Sign in to use this feature.

Years

Between: -

Subjects

remove_circle_outline
remove_circle_outline
remove_circle_outline
remove_circle_outline
remove_circle_outline
remove_circle_outline

Journals

Article Types

Countries / Regions

Search Results (10)

Search Parameters:
Keywords = dividing flow manifold

Order results
Result details
Results per page
Select all
Export citation of selected articles as:
7 pages, 1992 KB  
Proceeding Paper
Nonlinear Identification of the Suction Manifold of a Supermarket Refrigeration System Using Wavelet Networks
by Adesola Temitope Bankole, Habeeb Bello-Salau and Zaharuddeen Haruna
Eng. Proc. 2024, 67(1), 37; https://doi.org/10.3390/engproc2024067037 - 10 Sep 2024
Cited by 2 | Viewed by 695
Abstract
The dynamics of the suction manifold of a high-fidelity simulation benchmark model of a modified supermarket refrigeration system created in MATLAB 2024a and Simulink 2024a is modeled using a nonlinear system identification technique. The original model consists of a cold storage room, three [...] Read more.
The dynamics of the suction manifold of a high-fidelity simulation benchmark model of a modified supermarket refrigeration system created in MATLAB 2024a and Simulink 2024a is modeled using a nonlinear system identification technique. The original model consists of a cold storage room, three open display cases, the suction manifold, and the compressor rack. Since open display cases are less energy-efficient, they were removed, while the cold storage room with a door was used for simulation. The suction manifold model has two outputs: the suction pressure and the compressor’s power consumption; and it has three inputs: the mass flow of refrigerant, the ambient temperature, and the compressor capacity. A fourteen-day simulation was carried out, and synthetic data were generated from the input and output data of the simulation model. These data were divided into estimation data and validation data. Wavelet networks were then utilized to estimate and validate a nonlinear ARX model. The comparison between the estimation data and the validation data shows a goodness of fit of 87.8% for the suction pressure and 100% for the compressor power, with a simulation focus. The 100% fit for the compressor power occurred because wavelet networks provide excellent identification for nonlinear static systems and the compressor power response was based on static modeling assumption while the suction pressure response was based on dynamic modeling assumption. The data-driven identified model of the suction manifold was stable and robust and could handle strong nonlinearities of the input and output variables when used to replace the Simulink model of the suction manifold subsystem in the simulation benchmark. The simulation results clearly demonstrate how complex refrigeration system subsystems can be replaced with simpler and data-compliant data-driven models. Full article
(This article belongs to the Proceedings of The 3rd International Electronic Conference on Processes)
Show Figures

Figure 1

17 pages, 34585 KB  
Article
A Thermal Hydrodynamic Model for Emulsified Oil-Lubricated Tilting-Pad Thrust Bearings
by Wu Ouyang, Ziyang Yan, Xincong Zhou, Bin Luo, Bin Wang and Jian Huang
Lubricants 2023, 11(12), 529; https://doi.org/10.3390/lubricants11120529 - 13 Dec 2023
Cited by 5 | Viewed by 2457
Abstract
On maritime vessels, external factors such as explosions, collisions, and grounding can cause the emulsification of lubricating oil by seawater pollution, which can affect the lubrication of a ship’s thrust bearing. To explore the influence of the mixed emulsification of lubricating oil and [...] Read more.
On maritime vessels, external factors such as explosions, collisions, and grounding can cause the emulsification of lubricating oil by seawater pollution, which can affect the lubrication of a ship’s thrust bearing. To explore the influence of the mixed emulsification of lubricating oil and seawater on the lubrication performance of thrust bearings, this study conducted an emulsification experiment, from which the viscosity equation of the oil–water mixture was obtained. A thermal hydrodynamic model (THD) of bearings considering oil–water mixed emulsification was established, and the Finite Difference Method (FDM) was used for analysis. The results show that according to the characteristics of the manifold, the mixture is divided into water-in-oil (W/O) and oil-in-water (O/W). In the W/O flow with higher viscosity, the film thickness becomes higher, but the power loss increases. In the O/W manifold with low viscosity, the thin film easily causes mixed friction. In the demulsification stage of the mixed liquid, the thickness loss of the film is huge, and the collision between the thrust-bearing pad and the inference plate may cause the pad to be ablated. The influence of specific heat capacity on temperature is greater than the temperature rise caused by viscosity. Full article
Show Figures

Figure 1

26 pages, 9558 KB  
Article
Ship Anomalous Behavior Detection Using Clustering and Deep Recurrent Neural Network
by Bohan Zhang, Katsutoshi Hirayama, Hongxiang Ren, Delong Wang and Haijiang Li
J. Mar. Sci. Eng. 2023, 11(4), 763; https://doi.org/10.3390/jmse11040763 - 31 Mar 2023
Cited by 28 | Viewed by 6544
Abstract
In this study, we propose a real-time ship anomaly detection method driven by Automatic Identification System (AIS) data. The method uses ship trajectory clustering classes as a normal model and a deep learning algorithm as an anomaly detection tool. The method is divided [...] Read more.
In this study, we propose a real-time ship anomaly detection method driven by Automatic Identification System (AIS) data. The method uses ship trajectory clustering classes as a normal model and a deep learning algorithm as an anomaly detection tool. The method is divided into three main steps: (1) quality maintenance of the original AIS data, (2) extraction of normal ship trajectory clusters using Density-Based Spatial Clustering of Applications with Noise (DBSCAN), in which a segmented improved Dynamic Time Warping (DTW) algorithm is used to measure the degree of trajectory similarity, (3) the clustering results are used as a normative model to train a Bi-directional Gated Recurrent Unit (BiGRU) recurrent neural network, which is used as a trajectory predictor to achieve real-time ship anomaly detection. Experiments were conducted using real AIS data from the port of Tianjin, China. The experimental results are manifold. Firstly, the data pre-processing process effectively improves the quality of raw AIS data. Secondly, the ship trajectory clustering model can accurately classify the traffic flow of different modes in the sea area. Moreover, the trajectory prediction result of the BiGRU model has the smallest error with the actual ship trajectory and has a better trajectory prediction performance compared with the Long Short-Term Memory Network model (LSTM) and Gated Recurrent Unit (GRU). In the final anomaly detection experiment, the detection accuracy and timeliness of the BiGRU model are also higher than LSTM and GRU. Therefore, the proposed method can achieve effective and timely detection of ship anomalous behaviors in terms of position, heading and speed during ship navigation, which provides insight to enhance the intelligence of marine traffic supervision and improve the safety of marine navigation. Full article
(This article belongs to the Special Issue Marine Navigation and Safety at Sea)
Show Figures

Figure 1

16 pages, 1919 KB  
Article
A Lumped-Mass Model of Membrane Humidifier for PEMFC
by Hoang Nghia Vu, Xuan Linh Nguyen and Sangseok Yu
Energies 2022, 15(6), 2113; https://doi.org/10.3390/en15062113 - 14 Mar 2022
Cited by 9 | Viewed by 5687
Abstract
Maintaining the performance of a fuel cell stack requires appropriate management of water in the membrane electrode. One solution is to apply an external humidifier to the supply gases. However, the operating conditions change continuously, which significantly affects the humidifier performance and supply [...] Read more.
Maintaining the performance of a fuel cell stack requires appropriate management of water in the membrane electrode. One solution is to apply an external humidifier to the supply gases. However, the operating conditions change continuously, which significantly affects the humidifier performance and supply gas characteristics. A straightforward humidifier module is needed for integration with the fuel cell system model. In this study, a lumped-mass model was used to simulate a hollow-fiber membrane humidifier and investigate the effects of various input conditions on the humidifier performance. The lumped-mass model can account for heat transfer and vapor transport in the membrane bundle without losing simplicity. The humidifier module was divided into three parts: a heat and mass exchanger in the middle and two manifolds at the ends of the exchanger. These components were modeled separately and linked to each other according to the flow characteristics. Simulations were performed to determine the humidifier response under both steady-state and transient conditions, and water saturation was observed in the outlet manifold that may affect the humidifier performance. The findings on the effects of the operating conditions and humidifier dimensions on the cathode gas can be used to improve humidifier design and control. Full article
(This article belongs to the Special Issue Advanced Research on Fuel Cells and Hydrogen Energy Conversion)
Show Figures

Figure 1

22 pages, 9203 KB  
Article
Validation and Enhancement of a Supermesh Strategy for the CFD Simulation of Four-Stroke Internal Combustion Engines
by Horacio J. Aguerre, Patricio H. Pedreira, Pedro J. Orbaiz and Norberto M. Nigro
Fluids 2022, 7(3), 104; https://doi.org/10.3390/fluids7030104 - 11 Mar 2022
Cited by 2 | Viewed by 3830
Abstract
The present paper describes and validates an efficient CFD implementation to replicate the working fluid-dynamics of a real four-stroke internal combustion engine. To do this, experimental data obtained on a single-cylinder engine are used to validate the proposed computational approach. The engine domain [...] Read more.
The present paper describes and validates an efficient CFD implementation to replicate the working fluid-dynamics of a real four-stroke internal combustion engine. To do this, experimental data obtained on a single-cylinder engine are used to validate the proposed computational approach. The engine domain is divided into regions according to each moving zone, and these are coupled using a pseudo-supermesh interface presented in a previous work by the authors. In this work, the original pseudo-supermesh strategy is enhanced by introducing the dual-boundary concept to model the valve opening/closing events to increase the accuracy and simplicity of the simulation procedure. The results produced by the proposed software tool show a good correlation to the experimental measurements of the complete engine cycle. Macroscopic quantities of the in-cylinder flow are accurately replicated as well as the instantaneous evolution of the in-cylinder and intake manifold pressure. Furthermore, the present work shows that the computational efficiency and scalability of the enhanced pseudo-supermesh approach are preserved even when applied to more complex real problems. In this sense, this work contributes to a new engineering tool promoting the enhanced pseudo-supermeshes as an effective tool for the design, development, and optimization of internal combustion engines. Full article
Show Figures

Figure 1

22 pages, 8010 KB  
Article
Traffic Network Identification Using Trajectory Intersection Clustering
by Ingrid Gerdes and Annette Temme
Aerospace 2020, 7(12), 175; https://doi.org/10.3390/aerospace7120175 - 10 Dec 2020
Cited by 9 | Viewed by 3597
Abstract
The current airspace route system consists mainly of pre-defined routes with a low number of intersections to facilitate air traffic controllers to oversee the traffic. Our aim is a method to create an artificial and reliable route network based on planned or as-flown [...] Read more.
The current airspace route system consists mainly of pre-defined routes with a low number of intersections to facilitate air traffic controllers to oversee the traffic. Our aim is a method to create an artificial and reliable route network based on planned or as-flown trajectories. The application possibilities of the resulting network are manifold, reaching from the assessment of new air traffic management (ATM) strategies or historical data to a basis for simulation systems. Trajectories are defined as sequences of common points at intersections with other trajectories. All common points of a traffic sample are clustered, and, after further optimization, the cluster centers are used as nodes in the new main-flow network. To build almost-realistic flight trajectories based on this network, additional parameters such as speed and altitude are added to the nodes and the possibility to take detours into account to avoid congested areas is introduced. As optimization criteria, the trajectory length and the structural complexity of the main-flow system are used. Based on these criteria, we develop a new cost function for the optimization process. In addition, we show how different traffic situations are covered by the network. To illustrate the capabilities of our approach, traffic is exemplarily divided into separate classes and class-dependent parameters are assigned. Applied to two real traffic scenarios, the approach was able to emulate the underlying route systems with a difference in median trajectory length of 0.2%, resp. 0.5% compared to the original routes. Full article
(This article belongs to the Collection Air Transportation—Operations and Management)
Show Figures

Graphical abstract

13 pages, 9703 KB  
Article
Numerical Study on Novel Design for Compact Parallel-Flow Heat Exchanger with Manifolds to Improve Flow Characteristics
by Byunghui Kim, Kuisoon Kim and Seokho Kim
Energies 2020, 13(23), 6330; https://doi.org/10.3390/en13236330 - 30 Nov 2020
Cited by 6 | Viewed by 3987
Abstract
Parallel flow heat exchangers with manifolds are widely used in various industries owing to their compact size and ease of application. Research has been conducted to understand their flow characteristics and improve flow distribution and pressure drop performance; however, it is difficult to [...] Read more.
Parallel flow heat exchangers with manifolds are widely used in various industries owing to their compact size and ease of application. Research has been conducted to understand their flow characteristics and improve flow distribution and pressure drop performance; however, it is difficult to derive generalized improvements under different conditions for each application. This study proposes a novel design to improve the flow characteristics of a compact heat exchanger with a sudden expansion area of a dividing manifold and uses computational fluid dynamics simulation to verify it. The abrupt cross-sectional area change in the dividing manifold induces a jet flow near the entry region, which causes the flow maldistribution of the first few parallel tubes. To improve the efficiency of the dividing manifold, simple and novel designs with a converging-diverging area in the manifold header have been proposed. Parametric studies on the novel designs show improvements of up to 37.5% and 52.0% flow uniformity and 2.65% and 0.74% pressure drop performance for U- and Z-types, respectively, compared to the base model. Thus, the simple and easily fabricated quadrilateral shape can improve the flow maldistribution and pressure drop caused by a dividing manifold with a sudden area expansion. Full article
(This article belongs to the Special Issue Heat Exchangers: Cooling and Heating Systems)
Show Figures

Figure 1

15 pages, 8824 KB  
Article
Consequences of the Integration of a Hyperbolic Funnel into a Showerhead for Droplets, Jet Break-Up Lengths, and Physical-Chemical Parameters
by Maarten V. van de Griend, Luewton L. F. Agostinho, Elmar C. Fuchs, Nigel Dyer and Willibald Loiskandl
Water 2019, 11(12), 2446; https://doi.org/10.3390/w11122446 - 21 Nov 2019
Cited by 2 | Viewed by 7140
Abstract
Introducing a hyperbolic vortex into a showerhead is a possibility to achieve higher spray velocities for a given discharge without reducing the nozzle diameter. Due to the introduction of air bubbles into the water by the vortex, the spray is pushed from a [...] Read more.
Introducing a hyperbolic vortex into a showerhead is a possibility to achieve higher spray velocities for a given discharge without reducing the nozzle diameter. Due to the introduction of air bubbles into the water by the vortex, the spray is pushed from a transition (dripping faucet) regime into a jetting regime, which results in higher droplet and jet velocities using the same nozzle diameter and throughput. The same droplet and jet diameters were realized compared to a showerhead without a vortex. Assuming that the satisfaction of a shower experience is largely dependent on the droplet size and velocity, the implementation of a vortex in the showerhead could provide the same shower experience with ~14% less water consumption compared to the normal showerhead. A full optical and physical analysis was presented, and the important chemical parameters were investigated. Full article
(This article belongs to the Special Issue Water Supply and Water Scarcity)
Show Figures

Figure 1

17 pages, 4337 KB  
Article
Development and Control of an Electro-Hydraulic Actuator System for an Exoskeleton Robot
by Dongyoung Lee, Buchun Song, Sang Yong Park and Yoon Su Baek
Appl. Sci. 2019, 9(20), 4295; https://doi.org/10.3390/app9204295 - 12 Oct 2019
Cited by 27 | Viewed by 7764
Abstract
Exoskeleton robots have been developed in various fields and are divided into electric and hydraulic exoskeletons according to the actuator type. In the case of hydraulic robots, because a unidirectional pump is applied, there are limitations to the wearer’s walking. In addition, robot [...] Read more.
Exoskeleton robots have been developed in various fields and are divided into electric and hydraulic exoskeletons according to the actuator type. In the case of hydraulic robots, because a unidirectional pump is applied, there are limitations to the wearer’s walking. In addition, robot systems are complicated, because a directional control valve is required to change the direction of the actuator. To solve these problems, we designed the electro-hydraulic actuator (EHA) system which has both the hydraulic and electric advantages. The EHA system consists of a hydraulic bidirectional pump, a motor, a hydraulic cylinder, and various valves. For the development of the piston pump, we analyzed the gait cycle and considered the flow rate and pulsation rate. In order to reduce the size and weight of the EHA system, the valves were made from one manifold, and the hydraulic circuit was simplified. We verified that the developed EHA system is applicable to robots through position and force control experiments. Because the hydraulic system is nonlinear, we designed a sliding mode control (SMC) and compared it with the proportional integral derivative (PID) controller. Full article
Show Figures

Figure 1

21 pages, 16090 KB  
Article
Numerical Study on the Effect of Distribution Plates in the Manifolds on the Flow Distribution and Thermal Performance of a Flat Plate Solar Collector
by Juan Manuel García-Guendulain, José Manuel Riesco-Avila, Francisco Elizalde-Blancas, Juan Manuel Belman-Flores and Juan Serrano-Arellano
Energies 2018, 11(5), 1077; https://doi.org/10.3390/en11051077 - 27 Apr 2018
Cited by 21 | Viewed by 4802
Abstract
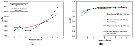
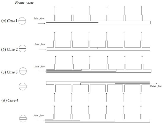
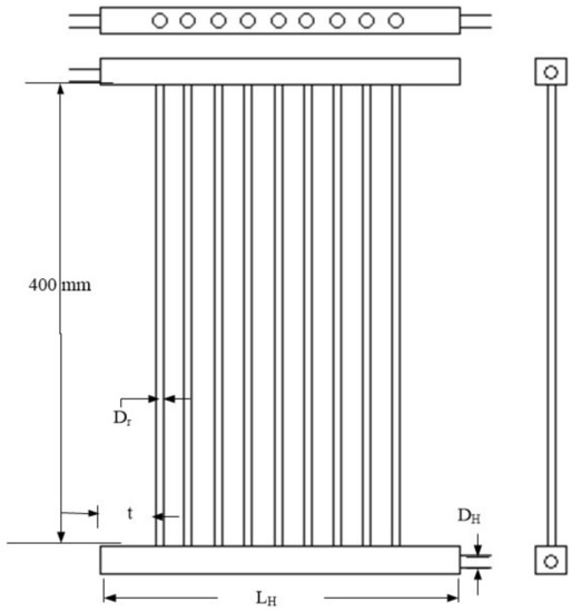
Flow maldistribution represents a problem of particular interest in the engineering field for several thermal systems. In flat plate solar collectors, the thermal efficiency strongly depends on the flow distribution through the riser tubes, where a uniform distribution causes a uniform temperature distribution [...] Read more.
Flow maldistribution represents a problem of particular interest in the engineering field for several thermal systems. In flat plate solar collectors, the thermal efficiency strongly depends on the flow distribution through the riser tubes, where a uniform distribution causes a uniform temperature distribution and therefore a higher efficiency. In this work, a Computational Fluid Dynamics (CFD) numerical analysis has been carried out using the commercial software FLUENT®, in order to determine the flow distribution, pressure drop and hence the thermal efficiency of a solar collector with distribution flow plates inside the manifolds. The obtained numerical solution for this type of thermal systems has been validated with experimental results available in literature for laminar and turbulent flow. Four distribution plate configurations were analyzed. Results show that using two distribution plates in each of both manifolds improves the flow uniformity up to 40% under the same operating conditions when distribution plates are not used. Besides, it is shown that there exists an increase in the overall pressure drop which is practically negligible for the tilt angles commonly employed in the installation of flat plate solar collectors in Mexico. The use of closed end distribution plates on the dividing and combining manifolds allows the thermal efficiency to become close to the ideal thermal efficiency which is obtained with a uniform flow distribution. Full article
Show Figures

Figure 1

Back to TopTop