Economy: Interlinking Supply Chain Innovation, Growth, and Policy Stringency in OECD Countries
by Majdi Hashim and Opeoluwa Seun Ojekemi
Sustainability 2026, 18(2), 981; https://doi.org/10.3390/su18020981 - 18 Jan 2026
Viewed by 64
Abstract
The development of renewable energy has emerged as a cornerstone of sustainable economic transformation, offering a pathway to reduce carbon dependence and enhance long-term energy security. As a result, this study examines the influence of supply chain digitalization, economic growth, and environmental stringency [...] Read more.
The development of renewable energy has emerged as a cornerstone of sustainable economic transformation, offering a pathway to reduce carbon dependence and enhance long-term energy security. As a result, this study examines the influence of supply chain digitalization, economic growth, and environmental stringency policies on renewable energy consumption (REC) across 33 OECD countries from 2000 to 2021. Using the Method of Moments Quantile Regression (MMQR) approach, the research provides robust, distribution-sensitive insights into how these factors shape renewable energy dynamics. In addition to the main variables, financial development and economic globalization were included as control variables to capture broader macroeconomic effects. The empirical results reveal that supply chain digitalization exerts a negative and consistent influence on REC across all quantiles, suggesting that technological advancement within supply chains may still be heavily dependent on non-renewable energy inputs. Conversely, environmental stringency policies demonstrate a positive and significant impact on REC at all quantiles, indicating that stricter environmental regulations effectively drive the transition toward cleaner energy sources. However, the effect of economic growth varies across quantiles, reflecting a nonlinear relationship—fostering renewable energy use in some instances while increasing conventional energy demand in others. Among the control variables, economic globalization enhances REC, implying that greater international integration facilitates technology transfer and access to green innovations. In contrast, financial development negatively affects REC, suggesting that current financial systems may still prioritize fossil fuel investments. Overall, the study emphasizes the need to align digital transformation strategies, financial reforms, and policy frameworks to strengthen renewable energy development and ensure a sustainable, low-carbon future across OECD nations. Full article
(This article belongs to the Section Energy Sustainability)
Show Figures

Figure 1

22 pages, 3512 KB  
Article
Numerical Analysis of the Impact of Air Conditioning Operating Parameters on Thermal Comfort in a Classroom in Hot Climate Regions
by Guillermo Efren Ovando-Chacon, Enrique Cruz-Octaviano, Abelardo Rodriguez-Leon, Sandy Luz Ovando-Chacon and Ricardo Francisco Martinez-Gonzalez
Buildings 2026, 16(2), 400; https://doi.org/10.3390/buildings16020400 - 18 Jan 2026
Viewed by 36
Abstract
Achieving adequate thermal comfort in classrooms in hot cities in southern Mexico is challenging. A heterogeneous distribution of air conditioning flow leads to thermal discomfort, affecting occupants’ academic performance and increasing energy consumption. This study evaluates the thermal comfort of occupants in an [...] Read more.
Achieving adequate thermal comfort in classrooms in hot cities in southern Mexico is challenging. A heterogeneous distribution of air conditioning flow leads to thermal discomfort, affecting occupants’ academic performance and increasing energy consumption. This study evaluates the thermal comfort of occupants in an air conditioned classroom using computational fluid dynamics. We determined the effects of variations in air conditioning operating parameters (supply angle, velocity, and temperature) on PMV and modified PMV indices. An operating configuration of 60°, 3 m/s, and 22 °C ensures that thermal comfort remains within regulations while optimizing energy consumption, in contrast to the original PMV model. Using the modified PMV model, the values are 0.38 for students and 0.31 for the teacher, with percentages of dissatisfied individuals of 10% and 7.7%, respectively. This study demonstrates the importance of analyzing air conditioning operating parameters to enhance thermal comfort while reducing energy consumption. Full article
(This article belongs to the Section Building Energy, Physics, Environment, and Systems)
Show Figures

Figure 1

21 pages, 7451 KB  
Article
Distinct Pathways of Cadmium Immobilization as Affected by Wheat Straw- and Soybean Meal-Mediated Reductive Soil Disinfestation
by Tengqi Xu, Jingyi Mei, Cui Li, Lijun Hou, Kun Wang, Risheng Xu, Xiaomeng Wei, Jingwei Zhang, Jianxiao Song, Zuoqiang Yuan, Xiaohong Tian and Yanlong Chen
Agriculture 2026, 16(2), 242; https://doi.org/10.3390/agriculture16020242 - 17 Jan 2026
Viewed by 97
Abstract
Both organic matter and iron oxide (FeO) dynamics pose key roles in soil cadmium (Cd) bioavailability. However, the microbially driven transformation of soil organic matter and FeO and their linkages to Cd fractions remain unclear under reductive soil disinfestation (RSD) with different organic [...] Read more.
Both organic matter and iron oxide (FeO) dynamics pose key roles in soil cadmium (Cd) bioavailability. However, the microbially driven transformation of soil organic matter and FeO and their linkages to Cd fractions remain unclear under reductive soil disinfestation (RSD) with different organic sources, which limits our mechanistic understanding of Cd immobilization by RSD. To address this gap, we conducted a 45 day microcosm experiment using a paddy soil contaminated with 22.8 mg/kg Cd. Six treatments were established: untreated control (CK), waterlogged (WF), and RSD-amended soils with 0.7% or 2.1% wheat straw (LWD, HWD) or soybean meal (LSD, HSD). We systematically assessed soil Cd fractionation, organic carbon and FeO concentrations, and bacterial community structure, aiming to clarify differences in Cd immobilization efficiency and the underlying mechanisms between wheat straw and soybean meal. For strongly extractable Cd, wheat straw RSD reduced the soil Cd concentrations from 6.02 mg/kg to 4.32 mg/kg (28.2%), whereas soybean meal RSD achieved a maximum reduction to 2.26 mg/kg (62.5%). Additionally, the soil mobility factor of Cd decreased from 44.6% (CK) to 39.2% (HWD) and 32.5% (HSD), while the distribution index increased from 58.5% (CK) to 62.2% (HWD) and 66.8% (HSD). Notably, the HWD treatment increased soil total organic carbon, humus, and humic acid concentrations by 34.8%, 24.6%, and 28.3%, respectively. Regarding amorphous FeO, their concentrations increased by 19.1% and 33.3% relative to CK. RSD treatments significantly altered soil C/N ratios (5.91–12.5). The higher C/N ratios associated with wheat straw stimulated r-strategist bacteria (e.g., Firmicutes, Bacteroidetes), which promoted carbohydrate degradation and fermentation, thereby enhancing the accumulation of humic substances. In contrast, the lower C/N ratios of soybean meal increased dissolved organic carbon and activated iron-reducing bacteria (FeRB; e.g., Anaeromyxobacter, Clostridium), driving iron reduction and amorphous iron oxide formation. PLS-PM analysis confirmed that wheat straw RSD immobilized Cd primarily through humification, whereas soybean meal RSD relied on FeRB-mediated FeO amorphization. These findings suggest that Cd immobilization in soil under RSD may be regulated by microbially mediated organic matter transformation and iron oxide dynamics, which was affected by organic materials of different C/N ratios. Full article
(This article belongs to the Section Agricultural Soils)
Show Figures

Figure 1

17 pages, 1955 KB  
Article
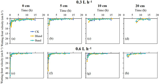
Impacts of Flue Gas Desulfurization Gypsum Application Method and Drip Irrigation Rate on Water Movement and Initial Reclamation Efficacy in Saline–Alkali Soil
by Jiacheng Zhang, Chen Guo, Chen Zuo and Wenchao Zhang
Agriculture 2026, 16(2), 240; https://doi.org/10.3390/agriculture16020240 - 17 Jan 2026
Viewed by 90
Abstract
The conventional method of flue gas desulfurization gypsum (FGDG) application, i.e., blending with flood irrigation, is hindered by low water efficiency and significant amendment loss due to runoff and uncontrolled leaching, particularly in arid and semi-arid regions in which water scarcity is a [...] Read more.
The conventional method of flue gas desulfurization gypsum (FGDG) application, i.e., blending with flood irrigation, is hindered by low water efficiency and significant amendment loss due to runoff and uncontrolled leaching, particularly in arid and semi-arid regions in which water scarcity is a major constraint. This study aimed to evaluate a novel integration of FGDG band application with drip irrigation to enhance targeting and resource efficiency. A laboratory-scale experiment investigated the effects of two FGDG application methods (band and blend application) and drip rates (0.3 and 0.6 L h−1) on soil water movement and chemical properties. Band application significantly accelerated initial wetting front advancement by up to 44.9 cm h−1 near the emitter and sustained horizontal propagation, while blend application promoted a more uniform water distribution. Chemically, band application created localized zones of reduced pH (7.57–8.62) and elevated water-soluble Ca2+ (up to 492.2 mmol kg−1), facilitating a 79.1% reduction in exchangeable Na+ near the emitter. In contrast, blend application resulted in broader but shallower amendment distribution, reducing exchangeable sodium percentage uniformly to 1.99–4.16% across the soil profile. The combination of banded FGDG and drip irrigation achieves targeted amelioration, with superior Na+/Ca2+ exchange and favorable moisture dynamics resulting from the synergy between amendment placement and water delivery. This approach is a viable strategy for precision reclamation in arid regions. Full article
(This article belongs to the Topic Recent Advances in Soil Health Management)
Show Figures

Figure 1

22 pages, 16881 KB  
Article
Venom-Derived Proteins from Lonomia obliqua Modulate Cytoskeletal Regulators and Inflammatory Responses in Human Chondrocytes
by Miryam Paola Alvarez-Flores, Amanda Teixeira de Melo, Renata Nascimento Gomes, Thatiana Corrêa de Melo, Douglas Souza Oliveira, Marcelo Medina de Souza, Carlos DeOcesano-Pereira, Mauricio Barbugiani Goldfeder, Fernanda Faria and Ana Marisa Chudzinski-Tavassi
Int. J. Mol. Sci. 2026, 27(2), 934; https://doi.org/10.3390/ijms27020934 - 17 Jan 2026
Viewed by 78
Abstract
Osteoarthritis (OA) is a degenerative joint disease characterized by progressive cartilage loss, extracellular matrix degradation, chondrocyte apoptosis, and elevated inflammatory mediators. Chondrocytes respond to IL-1β and other inflammatory signals by secreting cytokines and activating transcriptional pathways that perpetuate inflammation. Because current therapies do [...] Read more.
Osteoarthritis (OA) is a degenerative joint disease characterized by progressive cartilage loss, extracellular matrix degradation, chondrocyte apoptosis, and elevated inflammatory mediators. Chondrocytes respond to IL-1β and other inflammatory signals by secreting cytokines and activating transcriptional pathways that perpetuate inflammation. Because current therapies do not prevent OA progression, bioactive compounds with cytoprotective and immunomodulatory activity are of considerable interest. Lonomia obliqua bristle extract (LOCBE) and its recombinant proteins rLOPAP and rLOSAC exhibit cytoprotective, proliferative, and antioxidant effects in mammalian cells, as well as the ability to influence cytoskeletal dynamics. Given the importance of Rac-1, RhoA, Rab9, and β-catenin in chondrocyte function and cartilage homeostasis, we evaluated LOCBE, rLOPAP, and rLOSAC in human chondrocytes stimulated or not with IL-1β. LOCBE and rLOPAP induced IL-6 and IL-8 secretion, although at lower levels than IL-1β. LOCBE exerts a cytoprotective effect in IL-1β-treated chondrocytes and reduces β-catenin, RhoA, and Rab9 expression without affecting NF-κB p65 translocation. rLOPAP increased mitochondrial activity, cytokine secretion, Rab9 expression, and membrane-associated β-catenin, and under inflammatory conditions, enhanced Rac-1 levels. In contrast, rLOSAC did not induce inflammatory cytokines and decreased RhoA and Rac-1 expression while increasing membrane-associated β-catenin. These findings suggest that L. obliqua extract and its derived-proteins rLOPAP and rLOSAC modulate cytoskeletal regulatory pathways and inflammatory responses in chondrocytes, supporting their potential as therapeutic leads for targeting mechanisms relevant to OA progression. Full article
Show Figures

Figure 1

25 pages, 4276 KB  
Article
Nitrogen Dynamics and Environmental Sustainability in Rice–Crab Co-Culture System: Optimal Fertilization for Sustainable Productivity
by Hao Li, Shuxia Wu, Yang Xu, Weijing Li, Xiushuang Zhang, Siqi Ma, Wentao Sun, Bo Li, Bingqian Fan, Qiuliang Lei and Hongbin Liu
AgriEngineering 2026, 8(1), 34; https://doi.org/10.3390/agriengineering8010034 - 16 Jan 2026
Viewed by 103
Abstract
Rice–crab co-culture systems (RC) represent promising sustainable intensification approaches, yet their nitrogen (N) cycling and optimal fertilization strategies remain poorly characterized. In this study, we compared RC with rice monoculture system (RM) across four N gradients (0, 150, 210, and 270 kg N·hm [...] Read more.
Rice–crab co-culture systems (RC) represent promising sustainable intensification approaches, yet their nitrogen (N) cycling and optimal fertilization strategies remain poorly characterized. In this study, we compared RC with rice monoculture system (RM) across four N gradients (0, 150, 210, and 270 kg N·hm−2), assessing N dynamics in field water and N distribution in soil. The results showed that field water ammonium nitrogen (NH4+-N) concentrations increased nonlinearly, showing sharp increases beyond 210 kg N·hm−2. Notably, crab activity in the RC altered the N transformation and transport processes, leading to a prolonged presence of nitrate nitrogen (NO3-N) in field water for two additional days after tillering fertilization compared to RM. This indicates a critical window for potential nitrogen loss risk, rather than enhanced retention, 15 days after basal fertilizer application. Compared to RM, RC exhibited enhanced nitrogen retention capacity, with NO3-N concentrations remaining elevated for an additional two days following tillering fertilization, suggesting a potential critical period for nitrogen loss risk. Post-harvest soil analysis revealed contrasting nitrogen distribution patterns: RC showed enhanced NH4+-N accumulation in surface layers (0–2 cm) with minimal vertical NO3-N redistribution, while RM exhibited progressive NO3-N increases in subsurface layers (2–10 cm) with increasing fertilizer rates. The 210 kg N·hm−2 rate proved optimal for the RC, producing a rice yield 12.08% higher than that of RM and sustaining high crab yields, while avoiding the excessive aqueous N levels seen at higher rates. It is important to note that these findings are based on a single-site, single-growing season field experiment conducted in Panjin, Liaoning Province, and thus the general applicability of the optimal nitrogen rate may require further validation across diverse environments. We conclude that a fertilization rate of 210 kg N·hm−2 is the optimal strategy for RC, effectively balancing productivity and environmental sustainability. This finding provides a clear, quantitative guideline for precise N management in integrated aquaculture systems. Full article
(This article belongs to the Section Sustainable Bioresource and Bioprocess Engineering)
Show Figures

Figure 1

27 pages, 12605 KB  
Article
YOLOv11n-CGSD: Lightweight Detection of Dairy Cow Body Temperature from Infrared Thermography Images in Complex Barn Environments
by Zhongwei Kang, Hang Song, Hang Xue, Miao Wu, Derui Bao, Chuang Yan, Hang Shi, Jun Hu and Tomas Norton
Agriculture 2026, 16(2), 229; https://doi.org/10.3390/agriculture16020229 - 15 Jan 2026
Viewed by 143
Abstract
Dairy cow body temperature is a key physiological indicator that reflects metabolic level, immune status, and environmental stress responses, and it has been widely used for early disease recognition. Infrared thermography (IRT), as a non-contact imaging technique capable of remotely acquiring the surface [...] Read more.
Dairy cow body temperature is a key physiological indicator that reflects metabolic level, immune status, and environmental stress responses, and it has been widely used for early disease recognition. Infrared thermography (IRT), as a non-contact imaging technique capable of remotely acquiring the surface radiation temperature distribution of animals, is regarded as a powerful alternative to traditional temperature measurement methods. Under practical cowshed conditions, IRT images of dairy cows are easily affected by complex background interference and generally suffer from low resolution, poor contrast, indistinct boundaries, weak structural perception, and insufficient texture information, which lead to significant degradation in target detection and temperature extraction performance. To address these issues, a lightweight detection model named YOLOv11n-CGSD is proposed for dairy cow IRT images, aiming to improve the accuracy and robustness of region of interest (ROI) detection and body temperature extraction under complex background conditions. At the architectural level, a C3Ghost lightweight module based on the Ghost concept is first constructed to reduce redundant feature extraction while lowering computational cost and enhancing the network capability for preserving fine-grained features during feature propagation. Subsequently, a space-to-depth convolution module is introduced to perform spatial rearrangement of feature maps and achieve channel compression via non-strided convolution, thereby improving the sensitivity of the model to local temperature variations and structural details. Finally, a dynamic sampling mechanism is embedded in the neck of the network, where the upsampling and scale alignment processes are adaptively driven by feature content, enhancing the model response to boundary temperature changes and weak-texture regions. Experimental results indicate that the YOLOv11n-CGSD model can effectively shift attention from irrelevant background regions to ROI contour boundaries and increase attention coverage within the ROI. Under complex IRT conditions, the model achieves P, R, and mAP50 values of 89.11%, 86.80%, and 91.94%, which represent improvements of 3.11%, 5.14%, and 4.08%, respectively, compared with the baseline model. Using Tmax as the temperature extraction parameter, the maximum error (Max. Error) and mean error (MAE. Error) in the lower udder region are reduced by 33.3% and 25.7%, respectively, while in the around the anus region, the Max. Error and MAE. Error are reduced by 87.5% and 95.0%, respectively. These findings demonstrate that, under complex backgrounds and low-quality IRT imaging conditions, the proposed model achieves lightweight and high-performance detection for both lower udder (LU) and around the anus (AA) regions and provides a methodological reference and technical support for non-contact body temperature measurement of dairy cows in practical cowshed production environments. Full article
(This article belongs to the Section Farm Animal Production)
Show Figures

Figure 1

20 pages, 3549 KB  
Article
Tumor Microenvironment: Insights from Multiparametric MRI in Pancreatic Ductal Adenocarcinoma
by Ramesh Paudyal, James Russell, H. Carl Lekaye, Joseph O. Deasy, John L. Humm, Muhammad Awais, Saad Nadeem, Richard K. G. Do, Eileen M. O’Reilly, Lawrence H. Schwartz and Amita Shukla-Dave
Cancers 2026, 18(2), 273; https://doi.org/10.3390/cancers18020273 - 15 Jan 2026
Viewed by 168
Abstract
Background/Objectives: The tumor microenvironment (TME) of pancreatic ductal adenocarcinoma (PDAC) is characterized by an enriched stroma, hampering the effectiveness of therapy. This co-clinical study aimed to (1) provide insight into early post-treatment changes in the TME using multiparametric magnetic resonance imaging (mpMRI)-derived quantitative [...] Read more.
Background/Objectives: The tumor microenvironment (TME) of pancreatic ductal adenocarcinoma (PDAC) is characterized by an enriched stroma, hampering the effectiveness of therapy. This co-clinical study aimed to (1) provide insight into early post-treatment changes in the TME using multiparametric magnetic resonance imaging (mpMRI)-derived quantitative imaging biomarkers (QIBs) in a preclinical PDAC model treated with radiotherapy and correlate these QIBs with histology; (2) evaluate the feasibility of obtaining these QIBs in patients with PDAC using clinically approved mpMRI data acquisitions. Methods: Athymic mice (n = 12) at pre- and post-treatment as well as patients with PDAC (n = 11) at pre-treatment underwent mpMRI including diffusion-weighted (DW) and dynamic contrast-enhanced (DCE) data acquisition sequences. DW and DCE data were analyzed using monoexponential and extended Tofts models, respectively. DeepLIIF quantified the total percentage (%) of tumor cells in hematoxylin and eosin (H&E)-stained tissues from athymic mice. Spearman correlation and Wilcoxon signed rank tests were performed for statistical analysis. Results: In the preclinical PDAC model, mean pre- and post-treatment ADC and Ktrans values differed significantly (p < 0.01), changing by 20.50% and 20.41%, respectively, and the median total tumor cells quantified by DeepLIIF was 24% (range: 15–53%). Post-treatment ADC values and relative change in ve (rΔve) showed a significant negative correlation with total tumor cells (ρ = −0.77, p < 0.014 for ADC and ρ = −0.77, p = 0.009 for rΔve). In patients with PDAC, pre-treatment mean ADC and Ktrans values were 1.76 × 10−3 (mm2/s) and 0.24 (min−1), respectively. Conclusions: QIBs in both preclinical and clinical settings underscore their potential for future co-clinical research to evaluate emerging drug combinations targeting both tumor and stroma. Full article
(This article belongs to the Special Issue Image-Assisted High-Precision Radiation Oncology)
Show Figures

Figure 1

Back to TopTop