Sign in to use this feature.

Years

Between: -

Subjects

remove_circle_outline
remove_circle_outline
remove_circle_outline
remove_circle_outline
remove_circle_outline
remove_circle_outline
remove_circle_outline
remove_circle_outline

Journals

Article Types

Countries / Regions

Search Results (28)

Search Parameters:
Keywords = drift artifacts

Order results
Result details
Results per page
Select all
Export citation of selected articles as:
28 pages, 7790 KB  
Article
A Hybrid Deep Learning Framework for Fault Diagnosis in Milling Machines
by Muhammad Farooq Siddique, Wasim Zaman, Muhammad Umar, Jae-Young Kim and Jong-Myon Kim
Sensors 2025, 25(18), 5866; https://doi.org/10.3390/s25185866 - 19 Sep 2025
Viewed by 277
Abstract
This paper presents a hybrid fault-diagnosis framework for milling cutting tools designed to address three persistent challenges in industrial monitoring: noisy vibration signals, limited fault labels, and variability across operating conditions. The framework begins by removing baseline drift from raw signals to improve [...] Read more.
This paper presents a hybrid fault-diagnosis framework for milling cutting tools designed to address three persistent challenges in industrial monitoring: noisy vibration signals, limited fault labels, and variability across operating conditions. The framework begins by removing baseline drift from raw signals to improve the signal-to-noise ratio. Logarithmic continuous wavelet scalograms are then constructed to provide precise time-frequency localization and reveal fault-related harmonics. To enhance feature clarity, a Canny edge operator is applied, suppressing minor artifacts and reducing intra-class variation so that key diagnostic structures are emphasized. Feature representation is obtained through a dual-branch encoder, where one pathway captures localized patterns while the other preserves long-range dependencies, resulting in compact and discriminative fault descriptors. These descriptors are integrated by an ensemble decision mechanism that assigns validation-guided weights to individual learners, ensuring reliable fault identification, improved robustness under noise, and stable performance across diverse operating conditions. Experimental validation on real-world cutting tool data demonstrates an accuracy of 99.78%, strong resilience to environmental noise, and consistent diagnostic performance under variable conditions. The framework remains lightweight, scalable, and readily deployable, providing a practical solution for high-precision tool fault diagnosis in data-constrained industrial environments. Full article
Show Figures

Figure 1

22 pages, 8319 KB  
Article
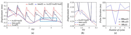
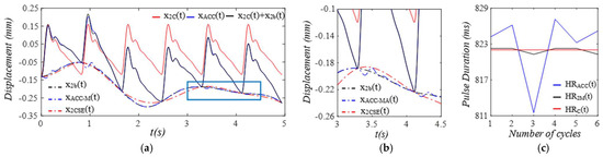
An Analytical Model of Motion Artifacts in a Measured Arterial Pulse Signal—Part I: Accelerometers and PPG Sensors
by Md Mahfuzur Rahman, Subodh Toraskar, Mamun Hasan and Zhili Hao
Sensors 2025, 25(18), 5710; https://doi.org/10.3390/s25185710 - 12 Sep 2025
Viewed by 399
Abstract
This paper, the first of two parts, presents an analytical model of motion artifacts (MAs) in measured pulse signals by accelerometers and photoplethysmography (PPG) sensors. As the transmission path from the true pulse signal in an artery to the sensor output (measured pulse [...] Read more.
This paper, the first of two parts, presents an analytical model of motion artifacts (MAs) in measured pulse signals by accelerometers and photoplethysmography (PPG) sensors. As the transmission path from the true pulse signal in an artery to the sensor output (measured pulse signal), the tissue–contact–sensor (TCS) stack is modeled as a 1DOF (degree-of-freedom) system. MAs cause baseline drift of the mass and simultaneously time-varying system parameters (TVSPs) of the TCS stack. With arterial wall displacement and pulsatile pressure serving separately as the true pulse signal, an analytical model is developed to mathematically relate baseline drift and TVSP to a measured pulse signal. With assumed values of baseline drift and TVSPs, the numerical calculation is conducted in MATLAB. While baseline drift is low-frequency additive noise and can greatly swing a measured pulse signal, TVSP generates relatively small, abrupt distortion (e.g., 1% variation in heart rate and <5% change in pulse amplitude) but rides on each harmonic of the true pulse signal. By taking into account the full involvement of the transmission path in pulse measurement, this analytical model serves as a fundamental framework for quantifying baseline drift and TVSPs from a measured pulse signal in the future. Full article
(This article belongs to the Special Issue Biosignal Sensing Analysis (EEG, EMG, ECG, PPG) (2nd Edition))
Show Figures

Figure 1

16 pages, 6680 KB  
Article
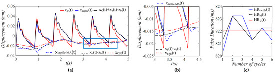
An Analytical Model of Motion Artifacts in a Measured Arterial Pulse Signal—Part II: Tactile Sensors
by Md Mahfuzur Rahman, Subodh Toraskar, Mamun Hasan and Zhili Hao
Sensors 2025, 25(18), 5700; https://doi.org/10.3390/s25185700 - 12 Sep 2025
Viewed by 313
Abstract
This paper, the second of two parts, presents an analytical model of motion artifacts (MA) in measured pulse signals by a tactile sensor, which contains a deformable microstructure sitting on a substrate. While the tissue-contact-sensor (TCS) stack and the sensor are both treated [...] Read more.
This paper, the second of two parts, presents an analytical model of motion artifacts (MA) in measured pulse signals by a tactile sensor, which contains a deformable microstructure sitting on a substrate. While the tissue-contact-sensor (TCS) stack and the sensor are both treated as a 1DOF (degree-of-freedom) system, tissue–sensor contact joins their mass together to form a 1DOF system with springs and dampers on both sides. MA on the sensor substrate causes baseline drift and time-varying system parameters (TVSP) of the TCS stack simultaneously. An analytical model is developed to mathematically relate baseline drift and TVSP to a measured pulse signal. The numerical calculation is conducted in MATLAB. Baseline drift in a measured pulse signal is much lower than the actual MA in its measurement. As compared to baseline drift, TVSP generates relatively abrupt, small distortion (e.g., 0.2% variation in heart rate and <5% change in pulse amplitude), but it rides on each harmonic of the true pulse signal. Sensor design alters both the deviation of the amplitude and waveform of a measured pulse signal from the true pulse signal and the influence of MA on it. Full article
(This article belongs to the Special Issue Biosignal Sensing Analysis (EEG, EMG, ECG, PPG) (2nd Edition))
Show Figures

Figure 1

22 pages, 4751 KB  
Article
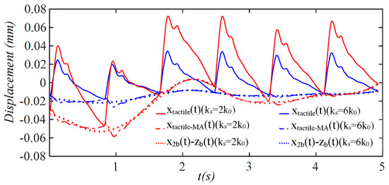
Motion Artifacts (MA) At-Rest in Measured Arterial Pulse Signals: Time-Varying Amplitude in Each Harmonic and Non-Flat Harmonic-MA-Coupled Baseline
by MD Mahfuzur Rahman, Mamun Hasan and Zhili Hao
Biosensors 2025, 15(9), 578; https://doi.org/10.3390/bios15090578 - 4 Sep 2025
Viewed by 397
Abstract
Motion artifacts (MA) cause great variability in a measured arterial pulse signal, and treatment of MA solely as a baseline drift (BD) fails to eliminate its effect on the measured signal. This paper presents a study on the effect of MA at rest [...] Read more.
Motion artifacts (MA) cause great variability in a measured arterial pulse signal, and treatment of MA solely as a baseline drift (BD) fails to eliminate its effect on the measured signal. This paper presents a study on the effect of MA at rest (<0.7 Hz) on measured arterial pulse signals using a microfluidic-based tactile sensor. By taking full account of the dynamic behavior of the transmission path from the true pulse signal in an artery to a measured pulse signal at the sensor, the tissue-contact-sensor (TCS) stack, an analytical model of MA in a measured pulse signal is developed. In this model, the TCS stack is treated as a 1DOF system for its dynamic behavior; MA is quantified as the displacement (i.e., BD) and time-varying system parameters (TVSP) of the TCS stack. The mathematical expression of MA in a measured pulse signal reveals that while BD remains as low-frequency additive noise, TVSP causes time-varying harmonics in a measured pulse signal. Further time-frequency analysis (TFA) of measured pulse signals validates the existence of TVSP and, for the first time, reveals its effect on a measured pulse signal: time-varying amplitude in each harmonic and non-flat harmonic-MA-coupled baseline. Full article
(This article belongs to the Special Issue Biosensors Based on Microfluidic Devices—2nd Edition)
Show Figures

Figure 1

12 pages, 1965 KB  
Article
Quantifying Influence of Beam Drift on Linear Retardance Measurement in Dual-Rotating Retarder Mueller Matrix Polarimetry
by Kaisha Deng, Nan Zeng, Liangyu Deng, Shaoxiong Liu, Hui Ma, Chao He and Honghui He
Photonics 2025, 12(9), 868; https://doi.org/10.3390/photonics12090868 - 28 Aug 2025
Viewed by 455
Abstract
Mueller matrix polarimetry is recently attracting more and more attention for its diagnostic potentials. However, for prevalently used division of time Mueller matrix polarimeter based on dual-rotating retarder scheme, beam drift induced by rotating polarizers and waveplates introduces spatial misalignment and pseudo-edge artifacts [...] Read more.
Mueller matrix polarimetry is recently attracting more and more attention for its diagnostic potentials. However, for prevalently used division of time Mueller matrix polarimeter based on dual-rotating retarder scheme, beam drift induced by rotating polarizers and waveplates introduces spatial misalignment and pseudo-edge artifacts in imaging results, hindering following accurate microstructural features characterization. In this paper, we quantitatively analyze the beam drift phenomenon in dual-rotating retarder Mueller matrix microscopy and its impact on linear retardance measurement, which is frequently used to reflect tissue fiber arrangement. It is demonstrated that polarizer rotation induces larger beam drift than waveplate rotation due to surface non-uniformity and stress deformation. Furthermore, for waveplates rotated constantly in dual-rotating retarder scheme, their tilt within polarization state analyzer can result in more drift and throughput loss than those within polarization state generator. Finally, phantom and tissue experiments confirm that beam drift, rather than inherent optical path changes, dominates the systematic overestimation of linear retardance in boundary image regions. The findings highlight beam drift as a dominant error source for quantifying linear retardance, necessitating careful optical design alignment and a reliable registration algorithm to obtain highly accurate polarization data for training machine learning models of pathological diagnosis using Mueller matrix microscopy. Full article
Show Figures

Figure 1

29 pages, 1052 KB  
Review
Prediction of Soil Properties Using Vis-NIR Spectroscopy Combined with Machine Learning: A Review
by Su Kyeong Shin, Seung Jun Lee and Jin Hee Park
Sensors 2025, 25(16), 5045; https://doi.org/10.3390/s25165045 - 14 Aug 2025
Viewed by 1715
Abstract
Stable crop yields require an appropriate supply of essential soil nutrients such as nitrogen (N), phosphorus (P), and potassium (K) based on the accurate diagnosis of soil nutrient status. Traditional laboratory analysis of soil nutrients is often complicated and time-consuming and does not [...] Read more.
Stable crop yields require an appropriate supply of essential soil nutrients such as nitrogen (N), phosphorus (P), and potassium (K) based on the accurate diagnosis of soil nutrient status. Traditional laboratory analysis of soil nutrients is often complicated and time-consuming and does not provide real-time nutrient status. Visible–near-infrared (Vis-NIR) spectroscopy has emerged as a non-destructive and rapid method for estimating soil nutrient levels. Vis-NIR spectra reflect sample characteristics as the peak intensities; however, they are often affected by various artifacts and complex variables. Since Vis-NIR spectroscopy does not directly measure nutrient levels in soil, improving estimation accuracy is essential. For spectral preprocessing, the most important aspect is to develop an appropriate preprocessing strategy based on the characteristics of the data and identify artifacts such as noise, baseline drift, and scatter in the spectral data. Machine learning-based modeling techniques such as partial least-squares regression (PLSR) and support vector machine regression (SVMR) enhance estimation accuracy by capturing complex patterns of spectral data. Therefore, this review focuses on the use of Vis-NIR spectroscopy for evaluating soil properties including soil water content, organic carbon (C), and nutrients and explores its potential for real-time field application through spectral preprocessing and machine learning algorithms. Vis-NIR spectroscopy combined with machine learning is expected to enable more efficient and site-specific nutrient management, thereby contributing to sustainable agricultural practices. Full article
Show Figures

Figure 1

21 pages, 9379 KB  
Article
UDirEar: Heading Direction Tracking with Commercial UWB Earbud by Interaural Distance Calibration
by Minseok Kim, Younho Nam, Jinyou Kim and Young-Joo Suh
Electronics 2025, 14(15), 2940; https://doi.org/10.3390/electronics14152940 - 23 Jul 2025
Viewed by 554
Abstract
Accurate heading direction tracking is essential for immersive VR/AR, spatial audio rendering, and robotic navigation. Existing IMU-based methods suffer from drift and vibration artifacts, vision-based approaches require LoS and raise privacy concerns, and RF techniques often need dedicated infrastructure. We propose UDirEar, a [...] Read more.
Accurate heading direction tracking is essential for immersive VR/AR, spatial audio rendering, and robotic navigation. Existing IMU-based methods suffer from drift and vibration artifacts, vision-based approaches require LoS and raise privacy concerns, and RF techniques often need dedicated infrastructure. We propose UDirEar, a COTS UWB device-based system that estimates user heading using solely high-level UWB information like distance and unit direction. By initializing an EKF with each user’s constant interaural distance, UDirEar compensates for the earbuds’ roto-translational motion without additional sensors. We evaluate UDirEar on a step-motor-driven dummy head against an IMU-only baseline (MAE 30.8°), examining robustness across dummy head–initiator distances, elapsed time, EKF calibration conditions, and NLoS scenarios. UDirEar achieves a mean absolute error of 3.84° and maintains stable performance under all tested conditions. Full article
(This article belongs to the Special Issue Wireless Sensor Network: Latest Advances and Prospects)
Show Figures

Figure 1

17 pages, 3854 KB  
Article
Research on Signal Processing Algorithms Based on Wearable Laser Doppler Devices
by Yonglong Zhu, Yinpeng Fang, Jinjiang Cui, Jiangen Xu, Minghang Lv, Tongqing Tang, Jinlong Ma and Chengyao Cai
Electronics 2025, 14(14), 2761; https://doi.org/10.3390/electronics14142761 - 9 Jul 2025
Viewed by 398
Abstract
Wearable laser Doppler devices are susceptible to complex noise interferences, such as Gaussian white noise, baseline drift, and motion artifacts, with motion artifacts significantly impacting clinical diagnostic accuracy. Addressing the limitations of existing denoising methods—including traditional adaptive filtering that relies on prior noise [...] Read more.
Wearable laser Doppler devices are susceptible to complex noise interferences, such as Gaussian white noise, baseline drift, and motion artifacts, with motion artifacts significantly impacting clinical diagnostic accuracy. Addressing the limitations of existing denoising methods—including traditional adaptive filtering that relies on prior noise information, modal decomposition techniques that depend on empirical parameter optimization and are prone to modal aliasing, wavelet threshold functions that struggle to balance signal preservation with smoothness, and the high computational complexity of deep learning approaches—this paper proposes an ISSA-VMD-AWPTD denoising algorithm. This innovative approach integrates an improved sparrow search algorithm (ISSA), variational mode decomposition (VMD), and adaptive wavelet packet threshold denoising (AWPTD). The ISSA is enhanced through cubic chaotic mapping, butterfly optimization, and sine–cosine search strategies, targeting the minimization of the envelope entropy of modal components for adaptive optimization of VMD’s decomposition levels and penalty factors. A correlation coefficient-based selection mechanism is employed to separate target and mixed modes effectively, allowing for the efficient removal of noise components. Additionally, an exponential adaptive threshold function is introduced, combining wavelet packet node energy proportion analysis to achieve efficient signal reconstruction. By leveraging the rapid convergence property of ISSA (completing parameter optimization within five iterations), the computational load of traditional VMD is reduced while maintaining the denoising accuracy. Experimental results demonstrate that for a 200 Hz test signal, the proposed algorithm achieves a signal-to-noise ratio (SNR) of 24.47 dB, an improvement of 18.8% over the VMD method (20.63 dB), and a root-mean-square-error (RMSE) of 0.0023, a reduction of 69.3% compared to the VMD method (0.0075). The processing results for measured human blood flow signals achieve an SNR of 24.11 dB, a RMSE of 0.0023, and a correlation coefficient (R) of 0.92, all outperforming other algorithms, such as VMD and WPTD. This study effectively addresses issues related to parameter sensitivity and incomplete noise separation in traditional methods, providing a high-precision and low-complexity real-time signal processing solution for wearable devices. However, the parameter optimization still needs improvement when dealing with large datasets. Full article
Show Figures

Figure 1

17 pages, 7292 KB  
Article
QP-Adaptive Dual-Path Residual Integrated Frequency Transformer for Data-Driven In-Loop Filter in VVC
by Cheng-Hsuan Yeh, Chi-Ting Ni, Kuan-Yu Huang, Zheng-Wei Wu, Cheng-Pin Peng and Pei-Yin Chen
Sensors 2025, 25(13), 4234; https://doi.org/10.3390/s25134234 - 7 Jul 2025
Viewed by 540
Abstract
As AI-enabled embedded systems such as smart TVs and edge devices demand efficient video processing, Versatile Video Coding (VVC/H.266) becomes essential for bandwidth-constrained Multimedia Internet of Things (M-IoT) applications. However, its block-based coding often introduces compression artifacts. While CNN-based methods effectively reduce these [...] Read more.
As AI-enabled embedded systems such as smart TVs and edge devices demand efficient video processing, Versatile Video Coding (VVC/H.266) becomes essential for bandwidth-constrained Multimedia Internet of Things (M-IoT) applications. However, its block-based coding often introduces compression artifacts. While CNN-based methods effectively reduce these artifacts, maintaining robust performance across varying quantization parameters (QPs) remains challenging. Recent QP-adaptive designs like QA-Filter show promise but are still limited. This paper proposes DRIFT, a QP-adaptive in-loop filtering network for VVC. DRIFT combines a lightweight frequency fusion CNN (LFFCNN) for local enhancement and a Swin Transformer-based global skip connection for capturing long-range dependencies. LFFCNN leverages octave convolution and introduces a novel residual block (FFRB) that integrates multiscale extraction, QP adaptivity, frequency fusion, and spatial-channel attention. A QP estimator (QPE) is further introduced to mitigate double enhancement in inter-coded frames. Experimental results demonstrate that DRIFT achieves BD rate reductions of 6.56% (intra) and 4.83% (inter), with an up to 10.90% gain on the BasketballDrill sequence. Additionally, LFFCNN reduces the model size by 32% while slightly improving the coding performance over QA-Filter. Full article
(This article belongs to the Special Issue Multimodal Sensing Technologies for IoT and AI-Enabled Systems)
Show Figures

Figure 1

16 pages, 8416 KB  
Article
DIN-SLAM: Neural Radiance Field-Based SLAM with Depth Gradient and Sparse Optical Flow for Dynamic Interference Resistance
by Tianzi Zhang, Zhaoyang Xia, Mingrui Li and Lirong Zheng
Electronics 2025, 14(8), 1632; https://doi.org/10.3390/electronics14081632 - 17 Apr 2025
Cited by 2 | Viewed by 1469
Abstract
The neural implicit SLAM system performs excellently in static environments, offering higher-quality rendering and scene reconstruction capabilities compared to traditional dense SLAM. However, in dynamic real-world scenes, these systems often experience tracking drift and mapping errors. To address these problems, we suggest DIN-SLAM, [...] Read more.
The neural implicit SLAM system performs excellently in static environments, offering higher-quality rendering and scene reconstruction capabilities compared to traditional dense SLAM. However, in dynamic real-world scenes, these systems often experience tracking drift and mapping errors. To address these problems, we suggest DIN-SLAM, a dynamic scene neural implicit SLAM system based on optical flow and depth gradient verification. DIN-SLAM combines depth gradients, optical flow, and motion consistency to achieve robust filtering of dynamic pixels, while optimizing dynamic feature points through optical flow registration to enhance tracking accuracy. The system also introduces a dynamic scene optimization strategy that utilizes photometric consistency loss, depth gradient loss, motion consistency constraints, and edge matching constraints to improve geometric consistency and reconstruction performance in dynamic environments. To reduce the interference of dynamic objects on scene reconstruction and eliminate artifacts in scene updates, we propose a targeted rendering and ray sampling strategy based on local feature counts, effectively mitigating the impact of dynamic object occlusions on reconstruction. Our method supports multiple sensor inputs, including pure RGB and RGB-D. The experimental results demonstrate that our approach consistently outperforms state-of-the-art baseline methods, achieving an 83.4% improvement in Absolute Trajectory Error Root Mean Square Error (ATE RMSE), a 91.7% enhancement in Peak Signal-to-Noise Ratio (PSNR), and the elimination of artifacts caused by dynamic interference. These enhancements significantly boost the performance of tracking and mapping in dynamic scenes. Full article
Show Figures

Figure 1

27 pages, 6755 KB  
Article
Fusing LiDAR and Photogrammetry for Accurate 3D Data: A Hybrid Approach
by Rytis Maskeliūnas, Sarmad Maqsood, Mantas Vaškevičius and Julius Gelšvartas
Remote Sens. 2025, 17(3), 443; https://doi.org/10.3390/rs17030443 - 28 Jan 2025
Cited by 2 | Viewed by 3828
Abstract
The fusion of LiDAR and photogrammetry point clouds is a necessary advancement in 3D-modeling, enabling more comprehensive and accurate representations of physical environments. The main contribution of this paper is the development of an innovative fusion system that combines classical algorithms, such as [...] Read more.
The fusion of LiDAR and photogrammetry point clouds is a necessary advancement in 3D-modeling, enabling more comprehensive and accurate representations of physical environments. The main contribution of this paper is the development of an innovative fusion system that combines classical algorithms, such as Structure from Motion (SfM), with advanced machine learning techniques, like Coherent Point Drift (CPD) and Feature-Metric Registration (FMR), to improve point cloud alignment and fusion. Experimental results, using a custom dataset of real-world scenes, demonstrate that the hybrid fusion method achieves an average error of less than 5% in the measurements of small reconstructed objects, with large objects showing less than 2% deviation from real sizes. The fusion process significantly improved structural continuity, reducing artifacts like edge misalignments. The k-nearest neighbors (kNN) analysis showed high reconstruction accuracy for the hybrid approach, demonstrating that the hybrid fusion system, particularly when combining machine learning-based refinement with traditional alignment methods, provides a notable advancement in both geometric accuracy and computational efficiency for real-time 3D-modeling applications. Full article
(This article belongs to the Special Issue Advancements in LiDAR Technology and Applications in Remote Sensing)
Show Figures

Figure 1

16 pages, 7537 KB  
Article
An Algorithm for Initial Localization of Feature Waveforms Based on Differential Analysis Parameter Setting and Its Application in Clinical Electrocardiograms
by Tongnan Xia, Bei Wang, Enruo Huang, Yijiang Du, Laiwu Zhang, Ming Liu, Chin-Chen Chang and Yaojie Sun
Electronics 2024, 13(15), 2996; https://doi.org/10.3390/electronics13152996 - 29 Jul 2024
Viewed by 1022
Abstract
In a biological signal analysis system, signals of the same type may exhibit significant variations in their feature waveforms. Biological signals are typically weak, which increases the complexity of their analysis. Furthermore, clinical biomedical signals are susceptible to various interferences from the human [...] Read more.
In a biological signal analysis system, signals of the same type may exhibit significant variations in their feature waveforms. Biological signals are typically weak, which increases the complexity of their analysis. Furthermore, clinical biomedical signals are susceptible to various interferences from the human body itself, including muscle movements, respiration, and heartbeat. These interference factors further escalate the complexity and difficulty of signal analysis. Therefore, precise and targeted preprocessing is often required before analyzing these clinical biomedical signals to enhance the accuracy and reliability of subsequent feature extraction and classification. Here, we have established an effective and practical algorithm model that integrates preprocessing with the initial localization of target feature waveforms, achieving the following four objectives: 1. Determining the periodic positions of target feature waveforms. 2. Preserving the original amplitude and shape of target feature waveforms while eliminating negative interference. 3. Reducing or eliminating interference from other feature waveforms in the input signal. 4. Decreasing noise in the input signal, such as baseline drift, powerline interference, and muscle artifacts commonly found in biological signals. We have validated the algorithm on clinical electrocardiogram (ECG) data and the authoritative MIT-BIH open-source ECG database demonstrating its effectiveness and reliability. Full article
Show Figures

Figure 1

12 pages, 2883 KB  
Article
Hybrid Integrated Wearable Patch for Brain EEG-fNIRS Monitoring
by Boyu Li, Mingjie Li, Jie Xia, Hao Jin, Shurong Dong and Jikui Luo
Sensors 2024, 24(15), 4847; https://doi.org/10.3390/s24154847 - 25 Jul 2024
Cited by 3 | Viewed by 4271
Abstract
Synchronous monitoring electroencephalogram (EEG) and functional near-infrared spectroscopy (fNIRS) have received significant attention in brain science research for their provision of more information on neuro-loop interactions. There is a need for an integrated hybrid EEG-fNIRS patch to synchronously monitor surface EEG and deep [...] Read more.
Synchronous monitoring electroencephalogram (EEG) and functional near-infrared spectroscopy (fNIRS) have received significant attention in brain science research for their provision of more information on neuro-loop interactions. There is a need for an integrated hybrid EEG-fNIRS patch to synchronously monitor surface EEG and deep brain fNIRS signals. Here, we developed a hybrid EEG-fNIRS patch capable of acquiring high-quality, co-located EEG and fNIRS signals. This patch is wearable and provides easy cognition and emotion detection, while reducing the spatial interference and signal crosstalk by integration, which leads to high spatial–temporal correspondence and signal quality. The modular design of the EEG-fNIRS acquisition unit and optimized mechanical design enables the patch to obtain EEG and fNIRS signals at the same location and eliminates spatial interference. The EEG pre-amplifier on the electrode side effectively improves the acquisition of weak EEG signals and significantly reduces input noise to 0.9 μVrms, amplitude distortion to less than 2%, and frequency distortion to less than 1%. Detrending, motion correction algorithms, and band-pass filtering were used to remove physiological noise, baseline drift, and motion artifacts from the fNIRS signal. A high fNIRS source switching frequency configuration above 100 Hz improves crosstalk suppression between fNIRS and EEG signals. The Stroop task was carried out to verify its performance; the patch can acquire event-related potentials and hemodynamic information associated with cognition in the prefrontal area. Full article
(This article belongs to the Special Issue Sensors for Physiological Monitoring and Digital Health)
Show Figures

Figure 1

19 pages, 1902 KB  
Article
A Fusion Algorithm Based on a Constant Velocity Model for Improving the Measurement of Saccade Parameters with Electrooculography
by Palpolage Don Shehan Hiroshan Gunawardane, Raymond Robert MacNeil, Leo Zhao, James Theodore Enns, Clarence Wilfred de Silva and Mu Chiao
Sensors 2024, 24(2), 540; https://doi.org/10.3390/s24020540 - 15 Jan 2024
Cited by 2 | Viewed by 2225
Abstract
Electrooculography (EOG) serves as a widely employed technique for tracking saccadic eye movements in a diverse array of applications. These encompass the identification of various medical conditions and the development of interfaces facilitating human–computer interaction. Nonetheless, EOG signals are often met with skepticism [...] Read more.
Electrooculography (EOG) serves as a widely employed technique for tracking saccadic eye movements in a diverse array of applications. These encompass the identification of various medical conditions and the development of interfaces facilitating human–computer interaction. Nonetheless, EOG signals are often met with skepticism due to the presence of multiple sources of noise interference. These sources include electroencephalography, electromyography linked to facial and extraocular muscle activity, electrical noise, signal artifacts, skin-electrode drifts, impedance fluctuations over time, and a host of associated challenges. Traditional methods of addressing these issues, such as bandpass filtering, have been frequently utilized to overcome these challenges but have the associated drawback of altering the inherent characteristics of EOG signals, encompassing their shape, magnitude, peak velocity, and duration, all of which are pivotal parameters in research studies. In prior work, several model-based adaptive denoising strategies have been introduced, incorporating mechanical and electrical model-based state estimators. However, these approaches are really complex and rely on brain and neural control models that have difficulty processing EOG signals in real time. In this present investigation, we introduce a real-time denoising method grounded in a constant velocity model, adopting a physics-based model-oriented approach. This approach is underpinned by the assumption that there exists a consistent rate of change in the cornea-retinal potential during saccadic movements. Empirical findings reveal that this approach remarkably preserves EOG saccade signals, resulting in a substantial enhancement of up to 29% in signal preservation during the denoising process when compared to alternative techniques, such as bandpass filters, constant acceleration models, and model-based fusion methods. Full article
Show Figures

Figure 1

15 pages, 3852 KB  
Article
Multiscale Dense U-Net: A Fast Correction Method for Thermal Drift Artifacts in Laboratory NanoCT Scans of Semi-Conductor Chips
by Mengnan Liu, Yu Han, Xiaoqi Xi, Linlin Zhu, Shuangzhan Yang, Siyu Tan, Jian Chen, Lei Li and Bin Yan
Entropy 2022, 24(7), 967; https://doi.org/10.3390/e24070967 - 13 Jul 2022
Cited by 4 | Viewed by 2294
Abstract
The resolution of 3D structure reconstructed by laboratory nanoCT is often affected by changes in ambient temperature. Although correction methods based on projection alignment have been widely used, they are time-consuming and complex. Especially in piecewise samples (e.g., chips), the existing methods are [...] Read more.
The resolution of 3D structure reconstructed by laboratory nanoCT is often affected by changes in ambient temperature. Although correction methods based on projection alignment have been widely used, they are time-consuming and complex. Especially in piecewise samples (e.g., chips), the existing methods are semi-automatic because the projections lose attenuation information at some rotation angles. Herein, we propose a fast correction method that directly processes the reconstructed slices. Thus, the limitations of the existing methods are addressed. The method is named multiscale dense U-Net (MD-Unet), which is based on MIMO-Unet and achieves state-of-the-art artifacts correction performance in nanoCT. Experiments show that MD-Unet can significantly boost the correction performance (e.g., with three orders of magnitude improvement in correction speed compared with traditional methods), and MD-Unet+ improves 0.92 dB compared with MIMO-Unet in the chip dataset. Full article
(This article belongs to the Topic Machine and Deep Learning)
Show Figures

Figure 1

Back to TopTop