Sign in to use this feature.

Years

Between: -

Subjects

remove_circle_outline
remove_circle_outline
remove_circle_outline
remove_circle_outline
remove_circle_outline
remove_circle_outline
remove_circle_outline
remove_circle_outline
remove_circle_outline

Journals

remove_circle_outline
remove_circle_outline
remove_circle_outline
remove_circle_outline
remove_circle_outline
remove_circle_outline
remove_circle_outline
remove_circle_outline
remove_circle_outline

Article Types

Countries / Regions

remove_circle_outline
remove_circle_outline
remove_circle_outline
remove_circle_outline

Search Results (315)

Search Parameters:
Keywords = dual control action

Order results
Result details
Results per page
Select all
Export citation of selected articles as:
28 pages, 4527 KB  
Article
Enhanced Adaptive QPSO-Enabled Game-Theoretic Model Predictive Control for AUV Pursuit–Evasion Under Velocity Constraints
by Duan Gao, Mingzhi Chen and Yunhao Zhang
J. Mar. Sci. Eng. 2026, 14(3), 318; https://doi.org/10.3390/jmse14030318 - 6 Feb 2026
Abstract
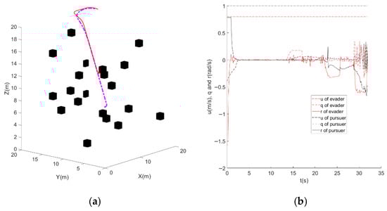
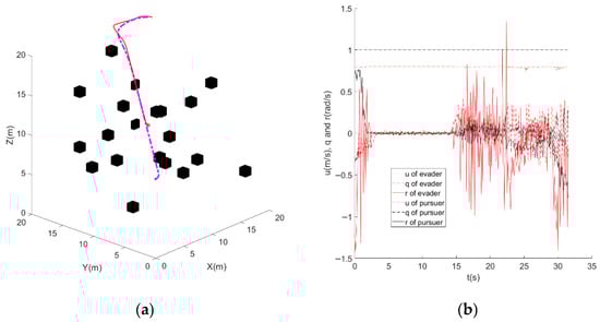
Pursuit–evasion involves coupled, antagonistic decision-making and is prone to local-optimal behaviors when solved online under nonlinear dynamics and constraints. This study investigates a dual-AUV pursuit–evasion problem in ocean-current environments by integrating game theory with model predictive control (MPC). We formulated a game-theoretic MPC [...] Read more.
Pursuit–evasion involves coupled, antagonistic decision-making and is prone to local-optimal behaviors when solved online under nonlinear dynamics and constraints. This study investigates a dual-AUV pursuit–evasion problem in ocean-current environments by integrating game theory with model predictive control (MPC). We formulated a game-theoretic MPC scheme that optimizes pursuit and evasion actions over a finite receding horizon, producing Nash-like responses. To solve the resulting nonconvex and multi-modal optimization problems reliably, we developed an Enhanced Adaptive Quantum Particle Swarm Optimization (EA-QPSO) method that incorporates chaos-based initialization and adaptive diversity-aware exploration with stagnation-escape perturbations. EA-QPSO is benchmarked against representative solvers, including fmincon, Differential Evolution (DE), and the Marine Predator Algorithm (MPA). Extensive 2D and 3D simulations demonstrate that EA-QPSO mitigates local-optimum trapping and yields more effective closed-loop behaviors, achieving longer escaping trajectories and more persistent pursuit until capture under the game formulation. In 3D scenarios, EA-QPSO better preserves high-speed motion while coordinating agile angular-rate adjustments, outperforming competing methods that exhibit premature deceleration or degraded maneuvering. These results validate the proposed framework for computing reliable competitive strategies in constrained underwater pursuit–evasion games. Full article
Show Figures

Figure 1

9 pages, 717 KB  
Communication
Mentha piperita Essential Oil in Olive Oil: Extending Erythrocyte Viability and Limiting Bacterial Growth Under Serum-Free Conditions
by Tina Novaković, Emina Mehmedović, Maja Krstić Ristivojević, Ivana Prodić, Vesna Jovanović, Milica Aćimović and Katarina Smiljanić
Molecules 2026, 31(3), 516; https://doi.org/10.3390/molecules31030516 - 2 Feb 2026
Viewed by 194
Abstract
Background: Serum-free culture of red blood cells (RBCs) typically leads to rapid loss of viability, limiting experimental and translational applications. Lipid-rich formulations and essential oils may provide biocompatible support for RBC integrity while limiting microbial overgrowth. Methods: RBCs from nine healthy adult donors [...] Read more.
Background: Serum-free culture of red blood cells (RBCs) typically leads to rapid loss of viability, limiting experimental and translational applications. Lipid-rich formulations and essential oils may provide biocompatible support for RBC integrity while limiting microbial overgrowth. Methods: RBCs from nine healthy adult donors were cultured in serum-free RPMI under four conditions: control, vehicle (olive oil, 1:100 v/v), genuine adenosine triphosphate (ATP)-oil® (1:100 v/v), and laboratory oil, “mimicking” ATP-oil®. Cultures were maintained for 18 days. Viability was assessed by light microscopy and trypan blue exclusion; bacterial contamination was qualitatively observed on day 18. Results: Genuine ATP-oil® maintained 35–45% RBC viability at day 18, whereas control and vehicle cultures declined rapidly. The mimicking preparation did not reproduce these effects. ATP-oil® immersion was associated with a qualitative reduction in bacterial contamination versus control, consistent with a dual action on RBC preservation and microbial suppression under serum-free conditions. Conclusions: Supplementation with ATP-oil® substantially prolongs RBC survival and limits bacterial overgrowth in vitro, outperforming commonly used serum or plasma supplements on a per-volume basis. These findings suggest potential applications for improving ex vivo handling or storage of blood components and for reducing background contamination in diagnostic microbiology. Further studies with larger cohorts are warranted to reveal underlying mechanisms and to define active constituents in order to standardize production. Full article
Show Figures

Figure 1

27 pages, 10207 KB  
Article
Failure Mechanism and Biomimetic Wiping Self-Cleaning Design of Micro-Current Snap-Action Limit Switches for Marine Environments
by Yuhang Zhong, Xiaolong Zhao, Chengfei Zhang, Yuliang Teng, Zhuxin Zhang and Dingxuan Zhao
Actuators 2026, 15(2), 89; https://doi.org/10.3390/act15020089 - 2 Feb 2026
Viewed by 126
Abstract
In marine hot–humid and salt spray environments, shipborne snap-action limit switches operating under micro-current loads are prone to triggering failures caused by the accumulation of heterogeneous films on electrical contact interfaces, which can induce abnormal behavior in electromechanical systems. To address this issue, [...] Read more.
In marine hot–humid and salt spray environments, shipborne snap-action limit switches operating under micro-current loads are prone to triggering failures caused by the accumulation of heterogeneous films on electrical contact interfaces, which can induce abnormal behavior in electromechanical systems. To address this issue, this study systematically investigates the failure mechanisms of micro-current limit switches using multimodal diagnostic approaches. The results demonstrate that the migration and accumulation of corrosion products and foreign contaminants within the microswitch unit promote the formation of high-resistance heterogeneous films at the electrical contact interfaces, severely impairing reliable electrical conduction. Electrical contact experiments further reveal that the contact behavior is strongly dependent on the current magnitude. When the current exceeds 2A, arc discharge generated during contact closure can effectively disrupt and remove the heterogeneous films, thereby restoring the electrical functionality of previously failed switches under subsequent micro-current operating conditions. Based on the identified failure mechanism, and inspired by the natural eye-cleaning behavior of crabs, a biomimetic press-and-wipe self-cleaning dual-redundant limit switch design is proposed. The design enables autonomous surface cleaning through controlled reciprocal wiping between the moving and stationary electrical contacts, effectively suppressing the formation and accumulation of high-resistance films at the source. Comparative salt spray and damp heat storage tests demonstrate that the proposed self-cleaning limit switch maintains stable and reliable electrical contact performance in simulated marine environments, significantly improving operational reliability and service life under micro-current loads. This work provides both mechanistic insights and a practical structural solution for enhancing the reliability of electrical contact components operating under low-current conditions in harsh marine environments. Full article
Show Figures

Figure 1

24 pages, 6948 KB  
Article
Industrial Process Control Based on Reinforcement Learning: Taking Tin Smelting Parameter Optimization as an Example
by Yingli Liu, Zheng Xiong, Haibin Yuan, Hang Yan and Ling Yang
Appl. Sci. 2026, 16(3), 1429; https://doi.org/10.3390/app16031429 - 30 Jan 2026
Viewed by 149
Abstract
To address the issues of parameter setting, reliance on human experience, and the limitations of traditional model-driven control methods in handling complex nonlinear dynamics in the tin smelting industrial process, this paper proposes a data-driven control approach based on improved deep reinforcement learning [...] Read more.
To address the issues of parameter setting, reliance on human experience, and the limitations of traditional model-driven control methods in handling complex nonlinear dynamics in the tin smelting industrial process, this paper proposes a data-driven control approach based on improved deep reinforcement learning (RL). Aiming to reduce the tin entrainment rate in smelting slag and CO emissions in exhaust gas, we construct a data-driven environment model with an 8-dimensional state space (including furnace temperature, pressure, gas composition, etc.) and an 8-dimensional action space (including lance parameters such as material flow, oxygen content, backpressure, etc.). We innovatively design a Dual-Action Discriminative Deep Deterministic Policy Gradient (DADDPG) algorithm. This method employs an online Actor network to simultaneously generate deterministic and exploratory random actions, with the Critic network selecting high-value actions for execution, consistently enhancing policy exploration efficiency. Combined with a composite reward function (integrating real-time Sn/CO content, their variations, and continuous penalty mechanisms for safety constraints), the approach achieves multi-objective dynamic optimization. Experiments based on real tin smelting production line data validate the environment model, with results demonstrating that the tin content in slag is reduced to between 3.5% and 4%, and CO content in exhaust gas is decreased to between 2000 and 2700 ppm. Full article
Show Figures

Figure 1

14 pages, 1587 KB  
Article
Application Method Determines Effects of Beauveria bassiana on Eucalyptus grandis Growth and Leaf-Cutting Ant Foraging
by Raymyson Rhuryo de Sousa Queiroz, Thais Berçot Pontes Teodoro, Aline Teixeira Carolino, Ricardo de Oliveira Barbosa Bitencourt and Richard Ian Samuels
Insects 2026, 17(2), 134; https://doi.org/10.3390/insects17020134 - 24 Jan 2026
Viewed by 330
Abstract
Beauveria bassiana can colonize plants, acting against insect pests and promoting plant growth. This study evaluated how different fungal inoculation methods affected Eucalyptus grandis growth and the foraging behavior of ants. An isolate (LPP 139) was identified as B. bassiana based on ITS [...] Read more.
Beauveria bassiana can colonize plants, acting against insect pests and promoting plant growth. This study evaluated how different fungal inoculation methods affected Eucalyptus grandis growth and the foraging behavior of ants. An isolate (LPP 139) was identified as B. bassiana based on ITS sequences. Seedlings were submitted to three inoculation methods using fungal suspensions at 1 × 108 conidia mL−1: (1) soil drenching at sowing (SD), (2) soil drenching 20 days after sowing (20SD), and (3) foliar spraying 20 days after sowing (20F) when compared to controls. SD treatment enhanced plant height (mean 25 cm with a 31.6% increase compared to the controls; p = 0.0353) and shoot fresh weight (mean 1.5 g, a 50% increase; p = 0.0154), while 20SD increased leaf number (141.4% increase; p = 0.0419). The 20F treatment increased leaf number (287.9% compared to the controls; p = 0.0006), shoot weight (mean fresh weight 1.5 g, a 50% increase; p = 0.0213 and mean dry weight 0.7 g, a 75% increase; p = 0.0236), and reduced leaf-cutting ant foraging (mean 26 cm2, a reduction of 53.6%; p = 0.0134). These findings highlight the dual action of B. bassiana, promoting plant growth and reducing the activity of ants. Full article
(This article belongs to the Section Insect Behavior and Pathology)
Show Figures

Graphical abstract

14 pages, 3504 KB  
Article
Mechanisms of Tetramycin-Induced Resistance to Rice Blast Disease in Oryza sativa L.
by Hui Jiang, Caixia Zhao, Danting Li, Kai Sun, Yipeng Xu, Kun Pang, Xiaoping Yu and Xuping Shentu
Int. J. Mol. Sci. 2026, 27(2), 1024; https://doi.org/10.3390/ijms27021024 - 20 Jan 2026
Viewed by 143
Abstract
Rice blast, caused by the fungus Magnaporthe oryzae, is a devastating disease that threatens global food security, causing annual yield losses of 10–30%. Consequently, novel control strategies beyond conventional fungicides are urgently needed. Tetramycin, a polyene macrolide antibiotic, is known for its [...] Read more.
Rice blast, caused by the fungus Magnaporthe oryzae, is a devastating disease that threatens global food security, causing annual yield losses of 10–30%. Consequently, novel control strategies beyond conventional fungicides are urgently needed. Tetramycin, a polyene macrolide antibiotic, is known for its broad-spectrum antifungal activity. However, the specific mechanisms underlying its efficacy against rice blast remain to be fully elucidated. In this study, we demonstrate that tetramycin confers resistance through a dual mode of action. First, in vitro assays revealed that tetramycin directly inhibits M. oryzae mycelial growth. Second, and more critically, it functions as a potent immune elicitor in Oryza sativa. Transcriptome analysis coupled with physiological assays showed that tetramycin treatment triggers a rapid oxidative burst, characterized by significantly elevated activities of key defense enzymes, including superoxide dismutase, peroxidase, phenylalanine ammonia lyase, and polyphenol oxidase (PPO). This oxidative response is further orchestrated through the simultaneous activation of the jasmonic acid (JA) and salicylic acid (SA) signaling pathways, as evidenced by the distinct upregulation of their respective biosynthetic genes and hormone levels. Collectively, these findings indicate that tetramycin not only acts as a direct fungicide but also primes the rice innate immune system via a synergistic reactive oxygen species-JA-SA signaling network, offering a sustainable strategy for rice blast management. Full article
(This article belongs to the Section Molecular Plant Sciences)
Show Figures

Figure 1

10 pages, 3020 KB  
Article
Robotic Capsule Endoscopy: Simultaneous Gastric and Enteric Evaluation in Real-World Practice
by Hélder Cardoso, Miguel Mascarenhas, Joana Mota, Miguel Martins, Maria João Almeida, Joana Frias, Catarina Cardoso Araújo, Francisco Mendes, Margarida Marques, Patrícia Andrade and Guilherme Macedo
Diagnostics 2026, 16(2), 334; https://doi.org/10.3390/diagnostics16020334 - 20 Jan 2026
Viewed by 206
Abstract
Background/Objectives: Robotic capsule endoscopy (RCE) is an emerging technology that combines magnetically controlled gastric navigation with conventional capsule enteroscopy (CE), enabling a minimally invasive, comprehensive evaluation of the upper- and mid-gastrointestinal tract. This study aimed to characterize the real-world implementation and diagnostic [...] Read more.
Background/Objectives: Robotic capsule endoscopy (RCE) is an emerging technology that combines magnetically controlled gastric navigation with conventional capsule enteroscopy (CE), enabling a minimally invasive, comprehensive evaluation of the upper- and mid-gastrointestinal tract. This study aimed to characterize the real-world implementation and diagnostic performance of RCE in a European tertiary referral center. Methods: A retrospective, single-center analysis was conducted on adult patients (≥18 years) who underwent RCE (Omom RC) between June 2023 and July 2025. Eligible patients had a clinical indication for small bowel CE and a concurrent requirement for diagnostic gastroscopy or reassessment of known gastric lesions. The RCE protocol comprised an initial robotic-guided gastric examination followed by passive transit through the small bowel. Results: A total of 85 patients were included (52% female), with a median age of 49 years (IQR 40–64). The most common indications were suspected or established inflammatory bowel disease (57%) and iron deficiency anemia (31%). Gastric preparation was rated at least fair in 98% of cases, with good preparation in 38%. Median gastric transit time was 74 min (IQR 35–106). Relevant gastric findings were identified in 39 cases (46%), namely polyps (18%) and angiectasias (8%, including one with active bleeding), in addition to signs of chronic gastritis. Thirteen patients underwent subsequent endoscopy, resulting in seven therapeutic procedures. Small bowel findings were present in 60 patients (71%), including P3 (active bleeding) in 3% and P2 lesions (angiectasias, ulcers, tumors, varices) in 39%. One moderate adverse event occurred: small bowel capsule retention in a patient with multifocal neuroendocrine tumor and ileostomy, requiring endoscopic intervention. Conclusions: Robotic capsule endoscopy is a feasible tool for dual-region gastrointestinal evaluation. It enables high-quality gastric visualization, facilitates early detection of clinically actionable lesions, and maintains the diagnostic yield expected from standard small bowel CE. These findings support the integration of RCE into diagnostic pathways for patients requiring simultaneous gastric and small bowel assessment. Full article
(This article belongs to the Special Issue Artificial Intelligence and Big Data in Digestive Healthcare)
Show Figures

Figure 1

30 pages, 5018 KB  
Article
The Effect of an Earthquake on the Bearing Characteristics of a Soft-Rock-Embedded Bridge Pile with Sediment
by Xuefeng Ye, Xiaofang Ma, Huijuan Wang and Huina Chen
Buildings 2026, 16(2), 341; https://doi.org/10.3390/buildings16020341 - 14 Jan 2026
Viewed by 140
Abstract
Seismic action significantly affects the mechanical properties and failure characteristics of bridge pile foundations, soft rocks, and sediments. This study, by integrating shaking table tests, numerical simulations, and on-site monitoring, systematically analyzed the influence mechanisms of seismic intensity, sediment characteristics, and pile foundation [...] Read more.
Seismic action significantly affects the mechanical properties and failure characteristics of bridge pile foundations, soft rocks, and sediments. This study, by integrating shaking table tests, numerical simulations, and on-site monitoring, systematically analyzed the influence mechanisms of seismic intensity, sediment characteristics, and pile foundation layout on structural responses. Tests show that the 2.5-layer rock–sand pile exhibits nonlinear bearing degradation under seismic force: when the seismic acceleration increases from 0 to 100 m/s2, the bearing capacity of the pile foundation decreases by 55.3%, and the settlement increases from 3.2 mm to 18.5 mm. When the acceleration is ≥2 m/s2, the cohesion of the sand layer is destroyed, causing a semi-liquefied state. When it is ≥10 m/s2, the resistance loss reaches 80%. The increase in pore water pressure leads to dynamic settlement. When the seismic acceleration is greater than 50 m/s2, the shear modulus of the sand layer drops below 15% of its original value. The thickness of the sediment has a nearly linear relationship with the reduction rate of the bearing capacity. When the thickness increases from 0 to 1.4 cm, the reduction rate rises from 0% to 55.3%. When the thickness exceeds 0.8 cm, it enters the “danger zone”, and the bearing capacity decreases nonlinearly with the increase in thickness. The particle size is positively correlated with the reduction rate. The liquefaction risk of fine particles (<0.1 mm) is significantly higher than that of coarse particles (>0.2 mm). The load analysis of the pile cap shows that when the sediment depth is 140 cm, the final bearing capacity is 156,187.2 kN (reduction coefficient 0.898), and the maximum settlement is concentrated at the top point of the pile cap. Under the longitudinal seismic load of the pile group, the settlement growth rate of the piles containing sediment reached 67.16%, triggering the dual effect of “sediment–earthquake”. The lateral load leads to a combined effect of “torsional inclination”, and the stress at the top of the non-sediment pile reaches 6.41MPa. The seismic intensity (PGA) is positively correlated with the safety factor (FS) (FS increases from 1.209 to 37.654 when 10 m/s2→100 m/s2), while sediment thickness (h) is negatively correlated with FS (FS decreases from 2.510 to 1.209 when 0.05 m→0.20 m). The research results reveal the coupled control mechanism of sediment characteristics, seismic parameters, and pile foundation layout on seismic performance, providing key parameters and an optimization basis for bridge design in high-intensity areas. Full article
(This article belongs to the Section Building Structures)
Show Figures

Figure 1

19 pages, 2823 KB  
Article
Intelligent S-Curve Acceleration and Deceleration Algorithm in High-Precision Servo Motion Control
by Feng Liu, Nian Li, Lei Xiong, Xu Yang, Shaoyu Zhao and Tiansong Zhai
Machines 2026, 14(1), 91; https://doi.org/10.3390/machines14010091 - 13 Jan 2026
Viewed by 298
Abstract
To address the issues of vibration in high-speed machining and the challenge of balancing motion smoothness and precision, this paper proposes a cascade control method based on a single-neuron adaptive PID. The method employs a dual closed-loop structure with a position loop and [...] Read more.
To address the issues of vibration in high-speed machining and the challenge of balancing motion smoothness and precision, this paper proposes a cascade control method based on a single-neuron adaptive PID. The method employs a dual closed-loop structure with a position loop and a speed loop, each regulated by a single-neuron adaptive PI controller. By dynamically adjusting the connection weights of the neurons online, real-time tuning of the proportional and integral parameters is achieved, enabling the system to adaptively regulate the control action. Simulation and experimental results demonstrate that the proposed controller ensures a 100% positioning accuracy across diverse motion scenarios with less than 0.05% relative error, enables effectively smooth motion, and effectively suppresses machine tool vibration caused by acceleration and deceleration processes. This significantly improves the system’s dynamic response and motion smoothness, providing an effective solution for high-speed and high-precision machining control. Full article
(This article belongs to the Section Automation and Control Systems)
Show Figures

Figure 1

24 pages, 4743 KB  
Article
Antifungal Potential of Diaporthe sp. Endophytes from Antillean Avocado Against Fusarium spp.: From Organic Extracts to In Silico Chitin Synthase Inhibition
by Angie T. Robayo-Medina, Katheryn Michell Camargo-Jimenez, Felipe Victoria-Muñoz, Wilman Delgado-Avila, Luis Enrique Cuca and Mónica Ávila-Murillo
J. Fungi 2026, 12(1), 52; https://doi.org/10.3390/jof12010052 - 11 Jan 2026
Viewed by 373
Abstract
Fungal endophytes have emerged as a promising source of bioactive compounds with potent antifungal properties for plant disease management. This study aimed to isolate and characterize fungal endophytes from Antillean avocado (Persea americana var. americana) trees in the Colombian Caribbean, capable [...] Read more.
Fungal endophytes have emerged as a promising source of bioactive compounds with potent antifungal properties for plant disease management. This study aimed to isolate and characterize fungal endophytes from Antillean avocado (Persea americana var. americana) trees in the Colombian Caribbean, capable of producing bio-fungicide metabolites against Fusarium solani and Fusarium equiseti. For this, dual culture assays, liquid-state fermentation of endophytic isolates, and metabolite extractions were conducted. From 88 isolates recovered from leaves and roots, those classified within the Diaporthe genus exhibited the most significant antifungal activity. Some of their organic extracts displayed median inhibitory concentrations (IC50) approaching 200 μg/mL. To investigate the mechanism of action, in silico studies targeting chitin synthase (CS) were performed, including homology models of the pathogens’ CS generated using Robetta, followed by molecular docking with Vina and interaction fingerprint similarity analysis of 15 antifungal metabolites produced by Diaporthe species using PROLIF. A consensus scoring strategy identified diaporxanthone A (12) and diaporxanthone B (13) as the most promising candidates, achieving scores up to 0.73 against F. equiseti, comparable to the control Nikkomycin Z (0.82). These results suggest that Antillean avocado endophytes produce bioactive metabolites that may inhibit fungal cell wall synthesis, offering a sustainable alternative for disease management. Full article
(This article belongs to the Special Issue Biological Control of Fungal Plant Pathogens)
Show Figures

Figure 1

9 pages, 458 KB  
Article
A Novel Combination of Postbiotics and Essential Oil Compounds Supports a Consistent Improvement in Broiler Performance
by Vivek A. Kuttappan, Gregory S. Archer, Yann Fournis and Marc Decoux
Animals 2026, 16(2), 209; https://doi.org/10.3390/ani16020209 - 10 Jan 2026
Viewed by 281
Abstract
Recent innovations in poultry feed technology have emphasized the role of postbiotics and phytogenics as promising strategies to strengthen gut health and improve overall performance in broilers. Within this context, the current study evaluated the effectiveness of Biostrong™ Dual (Cargill Inc., Cedar Rapids, [...] Read more.
Recent innovations in poultry feed technology have emphasized the role of postbiotics and phytogenics as promising strategies to strengthen gut health and improve overall performance in broilers. Within this context, the current study evaluated the effectiveness of Biostrong™ Dual (Cargill Inc., Cedar Rapids, IA, USA), a novel product that integrates Saccharomyces cerevisiae fermentation-derived postbiotic products (SCFPs) with a proprietary blend of essential oil compounds (EOCs). The objective was to determine whether this dual formulation could consistently enhance growth, feed efficiency, and carcass quality across multiple production phases. To test this, three independent trials were conducted using commercial broiler strains. Birds were allocated to either a control group (CON) receiving a basal diet or a treatment group (DUAL) receiving the same diet supplemented with 0.4 kg/MT of Biostrong™ Dual. Each trial employed a randomized block design with 24 replicates per treatment and 16–25 birds per replicate. Results consistently demonstrated that DUAL improved (p < 0.05) body weight and the cumulative feed conversion ratio (cFCR) at 42 days. Pooled analysis revealed body weight gains of 5.5%, a cFCR improvement of 5 points, increased feed intake, and a 0.86% rise in breast meat yield. Additionally, one trial showed reduced footpad lesion scores. Collectively, these findings highlight Biostrong™ Dual as a valuable nutritional intervention to optimize productivity and carcass quality in poultry production and further research is needed to understand the mode of action of the product. Full article
(This article belongs to the Special Issue Novel Feed Additives in Livestock and Poultry Nutrition)
Show Figures

Figure 1

16 pages, 5236 KB  
Article
Intelligent Disassembly System for PCB Components Integrating Multimodal Large Language Model and Multi-Agent Framework
by Li Wang, Liu Ouyang, Huiying Weng, Xiang Chen, Anna Wang and Kexin Zhang
Processes 2026, 14(2), 227; https://doi.org/10.3390/pr14020227 - 8 Jan 2026
Viewed by 293
Abstract
The escalating volume of waste electrical and electronic equipment (WEEE) poses a significant global environmental challenge. The disassembly of printed circuit boards (PCBs), a critical step for resource recovery, remains inefficient due to limitations in the adaptability and dexterity of existing automated systems. [...] Read more.
The escalating volume of waste electrical and electronic equipment (WEEE) poses a significant global environmental challenge. The disassembly of printed circuit boards (PCBs), a critical step for resource recovery, remains inefficient due to limitations in the adaptability and dexterity of existing automated systems. This paper proposes an intelligent disassembly system for PCB components that integrates a multimodal large language model (MLLM) with a multi-agent framework. The MLLM serves as the system’s cognitive core, enabling high-level visual-language understanding and task planning by converting images into semantic descriptions and generating disassembly strategies. A state-of-the-art object detection algorithm (YOLOv13) is incorporated to provide fine-grained component localization. This high-level intelligence is seamlessly connected to low-level execution through a multi-agent framework that orchestrates collaborative dual robotic arms. One arm controls a heater for precise solder melting, while the other performs fine “probing-grasping” actions guided by real-time force feedback. Experiments were conducted on 30 decommissioned smart electricity meter PCBs, evaluating the system on recognition rate, capture rate, melting rate, and time consumption for seven component types. Results demonstrate that the system achieved a 100% melting rate across all components and high recognition rates (90–100%), validating its strengths in perception and thermal control. However, the capture rate varied significantly, highlighting the grasping of small, low-profile components as the primary bottleneck. This research presents a significant step towards autonomous, non-destructive e-waste recycling by effectively combining high-level cognitive intelligence with low-level robotic control, while also clearly identifying key areas for future improvement. Full article
Show Figures

Figure 1

22 pages, 1269 KB  
Article
Probabilistic Power Flow Estimation in Power Grids Considering Generator Frequency Regulation Constraints Based on Unscented Transformation
by Jianghong Chen and Yuanyuan Miao
Energies 2026, 19(2), 301; https://doi.org/10.3390/en19020301 - 7 Jan 2026
Viewed by 193
Abstract
To address active power fluctuations in power grids induced by high renewable energy penetration and overcome the limitations of existing probabilistic power flow (PPF) methods that ignore generator frequency regulation constraints, this paper proposes a segmented stochastic power flow modeling method and an [...] Read more.
To address active power fluctuations in power grids induced by high renewable energy penetration and overcome the limitations of existing probabilistic power flow (PPF) methods that ignore generator frequency regulation constraints, this paper proposes a segmented stochastic power flow modeling method and an efficient analytical framework that incorporates the actions and capacity constraints of regulation units. Firstly, a dual dynamic piecewise linear power injection model is established based on “frequency deviation interval stratification and unit limit-reaching sequence ordering,” clarifying the hierarchical activation sequence of “loads first, followed by conventional units, and finally automatic generation control (AGC) units” along with the coupled adjustment logic upon reaching limits, thereby accurately reflecting the actual frequency regulation process. Subsequently, this model is integrated with the State-Independent Linearized Power Flow (DLPF) model to develop a segmented stochastic power flow framework. For the first time, a deep integration of unscented transformation (UT) and regulation-aware power allocation is achieved, coupled with the Nataf transformation to handle correlations among random variables, forming an analytical framework that balances accuracy and computational efficiency. Case studies on the New England 39-bus system demonstrate that the proposed method yields results highly consistent with those of Monte Carlo simulations while significantly enhancing computational efficiency. The DLPF model is validated to be applicable under scenarios where voltage remains within 0.95–1.05 p.u., and line transmission power does not exceed 85% of rated capacity, exhibiting strong robustness against parameter fluctuations and capacity variations. Furthermore, the method reveals voltage distribution patterns in wind-integrated power systems, providing reliable support for operational risk assessment in grids with high shares of renewable energy. Full article
Show Figures

Figure 1

18 pages, 3990 KB  
Article
Novel Garlic Carbon Dot-Incorporated Starch Whey Protein Emulsion Gel for Apple Spoilage Sensing
by Hebat-Allah S. Tohamy
Gels 2026, 12(1), 47; https://doi.org/10.3390/gels12010047 - 1 Jan 2026
Viewed by 437
Abstract
This study presents the development of a smart packaging material utilizing garlic-derived nitrogen-doped carbon dots (CDs) integrated into a whey protein–starch (WP-S) emulsion. The research aimed to create a real-time, non-invasive biosensor capable of detecting microbial spoilage. The synthesized CDs demonstrated strong pH-sensitive [...] Read more.
This study presents the development of a smart packaging material utilizing garlic-derived nitrogen-doped carbon dots (CDs) integrated into a whey protein–starch (WP-S) emulsion. The research aimed to create a real-time, non-invasive biosensor capable of detecting microbial spoilage. The synthesized CDs demonstrated strong pH-sensitive photoluminescence, exhibiting distinct changes in CIE coordinates and fluorescence intensity in response to varying pH values. The WP-S-CDs emulsion was tested against E. coli, S. aureus, and C. albicans. The results showed that the composite film provided a clear colorimetric shift and fluorescence quenching, both of which are directly correlated with microbial metabolic activity. The physical and electronic properties of the composite were investigated to understand the sensing mechanism. Scanning electron microscopy (SEM) of the dried film revealed that the WP-S-CDs system formed a more porous structure with larger pore sizes (3.63–8.18 µm) compared to the control WP-S film (1.62–6.52 µm), which facilitated the rapid diffusion of microbial metabolites. Additionally, density functional theory (DFT) calculations demonstrated that the incorporation of CDs significantly enhanced the composite’s electronic properties by reducing its band gap and increasing its dipole moment, thereby heightening its reactivity and sensitivity to spoilage byproducts. In a practical application on apples, the WP-S-CDs coating produced a visible red spot, confirming its function as a dynamic sensor. The material also showed a dual-action antimicrobial effect, synergistically inhibiting C. albicans while exhibiting an antagonistic effect against bacteria. These findings validate the potential of the WP-S-CDs emulsion as a powerful, multi-faceted intelligent packaging system for food quality monitoring. Full article
(This article belongs to the Special Issue Hydrogels for Food Safety and Sensing Applications)
Show Figures

Graphical abstract

16 pages, 8994 KB  
Article
Enhancing GNN Explanations for Malware Detection with Dual Subgraph Matching
by Hossein Shokouhinejad, Roozbeh Razavi-Far, Griffin Higgins and Ali A. Ghorbani
Mach. Learn. Knowl. Extr. 2026, 8(1), 2; https://doi.org/10.3390/make8010002 - 21 Dec 2025
Viewed by 568
Abstract
The increasing sophistication of malware has challenged the effectiveness of conventional detection techniques, motivating the adoption of Graph Neural Networks (GNNs) for their ability to model the structural and semantic information embedded in control flow graphs. While GNNs offer high detection performance, their [...] Read more.
The increasing sophistication of malware has challenged the effectiveness of conventional detection techniques, motivating the adoption of Graph Neural Networks (GNNs) for their ability to model the structural and semantic information embedded in control flow graphs. While GNNs offer high detection performance, their lack of transparency limits their applicability in security-critical domains. To address this, we present an explainable malware detection framework, which contains a dual explainer. This dual explainer integrates a GNN explainer with a neural subgraph matching approach and the VF2 algorithm. The proposed method identifies and verifies discriminative subgraphs during training, which are later used to explain new predictions through efficient matching. To enhance the generalization of the neural subgraph matcher, we train it using curriculum learning, gradually increasing subgraph complexity to improve matching quality. Experimental evaluations on benchmark datasets demonstrate that the proposed framework retains high classification accuracy while significantly improving interpretability. By unifying explainable graph learning techniques with subgraph matching, the proposed framework enables analysts to gain actionable insights, fostering greater trust in GNN-based malware detectors. Full article
Show Figures

Graphical abstract

Back to TopTop