Sign in to use this feature.

Years

Between: -

Subjects

remove_circle_outline
remove_circle_outline
remove_circle_outline
remove_circle_outline
remove_circle_outline

Journals

Article Types

Countries / Regions

Search Results (17)

Search Parameters:
Keywords = direct laser deposition (DLD)

Order results
Result details
Results per page
Select all
Export citation of selected articles as:
24 pages, 3191 KB  
Article
Influence of Energy–Mass Mismatching Input on the Forming Quality of Co06A in Direct Laser Deposition
by Qingfei Bian, Chao Zhang, Ling Wu, Junkang Wu, Henri Loic Fapong Donnang and Wei Li
Processes 2026, 14(1), 27; https://doi.org/10.3390/pr14010027 - 20 Dec 2025
Viewed by 324
Abstract
Cobalt-based superalloy Co06A exhibits excellent high-temperature performance and is widely used in the repair and additive manufacturing of critical hot-end components via direct laser deposition (DLD). However, improper energy–mass input during direct laser deposition often leads to defects such as porosity, cracks, and [...] Read more.
Cobalt-based superalloy Co06A exhibits excellent high-temperature performance and is widely used in the repair and additive manufacturing of critical hot-end components via direct laser deposition (DLD). However, improper energy–mass input during direct laser deposition often leads to defects such as porosity, cracks, and poor surface quality, which seriously affect the performance of formed parts. In this study, a systematic experimental investigation based on an orthogonal design was carried out to examine the effects of laser power, scan speed, and powder feed rate on the dilution rate, surface roughness, and powder capture efficiency of a one-layer single Co06A track. Range analysis and multiple linear regression were employed to quantify the influence of each parameter. The results showed that the powder feed rate was the dominant factor affecting both η and Sa, while the laser power had the most significant impact on PE. Through multi-objective optimization, a balanced parameter set (u = 6.66 mm/s, f = 20.81 g/min, P = 2543 W) was recommended, which achieved a dilution rate of about 11.95%, a surface roughness of 4.64 um, and a powder capture efficiency of 79.6%. Through testing, it was found that the energy/mass input ratio was approximately 8. This work demonstrated that matching energy–mass input and adopting a constrained optimization strategy could effectively improve the forming quality and manufacturing efficiency of Co06A in the first-layer manufacturing process, providing a promising prospect in guidance for engineering applications. Full article
(This article belongs to the Topic Clean and Low Carbon Energy, 2nd Edition)
Show Figures

Figure 1

16 pages, 8388 KB  
Article
Online Measurement of Melt-Pool Width in Direct Laser Deposition Process Based on Binocular Vision and Perspective Transformation
by Yanshun Lu, Muzheng Xiao, Xiyi Chen, Yuxin Sang, Zongxin Liu, Xin Jin and Zhijing Zhang
Materials 2024, 17(13), 3337; https://doi.org/10.3390/ma17133337 - 5 Jul 2024
Viewed by 1684
Abstract
Direct laser deposition (DLD) requires high-energy input and causes poor stability and portability. To improve the deposited layer quality, conducting online measurements and feedback control of the dimensions, temperature, and other melt-pool parameters during deposition is essential. Currently, melt-pool dimension measurement is mainly [...] Read more.
Direct laser deposition (DLD) requires high-energy input and causes poor stability and portability. To improve the deposited layer quality, conducting online measurements and feedback control of the dimensions, temperature, and other melt-pool parameters during deposition is essential. Currently, melt-pool dimension measurement is mainly based on machine vision methods, which can mostly detect only the deposition direction of a single melt pool, limiting their measurement range and applicability. We propose a binocular-vision-based online measurement method to detect the melt-pool width during DLD. The method uses a perspective transformation algorithm to align multicamera measurements into a single-coordinate system and a fuzzy entropy threshold segmentation algorithm to extract the melt-pool true contour. This effectively captures melt-pool width information in various deposition directions. A DLD measurement system was constructed, establishing an online model that maps the melt-pool width to the offline deposited layer width, validating the accuracy of the binocular vision system in measuring melt-pool width at different deposition angles. The method achieved high accuracy for melt-pool measurements within certain deposition angle ranges. Within the 30°–60° measurement range, the average error is 0.056 mm, with <3% error. The proposed method enhances the detectable range of melt-pool widths, improving cladding layers and parts. Full article
(This article belongs to the Special Issue 3D Printing Technology with Metal Materials)
Show Figures

Figure 1

15 pages, 6071 KB  
Article
Enhanced Hardness-Toughness Balance Induced by Adaptive Adjustment of the Matrix Microstructure in In Situ Composites
by Mingjuan Zhao, Xiang Jiang, Yumeng Guan, Haichao Yang, Longzhi Zhao, Dejia Liu, Haitao Jiao, Meng Yu, Yanchuan Tang and Laichang Zhang
Materials 2023, 16(12), 4437; https://doi.org/10.3390/ma16124437 - 16 Jun 2023
Cited by 4 | Viewed by 1815
Abstract
With the development of high-speed and heavy-haul railway transportation, the surface failure of rail turnouts has become increasingly severe due to insufficient high hardness-toughness combination. In this work, in situ bainite steel matrix composites with WC primary reinforcement were fabricated via direct laser [...] Read more.
With the development of high-speed and heavy-haul railway transportation, the surface failure of rail turnouts has become increasingly severe due to insufficient high hardness-toughness combination. In this work, in situ bainite steel matrix composites with WC primary reinforcement were fabricated via direct laser deposition (DLD). With the increased primary reinforcement content, the adaptive adjustments of the matrix microstructure and in situ reinforcement were obtained at the same time. Furthermore, the dependence of the adaptive adjustment of the composite microstructure on the composites’ balance of hardness and impact toughness was evaluated. During DLD, the laser induces an interaction among the primary composite powders, which leads to obvious changes in the phase composition and morphology of the composites. With the increased WC primary reinforcement content, the dominant sheaves of the lath-like bainite and the few island-like retained austenite are changed into needle-like lower bainite and plenty of block-like retained austenite in the matrix, and the final reinforcement of Fe3W3C and WC is obtained. In addition, with the increased primary reinforcement content, the microhardness of the bainite steel matrix composites increases remarkably, but the impact toughness decreases. However, compared with conventional metal matrix composites, the in situ bainite steel matrix composites manufactured via DLD possess a much better hardness-toughness balance, which can be attributed to the adaptive adjustment of the matrix microstructure. This work provides a new insight into obtaining new materials with a good combination of hardness and toughness. Full article
(This article belongs to the Special Issue Additive Manufacturing of Alloys and Composites)
Show Figures

Figure 1

26 pages, 12662 KB  
Review
A Review on Direct Laser Deposition of Inconel 625 and Inconel 625-Based Composites—Challenges and Prospects
by Fahad Zafar, Omid Emadinia, João Conceição, Manuel Vieira and Ana Reis
Metals 2023, 13(4), 787; https://doi.org/10.3390/met13040787 - 17 Apr 2023
Cited by 24 | Viewed by 5788
Abstract
The direct laser deposition (DLD) process has seen rigorous research in the past two decades due to its ability to directly manufacture products followed by minimal machining. The process input variables play a vital role in determining the properties achieved in the products [...] Read more.
The direct laser deposition (DLD) process has seen rigorous research in the past two decades due to its ability to directly manufacture products followed by minimal machining. The process input variables play a vital role in determining the properties achieved in the products manufactured by the DLD method. Inconel 625, a nickel-based superalloy with exceptional mechanical performance and corrosion resistance, has been used in critical applications within the aerospace, process, and marine industry. However, its poor machinability and higher load requirements for plastic deformation have been challenging for manufacturers. Therefore, many studies have explored the additive manufacturing of Inconel 625 to overcome these problems. This article focuses on the DLD of Inconel 625 and its composites, presenting the state-of-the-art, drawing a relation among laser processing parameters and resulting material properties, microstructure and phase evolution, and the high-temperature performance of DLD Inconel 625. The paper highlights the areas on which further studies may focus. Full article
(This article belongs to the Special Issue Advanced Techniques for Metallurgical Characterization)
Show Figures

Figure 1

19 pages, 12379 KB  
Article
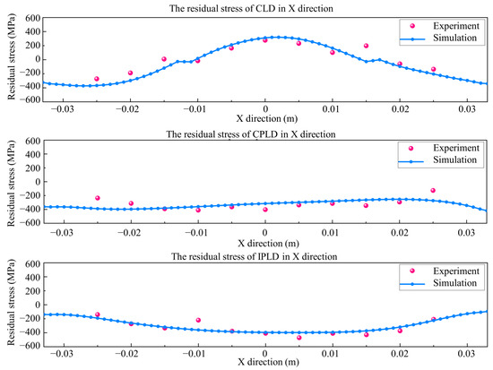
Thermal and Mechanical Variation Analysis on Multi-Layer Thin Wall during Continuous Laser Deposition, Continuous Pulsed Laser Deposition, and Interval Pulsed Laser Deposition
by Liang Ma, Xiangwei Kong, Jingjing Liang, Jinguo Li, Cong Sun, Zhibo Jin and Zhidong Jiao
Materials 2022, 15(15), 5157; https://doi.org/10.3390/ma15155157 - 25 Jul 2022
Cited by 7 | Viewed by 2300
Abstract
Direct laser deposition (DLD) is widely used in precision manufacturing, but the process parameters (e.g., laser power, scanning patterns) easily lead to changes in dimensional accuracy and structural properties. Many methods have been proposed to analyze the principle of distortion and residual stress [...] Read more.
Direct laser deposition (DLD) is widely used in precision manufacturing, but the process parameters (e.g., laser power, scanning patterns) easily lead to changes in dimensional accuracy and structural properties. Many methods have been proposed to analyze the principle of distortion and residual stress generation, but it is difficult to evaluate the involvement of temperature and stress in the process of rapid melting and solidification. In this paper, a three-dimensional finite element model is established based on thermal–mechanical relationships in multilayer DLD. Differences in temperature and residual stress between continuous laser deposition (CLD) and pulsed laser deposition (PLD) are compared with the numerical model. To validate the relationship, the temperature and residual stress values obtained by numerical simulation are compared with the values obtained by the HIOKI-LR8431 temperature logger and the Pulstec μ-X360s X-ray diffraction (XRD) instrument. The results indicate that the temperature and residual stress of the deposition part can be evaluated by the proposed simulation model. The proposed PLD process, which includes continuous pulsed laser deposition (CPLD) and interval pulsed laser deposition (IPLD), were found more effective to improve the homogeneity of temperature and residual stress than the CLD process. This study is expected to be useful in the distortion control and microstructure consistency of multilayer deposited parts. Full article
(This article belongs to the Section Manufacturing Processes and Systems)
Show Figures

Figure 1

20 pages, 9608 KB  
Article
Spatiotemporal Evolution of Stress Field during Direct Laser Deposition of Multilayer Thin Wall of Ti-6Al-4V
by Sergei Ivanov, Antoni Artinov, Evgenii Zemlyakov, Ivan Karpov, Sergei Rylov and Vaycheslav Em
Materials 2022, 15(1), 263; https://doi.org/10.3390/ma15010263 - 30 Dec 2021
Cited by 12 | Viewed by 2737
Abstract
The present work seeks to extend the level of understanding of the stress field evolution during direct laser deposition (DLD) of a 3.2 mm thick multilayer wall of Ti-6Al-4V alloy by theoretical and experimental studies. The process conditions were close to the conditions [...] Read more.
The present work seeks to extend the level of understanding of the stress field evolution during direct laser deposition (DLD) of a 3.2 mm thick multilayer wall of Ti-6Al-4V alloy by theoretical and experimental studies. The process conditions were close to the conditions used to produce large-sized structures by the DLD method, resulting in specimens having the same thermal history. A simulation procedure based on the implicit finite element method was developed for the theoretical study of the stress field evolution. The accuracy of the simulation was significantly improved by using experimentally obtained temperature-dependent mechanical properties of the DLD-processed Ti-6Al-4V alloy. The residual stress field in the buildup was experimentally measured by neutron diffraction. The stress-free lattice parameter, which is decisive for the measured stresses, was determined using both a plane stress approach and a force-momentum balance. The influence of the inhomogeneity of the residual stress field on the accuracy of the experimental measurement and the validation of the simulation procedure are analyzed and discussed. Based on the numerical results it was found that the non-uniformity of the through-thickness stress distribution reaches a maximum in the central cross-section, while at the buildup ends the stresses are distributed almost uniformly. The components of the principal stresses are tensile at the buildup ends near the substrate. Furthermore, the calculated equivalent plastic strain reaches 5.9% near the buildup end, where the deposited layers are completed, while the plastic strain is practically equal to the experimentally measured ductility of the DLD-processed alloy, which is 6.2%. The experimentally measured residual stresses obtained by the force-momentum balance and the plane stress approach differ slightly from each other. Full article
Show Figures

Figure 1

15 pages, 4596 KB  
Article
Numerical Estimation of the Geometry of the Deposited Layers during Direct Laser Deposition of Multi-Pass Walls
by Ilya Udin, Ekaterina Valdaytseva and Nikita Kislov
Metals 2021, 11(12), 1972; https://doi.org/10.3390/met11121972 - 8 Dec 2021
Cited by 1 | Viewed by 2730
Abstract
Direct laser deposition (DLD) is a promising additive technology that allows for the rapid and cheap production of metal parts of complex geometry in various sectors of mechanical engineering. Thick-walled metal structures occupy a significant part in mechanical engineering. The purpose of this [...] Read more.
Direct laser deposition (DLD) is a promising additive technology that allows for the rapid and cheap production of metal parts of complex geometry in various sectors of mechanical engineering. Thick-walled metal structures occupy a significant part in mechanical engineering. The purpose of this study was to develop and test an algorithm for predicting the geometry of deposited multi-pass walls. To achieve this goal, the main interrelated processes involved in the formation of a multi-pass wall were described—the process of laser radiation propagation, the process of heat transfer and the process of bead formation. To construct the calculation algorithm, five characteristic types of beads are identified. For these five types, the features of the bead formation and the features of the laser radiation intensity distribution are described. The calculated data were verified. A good match of the calculated data with the geometry of the deposited walls from AISI321 steel, Inconel718 and Ti-6Al-4V alloys was obtained. Full article
(This article belongs to the Special Issue Laser Processing of Metals and Alloys)
Show Figures

Figure 1

11 pages, 10175 KB  
Article
Structure and Mechanical Properties of Shipbuilding Steel Obtained by Direct Laser Deposition and Cold Rolling
by Ruslan Mendagaliyev, Oleg Zotov, Rudolf Korsmik, Grigoriy Zadykyan, Nadezhda Lebedeva and Olga Klimova-Korsmik
Materials 2021, 14(23), 7393; https://doi.org/10.3390/ma14237393 - 2 Dec 2021
Viewed by 2442
Abstract
The study of the formation of microstructural features of low-alloy bainite-martensitic steel 09CrNi2MoCu are of particular interest in additive technologies. In this paper, we present a study of cold-rolled samples after direct laser deposition (DLD). We investigated deposited samples after cold plastic deformation [...] Read more.
The study of the formation of microstructural features of low-alloy bainite-martensitic steel 09CrNi2MoCu are of particular interest in additive technologies. In this paper, we present a study of cold-rolled samples after direct laser deposition (DLD). We investigated deposited samples after cold plastic deformation with different degrees of deformation compression (50, 60 and 70%) of samples from steel 09CrNi2MoCu. The microstructure and mechanical properties of samples in the initial state and after heat treatment (HT) were analyzed and compared with the samples obtained after cold rolling. The effect on static tensile strength and impact toughness at −40 °C in the initial state and after cold rolling was investigated. The mechanical properties and characteristics of fracture in different directions were determined. Optimal modes and the degree of cold rolling deformation compression required to obtain balanced mechanical properties of samples obtained by additive method were determined. The influence of structural components and martensitic-austenitic phase on the microhardness and mechanical properties of the obtained samples was determined. Full article
Show Figures

Figure 1

22 pages, 21292 KB  
Article
Comparison of Different Additive Manufacturing Methods for 316L Stainless Steel
by Javier Bedmar, Ainhoa Riquelme, Pilar Rodrigo, Belen Torres and Joaquin Rams
Materials 2021, 14(21), 6504; https://doi.org/10.3390/ma14216504 - 29 Oct 2021
Cited by 69 | Viewed by 7599
Abstract
In additive manufacturing (AM), the technology and processing parameters are key elements that determine the characteristics of samples for a given material. To distinguish the effects of these variables, we used the same AISI 316L stainless steel powder with different AM techniques. The [...] Read more.
In additive manufacturing (AM), the technology and processing parameters are key elements that determine the characteristics of samples for a given material. To distinguish the effects of these variables, we used the same AISI 316L stainless steel powder with different AM techniques. The techniques used are the most relevant ones in the AM of metals, i.e., direct laser deposition (DLD) with a high-power diode laser and selective laser melting (SLM) using a fiber laser and a novel CO2 laser, a novel technique that has not yet been reported with this material. The microstructure of all samples showed austenitic and ferritic phases, which were coarser with the DLD technique than for the two SLM ones. The hardness of the fiber laser SLM samples was the greatest, but its bending strength was lower. In SLM with CO2 laser pieces, the porosity and lack of melting reduced the fracture strain, but the strength was greater than in the fiber laser SLM samples under certain build-up strategies. Specimens manufactured using DLD showed a higher fracture strain than the rest, while maintaining high strength values. In all the cases, crack surfaces were observed and the fracture mechanisms were determined. The processing conditions were compared using a normalized parameters methodology, which has also been used to explain the observed microstructures. Full article
Show Figures

Figure 1

10 pages, 8212 KB  
Article
Using a Trial Sample on Stainless Steel 316L in a Direct Laser Deposition Process
by Artur Vildanov, Konstantin Babkin, Ruslan Mendagaliyev, Andrey Arkhipov and Gleb Turichin
Metals 2021, 11(10), 1550; https://doi.org/10.3390/met11101550 - 28 Sep 2021
Cited by 7 | Viewed by 2638
Abstract
Direct laser deposition technology is used for the manufacture of large-size products with complex geometries. As a rule, trial samples with small dimensions are made to determine the deposition parameters. In order for the resulting products to have the required performance characteristics, it [...] Read more.
Direct laser deposition technology is used for the manufacture of large-size products with complex geometries. As a rule, trial samples with small dimensions are made to determine the deposition parameters. In order for the resulting products to have the required performance characteristics, it is necessary to minimize the number of internal macrodefects. Non-fusion between the tracks are defects that depend on the technological mode (power, speed, track width, etc.). In this work, studies have been carried out to determine the power level at which non-fusion is formed, dwell time between the tracks on the model samples. This paper considers the issue of transferring the technological parameters of direct laser deposition from model samples to a large-sized part, and describes the procedure for making model samples. Full article
(This article belongs to the Special Issue Laser Processing of Metals and Alloys)
Show Figures

Figure 1

14 pages, 9899 KB  
Article
Inconel 625/AISI 413 Stainless Steel Functionally Graded Material Produced by Direct Laser Deposition
by André Alves Ferreira, Omid Emadinia, João Manuel Cruz, Ana Rosanete Reis and Manuel Fernando Vieira
Materials 2021, 14(19), 5595; https://doi.org/10.3390/ma14195595 - 26 Sep 2021
Cited by 13 | Viewed by 3620
Abstract
Functionally graded material (FGM) based on Inconel 625 and AISI 431 stainless steel powders was produced by applying the direct laser deposition (DLD) process. The FGM starts with layers of Inconel 625 and ends with layers of 431 stainless steel having three intermediate [...] Read more.
Functionally graded material (FGM) based on Inconel 625 and AISI 431 stainless steel powders was produced by applying the direct laser deposition (DLD) process. The FGM starts with layers of Inconel 625 and ends with layers of 431 stainless steel having three intermediate zones with the composition (100-X)% Inconel 625-X% 431 stainless steel, X = 25, 50, and 75, in that order. This FGM was deposited on a 42CrMo4 steel substrate, with and without preheating. Microstructures of these FGMs were evaluated, while considering the distribution of chemical composition and grain structure. Microstructures mainly consisted of columnar grains independent of preheating condition; epitaxial growth was observed. The application of a non-preheated substrate caused the formation of planar grains in the vicinity of the substrate. In addition, hardness maps were produced. The hardness distribution across these FGMs confirmed a smooth transition between deposited layers; however, the heat-affected zone was greatly influenced by the preheating condition. This study suggests that an optimum Inconel 625/AISI 431 FGM obtained by DLD should not exceed 50% AISI 431 stainless steel. Full article
Show Figures

Figure 1

16 pages, 5456 KB  
Article
Deposition of Nickel-Based Superalloy Claddings on Low Alloy Structural Steel by Direct Laser Deposition
by André Alves Ferreira, Rui Loureiro Amaral, Pedro Correia Romio, João Manuel Cruz, Ana Rosanete Reis and Manuel Fernando Vieira
Metals 2021, 11(8), 1326; https://doi.org/10.3390/met11081326 - 22 Aug 2021
Cited by 20 | Viewed by 4329
Abstract
In this study, direct laser deposition (DLD) of nickel-based superalloy powders (Inconel 625) on structural steel (42CrMo4) was analysed. Cladding layers were produced by varying the main processing conditions: laser power, scanning speed, feed rate, and preheating. The processing window was established based [...] Read more.
In this study, direct laser deposition (DLD) of nickel-based superalloy powders (Inconel 625) on structural steel (42CrMo4) was analysed. Cladding layers were produced by varying the main processing conditions: laser power, scanning speed, feed rate, and preheating. The processing window was established based on conditions that assured deposited layers without significant structural defects and a dilution between 15 and 30%. Scanning electron microscopy, energy dispersive spectroscopy, and electron backscatter diffraction were performed for microstructural characterisation. The Vickers hardness test was used to analyse the mechanical response of the optimised cladding layers. The results highlight the influence of preheating on the microstructure and mechanical responses, particularly in the heat-affected zone. Substrate preheating to 300 °C has a strong effect on the cladding/substrate interface region, affecting the microstructure and the hardness distribution. Preheating also reduced the formation of the deleterious Laves phase in the cladding and altered the martensite microstructure in the heat-affected zone, with a substantial decrease in hardness. Full article
(This article belongs to the Special Issue Additive Manufacturing Research and Applications)
Show Figures

Figure 1

12 pages, 4119 KB  
Article
High-Strain Deformation and Spallation Strength of 09CrNi2MoCu Steel Obtained by Direct Laser Deposition
by Olga Klimova-Korsmik, Gleb Turichin, Ruslan Mendagaliyev, Sergey Razorenov, Gennady Garkushin, Andrey Savinykh and Rudolf Korsmik
Metals 2021, 11(8), 1305; https://doi.org/10.3390/met11081305 - 18 Aug 2021
Cited by 11 | Viewed by 2776
Abstract
In this work, the critical fracture stresses during spalling of high-strength steel 09CrNi2MoCu samples obtained by direct laser deposition (DLD) were measured under shock compression of up to ~5.5 GPa. The microstructure and mechanical properties of DLD steel samples in the initial state [...] Read more.
In this work, the critical fracture stresses during spalling of high-strength steel 09CrNi2MoCu samples obtained by direct laser deposition (DLD) were measured under shock compression of up to ~5.5 GPa. The microstructure and mechanical properties of DLD steel samples in the initial state and after heat treatment were studied and compared to traditional hot rolled one. The microstructural features of steel before and after heat treatment were revealed. The heat treatment modes of the deposit specimens on their strength properties under both static and dynamic loads have been investigated. The spall strength of the deposited specimens is somewhat lower than the strength of steel specimens after hot rolling regardless of their heat treatment. The minimum elastic limit of elasticity is exhibited by the deposit specimens. After heat treatment of the deposit samples, the elastic limit increases and approximately doubles. Subsequent heat treatment in the form of hardening and tempering allows obtaining strength properties under Hugoniot loads in traditional hot-rolled products. Full article
(This article belongs to the Special Issue Laser Processing of Metals and Alloys)
Show Figures

Figure 1

18 pages, 8068 KB  
Article
Optimization of Direct Laser Deposition of a Martensitic Steel Powder (Metco 42C) on 42CrMo4 Steel
by André A. Ferreira, Roya Darabi, João P. Sousa, João M. Cruz, Ana R. Reis and Manuel F. Vieira
Metals 2021, 11(4), 672; https://doi.org/10.3390/met11040672 - 20 Apr 2021
Cited by 28 | Viewed by 4275
Abstract
In this study, the deposition of martensitic stainless-steel (Metco 42C) powder on 42CrMo4 structural steel by direct laser deposition (DLD) was investigated. Clads were produced by varying the laser power, scanning speed, feed rate, and preheating. The effect of these processing variables on [...] Read more.
In this study, the deposition of martensitic stainless-steel (Metco 42C) powder on 42CrMo4 structural steel by direct laser deposition (DLD) was investigated. Clads were produced by varying the laser power, scanning speed, feed rate, and preheating. The effect of these processing variables on the microstructure and microhardness of the clads was analyzed, as well as their soundness, yield (measured by dilution), and geometric characteristics (height, width, and depth). The complex interaction of the evaluated processing variables forced the application of complex parameters to systematize their effect on the clads. A genetic optimization algorithm was performed to determine the processing conditions warranting high-quality clads, that is, sound clads, metallurgically bonded to the substrate with required deposition yield. Full article
Show Figures

Figure 1

9 pages, 3565 KB  
Article
Heat Treatment of Corrosion Resistant Steel for Water Propellers Fabricated by Direct Laser Deposition
by Ruslan Mendagaliev, Olga Klimova-Korsmik, Vladimir Promakhov, Nikita Schulz, Alexander Zhukov, Viktor Klimenko and Andrey Olisov
Materials 2020, 13(12), 2738; https://doi.org/10.3390/ma13122738 - 17 Jun 2020
Cited by 17 | Viewed by 3165
Abstract
The urgency of heat treatment of samples of maraging steel obtained by direct laser deposition from steel powder 06Cr15Ni4CuMo is considered. The structural features and properties of 06Cr15Ni4CuMo steel samples after direct laser deposition and heat treatment are studied. The work is devoted [...] Read more.
The urgency of heat treatment of samples of maraging steel obtained by direct laser deposition from steel powder 06Cr15Ni4CuMo is considered. The structural features and properties of 06Cr15Ni4CuMo steel samples after direct laser deposition and heat treatment are studied. The work is devoted to research into the influence of thermal processing on the formation of structure and the mechanical properties of deposit samples. Features of formation of microstructural components by means of optical microscopy are investigated. Tests for tension and impact toughness are conducted. As a result, it was established that the material obtained by the direct laser deposition method in its initial state significantly exceeds the strength characteristics of heat treatment castings of similar chemical composition, but is inferior to it in terms of impact toughness and relative elongation. The increase in relative elongation and impact toughness up to the level of cast material in the deposit samples is achieved at the subsequent heat treatment, which leads to the formation of the structure of tempered martensite and reduction in its content at two-stage tempering in the structure of the metal. The strength of the material is also reduced to the level of cast metal. Full article
(This article belongs to the Special Issue Materials, Design and Process Development for Additive Manufacturing)
Show Figures

Figure 1

Back to TopTop