Sign in to use this feature.

Years

Between: -

Subjects

remove_circle_outline
remove_circle_outline
remove_circle_outline
remove_circle_outline
remove_circle_outline
remove_circle_outline
remove_circle_outline
remove_circle_outline
remove_circle_outline

Journals

remove_circle_outline
remove_circle_outline
remove_circle_outline
remove_circle_outline
remove_circle_outline
remove_circle_outline
remove_circle_outline
remove_circle_outline
remove_circle_outline
remove_circle_outline
remove_circle_outline
remove_circle_outline
remove_circle_outline
remove_circle_outline

Article Types

Countries / Regions

remove_circle_outline
remove_circle_outline
remove_circle_outline
remove_circle_outline
remove_circle_outline

Search Results (650)

Search Parameters:
Keywords = displaced communities

Order results
Result details
Results per page
Select all
Export citation of selected articles as:
29 pages, 6910 KB  
Article
When Growth Impedes Resort Renewal: A Path Dependence Perspective on the Impact of Scarce Resources on Product Innovation in Atami, Japan
by Eric Hanada, Giles B. Sioen and Riki Honda
Tour. Hosp. 2026, 7(1), 3; https://doi.org/10.3390/tourhosp7010003 - 23 Dec 2025
Abstract
The Tourism Area Life Cycle shaped tourism research for decades, but its concepts Product Life Cycle and Carrying Capacity remain problematic. We apply a Path Dependence frame under an Urban Growth Machine Theory lens to explore the effects of growth pressure and resource [...] Read more.
The Tourism Area Life Cycle shaped tourism research for decades, but its concepts Product Life Cycle and Carrying Capacity remain problematic. We apply a Path Dependence frame under an Urban Growth Machine Theory lens to explore the effects of growth pressure and resource undersupply on the decline and rejuvenation of Japan’s former premier hot spring resort Atami. We conduct structured data collection utilizing sampling and coding methods to collect quantitative and qualitative data from primary and secondary sources, reconstructing Atami’s development paths. Findings suggest that growth pressure conflicted with local supply such as land, water, labor and created negative externalities, most notably high prices. Decision makers’ uncompromising focus on growth aggravated displacement of key actors, disrupting local communities and undermining the human agency needed for small-scale product innovation; empowered associations obstructing promotion and diversification efforts; encouraged extreme specialization depriving Atami of new independent businesses; and drove local opposition to major new projects, thereby stalling product renewal. The framework helped recontextualize Atami’s recovery and demonstrated the value of directly incorporating factors of capacity into analysis. Results link displacement to long-term sustainability risks affecting ‘replaceable’ resorts reliant on innovation. Unencumbered access to local resources for residents (housing, training) is proposed as mitigation. Full article
(This article belongs to the Special Issue Sustainability of Tourism Destinations)
Show Figures

Figure 1

21 pages, 2693 KB  
Review
Inclusion in Neglected Tropical Disease Programmes: A Review of Inclusive Approaches for Control and Elimination
by Ismat Zehra Juma, Opeoluwa Oguntoye, Girija Sankar, Joerg Weber, Babar Qureshi and Juliana Amanyi-Enegela
Healthcare 2026, 14(1), 27; https://doi.org/10.3390/healthcare14010027 - 22 Dec 2025
Abstract
Neglected Tropical Diseases (NTDs) disproportionately affect the world’s most marginalised populations, yet programmes aiming to control and eliminate NTDs often fail to fully address the structural, social, and political dimensions of exclusion. This narrative review examines the concept of inclusion within NTD programming, [...] Read more.
Neglected Tropical Diseases (NTDs) disproportionately affect the world’s most marginalised populations, yet programmes aiming to control and eliminate NTDs often fail to fully address the structural, social, and political dimensions of exclusion. This narrative review examines the concept of inclusion within NTD programming, with a particular focus on intersecting forms of marginalisation, including poverty, gender, disability, and displacement. Drawing on studies from 2010 to 2025, from various databases such as google scholar, PubMed and PLOS, this review synthesises evidence on barriers to equitable healthcare access, the role of community-driven approaches, and the integration of inclusive strategies within NTD programming and broader health systems. Key themes include the impact of structural inequalities such as racism and poverty, the need for gender-responsive services, the marginalisation of displaced communities, and the critical role of community empowerment through mechanisms like peer support and community drug distribution of NTD medicines. The review proposes a working definition of inclusion in NTDs as the intentional integration of underserved groups into all levels of programming, policy, and service delivery. It highlights the urgency of reframing NTDs not just as biomedical challenges but as deeply embedded social justice issues. By embedding inclusion into programme design, implementation, and evaluation, stakeholders can better align NTD responses with global equity goals and the Sustainable Development Goals. Full article
(This article belongs to the Special Issue Disability Studies and Disability Evaluation)
Show Figures

Figure 1

18 pages, 2892 KB  
Article
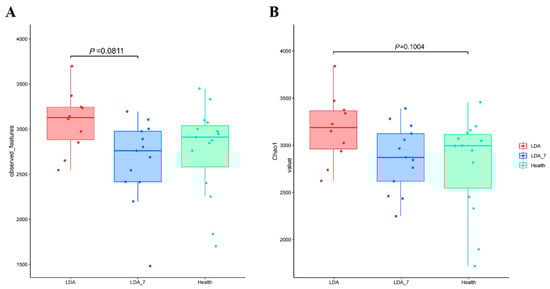
Effects of Left-Displaced Abomasum on the Rumen Microbiota of Dairy Cows
by Zihang Qin, Yawei Sun, Jiaqi Zhang, Yunle Cui, Haiyang Hu, Yuefeng Chu, Xin Li, Xuelian Ma, Gang Yao, Chuanjun Wang, Bao Wang, Qiang Fu, Qi Zhong and Na Li
Microorganisms 2026, 14(1), 30; https://doi.org/10.3390/microorganisms14010030 - 22 Dec 2025
Viewed by 26
Abstract
In this experiment, the rumen microbiota of healthy cows, cows with left-displaced abomasum (LDA), and cows after 7 days of LDA treatment (LDA_7) were compared to explore the correlation between LDA and the rumen microbiota and identify early warning markers for LDA. Compared [...] Read more.
In this experiment, the rumen microbiota of healthy cows, cows with left-displaced abomasum (LDA), and cows after 7 days of LDA treatment (LDA_7) were compared to explore the correlation between LDA and the rumen microbiota and identify early warning markers for LDA. Compared with the healthy group and the LDA_7 group, the LDA group exhibited fewer Operational Taxonomic Units (LDA: 21,361; Healthy: 23,231; LDA_7: 23,956; p < 0.05). The results revealed significant differences in community structure between LDA-affected cows and healthy cows, as well as between treated and untreated LDA-affected cows. Specifically, the relative abundance of Bacteroidota significantly increased and the relative abundance of Firmicutes significantly decreased in LDA-affected cows (p < 0.05). At the genus level, the abundances of UCG_002, UCG_010, and Bacteroidales_BS11_gut_group significantly increased (p < 0.01), whereas those of Trichosporon, Chryseomicrobium, and [Ruminococcus]_gauvreauii_group significantly decreased in LDA-affected cows (p < 0.01). Functional prediction analysis indicated that amino acid biosynthesis and glycerol ester metabolism were significantly downregulated in LDA-affected cows (p < 0.01). After treatment, the abundance of key microbial taxa (UCG_002 and Lachnospira) and metabolic functions normalized to levels similar to healthy cows (p > 0.05). These findings suggest that changes in rumen microbiota richness and diversity could serve as early warning markers for LDA detection. Full article
Show Figures

Figure 1

35 pages, 5856 KB  
Article
Design, Modeling, and Experimental Study of a Constant-Force Floating Compensator for a Grinding Robot
by Yapeng Xu, Keke Zhang, Kai Guo, Wuyi Ming, Jun Ma, Shoufang Wang and Yuanpeng Ye
Actuators 2026, 15(1), 4; https://doi.org/10.3390/act15010004 - 21 Dec 2025
Viewed by 57
Abstract
Robot grinding requires a constant interaction force between the tool and the workpiece, even under inclination changes. This paper proposes a compact single-axis pneumatic constant-force floating compensator (CFFC) to achieve constant force output. The proportional pressure valve and pressure sensor are used to [...] Read more.
Robot grinding requires a constant interaction force between the tool and the workpiece, even under inclination changes. This paper proposes a compact single-axis pneumatic constant-force floating compensator (CFFC) to achieve constant force output. The proportional pressure valve and pressure sensor are used to regulate the cylinder’s pressure. Pneumatic components and sensors are integrated into the narrow space between the cylinder and the slide rail. Embedded controller, power, and communication modules are developed and integrated into a control box and interact with the operator by a touch screen. The mathematical models of the compensator are established and the stability and response dynamics are analyzed through transfer functions. A dual-loop force controller based on active disturbance rejection control (ADRC) is designed to address bias load, inclination change, friction, and the sealing cover spring effect. The outer loop is compensated by displacement, tilt, and pressure sensors, and the unmodeled dynamics are estimated by an extended state observer (ESO) and a recursive least square (RLS). Finally, the CFFC is installed on a testing platform to simulate grinding conditions. The experimental results show that even under large floating stroke, inclination changes, and biased load, the CFFC can still quickly and stably output the desired grinding force. Full article
Show Figures

Figure 1

15 pages, 528 KB  
Protocol
Proposed Protocol for Orofacial Pain Assessment Prior to Orthodontic Treatment: An Expert-Informed Framework
by Jumana Jbara and Ziad D. Baghdadi
Adolescents 2026, 6(1), 3; https://doi.org/10.3390/adolescents6010003 - 20 Dec 2025
Viewed by 186
Abstract
Background: Temporomandibular disorders (TMDs) are the most common source of non-dental orofacial pain, with peak prevalence during adolescence and young adulthood—the same age group when orthodontic treatment is typically initiated. Although orthodontics is not a proven cause of TMD, pre-existing dysfunction may be [...] Read more.
Background: Temporomandibular disorders (TMDs) are the most common source of non-dental orofacial pain, with peak prevalence during adolescence and young adulthood—the same age group when orthodontic treatment is typically initiated. Although orthodontics is not a proven cause of TMD, pre-existing dysfunction may be aggravated during treatment, creating clinical and medico-legal risks. Objective: This paper proposes a structured diagnostic questionnaire and scoring framework for pre-orthodontic TMD assessment. The protocol aims to enhance the early recognition of high-risk patients, facilitate interdisciplinary communication, and lay a foundation for systematic validation. Methods: The framework was developed through synthesis of international diagnostic criteria (DC/TMD), a targeted narrative review of the literature, and expert clinical input. Diagnostic categories were selected based on prevalence, impact on orthodontic outcomes, and medico-legal significance. Weighted scoring stratifies patients into three pathways: (1) proceed with orthodontics without concern, (2) proceed with monitoring, or (3) defer orthodontics until TMD is managed. Results: The proposed questionnaire is designed to address inconsistencies in literature by applying standardized diagnostic items and objective thresholds (e.g., jaw opening < 38 mm), and structured follow-up intervals. Case scenarios illustrate how risk stratification guides decision-making. The questionnaire includes intra-articular and pain-related TMD entities such as disk displacement, degenerative joint disease, myalgia, myofascial pain, arthralgia, headache, and trismus. The framework provides orthodontists with defensible baseline documentation while supporting safe and individualized patient care. Conclusions: Inconsistent diagnostic frameworks, malocclusion classifications, and outcome measures have fragmented the evidence base in orthodontics and TMD. The framework aims to provide orthodontists with structured baseline documentation that may support clinical decision-making and medico-legal risk management. Validation studies are required to establish psychometric reliability and international applicability. Full article
(This article belongs to the Special Issue Dentistry for Adolescents)
27 pages, 7672 KB  
Article
Platform Urbanism and Land-Use Transformation in Shanghai: Dual Neighborhood Impacts of E-Commerce Logistics in Relation to the 2017–2035 Master Plan
by Jane Zheng and Yuanyi Zhao
Land 2026, 15(1), 4; https://doi.org/10.3390/land15010004 - 19 Dec 2025
Viewed by 218
Abstract
This study examines how platformized e-commerce logistics reshapes urban land use at the neighborhood scale, using Shanghai as an empirical case. It argues that last-mile logistics infrastructure operates through two intertwined mechanisms: as physical service nodes that generate localized pedestrian flows sustaining neighborhood [...] Read more.
This study examines how platformized e-commerce logistics reshapes urban land use at the neighborhood scale, using Shanghai as an empirical case. It argues that last-mile logistics infrastructure operates through two intertwined mechanisms: as physical service nodes that generate localized pedestrian flows sustaining neighborhood retail, and as neighborhood-level execution points within a digitally coordinated logistics system that produces citywide substitution pressures and restructures commercial spaces, particularly community-oriented shopping malls. Theoretically, the study advances platform and logistics urbanism by reconceptualizing last-mile infrastructure as a dual-role urban system with scale-dependent land-use effects. Methodologically, it combines street-segment regression analysis with shopping-mall case studies to link logistics proximity to fine-grained spatial outcomes. Empirically, the findings reveal complementary effects for street retail alongside accelerated restructuring and functional repurposing in community malls—patterns not captured by uniform displacement models. Planning analysis further identifies a governance mismatch in Shanghai’s 2017–2035 Master Plan, underscoring the need for platform-responsive planning to address emerging hybrid commercial–logistics spaces. Full article
Show Figures

Figure 1

14 pages, 3441 KB  
Article
Improved Biomethane Potential by Substrate Augmentation in Anaerobic Digestion and Biodigestate Utilization in Meeting Circular Bioeconomy
by Wame Bontsi, Nhlanhla Othusitse, Amare Gessesse and Lesedi Lebogang
Energies 2025, 18(24), 6505; https://doi.org/10.3390/en18246505 - 12 Dec 2025
Viewed by 240
Abstract
Waste generated from agricultural activities is anticipated to increase in the future, especially in less developed countries, and this could cause environmental health risks if these wastes are not well managed. The anaerobic digestion (AD) by co-digesting organic waste is a technology used [...] Read more.
Waste generated from agricultural activities is anticipated to increase in the future, especially in less developed countries, and this could cause environmental health risks if these wastes are not well managed. The anaerobic digestion (AD) by co-digesting organic waste is a technology used to produce biogas while utilizing biodigestate as a biofertilizer; however, AD requires a lot of water to be efficient, which could pose water challenges to arid areas. This study evaluated biogas production under semi-dry conditions by augmenting the process with a high-water content wild melon and determined the nutrient composition of the resultant biodigestate. Batch studies of AD were performed to evaluate methane potential of the different animal waste using an online and standardized Automatic Methane Potential Test System (AMPTS) II light for approximately 506 h (21 days) at 38 °C. The highest biomethane potential (BMP) determined for mono and co-substrate digestion was 29.5 NmL CH4/g VS (CD) and 63.3 NmL CH4/g VS (CMWM), respectively, which was calculated from AMPTS biomethane yield of 3166.2 NmL (CD) and 1480.6 NmL (CMWM). Water-displacement method was also used to compare biogas yield in wet and semi-dry AD. The results showed high biogas yield of 8480 mL for CM (mono-substrate) and 10,975 mL for CMCC in wet AD. Semi-dry AD was investigated by replacing water with a wild melon (WM), and the highest biogas production was 8000 mL from the CMCC combination augmented with WM. Generally, in wet AD, co-digestion was more effective in biogas production than mono-substrate AD. The biodigestate from different substrate combinations were also evaluated for nutrient composition using X-ray Fluorescence (XRF) analysis, and all the samples contained fair amount of essential nutrients such as calcium (Ca), phosphorus (P), potassium (K) and microelements such as chloride (Cl), magnesium (Mn), iron (Fe), zinc (Zn). This study successfully implemented semi-dry AD from co-digested animal wastes to produce biogas as an energy solution and biofertilizer for crop production, thereby creating a closed-loop system that supports a circular bioeconomy. In addition, the study confirmed that lowering the water content in the AD process is feasible without compromising substantial biogas production. This technology, when optimized and well implemented, could provide sustainable biogas production in areas with water scarcity, therefore making the biogas production process accessible to rural communities. Full article
Show Figures

Figure 1

22 pages, 278 KB  
Article
Narrative Injustice and the Legal Erasure of Indigeneity: A TWAIL Reframing of the Kashmiri Pandit Case in Postcolonial International Law
by Shilpi Pandey
Laws 2025, 14(6), 96; https://doi.org/10.3390/laws14060096 - 10 Dec 2025
Viewed by 256
Abstract
This article examines the persistent legal invisibility of the Kashmiri Pandits within international frameworks on indigenous rights and internal displacement. Despite meeting definitional criteria under the United Nations Declaration on the Rights of Indigenous Peoples (UNDRIP) and the Guiding Principles on Internal Displacement, [...] Read more.
This article examines the persistent legal invisibility of the Kashmiri Pandits within international frameworks on indigenous rights and internal displacement. Despite meeting definitional criteria under the United Nations Declaration on the Rights of Indigenous Peoples (UNDRIP) and the Guiding Principles on Internal Displacement, the community remains unrecognised as either indigenous or internally displaced. Drawing on Third World Approaches to International Law (TWAIL), constructivist norm diffusion and decolonial intersectional critique, this article argues that this exclusion arises not from normative ambiguity but from geopolitical selectivity and epistemic suppression. Through doctrinal analysis of India’s treaty commitments, including its accession to the Genocide Convention (1959) and its interpretative reservation to Article 1 of the International Covenant on Economic, Social and Cultural Rights (ICESCR) and International Covenant on Civil and Political Rights (ICCPR) (1979), this study reveals how recognition is constrained by state narratives of sovereignty and secularism. Supported by evidence from the NHRC inquiry, IDMC displacement data, and comparative experiences such as Native American recognition this paper demonstrates that categories of protection in international law are applied unevenly, depending on political compatibility rather than legal principle. It calls for renewed engagement with epistemic justice and narrative accountability in rethinking indigeneity and displacement in postcolonial contexts. Full article
20 pages, 2948 KB  
Article
Interconnected Challenges: Examining the Impact of Poverty, Disability, and Mental Health on Refugees and Host Communities in Northern Mozambique
by Theresa Beltramo, Florence Nimoh, Sandra Sequeira and Peter Ventevogel
Healthcare 2025, 13(24), 3187; https://doi.org/10.3390/healthcare13243187 - 5 Dec 2025
Viewed by 307
Abstract
Background: Poverty, disability, and mental health may reinforce one another. Forced displacement can compound these challenges, yet comparable data on displaced and non-displaced groups in the same setting are scarce. This study examines associations among mental health, disability, pessimism, loneliness, self-esteem, and financial [...] Read more.
Background: Poverty, disability, and mental health may reinforce one another. Forced displacement can compound these challenges, yet comparable data on displaced and non-displaced groups in the same setting are scarce. This study examines associations among mental health, disability, pessimism, loneliness, self-esteem, and financial security for refugees and nearby host communities in Mozambique. Methods: Ultra-poor adults—refugees (n = 134) and Mozambican nationals living near the settlement (n = 314)—were identified using a World Bank poverty scorecard. Surveys captured depression (PHQ-9), anxiety (GAD-7), disability (Washington Group Short Set), and socioeconomic characteristics. Results: Symptom rates are high in both groups—depression: 34% (refugees) vs. 29% (hosts); anxiety: 25% overall—with women reporting higher levels. Disability prevalence is substantial (refugees 25%; hosts 22%). Respondents with disabilities show markedly higher rates of depression (≈2×) and anxiety (≈3×). Financial security is negatively associated with symptom scores: a one-unit-higher financial security index correlates with a 0.069 lower anxiety score (p < 0.05) and a 0.069 lower depression score (p < 0.01). Pessimism is positively associated with poorer mental health; anxiety and depression are more than 2.5× as prevalent among chronically pessimistic respondents. Loneliness shows no clear association with anxiety or depression in this sample, whereas low self-esteem is strongly associated with both; prevalence of GAD and depression is more than twice as high among those with low self-esteem. Conclusions: We document strong associations between poverty, disability, and mental health. These patterns underscore the importance of strengthening mental and public health services for both refugees and hosts, with particular attention to women and disabled individuals. Full article
(This article belongs to the Special Issue Healthcare for Immigrants and Refugees)
Show Figures

Figure 1

18 pages, 312 KB  
Opinion
Clinical Social Work’s Place in Migrant Justice: A Call to Act on Our Ethical Commitments
by Cherra M. Mathis, Mary Lehman Held, Karen E. Latus and Laurie Cook Heffron
Soc. Sci. 2025, 14(12), 701; https://doi.org/10.3390/socsci14120701 - 5 Dec 2025
Viewed by 639
Abstract
Migrating people fleeing violence and persecution face narrowing options to seek safety through the U.S. immigration courts. Social work’s historical and ongoing commitment to immigrant health and immigrant justice supports an enlarged presence within asylum and other immigration processes. In the role of [...] Read more.
Migrating people fleeing violence and persecution face narrowing options to seek safety through the U.S. immigration courts. Social work’s historical and ongoing commitment to immigrant health and immigrant justice supports an enlarged presence within asylum and other immigration processes. In the role of experts, social work clinicians can evaluate displaced people to collect evidence of harm, draft reports and affidavits for the lawyer, and may even testify to educate the court on the physical and mental sequelae of violence and trauma. They play an essential part in communicating the complexity of migrating people’s stories to adjudicators. Social work clinicians seeking to join this work will attune to cultural humility, relationship building, and an opportunity to support displaced peoples’ human right to safety, in line with the skills and values of the profession. This paper serves as a brief introduction to how clinical social workers can use their mental health expertise to contribute to immigrant legal proceedings, as well as a call to action to invite both new and established social workers to use their clinical skills to meet our profession’s ethical obligations to the human rights of migrating people. Full article
(This article belongs to the Special Issue International Social Work Practices with Immigrants and Refugees)
30 pages, 11175 KB  
Article
Urban High-Rise Building Asymmetric Settlement Induced by Subsurface Geological Anomalies: A Case Analysis of Mechanisms and Mitigation Strategies
by Xuedong Cui
Symmetry 2025, 17(12), 2068; https://doi.org/10.3390/sym17122068 - 3 Dec 2025
Viewed by 268
Abstract
Urban geological complexities induce asymmetric differential settlement of high-rise buildings, threatening structural stability and necessitating sustainable remediation. This study combines field monitoring with geotechnical simulations to diagnose karst void-induced foundation failures in the Zhongyi Park Wangfu Community (Guizhou karst urban area), proposing a [...] Read more.
Urban geological complexities induce asymmetric differential settlement of high-rise buildings, threatening structural stability and necessitating sustainable remediation. This study combines field monitoring with geotechnical simulations to diagnose karst void-induced foundation failures in the Zhongyi Park Wangfu Community (Guizhou karst urban area), proposing a low-carbon grouting strategy for subsurface spatial reinforcement. Key findings include the following: (1) Field monitoring identified significant asymmetric settlement and lateral displacement of the structure, primarily caused by the presence of voids in the strata and piles not founded on bedrock. (2) Theoretical modeling reveals that geotechnical properties of soil at the pile tip and along the pile shaft are the most critical factors controlling settlement magnitude, with larger cavity heights further intensifying the asymmetric deformation. (3) A novel grouting lifting strategy was implemented, involving layered reinforcement of weak soil above the pile end and grout-based compaction to generate controlled uplift force, targeting the mitigation of asymmetric settlement. (4) Post-intervention monitoring confirmed the strategy’s effectiveness, achieving a final deviation of only 2 cm in compliance with national standards (with asymmetric characteristics effectively controlled), while utilizing environmentally sustainable materials. Full article
(This article belongs to the Section Engineering and Materials)
Show Figures

Figure 1

11 pages, 1046 KB  
Article
Patterns of Species Dominance in Two Coastal Restorations: Evidence of Sustained Seagrass Success over Long Time Scales
by Susan S. Bell and Kasey L. MacLeod
Diversity 2025, 17(12), 832; https://doi.org/10.3390/d17120832 - 2 Dec 2025
Viewed by 260
Abstract
Restoration in coastal settings by reconstructing seagrass coverage after widespread loss has generally been monitored over a short time, with few studies extending ≥5 years. We assemble monitoring data available from two seagrass restoration areas in Florida, USA, to examine community development of [...] Read more.
Restoration in coastal settings by reconstructing seagrass coverage after widespread loss has generally been monitored over a short time, with few studies extending ≥5 years. We assemble monitoring data available from two seagrass restoration areas in Florida, USA, to examine community development of benthic macrophytes from 1989 to 2025 after planting of the early successional seagrass, Halodule wrightii. Using field data collected at varying intervals, we (1) examined patterns of species persistence, investigating species replacement or persistence of benthic macrophyte taxa and (2) compared temporal patterns of species dominance in restored versus nearby natural reference sites. The pattern and tempo of seagrass expansion by H. wrightii at each of the two restoration areas differed. At Lassing Park, episodes of H. wrightii dominance were intermixed with a period of multi-species composition and co-dominance. After a bloom of the macroalga, Caulerpa prolifera, displaced seagrass in 2006, H. wrightii quickly recolonized the restoration site. At Shell Key, H. wrightii was the only species recorded at the restoration site over two decades. Species dominance by H. wrightii was recorded in both restoration and natural sites. Our findings illustrate the value of long-term monitoring for evaluating the resilience of restoration efforts and adopting extended monitoring programs. Such efforts would be enhanced by the genesis of innovative ideas for data collection and new methods for following the post-planting of seagrass. Full article
Show Figures

Figure 1

19 pages, 259 KB  
Article
Wartime Experiences of Single Parents by Choice
by Dorit Segal-Engelchin, Maya Tsfati and Alean Al-Krenawi
Healthcare 2025, 13(23), 3133; https://doi.org/10.3390/healthcare13233133 - 2 Dec 2025
Viewed by 439
Abstract
Background/Objectives: Despite extensive research on the outcomes faced by parents in contexts of political violence, as well as the protective factors that enhance their well-being, the experiences of single parents by choice (SPCs) in such circumstances have largely been neglected. This study sought [...] Read more.
Background/Objectives: Despite extensive research on the outcomes faced by parents in contexts of political violence, as well as the protective factors that enhance their well-being, the experiences of single parents by choice (SPCs) in such circumstances have largely been neglected. This study sought to address this gap by examining the experiences of SPCs during the current phase of the Israel–Hamas war that began on 7 October 2023. Method: This qualitative study used a context-informed approach. Semi-structured interviews were conducted with 11 Israeli SPCs (5 fathers and 6 mothers), including 2 displaced due to the destruction of their homes. All participants were secular Jews, predominantly middle- to upper-middle-class, aged 40–58, and had at least one child aged 15 months to 17 years. A thematic analysis method was utilized. Results: Two overarching themes emerged from the interviews, shaping participants’ wartime experiences: (1) the intensified challenges associated with parenting alone in the context of armed conflict and (2) the factors that mediated the impact of these challenges. Three key challenges identified by participants included: (1) persistent perceptions of danger and threat to life; (2) heightened financial insecurity; and (3) significant disruptions to daily routines. Three systemic-level protective factors were identified as instrumental in mitigating these challenges: (1) engagement in joint familial activities; (2) the presence of a supportive work environment; and (3) social and political engagement. These factors appeared to foster resilience and enhance participants’ psychological coping capacities amidst ongoing conflict. Conclusions: By highlighting the distinct stressors faced by SPCs in wartime and the factors mediating their impact on well-being, our findings extend the Stress Process Model to conflict settings, enhancing understanding of how single parenting is contextually shaped during major community crises. The findings may encourage clinicians and social workers to adopt a more nuanced approach when working with parents in conflict zones, enabling them to tailor interventions to the specific needs of different family structures. For SPCs, such interventions may include tele-counseling to provide psychosocial support and guidance for parents in supporting their children, without the need for childcare or travel, as well as advocacy for workplace policies that reduce financial and emotional vulnerabilities. Full article
21 pages, 617 KB  
Article
An Exploratory Study on Application of Inter-Agency Standing Committee (IASC) Guidelines in Borno State, Northeastern Nigeria
by Osita Kingsley Odo, Stephen Meyers, Lilian Ebere Anazube, Ijeoma J. Ogu and Ijeoma Igwe
Laws 2025, 14(6), 94; https://doi.org/10.3390/laws14060094 - 30 Nov 2025
Viewed by 318
Abstract
Persons with disabilities (PWDs) face disproportionate risks during humanitarian crises, yet their inclusion in aid delivery remains limited. To address this, the Inter-Agency Standing Committee (IASC) introduced the Guidelines on the Inclusion of Persons with Disabilities in Humanitarian Action in 2019. The IASC [...] Read more.
Persons with disabilities (PWDs) face disproportionate risks during humanitarian crises, yet their inclusion in aid delivery remains limited. To address this, the Inter-Agency Standing Committee (IASC) introduced the Guidelines on the Inclusion of Persons with Disabilities in Humanitarian Action in 2019. The IASC guidelines provide a global framework for mainstreaming disability inclusion. This exploratory study examines how these guidelines are applied in Borno State, Northeastern Nigeria, a region marked by protracted conflict, displacement and insecurity. Using a qualitative phenomenological approach, data were gathered through in-depth interviews from 20 humanitarian practitioners and supplemented with secondary sources. Thematic analysis revealed that while organisations adopted strategies such as data disaggregation, door-to-door outreach and local committee representation, implementation was inconsistent and constrained by cultural beliefs about disability, political interference, population displacement and weak monitoring standards. The findings also highlighted that although the IASC Guidelines are good in principle, the guidelines require context-specific adaptation, stronger organisational commitment and active inclusive engagement with PWDs and their representative organisations. The study recommends incorporating disability inclusion through mandatory organisational policies, dedicated funding, community-based advocacy and improved data systems to ensure that humanitarian responses are both inclusive and sustainable. Full article
Show Figures

Figure 1

29 pages, 830 KB  
Systematic Review
Self-Perception of Children and Adolescents’ Refugees with Trauma: A Qualitative Meta-Synthesis of the Literature
by Genta Kulari and Sandra Figueiredo
Behav. Sci. 2025, 15(12), 1647; https://doi.org/10.3390/bs15121647 - 30 Nov 2025
Viewed by 485
Abstract
Refugee children and adolescents face significant psychological and social challenges, especially in camps or during post-resettlement. We conducted a meta-synthesis of 24 qualitative studies including 870 participants aged 3–19 to explore how they perceive trauma, considering gender, age, and unaccompanied status. Thematic analysis [...] Read more.
Refugee children and adolescents face significant psychological and social challenges, especially in camps or during post-resettlement. We conducted a meta-synthesis of 24 qualitative studies including 870 participants aged 3–19 to explore how they perceive trauma, considering gender, age, and unaccompanied status. Thematic analysis identified five core themes: (1) mental health perceptions, showing reluctance to disclose distress due to stigma and cultural norms; (2) stigma regarding refugee status, reflecting societal prejudice and barriers to integration; (3) desire to belong, including social withdrawal, family cohesion, and religious coping; (4) gender-specific needs, with girls facing early marriage, safety threats, and psychosocial vulnerability; and (5) discrimination from host communities, including verbal, physical, and institutional exclusion. Participants reported pervasive emotional distress, identity conflicts, somatic symptoms, and disrupted social relationships. The findings highlight the complex, multi-layered impact of forced displacement. Thematic analysis proved effective for capturing lived experiences, coping strategies, and contextual influences. These results underscore the urgent need for culturally sensitive, trauma-informed interventions addressing mental health, social support, and protective factors to promote the well-being and integration of refugee minors. The scarcity of research in high-risk camp and detention settings underscores the importance of qualitative inquiry to inform culturally grounded, multi-level psychosocial support. Full article
(This article belongs to the Special Issue Psychological Trauma and Resilience in Children and Adolescents)
Show Figures

Figure 1

Back to TopTop