The Role of Averages in CV-QKD over Fast Fading Channels
Abstract
1. Introduction
2. Gaussian Protocol for a Fixed Transmission Channel
- Alice prepares a two-mode squeezed vacuum (TMSV) state of variance V and measures one mode using a heterodyne detector. This projects the other mode B into the coherent state , whose average quadratures are distributed according to a zero-centered Gaussian distribution of variance .
- Alice transmits the mode B through a quantum channel with transmittance T and noise .
- Bob receives the mode B and applies homodyne detection on one of the quadratures q or p, randomly chosen with uniform distribution.
Information Leaked to Eve Under Collective Attacks
3. Secret Key Rate with Holevo Bound Average
4. Analysis of the SKR in the Covariance Matrix Average Approach
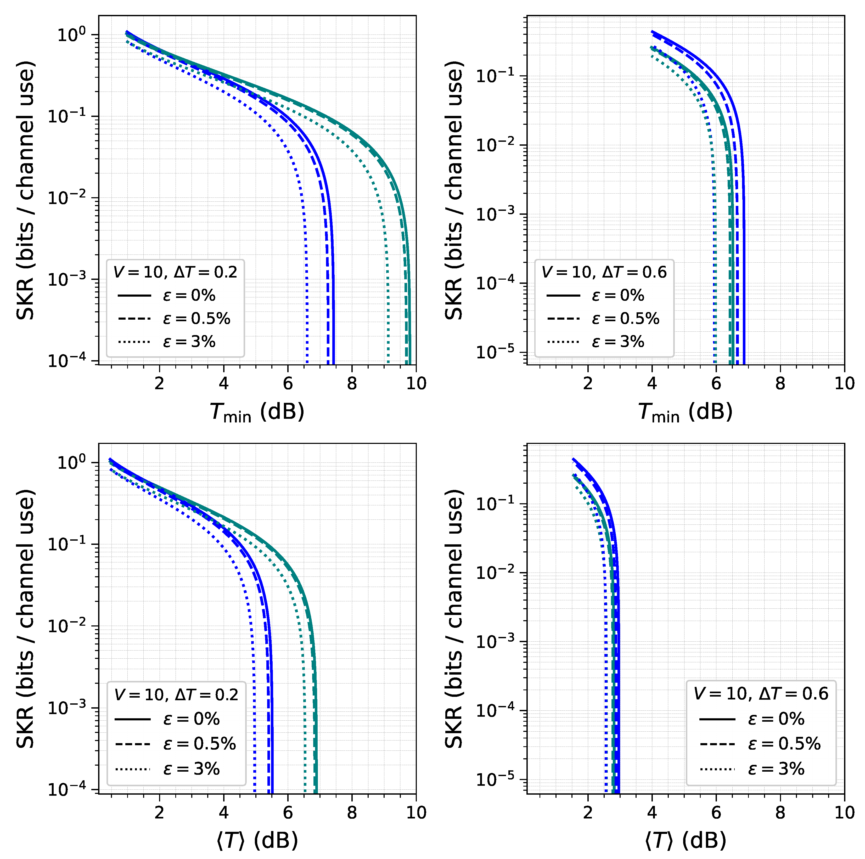
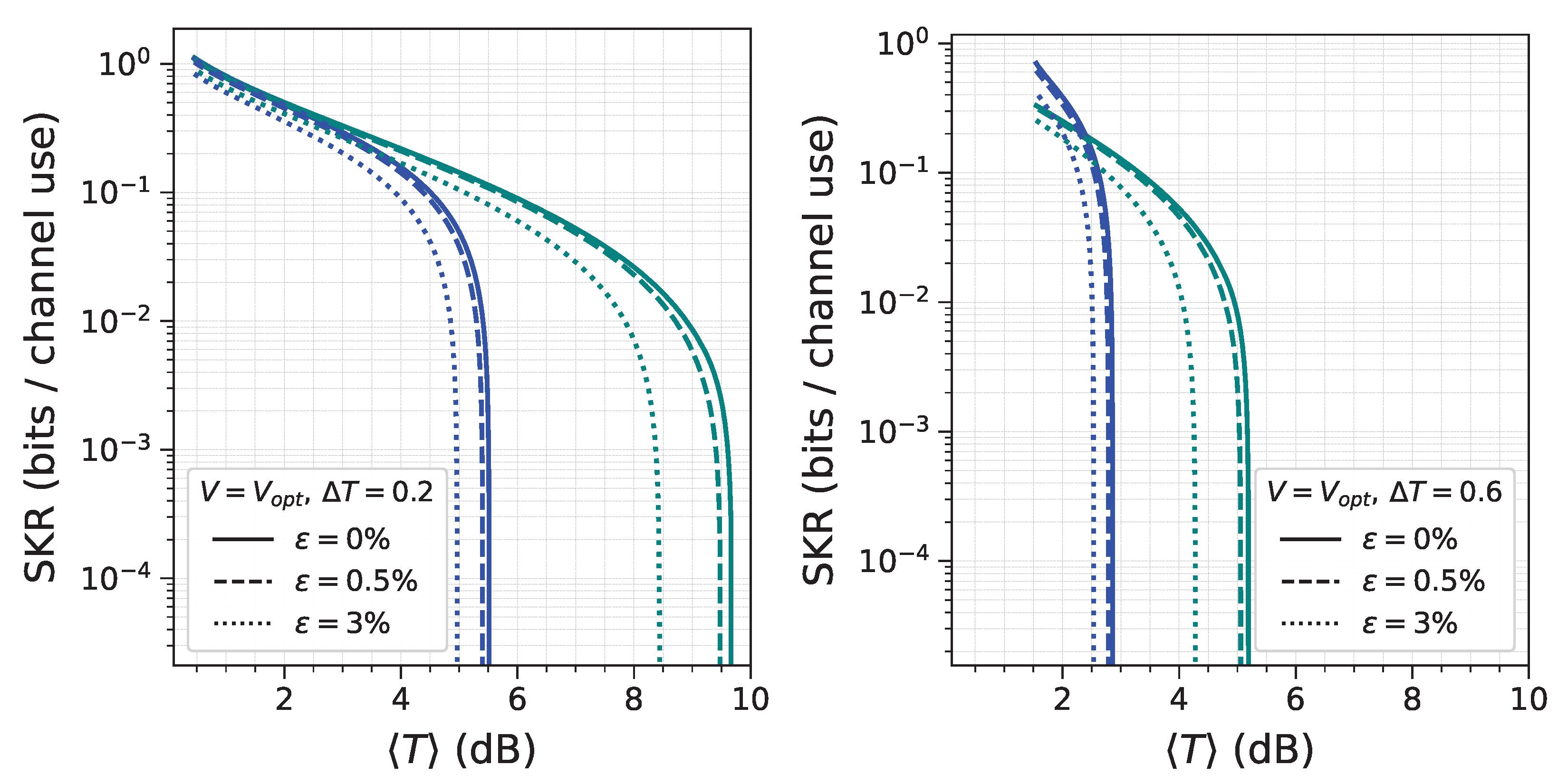
5. Results and Discussion
6. Conclusions
Author Contributions
Funding
Data Availability Statement
Conflicts of Interest
Appendix A. Asymptotic Approximation
Appendix B. Asymptotic Holevo-Bound Function
Appendix C. Holevo Bound in the CMA Approach
References
- Yin, H.L.; Chen, T.Y.; Yu, Z.W.; Liu, H.; You, L.X.; Zhou, Y.H.; Chen, S.J.; Mao, Y.; Huang, M.Q.; Zhang, W.J.; et al. Measurement-device-independent quantum key distribution over a 404 km optical fiber. Phys. Rev. Lett. 2016, 117, 190501. [Google Scholar] [CrossRef]
- Huang, D.; Huang, P.; Lin, D.; Zeng, G. Long-distance continuous-variable quantum key distribution by controlling excess noise. Sci. Rep. 2016, 6, 19201. [Google Scholar] [CrossRef]
- Orieux, A.; Diamanti, E. Recent advances on integrated quantum communications. J. Opt. 2016, 18, 083002. [Google Scholar] [CrossRef]
- Zhuang, S.C.; Li, B.; Zheng, M.Y.; Zeng, Y.X.; Wu, H.N.; Li, G.B.; Yao, Q.; Xie, X.P.; Li, Y.H.; Qin, H.; et al. Ultrabright Entanglement Based Quantum Key Distribution over a 404 km Optical Fiber. Phys. Rev. Lett. 2025, 134, 230801. [Google Scholar] [CrossRef] [PubMed]
- Fedrizzi, A.; Ursin, R.; Herbst, T.; Nespoli, M.; Prevedel, R.; Scheidl, T.; Tiefenbacher, F.; Jennewein, T.; Zeilinger, A. High-fidelity transmission of entanglement over a high-loss free-space channel. Nat. Phys. 2009, 5, 389–392. [Google Scholar] [CrossRef]
- Jin, X.M.; Ren, J.G.; Yang, B.; Yi, Z.H.; Zhou, F.; Xu, X.F.; Wang, S.K.; Yang, D.; Hu, Y.F.; Jiang, S.; et al. Experimental free-space quantum teleportation. Nat. Photonics 2010, 4, 376–381. [Google Scholar] [CrossRef]
- Sidhu, J.S.; Joshi, S.K.; Gündoğan, M.; Brougham, T.; Lowndes, D.; Mazzarella, L.; Krutzik, M.; Mohapatra, S.; Dequal, D.; Vallone, G.; et al. Advances in space quantum communications. IET Quantum Commun. 2021, 2, 182–217. [Google Scholar] [CrossRef]
- Pan, D.; Song, X.T.; Long, G.L. Free-space quantum secure direct communication: Basics, progress, and outlook. Adv. Devices Instrum. 2023, 4, 0004. [Google Scholar] [CrossRef]
- Liao, S.K.; Cai, W.Q.; Liu, W.Y.; Zhang, L.; Li, Y.; Ren, J.G.; Yin, J.; Shen, Q.; Cao, Y.; Li, Z.P.; et al. Satellite-to-ground quantum key distribution. Nature 2017, 549, 43–47. [Google Scholar] [CrossRef]
- Chen, Y.A.; Zhang, Q.; Chen, T.Y.; Cai, W.Q.; Liao, S.K.; Zhang, J.; Chen, K.; Yin, J.; Ren, J.G.; Chen, Z.; et al. An integrated space-to-ground quantum communication network over 4,600 kilometres. Nature 2021, 589, 214–219. [Google Scholar] [CrossRef]
- Xiang, X.; Shi, B.; Quan, R.; Liu, Y.; Xia, Z.; Hong, H.; Liu, T.; Wu, J.; Qiang, J.; Jia, J.; et al. Quantum two-way time transfer over a hybrid free-space and fiber link. Quantum Sci. Technol. 2023, 8, 045017. [Google Scholar] [CrossRef]
- Diamanti, E.; Leverrier, A. Distributing secret keys with quantum continuous variables: Principle, security and implementations. Entropy 2015, 17, 6072–6092. [Google Scholar] [CrossRef]
- Pirandola, S.; Andersen, U.L.; Banchi, L.; Berta, M.; Bunandar, D.; Colbeck, R.; Englund, D.; Gehring, T.; Lupo, C.; Ottaviani, C.; et al. Advances in quantum cryptography. Adv. Opt. Photonics 2020, 12, 1012–1236. [Google Scholar] [CrossRef]
- Cao, Y.; Zhao, Y.; Wang, Q.; Zhang, J.; Ng, S.X.; Hanzo, L. The evolution of quantum key distribution networks: On the road to the qinternet. IEEE Commun. Surv. Tutorials 2022, 24, 839–894. [Google Scholar] [CrossRef]
- Pirandola, S. Limits and security of free-space quantum communications. Phys. Rev. Res. 2021, 3, 013279. [Google Scholar] [CrossRef]
- Zhang, Y.; Bian, Y.; Li, Z.; Yu, S.; Guo, H. Continuous-variable quantum key distribution system: Past, present, and future. Appl. Phys. Rev. 2024, 11, 011318. [Google Scholar] [CrossRef]
- Klen, M.; Semenov, A. Numerical simulations of atmospheric quantum channels. Phys. Rev. A 2023, 108, 033718. [Google Scholar] [CrossRef]
- Li, L.; Huang, P.; Wang, T.; Zeng, G. Practical security of a chip-based continuous-variable quantum-key-distribution system. Phys. Rev. A 2021, 103, 032611. [Google Scholar] [CrossRef]
- Zuo, Z.; Wang, Y.; Mao, Y.; Ruan, X.; Guo, Y. Security of quantum communications in oceanic turbulence. Phys. Rev. A 2021, 104, 052613. [Google Scholar] [CrossRef]
- Hu, H.; Zhong, H.; Ye, W.; Guo, Y. Simultaneous two-way classical communication and measurement-device-independent quantum key distribution on oceanic quantum channels. Commun. Theor. Phys. 2022, 74, 125102. [Google Scholar] [CrossRef]
- Aman, W.; Al-Kuwari, S.; Muzzammil, M.; Rahman, M.M.U.; Kumar, A. Security of underwater and air–water wireless communication: State-of-the-art, challenges and outlook. Ad Hoc Netw. 2023, 142, 103114. [Google Scholar] [CrossRef]
- Zhang, Y.; Chen, Z.; Pirandola, S.; Wang, X.; Zhou, C.; Chu, B.; Zhao, Y.; Xu, B.; Yu, S.; Guo, H. Long-Distance Continuous-Variable Quantum Key Distribution over 202.81 km of Fiber. Phys. Rev. Lett. 2020, 125, 010502. [Google Scholar] [CrossRef]
- Qi, B.; Lougovski, P.; Pooser, R.; Grice, W.; Bobrek, M. Generating the Local Oscillator “Locally” in Continuous-Variable Quantum Key Distribution Based on Coherent Detection. Phys. Rev. X 2015, 5, 041009. [Google Scholar] [CrossRef]
- Papanastasiou, P.; Weedbrook, C.; Pirandola, S. Continuous-variable quantum key distribution in uniform fast-fading channels. Phys. Rev. A 2018, 97, 032311. [Google Scholar] [CrossRef]
- Dequal, D.; Trigo Vidarte, L.; Roman Rodriguez, V.; Vallone, G.; Villoresi, P.; Leverrier, A.; Diamanti, E. Feasibility of satellite-to-ground continuous-variable quantum key distribution. Npj Quantum Inf. 2021, 7, 3. [Google Scholar] [CrossRef]
- Fan, L.; Bian, Y.; Zhang, Y.; Yu, S. Free-space continuous-variable quantum key distribution with imperfect detector against uniform fast-fading channels. Symmetry 2022, 14, 1271. [Google Scholar] [CrossRef]
- Yang, F.; Qiu, D.; Mateus, P. Continuous-variable quantum secret sharing in fast-fluctuating channels. IEEE Trans. Quantum Eng. 2023, 4, 4100809. [Google Scholar] [CrossRef]
- Zhao, R.; Zhou, J.; Shi, R.; Shi, J. Unidimensional continuous variable quantum key distribution under fast fading channel. Ann. Der Phys. 2024, 536, 2300401. [Google Scholar] [CrossRef]
- Zhao, R.; Zhou, J.; Shi, R.; Shi, J.; He, G. Continuous-variable measurement-device-independent multipartite quantum communication via a fast-fading channel. Phys. Rev. A 2025, 111, 012613. [Google Scholar] [CrossRef]
- Dong, R.; Lassen, M.; Heersink, J.; Marquardt, C.; Filip, R.; Leuchs, G.; Andersen, U.L. Continuous-variable entanglement distillation of non-Gaussian mixed states. Phys. Rev. A—Atomic Mol. Opt. Phys. 2010, 82, 012312. [Google Scholar] [CrossRef]
- Usenko, V.C.; Heim, B.; Peuntinger, C.; Wittmann, C.; Marquardt, C.; Leuchs, G.; Filip, R. Entanglement of Gaussian states and the applicability to quantum key distribution over fading channels. New J. Phys. 2012, 14, 093048. [Google Scholar] [CrossRef]
- Navascués, M.; Grosshans, F.; Acín, A. Optimality of Gaussian attacks in continuous-variable quantum cryptography. Phys. Rev. Lett. 2006, 97, 190502. [Google Scholar] [CrossRef]
- Lapidoth, A.; Shamai, S. Fading channels: How perfect need “perfect side information” be? IEEE Trans. Inf. Theory 2002, 48, 1118–1134. [Google Scholar] [CrossRef]
- Pirandola, S. Composable security for continuous variable quantum key distribution: Trust levels and practical key rates in wired and wireless networks. Phys. Rev. Res. 2021, 3, 043014. [Google Scholar] [CrossRef]
- Pirandola, S. Satellite quantum communications: Fundamental bounds and practical security. Phys. Rev. Res. 2021, 3, 023130. [Google Scholar] [CrossRef]
- Grosshans, F.; Grangier, P. Reverse reconciliation protocols for quantum cryptography with continuous variables. arXiv 2002, arXiv:quant-ph/0204127. [Google Scholar] [CrossRef]
- Jouguet, P.; Kunz-Jacques, S.; Leverrier, A. Long-distance continuous-variable quantum key distribution with a Gaussian modulation. Phys. Rev. A—Atomic Mol. Opt. Phys. 2011, 84, 062317. [Google Scholar] [CrossRef]
- Weedbrook, C.; Pirandola, S.; García-Patrón, R.; Cerf, N.J.; Ralph, T.C.; Shapiro, J.H.; Lloyd, S. Gaussian quantum information. Rev. Mod. Phys. 2012, 84, 621–669. [Google Scholar] [CrossRef]
- Scarani, V.; Bechmann-Pasquinucci, H.; Cerf, N.J.; Dušek, M.; Lütkenhaus, N.; Peev, M. The security of practical quantum key distribution. Rev. Mod. Phys. 2009, 81, 1301–1350. [Google Scholar] [CrossRef]
- Fossier, S.; Diamanti, E.; Debuisschert, T.; Tualle-Brouri, R.; Grangier, P. Improvement of continuous-variable quantum key distribution systems by using optical preamplifiers. J. Phys. B At. Mol. Opt. Phys. 2009, 42, 114014. [Google Scholar] [CrossRef]
- Leverrier, A.; Grosshans, F.; Grangier, P. Finite-size analysis of a continuous-variable quantum key distribution. Phys. Rev. A—Atomic Mol. Opt. Phys. 2010, 81, 062343. [Google Scholar] [CrossRef]
- Serafini, A. Quantum Continuous Variables: A Primer of Theoretical Methods; CRC Press: Boca Raton, FL, USA, 2017. [Google Scholar]
- Laudenbach, F.; Pacher, C.; Fung, C.H.F.; Poppe, A.; Peev, M.; Schrenk, B.; Hentschel, M.; Walther, P.; Hübel, H. Continuous-variable quantum key distribution with Gaussian modulation—The theory of practical implementations. Adv. Quantum Technol. 2018, 1, 1800011. [Google Scholar] [CrossRef]
- Garcia-Patron Sanchez, R. Quantum Information with Optical Continuous Variables: From Bell Tests to Key Distribution. Ph.D. Thesis, Université Libre de Bruxelles, Brussels, Belgium, 2007. [Google Scholar]
- Walschaers, M. Non-Gaussian quantum states and where to find them. PRX Quantum 2021, 2, 030204. [Google Scholar] [CrossRef]
- Hosseinidehaj, N.; Walk, N.; Ralph, T.C. Composable finite-size effects in free-space continuous-variable quantum-key-distribution systems. Phys. Rev. A 2021, 103, 012605. [Google Scholar] [CrossRef]
- Trigo Vidarte, L. Design and Implementation of High-Performance Devices for Continuous-Variable Quantum Key Distribution. Ph.D. Thesis, Université Paris Saclay (COmUE), Gif-sur-Yvette, France, 2019. [Google Scholar]
- Lu, F.Y.; Wang, Z.H.; Zhou, Y.; Fan, Y.X.; Wang, S.; Yin, Z.Q.; Li, J.; He, D.Y.; Wang, F.X.; Chen, W.; et al. Fully heterogeneous prepare-and-measure quantum network for the next stage of quantum internet. Nat. Commun. 2025, 16, 11487. [Google Scholar] [CrossRef] [PubMed]





Disclaimer/Publisher’s Note: The statements, opinions and data contained in all publications are solely those of the individual author(s) and contributor(s) and not of MDPI and/or the editor(s). MDPI and/or the editor(s) disclaim responsibility for any injury to people or property resulting from any ideas, methods, instructions or products referred to in the content. |
© 2026 by the authors. Licensee MDPI, Basel, Switzerland. This article is an open access article distributed under the terms and conditions of the Creative Commons Attribution (CC BY) license.
Share and Cite
Castillo-Celeita, M.; Schiavon, M. The Role of Averages in CV-QKD over Fast Fading Channels. Entropy 2026, 28, 388. https://doi.org/10.3390/e28040388
Castillo-Celeita M, Schiavon M. The Role of Averages in CV-QKD over Fast Fading Channels. Entropy. 2026; 28(4):388. https://doi.org/10.3390/e28040388
Chicago/Turabian StyleCastillo-Celeita, Miguel, and Matteo Schiavon. 2026. "The Role of Averages in CV-QKD over Fast Fading Channels" Entropy 28, no. 4: 388. https://doi.org/10.3390/e28040388
APA StyleCastillo-Celeita, M., & Schiavon, M. (2026). The Role of Averages in CV-QKD over Fast Fading Channels. Entropy, 28(4), 388. https://doi.org/10.3390/e28040388

