Sign in to use this feature.

Years

Between: -

Subjects

remove_circle_outline
remove_circle_outline
remove_circle_outline
remove_circle_outline
remove_circle_outline
remove_circle_outline
remove_circle_outline
remove_circle_outline
remove_circle_outline

Journals

remove_circle_outline
remove_circle_outline
remove_circle_outline
remove_circle_outline
remove_circle_outline
remove_circle_outline
remove_circle_outline
remove_circle_outline
remove_circle_outline
remove_circle_outline
remove_circle_outline
remove_circle_outline
remove_circle_outline
remove_circle_outline
remove_circle_outline

Article Types

Countries / Regions

remove_circle_outline
remove_circle_outline
remove_circle_outline
remove_circle_outline
remove_circle_outline

Search Results (2,161)

Search Parameters:
Keywords = distributed attack

Order results
Result details
Results per page
Select all
Export citation of selected articles as:
30 pages, 2308 KB  
Article
Early Detection of Virtual Machine Failures in Cloud Computing Using Quantum-Enhanced Support Vector Machine
by Bhargavi Krishnamurthy, Saikat Das and Sajjan G. Shiva
Mathematics 2026, 14(7), 1229; https://doi.org/10.3390/math14071229 - 7 Apr 2026
Abstract
Cloud computing is one of the essential computing platforms for modern enterprises. A total of 84 percent of large businesses use cloud computing services in 2025 to enable remote working and higher flexibility of operation with reduction in the cost of operation. Cloud [...] Read more.
Cloud computing is one of the essential computing platforms for modern enterprises. A total of 84 percent of large businesses use cloud computing services in 2025 to enable remote working and higher flexibility of operation with reduction in the cost of operation. Cloud environments are dynamic and multitenant, often demanding high computational resources for real-time processing. However, the cloud system’s behavior is subjected to various kinds of anomalies in which patterns of data deviate from the normal traffic. The varieties of anomalies that exist are performance anomalies, security anomalies, resource anomalies, and network anomalies. These anomalies disrupt the normal operation of cloud systems by increasing the latency, reducing throughput, frequently violating service level agreements (SLAs), and experiencing the failure of virtual machines. Among all anomalies, virtual machine failures are one of the potential anomalies in which the normal operation of the virtual machine is interrupted, resulting in the degradation of services. Virtual machine failure happens because of resource exhaustion, malware access, packet loss, Distributed Denial of Service attacks, etc. Hence, there is a need to detect the chances of virtual machine failures and prevent it through proactive measures. Traditional machine learning techniques often struggle with high-dimensional data and nonlinear correlations, ending up with poor real-time adaptation. Hence, quantum machine learning is found to be a promising solution which effectively deals with combinatorially complex and high-dimensional data. In this paper, a novel quantum-enhanced support vector machine (QSVM) is designed as an optimized binary classifier which combines the principles of both quantum computing and support vector machine. It encodes the classical data into quantum states. Feature mapping is performed to transform the data into the high-dimensional form of Hilbert space. Quantum kernel evaluation is performed to evaluate similarities. Through effective optimization, optimal hyperplanes are designed to detect the anomalous behavior of virtual machines. This results in the exponential speed-up of operation and prevents the local minima through entanglement and superposition operation. The performance of the proposed QSVM is analyzed using the QuCloudSim 1.0 simulator and further validated using expected value analysis methodology. Full article
16 pages, 1033 KB  
Article
Modified Shamir Threshold Scheme for Secure Storage of Biometric Data
by Saule Nyssanbayeva, Nursulu Kapalova and Saltanat Beisenova
Computers 2026, 15(4), 228; https://doi.org/10.3390/computers15040228 - 7 Apr 2026
Abstract
The security of biometric data is a critical challenge in modern information security due to their uniqueness and non-revocability. Compromise of biometric characteristics leads to irreversible consequences; therefore, storing or transmitting them in plaintext is unacceptable. This paper addresses the confidentiality and integrity [...] Read more.
The security of biometric data is a critical challenge in modern information security due to their uniqueness and non-revocability. Compromise of biometric characteristics leads to irreversible consequences; therefore, storing or transmitting them in plaintext is unacceptable. This paper addresses the confidentiality and integrity of fingerprint data using cryptographic protection methods. Considering the specific nature of biometrics, fingerprint features are used only to generate a cryptographic secret rather than being stored directly. To protect the derived secret, a modified threshold secret-sharing scheme based on non-positional polynomial notation and the Chinese Remainder Theorem is proposed. The method generates a cryptographic secret from fingerprint minutiae described by spatial coordinates and ridge orientation. Concatenating minutiae coordinates and converting them into binary form produces a unique value deterministically linked to a specific user. Compared to the classical Shamir scheme, the modified scheme reduces the computational complexity of secret reconstruction from O(n log2n) to O(k log k), decreases data storage requirements by 30–40% through compact polynomial remainders, and increases successful secret reconstruction by 12–15% in the presence of noise in biometric samples. The results show that the proposed algorithm can be effectively applied in biometric authentication systems to protect personal data in distributed environments. Security analysis confirms resistance to major attack classes and demonstrates practical applicability in real-world systems. Full article
(This article belongs to the Section ICT Infrastructures for Cybersecurity)
Show Figures

Figure 1

19 pages, 551 KB  
Article
SCAFormer: Side-Channel Analysis Based on a Transformer with Focal Modulation
by Longde Yan, Aidong Chen, Wenwen Chen, Jiawang Huang, Yanlong Zhang, Shuo Wang and Jing Zhou
Math. Comput. Appl. 2026, 31(2), 55; https://doi.org/10.3390/mca31020055 - 4 Apr 2026
Viewed by 181
Abstract
With the rapid development of Internet technology, information security has become increasingly important. Cryptographic analysis techniques, especially side-channel analysis (SCA), pose a significant threat to security systems. The latest SCA technology mainly utilizes the physical leakage signals generated during the operation of encryption [...] Read more.
With the rapid development of Internet technology, information security has become increasingly important. Cryptographic analysis techniques, especially side-channel analysis (SCA), pose a significant threat to security systems. The latest SCA technology mainly utilizes the physical leakage signals generated during the operation of encryption devices, such as power consumption, temperature and electromagnetic radiation. These signals themselves carry the physical characteristics of the device, which are related to the encryption algorithm. Among them, the power consumption trace remains the main target of modern SCA research. However, such trajectories often bring about some analytical difficulties, such as the data sequence being too long, the feature points being distributed sparsely, and the internal relationships of the data being complex. These challenges hinder effective analysis. While Transformer architectures are good at capturing long-range dependencies in sequential data, their high computational complexity limits practical deployment. To address this, we propose replacing the self-attention (SA) module in Transformers with a focal modulation module. This modification significantly reduces computational complexity and reduces computational operations during feature extraction, enabling efficient and accurate side-channel attacks. Experimental results on benchmark datasets (ASCAD, AES_RD, AES_HD, DPAv4) demonstrate the superiority of our approach. The proposed method achieves a reduction in training time compared to standard Transformer models, and achieves superior key recovery performance, outperforming existing state-of-the-art models. Full article
Show Figures

Figure 1

28 pages, 5004 KB  
Article
High-Precision Spoofing Detection Using an Auxiliary Baseline Three-Antenna Configuration for GNSS Systems
by Jiajia Chen, Xing’ao Wang, Zhibo Fang, Ming Gao and Ying Xu
Aerospace 2026, 13(4), 339; https://doi.org/10.3390/aerospace13040339 - 3 Apr 2026
Viewed by 218
Abstract
As Global Navigation Satellite Systems (GNSSs) underpin safety-critical infrastructure, their vulnerability to sophisticated spoofing attacks poses severe physical layer security risks. To address the limitations of existing single-antenna defense mechanisms, this paper proposes a rigorous instantaneous spoofing detection framework utilizing a novel “one-primary-two-auxiliary” [...] Read more.
As Global Navigation Satellite Systems (GNSSs) underpin safety-critical infrastructure, their vulnerability to sophisticated spoofing attacks poses severe physical layer security risks. To address the limitations of existing single-antenna defense mechanisms, this paper proposes a rigorous instantaneous spoofing detection framework utilizing a novel “one-primary-two-auxiliary” three-antenna configuration. By embedding the rigid baseline length as a hard geometric constraint into the Integer Least Squares (ILS) model, we derive a specialized constrained LAMBDA algorithm that significantly shrinks the ambiguity search space. A rigorous hypothesis testing mechanism is established based on the Sum of Squared Residuals (SSR), analytically deriving the detection threshold from the central Chi-square distribution and analyzing the sensitivity via the non-central parameter. Through conducting field experiments using commercial receivers and professional GNSS signal simulators, the proposed method was validated using both single-satellite spoofing and full-constellation spoofing scenarios. Results demonstrate that the system achieves a Minimum Detectable Deviation (MDD) of spatial direction as low as 0.33 and maintains an empirical detection rate of >99% with a negligible false alarm rate. Notably, the method exhibits instantaneous response capabilities, effectively identifying both single-satellite and full-constellation spoofing attacks within a single epoch without requiring prior attitude information or external aiding. Full article
(This article belongs to the Section Astronautics & Space Science)
Show Figures

Figure 1

34 pages, 7536 KB  
Article
Aerodynamic Performance Improvement of a Straight-Bladed Vertical Axis Wind Turbine Through a Modified NACA0012 Profile with Inclined Orifices
by Ioana-Octavia Bucur, Daniel-Eugeniu Crunțeanu and Mădălin-Constantin Dombrovschi
Inventions 2026, 11(2), 37; https://doi.org/10.3390/inventions11020037 - 3 Apr 2026
Viewed by 209
Abstract
Vertical axis wind turbines (VAWTs) are promising systems for urban wind energy applications because of their compact layout, omni-directional operation, and favorable integration potential. However, their broader deployment remains limited by poor self-starting capabilities and relatively low aerodynamic efficiency compared to horizontal axis [...] Read more.
Vertical axis wind turbines (VAWTs) are promising systems for urban wind energy applications because of their compact layout, omni-directional operation, and favorable integration potential. However, their broader deployment remains limited by poor self-starting capabilities and relatively low aerodynamic efficiency compared to horizontal axis wind turbines. In this study, a passive flow control concept for a straight-bladed VAWT is numerically investigated using a NACA0012 airfoil modified with 45° inclined perforations on the extrados. Four perforated configurations were generated and compared with the baseline profile through a two-stage computational approach. First, steady 2D computational fluid dynamics (CFD) simulations of the isolated airfoils were performed at a free stream velocity of 12 m/s over an angle of attack range of 0–180°. Subsequently, the most relevant aerodynamic trends were assessed at rotor level using transient 2D Moving Mesh simulations for a three-bladed wind turbine with tip speed ratios (TSRs) between 0.5 and 3.5. All perforated variants exhibited higher lift than the baseline airfoil, while the configuration with smaller, denser perforations distributed over the downstream two-thirds of the extrados provided the best overall aerodynamic performance. At TSR = 2.5, this geometry increased the mean moment coefficient from 0.044 to 0.0525 and the power coefficient from 0.109 to 0.131, corresponding to an increase in power output of approximately 20%. These results indicate that inclined extrados perforations constitute a promising passive strategy for improving the aerodynamic performance of small straight-bladed VAWTs, although further 3D and experimental validations are required. Full article
(This article belongs to the Special Issue Emerging Trends and Innovations in Renewable Energy)
Show Figures

Figure 1

22 pages, 389 KB  
Article
Adaptive Multipath Proofs for Privacy Protection and Security in Payment Channel Networks
by Wenqi Li, Zijie Pan and Yunqing Yang
Mathematics 2026, 14(7), 1199; https://doi.org/10.3390/math14071199 - 3 Apr 2026
Viewed by 99
Abstract
Payment channel networks enable scalable off-chain payments, but their practical deployment remains constrained by a persistent tension among routing efficiency, liquidity visibility, transaction privacy, and settlement security. Existing multipath routing mechanisms can improve payment success under fragmented liquidity, yet they often expose sensitive [...] Read more.
Payment channel networks enable scalable off-chain payments, but their practical deployment remains constrained by a persistent tension among routing efficiency, liquidity visibility, transaction privacy, and settlement security. Existing multipath routing mechanisms can improve payment success under fragmented liquidity, yet they often expose sensitive balance information, leak structural features of payment routes, and enlarge the attack surface for probing, channel exhaustion, and selective forwarding. This paper presents a novel framework, Adaptive Multipath Proofs (AMPs), for privacy protection and security in payment channel networks. The core idea is to bind multipath routing decisions with lightweight zero-knowledge verifiability, allowing intermediate nodes to validate path feasibility, fragment consistency, and settlement constraints without learning exact channel balances, the complete payment amount, or the global route structure. AMP integrates three mechanisms: a hidden-liquidity feasibility proof that supports privacy-preserving route selection, an adaptive payment-splitting strategy that dynamically determines fragment allocation according to network congestion and balance uncertainty, and a proof-coupled settlement guard that enforces atomicity and timeout consistency across all payment fragments. Together, these mechanisms reduce information leakage while preserving robust payment execution under dynamic network conditions. Experimental evaluation on real Lightning Network topologies and synthetic stress scenarios demonstrates that AMP significantly lowers balance disclosure and endpoint inference risk, improves payment completion under skewed liquidity distributions, and introduces only moderate computational and communication overhead. The results indicate that adaptive proof-carrying multipath routing offers a practical and effective direction for building secure, privacy-preserving, and high-success payment channel networks. Full article
Show Figures

Figure 1

21 pages, 1172 KB  
Article
An Examination of LPWAN Security in Maritime Applications
by Zachary Larkin and Chuck Easttom
J. Cybersecur. Priv. 2026, 6(2), 65; https://doi.org/10.3390/jcp6020065 - 3 Apr 2026
Viewed by 181
Abstract
LoRaWAN’s role in global maritime logistics has allowed for efficient monitoring of ships and cargo, but it also comes with critical cybersecurity vulnerabilities. Experimental validation of three attack vectors—replay attacks, narrowband jamming and metadata inference—is conducted using a reproducible digital-twin LoRaWAN dataset reflecting [...] Read more.
LoRaWAN’s role in global maritime logistics has allowed for efficient monitoring of ships and cargo, but it also comes with critical cybersecurity vulnerabilities. Experimental validation of three attack vectors—replay attacks, narrowband jamming and metadata inference—is conducted using a reproducible digital-twin LoRaWAN dataset reflecting Rotterdam port-like operational patterns (N = 20,000 baseline transmissions). Using controlled simulations and Kolmogorov–Smirnov statistical analysis, we show that: (1) replay attacks are feasible under Activation by Personalization (ABP) configurations lacking enforced frame-counter validation and exhibit no univariate separation from legitimate traffic under Kolmogorov–Smirnov analysis (p > 0.46 for all evaluated radio features); (2) narrowband jamming leads to significant SNR degradation (p = 2.36 × 10−5) on targeted channels without inducing broad distributional anomalies across other radio features; and (3) metadata-only analysis supports elevated metadata-based re-identification susceptibility (median Rd=0.834), indicating high predictability under passive observation which can reveal operationally relevant signals even when AES-128 is employed. Our proposed layered mitigation framework consists of mandatory Over-the-Air Activation (OTAA), cryptographic key rotation, channel diversity incorporating Adaptive Data Rate (ADR), gateway hardening, and protocol-level enforcement considerations, customized for maritime LPWAN scenarios. We provide experiment-backed evidence and actionable recommendations to connect academic LPWAN security research to that of industrial maritime practice. Full article
(This article belongs to the Special Issue Building Community of Good Practice in Cybersecurity)
Show Figures

Figure 1

19 pages, 712 KB  
Article
Federated Learning-Driven Protection Against Adversarial Agents in a ROS2 Powered Edge-Device Swarm Environment
by Brenden Preiss and George Pappas
AI 2026, 7(4), 127; https://doi.org/10.3390/ai7040127 - 1 Apr 2026
Viewed by 227
Abstract
Federated learning (FL) enables collaborative model training across distributed devices and robotic systems while preserving data privacy, making it well-suited for swarm robotics and edge-device-powered intelligence. However, FL remains vulnerable to adversarial behaviors such as data and model poisoning, particularly in real-world deployments [...] Read more.
Federated learning (FL) enables collaborative model training across distributed devices and robotic systems while preserving data privacy, making it well-suited for swarm robotics and edge-device-powered intelligence. However, FL remains vulnerable to adversarial behaviors such as data and model poisoning, particularly in real-world deployments where detection methods must operate under strict computational and communication constraints. This paper presents a practical, real-world federated learning framework that enhances robustness to adversarial agents in a ROS2-based edge-device swarm environment. The proposed system integrates the Federated Averaging (FedAvg) algorithm with a lightweight average cosine similarity-based filtering method to detect and suppress harmful model updates during aggregation. Unlike prior work that primarily evaluates poisoning defenses in simulated environments, this framework is implemented and evaluated on physical hardware, consisting of a laptop-based aggregator and multiple Raspberry Pi worker nodes. A convolutional neural network (CNN) based on the MobileNetV3-Small architecture is trained on the MNIST dataset, with one worker executing a sign-flipping model poisoning attack. Experimental results show that FedAvg alone fails to maintain meaningful model accuracy under adversarial conditions, resulting in near-random classification performance with a final global model accuracy of 11% and a loss of 2.3. In contrast, the integration of cosine similarity filtering demonstrates effective detection of sign-flipping model poisoning in the evaluated ROS2 swarm experiment, allowing the global model to maintain model accuracy of around 90% and loss around 0.37, which is close to baseline accuracy of 93% of the FedAvg algorithm only under no attack with a very minimal increase in loss, despite the presence of an attacker. The proposed method also maintains a false positive rate (FPR) of around 0.01 and a false negative rate (FNR) of around 0.10 of the global model in the presence of an attacker, which is a minimal difference from the baseline FedAvg-only results of around 0.008 for FPR and 0.07 for FNR. Additionally, the proposed method of FedAvg + cosine similarity filtering maintains computational statistics similar to baseline FedAvg with no attacker. Baseline results show an average runtime of about 34 min, while our proposed method shows an average runtime of about 35 min. Also, the average size of the global model being shared among workers remains consistent at around 7.15 megabytes, showing little to no increase in message payload sizes between baseline results and our proposed method. These results demonstrate that computationally lightweight cosine similarity-based detection methods can be effectively deployed in real-world, resource-constrained robotic swarm environments, providing a practical path toward improving robustness in real-world federated learning deployments beyond simulation-based evaluation. Full article
Show Figures

Figure 1

16 pages, 2012 KB  
Article
The Role of Averages in CV-QKD over Fast Fading Channels
by Miguel Castillo-Celeita and Matteo Schiavon
Entropy 2026, 28(4), 388; https://doi.org/10.3390/e28040388 - 1 Apr 2026
Viewed by 176
Abstract
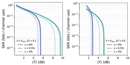
This work presents a study of continuous-variable quantum key distribution (CV-QKD) protocols over fast-fading channels, typically found in free-space communication links. Two eavesdropping models are considered to evaluate their security under collective attacks: Holevo bound average (HBA) and covariance matrix average (CMA). In [...] Read more.
This work presents a study of continuous-variable quantum key distribution (CV-QKD) protocols over fast-fading channels, typically found in free-space communication links. Two eavesdropping models are considered to evaluate their security under collective attacks: Holevo bound average (HBA) and covariance matrix average (CMA). In the HBA approach, the Holevo bound is averaged over the channel transmittance. In contrast, the CMA method calculates the Holevo bound from the average covariance matrix. Analytical expressions are developed for both strategies. The two methods also differ in how they calculate the mutual information between the legitimate parties. The results demonstrate that the SKR is significantly influenced by how you treat channel fluctuations, highlighting the importance of choosing the model that best describes the actual implementation of the protocol. Full article
Show Figures

Figure 1

32 pages, 7391 KB  
Article
Robust and Noise-Resilient Botnet Detection Framework Using Heterogeneous Radial Basis Function Neural Network
by Lama Awad, Sherenaz Al-Haj Baddar and Azzam Sleit
Appl. Sci. 2026, 16(7), 3379; https://doi.org/10.3390/app16073379 - 31 Mar 2026
Viewed by 128
Abstract
The rapid evolution of botnet attacks poses a critical challenge facing cybersecurity, necessitating the development of intrusion detection models that are both highly accurate and computationally efficient. This paper proposes a heterogeneous radial basis function neural network structure that employs non-uniform RBF kernels [...] Read more.
The rapid evolution of botnet attacks poses a critical challenge facing cybersecurity, necessitating the development of intrusion detection models that are both highly accurate and computationally efficient. This paper proposes a heterogeneous radial basis function neural network structure that employs non-uniform RBF kernels to enhance discriminative capability between normal and botnet activities, leveraging flow-level packet length distribution features derived from the CTU-13 dataset, which encompasses 30 distinct botnet types, to ensure comprehensive detection across several botnet behaviors. The model was accurately evaluated across several dimensions, including training stability, robustness to noise, and overall detection accuracy and generalization performance. Experimental results demonstrate that the proposed model achieves a superior accuracy of 97.86%, with an AUC of 0.9968 and a notably low false-positive rate of 0.02. The model effectively mitigates class-imbalance bias, with an average detection rate of 94.62% even for minority botnet classes. Furthermore, inference-time evaluation showed a latency of approximately 1.0118 microseconds, confirming that the model is well-suited for high-speed networks. In addition, robustness analysis under controlled noise injection revealed a smooth degradation in performance, with accuracy remaining at 96%, highlighting the structural resilience of the proposed model and making it a robust solution for detecting modern botnet attacks. Full article
(This article belongs to the Section Computing and Artificial Intelligence)
Show Figures

Figure 1

32 pages, 4963 KB  
Article
The Numidian Cypress (Cupressus sempervirens var. numidica Trab.): An Endangered Tree Endemic of Tunisia
by Gianni Della Rocca, Azza Chtioui, Ferid Abidi, Lorenzo Arcidiaco, Paolo Cherubini, Alberto Danieli, Silvia Traversari, Giovanni Trentanovi, Sara Barberini, Roberto Danti, Giovanni Emiliani, Bernabé Moya, Niccolò Conti and Meriem Zouaoui Boutiti
Forests 2026, 17(4), 438; https://doi.org/10.3390/f17040438 - 31 Mar 2026
Viewed by 478
Abstract
The Numidian cypress (Cupressus sempervirens var. numidica, C. numidica hereafter) is a rare, almost unknown, endemic taxon of Tunisia whose conservation has long been hampered by human activities, taxonomic uncertainty and limited ecological knowledge, with only 64.33 ha of its populations [...] Read more.
The Numidian cypress (Cupressus sempervirens var. numidica, C. numidica hereafter) is a rare, almost unknown, endemic taxon of Tunisia whose conservation has long been hampered by human activities, taxonomic uncertainty and limited ecological knowledge, with only 64.33 ha of its populations remaining. Although recent genetic studies have confirmed its native status and long-term isolation, detailed information on its distribution, population structure and threats remain lacking. This study provides the first comprehensive assessment of C. numidica across its remaining range. Field surveys revealed that the species persists in only three small, fragmented forests, Bou Abdallah, Sidi Amer, and Dir Satour, covering a total of 64.33 ha. Soil analysis revealed some differences among sites, with Bou Abdallah showing higher clay content and Dir Satou exhibiting the highest levels of nitrogen, organic carbon, Olsen P, and available Mn and Mo. Climatic analyses indicate a semi-arid Mediterranean environment with pronounced summer droughts and a clear warming trend. Trees showed widespread damages, due to intensive grazing, tree cutting, crown dieback (drought), and pest and pathogen attacks. Natural regeneration was limited, and the condition of affected trees ranged from moderate to severe, with Bou Abdallah showing the highest levels of degradation. Notably, the severe fungal pathogen Seiridium cardinale, causal agent of cypress canker, was detected on C. numidica for the first time, highlighting an urgent conservation concern. Our results point to a staged conservation approach over time. In the immediate term (within 1 year), urgent monitoring and management of S. cardinale is needed. In the short term, efforts should focus on protecting carefully selected areas, about 5–10 regeneration microsites per forest, from grazing to support natural regeneration, reduce ongoing soil degradation, and establish clonal and seed-production plantations along with long-term seed storage. In the long term, the survival of C. numidica will only be possible with the active involvement of local communities, through awareness campaigns, adapting traditional practices such as gdel, and developing small-scale ecotourism that provides sustainable livelihoods while reinforcing support for conservation. Full article
Show Figures

Figure 1

29 pages, 931 KB  
Article
Stateful Order-Preserving Encryption for Secure Cloud Databases
by Nam-Su Jho and Taek-Young Youn
Electronics 2026, 15(7), 1412; https://doi.org/10.3390/electronics15071412 - 28 Mar 2026
Viewed by 197
Abstract
We propose stateful order-preserving encryption (SOPE), a novel framework designed to realize human-centric data security and privacy, the fundamental values of the Fifth Industrial Revolution. Conventional order-preserving encryption supports efficient queries in cloud databases but fundamentally leaks plaintext distributions, leaving data vulnerable to [...] Read more.
We propose stateful order-preserving encryption (SOPE), a novel framework designed to realize human-centric data security and privacy, the fundamental values of the Fifth Industrial Revolution. Conventional order-preserving encryption supports efficient queries in cloud databases but fundamentally leaks plaintext distributions, leaving data vulnerable to inference attacks. To mitigate this vulnerability while maintaining query efficiency, SOPE introduces a partition-based dynamic density adjustment mechanism under an honest-but-curious threat model. This mechanism offsets density imbalances between partitions in real time by inserting decoy ciphertexts, thereby limiting the leakage scope to the order of data while obscuring frequency information. Our analysis and empirical evaluations demonstrate that SOPE’s ciphertexts consistently approach a uniform distribution by adaptively compensating for the underlying plaintext distribution through decoy insertion. While the continuous insertion of decoy ciphertexts inevitably incurs additional storage overhead (controlled by a tunable parameter λ), our evaluations demonstrate practical performance. By striking an optimal balance between efficiency and human privacy rights, SOPE provides a trustworthy infrastructure for secure data utilization. Full article
Show Figures

Figure 1

51 pages, 1932 KB  
Review
Federated Retrieval-Augmented Generation for Cybersecurity in Resource-Constrained IoT and Edge Environments: A Deployment-Oriented Scoping Review
by Hangyu He, Xin Yuan, Kai Wu and Wei Ni
Electronics 2026, 15(7), 1409; https://doi.org/10.3390/electronics15071409 - 27 Mar 2026
Viewed by 363
Abstract
Cybersecurity operations in IoT and edge environments require fast, evidence-grounded decisions under strict resource and trust constraints. While large language models can support triage and incident analysis, their parametric knowledge may be outdated and prone to hallucination. Retrieval-augmented generation (RAG) improves grounding by [...] Read more.
Cybersecurity operations in IoT and edge environments require fast, evidence-grounded decisions under strict resource and trust constraints. While large language models can support triage and incident analysis, their parametric knowledge may be outdated and prone to hallucination. Retrieval-augmented generation (RAG) improves grounding by conditioning responses on retrieved evidence, but also introduces new risks such as knowledge-base poisoning, indirect prompt injection, and embedding leakage. Federated learning enables collaborative adaptation without centralizing sensitive data, motivating federated RAG (FedRAG) architectures for distributed cybersecurity deployments. This study presents a deployment-oriented scoping review of FedRAG for cybersecurity. The review follows PRISMA-ScR reporting guidance and synthesizes 82 studies published between 2020 and 2026, identified through keyword search and citation snowballing over OpenAlex, arXiv, and Crossref. We develop a taxonomy that clarifies the components of federated systems, deployment locations, trust boundaries, and protected assets. We further map the combined RAG+FL attack surface, summarize practical defenses and system patterns, and distill actionable guidance for secure, privacy-preserving, and efficient FedRAG deployment in real-world IoT and edge scenarios. Our synthesis highlights recurring trade-offs among robustness, privacy, latency, communication overhead, and maintainability, and identifies open research priorities in benchmark design, governance mechanisms, and cross-silo evaluation protocols for practical deployment. Full article
(This article belongs to the Special Issue Novel Approaches for Deep Learning in Cybersecurity)
Show Figures

Figure 1

28 pages, 16669 KB  
Article
SQDPoS: A Secure and Practical Semi-Quantum Blockchain System for the Post-Quantum Era
by Ang Liu, Qi An, Sijiang Xie and Yalong Yan
Computers 2026, 15(4), 210; https://doi.org/10.3390/computers15040210 - 27 Mar 2026
Viewed by 382
Abstract
The rapid development of quantum computing poses severe threats to traditional blockchain security mechanisms, while existing full-quantum blockchains face challenges regarding high hardware costs and limited scalability. To address these issues, this paper proposes a secure and practical semi-quantum blockchain system. Specifically, a [...] Read more.
The rapid development of quantum computing poses severe threats to traditional blockchain security mechanisms, while existing full-quantum blockchains face challenges regarding high hardware costs and limited scalability. To address these issues, this paper proposes a secure and practical semi-quantum blockchain system. Specifically, a Semi-Quantum Delegated Proof of Stake consensus mechanism is constructed by integrating an adapted semi-quantum voting protocol with the Borda count method and a malicious behavior penalty model. Furthermore, a lightweight transaction verification framework is designed based on semi-quantum key distribution, enabling classical users with limited quantum capabilities to participate securely. Theoretical analysis demonstrates that the system achieves unconditional security against quantum attacks while maintaining high throughput. These results indicate that the proposed asymmetric resource design significantly lowers hardware barriers compared to full-quantum schemes, effectively balancing security, practicality, and cost-effectiveness for post-quantum blockchain networks. Full article
Show Figures

Figure 1

22 pages, 31045 KB  
Article
Robust and Stealthy White-Box Watermarking for Intellectual Property Protection of Remote Sensing Object Detection Models
by Lingjun Zou, Xin Xu, Weitong Chen, Qingqing Hong and Di Wu
Remote Sens. 2026, 18(7), 985; https://doi.org/10.3390/rs18070985 - 25 Mar 2026
Viewed by 287
Abstract
Remote sensing object detection (RSOD) models play an increasingly important role in modern remote sensing systems. However, during model delivery, sharing, and deployment, RSOD models face increasing risks of unauthorized redistribution, illegal replication, and intellectual property infringement. To mitigate these threats, this paper [...] Read more.
Remote sensing object detection (RSOD) models play an increasingly important role in modern remote sensing systems. However, during model delivery, sharing, and deployment, RSOD models face increasing risks of unauthorized redistribution, illegal replication, and intellectual property infringement. To mitigate these threats, this paper proposes a white-box watermarking framework for RSOD models that enables reliable copyright verification while preserving the performance of the primary detection task. Specifically, a gradient-based sensitivity analysis of the detection loss is first performed to adaptively identify model parameters that minimally affect detection performance, which are then selected as watermark carriers. Subsequently, a parameter-ranking-based watermark encoding scheme is developed, where watermark bits are embedded by enforcing relative ordering constraints between parameter pairs. To further improve robustness under practical deployment conditions, an attack-simulation-driven training strategy is introduced, in which common perturbations and watermark removal attacks are simulated during the embedding process. In addition, a stealthiness enhancement strategy based on statistical distribution constraints is designed to maintain consistency between the distribution of watermarked parameters and those of the original model, thereby reducing the risk of watermark exposure and localization. Extensive experiments across multiple RSOD datasets and detection architectures demonstrate that the proposed method achieves a high copyright verification success rate with negligible impact on detection accuracy and exhibits strong robustness and stealthiness against a variety of watermark removal attacks. Full article
Show Figures

Figure 1

Back to TopTop