Sign in to use this feature.

Years

Between: -

Subjects

remove_circle_outline
remove_circle_outline
remove_circle_outline
remove_circle_outline
remove_circle_outline
remove_circle_outline
remove_circle_outline
remove_circle_outline
remove_circle_outline

Journals

remove_circle_outline
remove_circle_outline
remove_circle_outline
remove_circle_outline

Article Types

Countries / Regions

remove_circle_outline
remove_circle_outline
remove_circle_outline
remove_circle_outline

Search Results (206)

Search Parameters:
Keywords = discount parameters

Order results
Result details
Results per page
Select all
Export citation of selected articles as:
33 pages, 6044 KB  
Article
Optimization of a Hybrid Ground Source Heat Pump System for Building Heating in Severe Cold Regions: A TRNSYS-GenOpt Coupling Approach
by Yangyang Wang, Zishu Qi, Yang Xu, Shuang Li, Xuesong Chou, Xiaokun Li and Qingying Hou
Buildings 2026, 16(9), 1688; https://doi.org/10.3390/buildings16091688 (registering DOI) - 25 Apr 2026
Abstract
Ground source heat pump (GSHP) systems, while energy-efficient, often face persistent soil thermal imbalance in heating-dominated severe cold regions, which undermines their long-term performance and sustainability. This study proposes a TRNSYS-GenOpt framework for the life-cycle cost optimization of hybrid GSHP systems integrating electric [...] Read more.
Ground source heat pump (GSHP) systems, while energy-efficient, often face persistent soil thermal imbalance in heating-dominated severe cold regions, which undermines their long-term performance and sustainability. This study proposes a TRNSYS-GenOpt framework for the life-cycle cost optimization of hybrid GSHP systems integrating electric boilers and geothermal regulation towers. A transient model for a 5650 m2 fire station in Changchun was developed, employing the Hooke–Jeeves algorithm to co-optimize boiler capacity, borehole depth, and geothermal regulation tower airflow under constraints on heating supply temperature and soil thermal balance. Time-of-use electricity pricing was incorporated for realistic operational economics. The optimized configuration (148 m, 864.8 kW, 290,400 m3/h) achieved a minimum 20-year life-cycle cost of CNY 1.13 million. Sensitivity analysis revealed “rigid design, flexible cost” characteristics: optimal parameters remained invariant across discount rate variations (3.5–7.5%) and equipment costs (±20%), while life-cycle cost showed the highest sensitivity to electricity pricing and discount rates. The long-term simulation confirmed compliance with all physical constraints. This methodology demonstrates that thermodynamic constraints supersede economic trade-offs in severe cold climates, providing engineers with a reliable tool for sustainable hybrid geothermal system design. Full article
(This article belongs to the Special Issue Advances in Green Building and Environmental Comfort)
39 pages, 1269 KB  
Article
Second-Life EV Batteries in Stationary Storage: Techno-Economic and Environmental Benchmarking vs. Pb-Acid and H2
by Plamen Stanchev and Nikolay Hinov
Energies 2026, 19(9), 2026; https://doi.org/10.3390/en19092026 - 22 Apr 2026
Viewed by 132
Abstract
Stationary energy storage (SES) is increasingly needed to integrate variable renewable generation and improve consumer self-consumption, but technology choices involve associated trade-offs between cost, efficiency, and life-cycle impacts. This study evaluates the role of second-life lithium-ion (Li-ion) batteries repurposed from electric vehicles for [...] Read more.
Stationary energy storage (SES) is increasingly needed to integrate variable renewable generation and improve consumer self-consumption, but technology choices involve associated trade-offs between cost, efficiency, and life-cycle impacts. This study evaluates the role of second-life lithium-ion (Li-ion) batteries repurposed from electric vehicles for stationary applications, compared to lead-acid (Pb-acid) batteries and power-to-hydrogen-to-power (PtH2P) systems. We develop an optimization-based sizing and dispatch framework using measured PV–load profiles and hourly market electricity prices, and evaluate performance per 1 MWh delivered to the load over a 10-year life cycle. Economic performance is quantified through discounted cash flows equal to levelized cost of storage (LCOS), while environmental performance is assessed through life-cycle metrics with explicit representation of recycling and second-life credits. In addition to global warming potential (GWP), the analysis considers additional resource and impact metrics, as well as key operational efficiency metrics, including bidirectional consumption efficiency, autonomy, and share of self-consumption/export of photovoltaic systems. Scenario and sensitivity analyses examine the impact of policy and financial parameters, in particular feed-in tariff remuneration and discount rate, on the comparative ranking of technologies. The results highlight how circular economy pathways, especially second-life distribution for Li-ion batteries and high end-of-life recovery for lead-acid batteries, have a significant impact on the life-cycle burden for delivered energy, while market-driven conditions for dispatching and export activities shape economic outcomes. Overall, the proposed workflow provides a transparent, circularity-aware basis for selecting stationary storage technologies associated with photovoltaic systems, under realistic operational constraints. Full article
13 pages, 708 KB  
Article
When Do Annuity-Based Payments Help to Address the Affordability Challenge of Funding Advanced Therapies? Insights from a Budget Impact Simulation
by Walter Van Dyck, Sissel Michelsen, David Veredas, Isabelle Huys, Jeroen Luyten and Steven Simoens
J. Mark. Access Health Policy 2026, 14(2), 23; https://doi.org/10.3390/jmahp14020023 - 20 Apr 2026
Viewed by 169
Abstract
Spreading payments over time by means of annuities has been proposed as a means to address the affordability challenge of funding very expensive advanced therapies, especially within managed entry agreements. This study aims to examine when annuities (in contrast with a single upfront [...] Read more.
Spreading payments over time by means of annuities has been proposed as a means to address the affordability challenge of funding very expensive advanced therapies, especially within managed entry agreements. This study aims to examine when annuities (in contrast with a single upfront payment) offer a viable solution for both healthcare payers and manufacturers to fund one-time advanced therapies. We put forward four conditions under which annuity-based payments can be considered an acceptable payment strategy: (1) excessive budget impact, (2) cost equivalence with upfront payment, (3) compensation for financial risk and (4) a limited annuity period. We develop an exploratory model that simulates how the budget impact of annuity-based payments for advanced therapies meets these conditions across several economic and epidemiological scenarios. Given our model parameter values, results suggest that annuity-based payments are most suitable when the initial patient volume (prevalence) significantly exceeds annual new cases (incidence), and when the financial risk premium for the annuity-based payment scheme does not exceed the social discount rate. While further refinement of the model is needed, this study demonstrates that annuity-based payments can only help control the annual budget need when the focus is on a high-prevalence disease, and the therapy is financed through health impact bonds issued by a governmental payer. This arrangement ensures a low-risk premium, which is typically only available to public payers. Full article
Show Figures

Figure 1

20 pages, 717 KB  
Article
Robustness of Energy Delivery and Economic Sensitivity in Onshore and Offshore Wind Power
by Fernando M. Camilo, Paulo J. Santos and Armando J. Pires
Energies 2026, 19(8), 1951; https://doi.org/10.3390/en19081951 - 17 Apr 2026
Viewed by 217
Abstract
The increasing penetration of wind generation requires performance evaluation methods that extend beyond average annual energy production. Temporal delivery characteristics, such as monthly dispersion and exposure to low-production periods, can influence both technical robustness and economic sensitivity. Building upon a previously developed probabilistic [...] Read more.
The increasing penetration of wind generation requires performance evaluation methods that extend beyond average annual energy production. Temporal delivery characteristics, such as monthly dispersion and exposure to low-production periods, can influence both technical robustness and economic sensitivity. Building upon a previously developed probabilistic and entropy-based assessment framework, this study evaluates the robustness of delivery-oriented performance metrics for onshore and offshore wind units under parametric and economic uncertainty. Using high-resolution operational data from four wind units (three onshore and one offshore), the analysis incorporates percentile sensitivity, threshold variation in low-production exposure, bootstrap-based uncertainty intervals, and Monte Carlo simulation of economic inputs including CAPEX, operation and maintenance costs, and discount rate. The results indicate that variations in percentile definitions and stochastic economic assumptions modify absolute performance values but do not substantially alter the relative positioning between offshore and onshore units. Averaged over 2022–2024, the analyzed offshore unit exhibited a lower monthly energy dispersion coefficient (CVE=0.255) than the analyzed onshore units (CVE=0.368), corresponding to an approximate 30% reduction in relative variability. The offshore unit also showed lower mean low-production exposure (LPE=0.526 versus 0.581 for onshore units) and consistently lower amplification of robustness-adjusted LCOE under conservative delivery assumptions. These results indicate that the analyzed offshore unit retains stronger delivery robustness and lower economic sensitivity across the tested parameter ranges. The proposed robustness-validation framework complements conventional yield-based assessments and provides additional insight for risk-aware evaluation of wind generation assets in renewable-dominated power systems. Full article
(This article belongs to the Special Issue Recent Innovations in Offshore Wind Energy)
Show Figures

Figure 1

14 pages, 275 KB  
Article
Cost-Effectiveness of Radiotherapy and Its Impact on Patient Quality of Life: A Real-World Cost Utility Analysis in Greece
by Elissavet Vardaki, Maria Tolia, Christos Michalakelis and Athanassios Vozikis
Curr. Oncol. 2026, 33(4), 220; https://doi.org/10.3390/curroncol33040220 - 16 Apr 2026
Viewed by 191
Abstract
Background: The aim of this study was to estimate the economic burden of radiotherapy (RT) from the perspectives of payers, the healthcare system, patients, and society, and to assess associated quality-of-life (QoL) outcomes. The analysis examined direct medical and non-medical costs, as well [...] Read more.
Background: The aim of this study was to estimate the economic burden of radiotherapy (RT) from the perspectives of payers, the healthcare system, patients, and society, and to assess associated quality-of-life (QoL) outcomes. The analysis examined direct medical and non-medical costs, as well as QoL, before, during, and up to six months after RT. Given the inclusion of multiple cancer types, the study reflects a heterogeneous real-world population. An exploratory comparison across RT techniques was also conducted to provide contextual economic insight. Methods: This analysis included data from 301 cancer patients undergoing RT using various techniques, including two-dimensional radiotherapy (2D), 3D conformal radiotherapy (3D-CRT), volumetric-modulated arc therapy (VMAT), and intensity-modulated radiotherapy (IMRT), at the University General Hospital of Heraklion, Crete, Greece. Clinical and cost data were collected retrospectively, while QoL data were collected prospectively using validated instruments at baseline, end of treatment, and six months post-treatment. Quality-adjusted life years (QALYs) were estimated. The primary analysis compared RT with a hypothetical “no RT” comparator derived from published evidence, while comparisons across RT techniques were conducted as exploratory analyses. Costs and QALYs were evaluated over a 6-month time horizon; therefore, discounting was not applied. Incremental cost-effectiveness ratios (ICERs) were calculated, and probabilistic sensitivity analysis was performed to account for parameter uncertainty. Results: The cost per QALY gained with RT compared with the hypothetical “no RT” comparator varied substantially across techniques and cancer types. In the primary analysis, 2D radiotherapy yielded the lowest ICER (€13,043.27/QALY), while VMAT demonstrated an ICER of €29,945.12/QALY. In contrast, IMRT was associated with a substantially higher ICER (€135,529.51/QALY), suggesting limited cost-effectiveness under commonly accepted willingness-to-pay thresholds, whereas 3D-CRT was found to be dominant. Subgroup analyses revealed marked heterogeneity, with ICERs ranging from €3234.45 to €30,232.50 per QALY gained across cancer types. In certain subgroups, RT was either cost-saving or dominant, particularly in breast cancer (cost-saving with similar QALYs) and in skin cancer and sarcoma (dominant strategies). Sensitivity analyses highlighted considerable uncertainty, especially for 2D radiotherapy, primarily driven by small sample sizes and variability in QALY estimates. Conclusions: This study provides short-term, real-world evidence on the cost-effectiveness and quality-of-life outcomes of radiotherapy in a Greek healthcare setting. While simpler techniques such as 2D radiotherapy may appear economically favorable, their limited effectiveness and substantial uncertainty may reduce their overall value. In contrast, advanced techniques—particularly VMAT—demonstrate a more consistent balance between cost and clinical outcomes, supporting their role within value-based, patient-centered oncology care. However, the findings should be interpreted with caution due to population heterogeneity, small subgroup sizes, the short (6-month) time horizon, and the use of a hypothetical comparator. Further research with longer follow-up and disease-specific analyses is warranted. Full article
Show Figures

Graphical abstract

10 pages, 501 KB  
Article
Closed-Form Valuation of Discounted Cash Flows with Finite Poisson Arrivals in a Finite Horizon
by Yuto Kitamura, Yuta Kudo, Makoto Shimoshimizu and Makoto Goto
Risks 2026, 14(4), 90; https://doi.org/10.3390/risks14040090 - 16 Apr 2026
Viewed by 229
Abstract
This paper derives a closed-form expression for the expected discounted value of aggregate cash flows when arrival times follow a Poisson process but both the time horizon and the number of arrivals are finite. The result provides a tractable analytical formula for the [...] Read more.
This paper derives a closed-form expression for the expected discounted value of aggregate cash flows when arrival times follow a Poisson process but both the time horizon and the number of arrivals are finite. The result provides a tractable analytical formula for the expected discounted sum under simultaneous constraints on time and arrival counts. We show that the expression converges to the well-known infinite-horizon and infinite-arrival results as limiting cases. Numerical illustrations demonstrate the behavior of the formula under different parameter values. The result can be interpreted as the valuation of a discounted compound Poisson process with finite constraints and may be useful in stochastic modeling and risk-analysis applications. The proposed formula provides a simple analytical tool for evaluating discounted losses or revenues in finite risk portfolios. Full article
(This article belongs to the Special Issue Stochastic Modeling and Computational Statistics in Finance)
Show Figures

Figure 1

24 pages, 642 KB  
Article
Green Energy Markets: Towards an Internal Rate of Return and ESG Factors
by Zbysław Dobrowolski, Paweł Dziekański, Grzegorz Drozdowski, Izabella Kęsy, Oleksandr Novoseletskyy and Arkadiusz Babczuk
Energies 2026, 19(8), 1884; https://doi.org/10.3390/en19081884 - 13 Apr 2026
Viewed by 351
Abstract
The contemporary green transformation of the economy is a strategic imperative for businesses, especially small and medium-sized enterprises (SMEs) operating in the energy market, forcing the integration of sustainable practices in decision-making processes, including investment efficiency assessment. Classic financial tools, such as the [...] Read more.
The contemporary green transformation of the economy is a strategic imperative for businesses, especially small and medium-sized enterprises (SMEs) operating in the energy market, forcing the integration of sustainable practices in decision-making processes, including investment efficiency assessment. Classic financial tools, such as the internal rate of return (IRR) and net present value (NPV), commonly used in the SME sector, do not always adequately account for environmental, regulatory, and social risks associated with green transformation, as—particularly in the case of IRR—they rely on the assumption of stable cash flows and do not incorporate regulatory uncertainty, environmental externalities, or ESG-related risks into discounting parameters. The aim of the study was to determine the impact of nominal and real discount rates, adjusted for a synthetic measure of green transformation, on investment decisions. The research methodology combines advanced multi-criteria decision-making techniques, specifically TOPSIS and CRITIC, with sustainable finance concepts, offering an innovative approach to investment decision-making in the SME sector. The study shows that integrating environmental factors, when treated as a risk component, increases the cost of capital and reduces the net present value, while maintaining the profitability of the analysed projects. Incorporating green components into the discount rate enhances valuation appropriateness and improves investment risk management, particularly under macroeconomic uncertainty. The main contribution of the study lies in linking a synthetic green transformation indicator with dynamic discount rate adjustment within a multicriteria framework, extending existing ESG-adjusted valuation models by enabling a more structured and data-driven incorporation of environmental transition risk. Full article
Show Figures

Figure 1

11 pages, 603 KB  
Article
Cost-Effectiveness of Newborn Screening for Infantile-Onset Pompe Disease in Japan
by Keiko Konomura, Motoko Tanaka, Go Tajima and Eri Hoshino
Int. J. Neonatal Screen. 2026, 12(2), 21; https://doi.org/10.3390/ijns12020021 - 31 Mar 2026
Viewed by 312
Abstract
We conducted a cost-effectiveness analysis of a universal newborn screening (NBS) program for infantile-onset Pompe disease (IOPD) compared with clinical identification in newborns. The analytical model combined a decision tree and a Markov model. The incremental cost-effectiveness ratio (ICER) was estimated over a [...] Read more.
We conducted a cost-effectiveness analysis of a universal newborn screening (NBS) program for infantile-onset Pompe disease (IOPD) compared with clinical identification in newborns. The analytical model combined a decision tree and a Markov model. The incremental cost-effectiveness ratio (ICER) was estimated over a lifetime horizon, applying a 2% annual discount rate from the public healthcare payer’s perspective. In a cohort of 727,288 individuals, 2.4 patients were expected to have IOPD. The cumulative quality-adjusted life years (QALYs) gained per patient were estimated to be 7.9 when clinically diagnosed and treated with enzyme replacement therapy, and 28.9 when identified through universal NBS. The ICER was 174 million JPY per QALY. Sensitivity and scenario analyses indicated that the parameters most affecting the ICER were the NBS test cost, the quality-of-life value for ambulatory patients, the prevalence of IOPD, and the cost of enzyme replacement therapy. Although considerable uncertainty exists in the analysis, the findings suggest that implementing NBS solely for detecting infantile-onset cases poses challenges in terms of cost-effectiveness, primarily due to the rarity of the disease and the high costs associated with testing and treatment. Full article
(This article belongs to the Collection Newborn Screening in Japan)
Show Figures

Figure 1

17 pages, 497 KB  
Article
Deep Robust Moving Horizon Estimation for Nonlinear Multi-Rate Systems
by Rusheng Wang, Songtao Wen and Bo Chen
Sensors 2026, 26(6), 1967; https://doi.org/10.3390/s26061967 - 21 Mar 2026
Viewed by 295
Abstract
In this paper, a moving horizon estimation (MHE)-based state estimation problem is studied for asynchronous multi-rate nonlinear systems. First, the asynchronous multi-rate system is transformed into a synchronous system at measurement sampling points through pseudo-measurement synchronization modeling. Secondly, a MHE strategy with a [...] Read more.
In this paper, a moving horizon estimation (MHE)-based state estimation problem is studied for asynchronous multi-rate nonlinear systems. First, the asynchronous multi-rate system is transformed into a synchronous system at measurement sampling points through pseudo-measurement synchronization modeling. Secondly, a MHE strategy with a time-discounted quadratic objective is proposed. Under the detectability assumption, the exponential stability of the proposed MHE is established via the Lyapunov method, and the corresponding linear matrix inequality (LMI) constraints are derived. Moreover, to address the model mismatch after synchronization, a deep learning-based framework is proposed to approximate and learn the weighting parameters of the MHE. Then, barrier-function regularization is introduced to enforce the aforementioned LMI feasibility conditions, keeping the learned weights within the feasible region throughout training. Finally, the result is illustrated by a target tracking example. Full article
(This article belongs to the Special Issue Recent Developments in Wireless Network Technology)
Show Figures

Figure 1

28 pages, 1433 KB  
Article
The Double-Edged Sword of Dynamic Pricing: Bidirectional Modal Shift and Carbon Leakage in High-Speed Rail
by Zhibin Xing, Chenghao Xing and Xinyu Gou
Sustainability 2026, 18(6), 2802; https://doi.org/10.3390/su18062802 - 12 Mar 2026
Viewed by 393
Abstract
While pricing policy has emerged as a critical demand-side lever for decarbonizing mobility, its bidirectional effects on modal shift remain unexplored. Dynamic pricing in high-speed rail (HSR) creates a double-edged environmental outcome: advance discounts attract passengers from aviation, yet last-minute premiums may reverse [...] Read more.
While pricing policy has emerged as a critical demand-side lever for decarbonizing mobility, its bidirectional effects on modal shift remain unexplored. Dynamic pricing in high-speed rail (HSR) creates a double-edged environmental outcome: advance discounts attract passengers from aviation, yet last-minute premiums may reverse these gains. Using 2.4 million price observations from Madrid–Barcelona (2019), we introduce a carbon leakage framework that quantifies this phenomenon within a multi-source validated framework. Our analysis reveals a structural tension: while early-bird pricing attracts 274,431 annual passengers from aviation—saving 23,650 tonnes CO2/year—last-minute scarcity premiums systematically drive passengers back to air travel. Multi-source calibrated elasticity (ε=0.95, validated through triangulation across CNMC corridor data, meta-analytic evidence, and recent empirical studies within the range [1.91,0.75]) shows that 22.3% of last-minute tickets exceed the EUR 120 aviation threshold, creating 1511 tonnes CO2 leakage annually (6.4% offset of gross savings). Critically, this leakage ratio is shown to be structurally independent of elasticity specification, being determined by the price distribution shape rather than demand parameters. Scenario analysis suggests that under static assumptions, price caps at EUR 110–120 would eliminate leakage while preserving an estimated 94% of operator revenue, though general equilibrium effects remain unmodeled. These findings identify illustrative scenario thresholds for carbon-aware revenue management, demonstrating that demand-side decarbonization requires not only attracting passengers to sustainable modes but also preventing their reversal to high-carbon alternatives. Full article
Show Figures

Figure 1

20 pages, 1567 KB  
Article
Cost Effectiveness Analysis of an AI-Assisted Breast Cancer Screening Programme in Singapore: An Early Health Technology Assessment
by Serene Si Ning Goh, Yuan Zheng Lim, Clarence Ong, Mikael Hartman and Yi Wang
Cancers 2026, 18(5), 836; https://doi.org/10.3390/cancers18050836 - 4 Mar 2026
Viewed by 609
Abstract
Background/Objectives: This study assesses the cost-effectiveness of integrating artificial intelligence (AI) into breast cancer screening programs in Singapore. It evaluates AI as a standalone reader and as a companion reader alongside a consultant radiologist and compares these with double reading by two [...] Read more.
Background/Objectives: This study assesses the cost-effectiveness of integrating artificial intelligence (AI) into breast cancer screening programs in Singapore. It evaluates AI as a standalone reader and as a companion reader alongside a consultant radiologist and compares these with double reading by two radiologists to determine economic viability and impact on healthcare resource use. Methods: A Markov model compared costs and outcomes of three strategies: double reading, a hybrid AI-assisted model (radiologist plus AI), and AI-only. These were applied to biennial mammography for 10,000 women aged 50–69 years in Singapore, with a 50-year horizon. Epidemiological and cost data were sourced from Asian and local studies and standardized to 2023 values, with a 3% annual discount. Outcomes were incremental cost-effectiveness ratios (ICERs) per quality-adjusted life-year (QALY). Deterministic and probabilistic sensitivity analyses assessed uncertainty. Results: Double reading cost USD 19.18 million with 218,460.4 QALYs. The AI-companion model cost USD 18.86 million with 218,476.3 QALYs, saving USD 316,090 and gaining 15.9 QALYs. The AI-only model cost USD 20.53 million with 218,532.4 QALYs, yielding 72.0 QALYs gained and an ICER of USD 18,743 per QALY. Specificity was the most influential parameter. At a willingness-to-pay threshold of USD 50,000 per QALY, AI-only screening had >75% probability of being most cost-effective. Conclusions: AI-assisted screening was cost-saving, while AI-only was cost-effective with greater health gains but higher costs and false positives. A phased, human-in-the-loop approach offers the most economically favourable strategy for AI integration. Full article
(This article belongs to the Special Issue Cost-Effectiveness Studies in Cancers)
Show Figures

Figure 1

19 pages, 608 KB  
Article
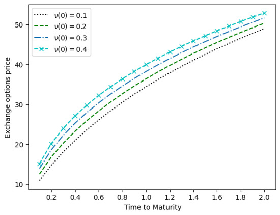
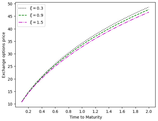
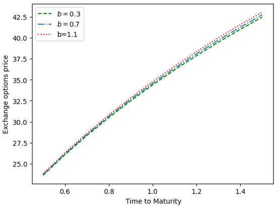
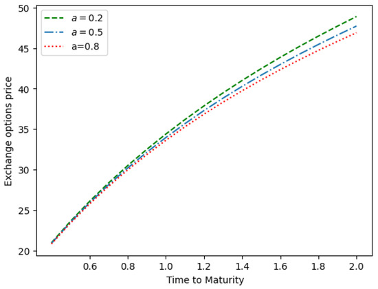
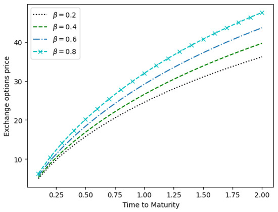
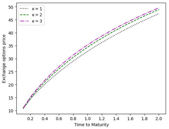
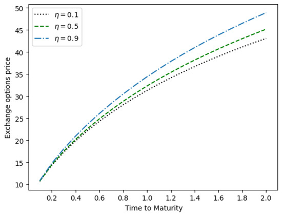
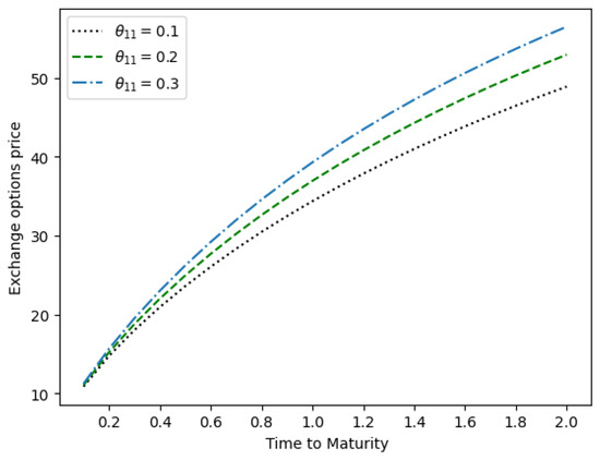
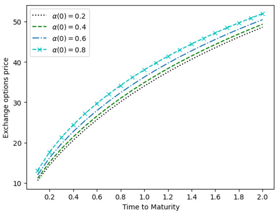
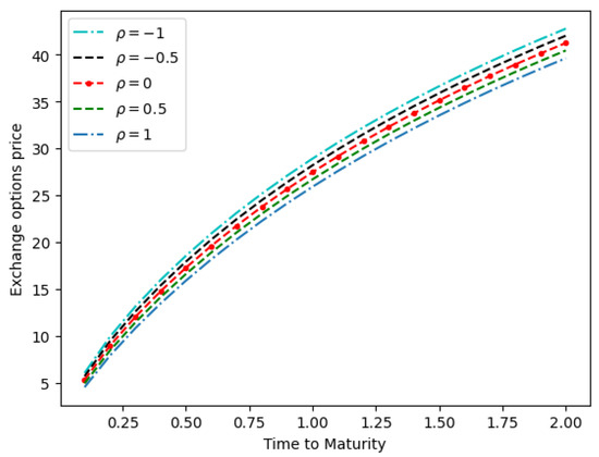
Regime-Switching Fischer–Margrabe Options Pricing with Liquidity Risk and Stochastic Volatility
by Priya Mittal, Dharmaraja Selvamuthu and Guglielmo D’Amico
Mathematics 2026, 14(3), 564; https://doi.org/10.3390/math14030564 - 4 Feb 2026
Viewed by 550
Abstract
This article presents a model for pricing an exchange option considering stochastic volatility and liquidity risk. The impact of liquidity risk on an asset price is considered by utilizing a liquidity discount process that is influenced by both market and asset-specific liquidity. Girsanov’s [...] Read more.
This article presents a model for pricing an exchange option considering stochastic volatility and liquidity risk. The impact of liquidity risk on an asset price is considered by utilizing a liquidity discount process that is influenced by both market and asset-specific liquidity. Girsanov’s theorem is applied to transform from the real-world probability measure to equivalent probability measures, such as the risk-neutral probability measure. The Feynman–Kac theorem is applied to transform the exchange option pricing formula into the vanilla option pricing formula. The analytical expression is derived through the characteristic function approach. The accuracy of the proposed formula is validated through comparisons with Monte Carlo simulation, where the relative error remains below 0.93% across different values of S(0) and τ. Furthermore, numerical experiments highlight that incorporating liquidity risk leads to higher option prices. As the maturity increases from 0.1 to 2.0, the percentage gap between the option prices increases from 1.65% to 20.2%. Finally, sensitivity analysis is conducted to examine the influence of various parameters and to demonstrate the impact of stochastic volatility and liquidity in exchange option valuation. Full article
(This article belongs to the Section E5: Financial Mathematics)
Show Figures

Figure 1

21 pages, 885 KB  
Article
Solving Vaccine Pricing Models Considering Quantity Discounts and Equity Using Global Optimization Methods
by Jung-Fa Tsai, Chung-Chang Lin, Ya-Ting Huang and Ming-Hua Lin
Mathematics 2026, 14(3), 496; https://doi.org/10.3390/math14030496 - 30 Jan 2026
Viewed by 507
Abstract
This study employs global optimization techniques to examine optimal vaccine pricing strategies that consider quantity discounts and vaccine distribution equity, under centralized procurement by group purchasing organizations. Based on the economic characteristics of the vaccine market, a mathematical programming model incorporates the payment [...] Read more.
This study employs global optimization techniques to examine optimal vaccine pricing strategies that consider quantity discounts and vaccine distribution equity, under centralized procurement by group purchasing organizations. Based on the economic characteristics of the vaccine market, a mathematical programming model incorporates the payment capacities and willingness to pay of different member countries, minimizing the maximum adjusted price disparities across pricing tiers and thereby enhancing the overall fairness of vaccine distribution. To further reduce computational complexity and enhance practical applicability, this study improves the model by reducing the number of binary variables. Experimental analysis is conducted using real-world data from the Vaccine Alliance (Gavi) and the Pan American Health Organization (PAHO). The results show that the improved model reduces computation time by over 30% on average and demonstrates effective control over price differentiation across various pricing tiers and parameter settings. Full article
Show Figures

Figure 1

18 pages, 2460 KB  
Article
Techno-Economic and FP2O Resilience Analysis of the Hydrogen Production Process from Palm Rachis in María La Baja, Bolívar
by Tamy Carolina Herrera-Rodríguez, Paola Andrea Acevedo Pabón and Ángel Darío González-Delgado
Processes 2026, 14(3), 489; https://doi.org/10.3390/pr14030489 - 30 Jan 2026
Viewed by 656
Abstract
In Colombia, two main palm varieties, Elaeis guineensis and Elaeis oleifera, are cultivated for the production of crude palm oil (CPO). During the CPO extraction process, several residues are generated, including empty fruit bunches (EFB), nut fiber, palm kernel cake, and Palm [...] Read more.
In Colombia, two main palm varieties, Elaeis guineensis and Elaeis oleifera, are cultivated for the production of crude palm oil (CPO). During the CPO extraction process, several residues are generated, including empty fruit bunches (EFB), nut fiber, palm kernel cake, and Palm Oil Mill Effluent (POME), among others. These residues are commonly used for biochar and compost production to improve soil quality, for biogas generation, and for energy production through biomass combustion. Because the rachis is rich in lignocellulosic material and exhibits physicochemical properties suitable for thermochemical processes, it is proposed as a feedstock for hydrogen synthesis through gasification. In this study, a techno-economic analysis and an FP2O resilience assessment were conducted for a hydrogen production process based on the utilization of palm rachis generated in María la Baja, northern Colombia. The economic evaluation results indicate that the capital investment required for plant installation is USD 10,111,255.23. The economic indicators show favorable performance with a Return on Investment (ROI) of 58.83%, a Net Present Value (NPV) of USD 25.01 million, a B/C ratio of 3.29, and a Discounted Payback Period (DPBP) of 4.54 years. Regarding techno-economic resilience, critical values for processing capacity, selling price, and feedstock cost were identified through parameter variation. The findings suggest that the process has opportunities for improvement, since small changes in these variables could significantly reduce its resilience. Finally, an On-Stream efficiency of 39.65% at the break-even point was obtained, indicating that the process can operate at less than 50% of its maximum capacity while still generating significant profits. Full article
Show Figures

Figure 1

23 pages, 1668 KB  
Article
Stochastic Optimal Control Problem and Sensitivity Analysis for a Residential Heating System
by Maalvladédon Ganet Somé and Japhet Niyobuhungiro
Mathematics 2026, 14(3), 489; https://doi.org/10.3390/math14030489 - 30 Jan 2026
Viewed by 277
Abstract
We consider a network of a residential heating system (RHS) composed of two types of agents: a prosumer and a consumer. Both are connected to a community heating system (CHS), which supplies non-intermittent thermal energy for space heating and domestic hot water. The [...] Read more.
We consider a network of a residential heating system (RHS) composed of two types of agents: a prosumer and a consumer. Both are connected to a community heating system (CHS), which supplies non-intermittent thermal energy for space heating and domestic hot water. The prosumer utilizes a combination of solar thermal collectors and CHS heat, whereas the consumer depends entirely on the CHS. Any excess heat generated by the prosumer can either be stored on-site or fed back into the CHS. Weather conditions, modeled as a common noise term, affect both agents simultaneously. The prosumer’s objective is to minimize the expected discounted total cost, taking into account storage charging and discharging losses as well as uncertainties in future heat production and demand. This leads to a stochastic optimal control problem addressed through dynamic programming techniques. Scenario-based analyses are then performed to examine how different parameters influence both the value function and the resulting optimal control strategies. For a common noise coefficient σ0=0.4, the prosumer incurs an approximate 16.08% increase in the aggregated discounted cost from the case of no common noise. For a discharging efficiency ηE=10.9, the maximum aggregated discounted cost increases by approximately 1.85% as compared to the perfect discharging efficiency. Similarly, for a charging efficiency ηE=0.9, we observe an approximate 1.94% increase in the aggregated discounted cost as compared to a perfect charging efficiency. Furthermore, we derive insights into the maximum expected discounted investment that a consumer would need to make in renewable technologies in order to transition into a prosumer. Full article
Show Figures

Figure 1

Back to TopTop