Sign in to use this feature.

Years

Between: -

Subjects

remove_circle_outline
remove_circle_outline
remove_circle_outline
remove_circle_outline
remove_circle_outline
remove_circle_outline
remove_circle_outline
remove_circle_outline
remove_circle_outline

Journals

remove_circle_outline
remove_circle_outline
remove_circle_outline
remove_circle_outline

Article Types

Countries / Regions

remove_circle_outline
remove_circle_outline
remove_circle_outline
remove_circle_outline
remove_circle_outline

Search Results (1,052)

Search Parameters:
Keywords = diploid

Order results
Result details
Results per page
Select all
Export citation of selected articles as:
21 pages, 11405 KB  
Article
Defining the Optimal Microspore Developmental Window for Efficient Anther-Derived Somatic Embryogenesis in Rubber Tree (Hevea brasiliensis)
by Yinglian Wu, Naushad Alam, Xing Bao, Suna Peng, Rizhi Wu, Chenrui Gu, Xinran Ou, Haobin Liu, Xiaoyi Wang and Tiandai Huang
Plants 2026, 15(6), 973; https://doi.org/10.3390/plants15060973 (registering DOI) - 21 Mar 2026
Abstract
Anther-derived somatic embryogenesis is a valuable approach in rubber tree (Hevea brasiliensis) breeding; however, its effectiveness is highly influenced by the developmental stage of the microspores. The present investigation focused on male flower buds of the cultivar Reyan 73397 at successive [...] Read more.
Anther-derived somatic embryogenesis is a valuable approach in rubber tree (Hevea brasiliensis) breeding; however, its effectiveness is highly influenced by the developmental stage of the microspores. The present investigation focused on male flower buds of the cultivar Reyan 73397 at successive developmental stages to examine the relationship between visible bud characteristics and internal microspore development, assess how microspore developmental stage affects callus induction and somatic embryo formation, and identify the stage with the greatest embryogenic potential. Cytological observations distinguished six well-defined phases of microspore development, spanning from microspore mother cells to fully mature pollen grains, each reliably linked to particular bud diameters, coloration, and anther morphology. Anthers corresponding to each developmental phase were cultured in vitro, and their ability to initiate callus and produce somatic embryos was systematically evaluated. Anthers containing uninucleate microspores exhibited the highest rates of both callus formation and somatic embryogenesis, with the early-uninucleate stage showing the strongest response. This stage consistently matched flower buds measuring 1.42–1.57 mm in transverse diameter and displaying a green to yellowish-green appearance. In contrast, anthers collected at the microspore mother cell and tetrad stages did not produce embryogenic responses. Histological evidence has indicated that both callus and somatic embryos originate from diploid somatic tissues of the anther wall, particularly connective parenchyma cells, rather than from microspores themselves. Based on these findings, a rapid, non-destructive selection method integrating bud diameter, bud color, and sieve-based size separation was developed to identify responsive explants efficiently. Overall, this study defines the optimal developmental window for anther culture in rubber trees, verifies the somatic origin of embryogenic tissues, and provides a practical morphological and cytological basis for improving anther culture efficiency in rubber tree breeding programs. Full article
(This article belongs to the Section Plant Development and Morphogenesis)
Show Figures

Figure 1

32 pages, 14472 KB  
Article
From the Balkan Peninsula to the Mesic Grassland Areas of Central Europe: Morpho-Genetic Diversity and Niche Differentiation in the Allopolyploid Complex of the Austrian Speedwell
by David Jiménez-García, Noemí López-González, Daniel Pinto-Carrasco, Nélida Padilla-García, Santiago Andrés-Sánchez, Blanca M. Rojas-Andrés and M. Montserrat Martínez-Ortega
Plants 2026, 15(6), 955; https://doi.org/10.3390/plants15060955 - 20 Mar 2026
Abstract
The Balkan Peninsula is a biodiversity hotspot where topographic and habitat heterogeneity have shaped genetic differentiation. Polyploidization significantly contributes to diversification within plant lineages, including the allopolyploid complex of the Austrian speedwell, which comprises diploid, tetraploid and hexaploid lineages. We sampled 751 individuals [...] Read more.
The Balkan Peninsula is a biodiversity hotspot where topographic and habitat heterogeneity have shaped genetic differentiation. Polyploidization significantly contributes to diversification within plant lineages, including the allopolyploid complex of the Austrian speedwell, which comprises diploid, tetraploid and hexaploid lineages. We sampled 751 individuals from 50 populations belonging to this complex across the Balkan Peninsula and Central Europe. Diversity patterns were investigated through microsatellite markers (SSRs), plastid DNA sequences, ploidy estimations, morphological data and climatic niche differentiation analysis. Five lineages were detected within the complex according to nuclear DNA data. The plastid DNA haplotypes form two main groups that overall match those detected by SSR data and could suggest that the hexaploid lineage resulted from two different allopolyploid events. The hexaploid shows higher nuclear genetic diversity and morphological variation than its lower-ploidy relatives, which might allow the species to respond to a wider range of environmental conditions and be responsible for its success (i.e., a broader geographic range and ecological niche). Style length is a crucial character to distinguish diploids from polyploids, which may affect pollination biology within the complex. Full article
(This article belongs to the Section Plant Systematics, Taxonomy, Nomenclature and Classification)
Show Figures

Figure 1

15 pages, 1910 KB  
Article
Preliminary Investigation of Foliar Application of Boron on Pollen Viability and Development in the Cultivation of Red Clover in the Field
by Miglena Revalska, Mariana Radkova, Aneta Lyubenova, Galina Naydenova and Anelia Iantcheva
Agriculture 2026, 16(6), 681; https://doi.org/10.3390/agriculture16060681 - 18 Mar 2026
Viewed by 109
Abstract
Red clover (Trifolium pratense L.) is a crop used as a forage that possesses an exceptional nutritional profile and digestibility. Unfortunately, this crop has low seed yield. Within the framework of the “Legume Generation” EC-funded project, our team aimed to investigate the [...] Read more.
Red clover (Trifolium pratense L.) is a crop used as a forage that possesses an exceptional nutritional profile and digestibility. Unfortunately, this crop has low seed yield. Within the framework of the “Legume Generation” EC-funded project, our team aimed to investigate the role of foliar boron application on pollen viability and pollen tube development, and to assess its overall effect on red clover cultivation. Plants of six commercial diploid red clover cultivars, Nika 11, Sofia 52, AberClaret, Milvus, Global, and S123, were field-grown and boron-treated by spraying with the commercial product “Lebasol”, 11% active water-soluble boron. To reach our purpose, the transcript levels of genes related to flower, pollen, and pollen tube development and boron transport were measured by qRT-PCR; pollen grain viability and count were assessed microscopically. For this research, eight genes were selected: Auxin Response factor (TprARF17); TprAPETALA3; Walls are thin (TprWAT1 and TprWAT2); NIPs genes (Nodulin Intrinsic Protein) TprNIP4;2, TprNIP7;1, TprNIP5;1, and TprNIP6;1. Additionally, total nitrogen content in leaves detached from field-grown boron-treated and untreated plants was assessed and compared with the expression levels of two TprNIP5;1 and TprNIP6;1 transporters. The fresh and dry biomass weight from the first and second cuts was evaluated, as well as the seed collected from the red clover plants. Seed germination percentage and vigor of seedlings were examined in vitro for both boron-treated and untreated groups of two specific cultivars. Collected data confirm that foliar application of boron affects pollen viability and plant development of red clover in the cultivation conditions of South East Europe. Full article
Show Figures

Figure 1

19 pages, 1883 KB  
Article
Effects of Hybridization and Triploidization on Transcription of Core Metabolic and Stress Response Genes in Rainbow Trout (Oncorhynchus mykiss) × Brook Trout (Salvelinus fontinalis) Hybrids—Preliminary Results
by Marcin Kuciński, Rafał Rożyński and Konrad Ocalewicz
Curr. Issues Mol. Biol. 2026, 48(3), 320; https://doi.org/10.3390/cimb48030320 - 17 Mar 2026
Viewed by 121
Abstract
The transcriptomic effects of hybridization and triploidization were investigated in diploid and triploid rainbow trout, diploid brook trout, as well as triploid hybrids of rainbow trout and brook trout. The examined fish were reared under identical conditions for about two and a half [...] Read more.
The transcriptomic effects of hybridization and triploidization were investigated in diploid and triploid rainbow trout, diploid brook trout, as well as triploid hybrids of rainbow trout and brook trout. The examined fish were reared under identical conditions for about two and a half years after hatching. Expression of ten genes involved in cellular respiration (Atp5bp, Slc25a5), mitochondrial functioning (Mrpl28, Micu2), ribosome biogenesis (Rpl24, Rps24), proteasome-mediated protein turnover (Derl1, Psmc2), and protein chaperoning (Hsp90B1, Pdia4) was studied in liver and muscle tissues. Most of the analyzed genes (Atp5bp, Slc25a5, Mrpl28, Micu2, Rpl24, Rps24, Derl1, and Psmc2) displayed comparable expression levels in the liver tissue across the examined triploid hybrids and diploid parental species, with stabilization of genes that were both positively and negatively compensated in the triploid rainbow trout. In turn, significant upregulation of Slc25a5, Derl1, Rps24, and Rpl24 genes, together with downregulation of Micu2 gene, was observed in the triploid rainbow trout liver and muscle, respectively. On the other hand, triploid hybrids showed marked transcriptional upregulation of genes primarily associated with energy metabolism and protein synthesis (Atp5pb, Slc25a5, Rpl24, Rps24, and Pdia4) relative to all the fish groups examined. Although protein-synthesis- and energy-related genes were upregulated in the muscles of triploid hybrids, the recorded growth performance data did not indicate clear evidence of growth heterosis (MPH = −14.3% for body weight; MPH = −0.4% for body length), suggesting that potential benefits of increased heterozygosity in this cross may not be fully reflected in enhanced growth. Three- to four-fold downregulation of the heat shock protein (Hsp90B1) gene was also observed in both tissues of triploid hybrids compared with purebred diploid and triploid trout, which may reflect potential maladaptive genomic effects commonly observed in distant salmonid crosses, suggesting altered stress-response regulation in the examined triploid hybrids. Full article
(This article belongs to the Section Biochemistry, Molecular and Cellular Biology)
Show Figures

Figure 1

18 pages, 3827 KB  
Article
Optimization of Cultivation System and Transcriptome Analysis: From Unpollinated Chinese Chive Ovules to Plant Formation
by Qing-Qing Wang, Bao-Hui Zhang, Li-Fen Zhao, Ning Ao, Lian Tao, Bing Tang, Chuan-Yuan Mo, Wei Yang, Wen-Yuan Fu and Ying Deng
Agronomy 2026, 16(6), 627; https://doi.org/10.3390/agronomy16060627 - 16 Mar 2026
Viewed by 152
Abstract
Unpollinated ovary culture is an effective approach for generating haploid and doubled haploid lines, but its application in Chinese chive (Allium tuberosum) breeding has been constrained by strong genotype dependence and low regeneration efficiency. This study evaluated an efficient gynogenesis induction [...] Read more.
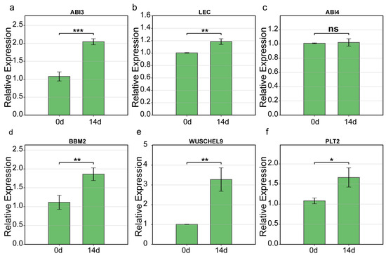
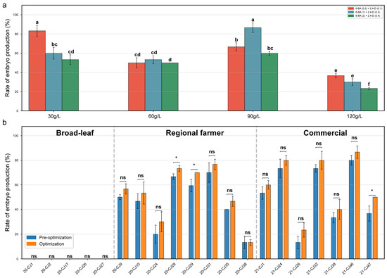
Unpollinated ovary culture is an effective approach for generating haploid and doubled haploid lines, but its application in Chinese chive (Allium tuberosum) breeding has been constrained by strong genotype dependence and low regeneration efficiency. This study evaluated an efficient gynogenesis induction system and analyzed transcriptomic changes associated with embryogenesis. Among 20 evaluated genotypes, the commercial cultivar ‘21-CJ46’ showed the strongest response. The optimized induction conditions utilized ovaries collected 1 day before anthesis, cultured on Murashige and Skoog medium supplemented with 90 g/L sucrose, 1.0 mg/L 6-BA, and 0.2 mg/L 2,4-D at 25 °C. Under this system, ‘21-CJ46’ achieved a maximum embryo induction rate of 86.67%. Flow cytometry and chromosome counting indicated frequent spontaneous chromosome doubling, with regenerants mainly distributed as diploids and tetraploids. RNA-seq analysis comparing pre-induction (0 d) and 14 d ovaries showed extensive transcriptional reprogramming, including significant enrichment of phenylpropanoid biosynthesis, plant–pathogen interaction, and plant hormone signal transduction pathways. Differential expression analysis demonstrated that key embryogenesis regulators, such as BBM2, WUSCHEL9, LEC, PLT2, and ABI3, were regulated at 14 d. These results provide an induction protocol and molecular indications relevant to accelerating Chinese chive breeding. Full article
(This article belongs to the Special Issue Application of In Vitro Culture for Horticultural Crops)
Show Figures

Figure 1

14 pages, 3840 KB  
Article
Structural Diversification of Actinidia Trichomes and Modulation by Polyploidization
by Xiaoqiong Qi, Fei Han, Lansha Luo, Haiyan Lv, Yanqing Deng, Edmore Gasura, Changsheng Xiao, Xianzhi Zhang, Yinghua Deng and Xiaodong Xie
Horticulturae 2026, 12(3), 322; https://doi.org/10.3390/horticulturae12030322 - 9 Mar 2026
Viewed by 220
Abstract
Fruit trichomes and pericarp architecture are pivotal for biological defense and postharvest resilience in the genus Actinidia. However, the evolutionary diversity of these structures and the molecular mechanisms governing their development—particularly under the influence of polyploidization—remain poorly understood. We performed a systematic [...] Read more.
Fruit trichomes and pericarp architecture are pivotal for biological defense and postharvest resilience in the genus Actinidia. However, the evolutionary diversity of these structures and the molecular mechanisms governing their development—particularly under the influence of polyploidization—remain poorly understood. We performed a systematic evaluation of 21 Actinidia species and 14 cultivars using scanning electron microscopy (SEM) and histological analysis. To determine the effects of genome doubling, an autotetraploid line was induced from diploid A. chinensis cv. ‘Donghong’, followed by comparative transcriptomic and temporal expression profiling. Morphological characterization identified three distinct evolutionary groups based on fruit surface traits: glabrous, caducous-spotted, and persistent-pubescent. All observed trichomes featured a unique bipartite multicellular architecture. Kiwifruit pericarp thickness (59.8–534.6 μm) was locally reinforced at trichome insertion sites. Among kiwifruit cultivars, polyploidization significantly increased both trichome length and total amount. Transcriptomic analysis revealed 235 differentially expressed genes (DEGs) enriched in hormonal signaling and flavonoid pathways. Two key candidate genes, Achv4p15g023764.t1 and Achv4p01g000003.t1, were identified as candidate genes for stage-specific regulators governing early morphogenesis and late maturation. By characterizing the morphological diversity and genetic underpinnings of Actinidia trichome and epidermal variation, this study establishes a potential scientific framework for the targeted kiwifruit breeding of novel kiwifruit cultivars with optimized fruit surface characteristics. Full article
(This article belongs to the Special Issue New Insights into Horticultural Crops Resistance to Abiotic Stresses)
Show Figures

Figure 1

13 pages, 1936 KB  
Article
Genome Editing Using a New Self-Compatible Model Strain of the Genus Chrysanthemum
by Hiroshi Yamatani, Michiharu Nakano, Koichi Toyokura, Ayaka Murano, Misato Shimizu, Harue Shinoyama, Kenji Taniguchi and Makoto Kusaba
Horticulturae 2026, 12(3), 320; https://doi.org/10.3390/horticulturae12030320 - 7 Mar 2026
Viewed by 210
Abstract
The cultivated chrysanthemum is the most important ornamental species in the genus Chrysanthemum. However, because it is predominantly hexaploid and additionally exhibits self-incompatibility, it harbors numerous functionally redundant genes and displays extremely high heterozygosity. As a result, its genomic architecture is highly complex, [...] Read more.
The cultivated chrysanthemum is the most important ornamental species in the genus Chrysanthemum. However, because it is predominantly hexaploid and additionally exhibits self-incompatibility, it harbors numerous functionally redundant genes and displays extremely high heterozygosity. As a result, its genomic architecture is highly complex, making it challenging to interpret data obtained from omics analyses such as RNA-seq. To provide a genetically tractable model, we previously developed Gojo-0, a self-compatible, pure line of the diploid wild species C. seticuspe. In this study, we established Gojo-1, an improved self-compatible pure line derived from Gojo-0 and its sibling lines, exhibiting enhanced viability and culture performance. Leveraging these traits, we performed CRISPR–Cas9 editing of the AGAMOUS orthologs and successfully isolated mutants with altered floral organ morphology, demonstrating the line’s suitability for functional genomics. Comparative genome analysis showed that, aside from chromosome 1, the Gojo-1 genome is highly similar to that of Gojo-0, whose complete sequence has been determined. Taken together, these features indicate that Gojo-1 will serve as a valuable resource for future omics-based studies and a broad range of additional research applications. Full article
Show Figures

Figure 1

13 pages, 1408 KB  
Article
Multidirectional Chromosomal Painting in the Harpy Eagle (Harpia harpyja): Conservation of Breakpoints in Accipitriformes
by Fábio Augusto Oliveira Silva, Rodrigo Petry Corrêa de Sousa, Anderson José Baia Gomes, Patrícia C. O’brien, Malcolm Ferguson-Smith and Edivaldo Herculano Corrêa de Oliveira
Animals 2026, 16(5), 799; https://doi.org/10.3390/ani16050799 - 4 Mar 2026
Viewed by 235
Abstract
Diurnal birds of prey (Falconiformes and Accipitriformes) often display karyotypes that diverge markedly from the putative ancestral avian condition (2n = 80), with reduced diploid numbers and fewer microchromosome pairs driven by extensive chromosomal rearrangements. The harpy eagle (Harpia harpyja) was [...] Read more.
Diurnal birds of prey (Falconiformes and Accipitriformes) often display karyotypes that diverge markedly from the putative ancestral avian condition (2n = 80), with reduced diploid numbers and fewer microchromosome pairs driven by extensive chromosomal rearrangements. The harpy eagle (Harpia harpyja) was the first raptor analyzed by chromosome painting, revealing a karyotype (2n = 58) shaped by both microchromosome fusions and macrochromosome fissions followed by secondary fusions. However, these earlier analyses were limited in probe coverage. Here, we present a comprehensive chromosomal map of H. harpyja using multidirectional chromosome painting combined with chromosome-level genome assembly data. We integrated cross-species probes from Gallus gallus and Leucopternis albicollis with high-resolution genomic data to refine syntenic relationships and identify fission–fusion hotspots. G. gallus probes confirmed most previously described and genomically inferred associations but revealed novel features, including a new GGA1/GGA3 association and an increased number of GGA1-derived segments (five to six). Genomic data did not support previously suggested fusions involving GGA20–HHA1 or GGA12–Z. Dual-probe FISH further uncovered lineage-specific rearrangements, indicating rapid chromosomal evolution within Accipitriformes. This integrative approach clarifies harpy eagle genome organization and highlights dynamic evolutionary restructuring in raptor chromosomes. Full article
Show Figures

Figure 1

13 pages, 1147 KB  
Article
Some Hematological and Physiological Indicators of Health in Triploid Tambaqui (Colossoma macropomum): A Preliminary Study
by Aldessandro da C. Amaral, Lucas S. Torati, Luciana N. Ganeco-Kirschnik, Jéssica A. M. Cruz, Janaína S. I. Valandro, Wallice L. P. Duncan, Velmurugu Puvanendran and Fernanda L. Almeida O’Sullivan
Animals 2026, 16(5), 797; https://doi.org/10.3390/ani16050797 - 4 Mar 2026
Viewed by 202
Abstract
This study evaluated the physiological condition and health status of triploid tambaqui (Colossoma macropomum) using hematological and biochemical indicators. Hematocrit, hemoglobin concentration, erythrocyte count, glucose, and plasma protein levels (albumin, globulin and albumin/globulin ratio) were assessed in triploid and diploid fish, [...] Read more.
This study evaluated the physiological condition and health status of triploid tambaqui (Colossoma macropomum) using hematological and biochemical indicators. Hematocrit, hemoglobin concentration, erythrocyte count, glucose, and plasma protein levels (albumin, globulin and albumin/globulin ratio) were assessed in triploid and diploid fish, and mean corpuscular volume (MCV), mean corpuscular hemoglobin (MCH), and mean corpuscular hemoglobin concentration (MCHC) were calculated. Triploid fish exhibited larger erythrocytes, reduced erythrocyte counts, and slightly lower hemoglobin and hematocrit values compared with diploids. Correspondingly, MCV and MCH were significantly higher in triploids, indicating increased hemoglobin content per erythrocyte. In contrast, MCHC values did not differ between ploidy groups, suggesting that hemoglobin concentration within erythrocytes remained unaffected. No significant differences were observed in the evaluated biochemical parameters. These findings indicate that triploid tambaqui undergo compensatory physiological adjustments associated with increased nuclear DNA content in erythrocytes, enabling the maintenance of efficient oxygen transport and respiratory capacity. Overall, triploid fish displayed normal physiological performance, comparable to that of diploids. The results support the use of triploidy as a viable and sustainable strategy in tambaqui aquaculture. Full article
(This article belongs to the Section Aquatic Animals)
Show Figures

Figure 1

22 pages, 4817 KB  
Article
Evidence for Paternal Mitochondrial DNA Leakage in Diploid Hybrid Fish Lineages
by Yalan Zhang, Qinglin Xu, Wei Chen, Sijin Fan, Yu Hu, Xinyue Deng, Gaode Zhong, Kaikun Luo, Mingli Chai, Huan Zhong, Wuhui Li, Fangzhou Hu, Shi Wang and Shaojun Liu
Animals 2026, 16(4), 619; https://doi.org/10.3390/ani16040619 - 15 Feb 2026
Viewed by 441
Abstract
Distant hybridization induces genomic instability in offspring, driving the occurrence of gene recombination and mutation. Analysis of the genomic genetic composition can be used to infer the genetic evolutionary relationships between species. Based on the improved diploid carp (IDC) and the improved diploid [...] Read more.
Distant hybridization induces genomic instability in offspring, driving the occurrence of gene recombination and mutation. Analysis of the genomic genetic composition can be used to infer the genetic evolutionary relationships between species. Based on the improved diploid carp (IDC) and the improved diploid scattered mirror carp (IDMC) lineages derived from distant hybridization between female common carp and male blunt snout bream, this study analyzed the genetic variation in their mitochondrial genomes to investigate the impact of distant hybridization on mitochondrial DNA (mtDNA) structural variation. Analysis of complete mitochondrial genome sequence structure and composition revealed subtle structural divergence across generations in both the IDC and IDMC lineages. Analysis of the protein-coding gene sequence structure demonstrated mitochondrial genome structure instability in nascent hybrid diploid lineages. Yet, subsequent self-crossing significantly narrowed the range of structural variation within each lineage. Furthermore, analysis of the genetic variation in the mitochondrial genome sequence structure revealed that paternal base insertions occurred in both F1 lineages, accompanied by mutations predominantly consistent with those in crucian carp. The results of this study also indicated that the strictness of the paternal mtDNA elimination mechanism varied significantly among polymorphic individuals across different generations of the hybrid lineages, reflecting the randomness of paternal leakage. Full article
Show Figures

Figure 1

15 pages, 4022 KB  
Article
Comparative Study of Induced Tetraploid and Diploid Gooseberry (Ribes grossularia L.): Growth, Stomatal, and Leaf Anatomical Traits
by Aleksandra Trzewik, Agnieszka Marasek-Ciołakowska and Monika Działkowska
Agronomy 2026, 16(4), 433; https://doi.org/10.3390/agronomy16040433 - 12 Feb 2026
Viewed by 329
Abstract
This study aimed to assess the phenotypic changes in tetraploids of two gooseberry genotypes (‘White Triumph’ and AGR9, 2n = 4x = 32) in relation to their diploid counterparts (2n = 2x = 16). Tetraploid plants of the ‘White [...] Read more.
This study aimed to assess the phenotypic changes in tetraploids of two gooseberry genotypes (‘White Triumph’ and AGR9, 2n = 4x = 32) in relation to their diploid counterparts (2n = 2x = 16). Tetraploid plants of the ‘White Triumph’ cultivar were characterized by lower growth dynamics than the diploid (control) plants, with the exception of clone A7/2-4x, whose height was increased. Tetraploid plants from three AGR9 gooseberry clones exhibited enhanced growth dynamics compared to control plants. The stomatal length of tetraploid gooseberry genotypes was greater than that of the control, but the stomatal density was lower in tetraploids. The leaf blades and petiole lengths of the tetraploid, ‘White Triumph’, and AGR9 plants were significantly larger than those of their diploid counterparts. Almost all nine evaluated anatomical traits (upper and lower epidermis thickness, palisade and sponge tissue thickness, amount of intercellular spaces, midrib diameter, phloem and xylem thickness, and surface of midrib cells) of the leaves in tetraploids were significantly greater than those of their diploid counterparts. Principal component analysis (PCA) distinguished genotypes according to the ploidy level. The first two principal components explained 74.8% of the total variance, with PC1 (49.99%) representing the primary axis separating diploid (2x) and tetraploid (4x) genotypes. To the best of our knowledge, there have been no published reports on the phenotypic assessment of gooseberry tetraploids. The vigorous gooseberry tetraploids characterized in this study are likely the first of their kind to be reported. Full article
(This article belongs to the Section Crop Breeding and Genetics)
Show Figures

Figure 1

20 pages, 6310 KB  
Article
Consensus Copy-Number Alteration Signatures from Clinical Panels Enable Pan-Cancer Risk Stratification and Therapy Response Association
by Adar Yaacov
Int. J. Mol. Sci. 2026, 27(4), 1764; https://doi.org/10.3390/ijms27041764 - 12 Feb 2026
Viewed by 412
Abstract
Somatic copy-number alterations (CNAs) are pervasive in cancer, but routine targeted panels yield sparse CNA readouts unsuited for CNA signature analysis. We built a consensus framework that integrates four deconvolution algorithms to extract CNA signatures from panel data. Analysis of 24,870 tumors sequenced [...] Read more.
Somatic copy-number alterations (CNAs) are pervasive in cancer, but routine targeted panels yield sparse CNA readouts unsuited for CNA signature analysis. We built a consensus framework that integrates four deconvolution algorithms to extract CNA signatures from panel data. Analysis of 24,870 tumors sequenced using MSK-IMPACT identified five reproducible signatures (CON1–CON5). CON5 mirrored near-diploid profiles, whereas the others captured distinct aneuploid patterns. Technical fidelity was confirmed by internal cross-validation and external validation in sarcoma and hepatocellular carcinoma cohorts. Clinically, these signatures were associated with overall survival across tumor types (hazard ratio 1.3–2.5; FDR < 0.01) and provided additive prognostic information beyond Fraction of Genome Altered. Associations with driver mutations (GATA3 in CON1, KRAS in CON5) supported biological specificity, and the signatures delineated resistance landscapes for chemotherapy, hormonal, targeted, and immunotherapy. By converting routine panel data into biologically interpretable prognostic features, our framework enables risk stratification and therapeutic guidance in precision oncology. Full article
Show Figures

Graphical abstract

22 pages, 8274 KB  
Article
Autotetraploidization Induces a Metabolic Shift from Flavonoids to Coumarins While Maintaining Volatile Stability in Yuzu (Citrus junos Sieb. ex Tanaka)
by Hongjian Zhou, Shangjie Shen, Zhexi Ye, Jinjie Wu, Qun Wu, Ying Yao, Lin Zhang, Chi Zhang and Min Zhang
Horticulturae 2026, 12(2), 216; https://doi.org/10.3390/horticulturae12020216 - 10 Feb 2026
Viewed by 289
Abstract
Polyploidy modifies metabolic profiles and transcriptional regulation of biosynthetic pathways. Citrus tetraploids are characterized by dwarf growth and increased leaf biomass. Citrus leaves are valuable resources for essential oils and natural food additives because of their rapid regrowth, high biomass yield, and year-round [...] Read more.
Polyploidy modifies metabolic profiles and transcriptional regulation of biosynthetic pathways. Citrus tetraploids are characterized by dwarf growth and increased leaf biomass. Citrus leaves are valuable resources for essential oils and natural food additives because of their rapid regrowth, high biomass yield, and year-round availability. In this study, 11 spontaneous autotetraploids (1.14%) were identified among 967 yuzu seedlings. Compared with diploids, tetraploids exhibited reduced plant height, wider leaves, and fewer but larger stomata, accompanied by a 70% increase in net photosynthetic rate and a 2.6-fold increase in stomatal conductance. Volatilomic analysis showed that only 12.4% of the 920 detected volatile organic compounds (VOCs) differed significantly between ploidy levels; notably, two esters—methyl 2-(methylamino) benzoate and 2-methoxyethyl benzoate—were substantially enriched in tetraploids (~400-fold and ~8-fold, respectively). Nonvolatile metabolomic analysis revealed higher accumulation of bioactive coumarins (e.g., bergapten, imperatorin, and isopimpinellin) and lower levels of flavonoids in tetraploid leaves. Transcriptomic analysis indicated enrichment of genes involved in flavonoid and coumarin biosynthesis. Integrated multi-omics analysis demonstrated that upregulation of psoralen synthase (PS) and scopoletin 8-hydroxylase (S8H) was positively associated with increased coumarin accumulation, whereas downregulation of flavonol synthase (FLS) and flavonol-3-O-glucoside L-rhamnosyltransferase (FG2) contributed to reduced flavonoid content, indicating a metabolic shift from flavonoids to coumarins in tetraploid leaves. These findings provide insight into secondary metabolite reprogramming following autotetraploidization in yuzu and highlight its potential value for the bioactive coumarin industry. Full article
(This article belongs to the Topic Nutritional and Phytochemical Composition of Plants)
Show Figures

Graphical abstract

12 pages, 2332 KB  
Article
Hepatic Expression of Growth Hormone Receptor (GHrec) and Insulin-like Growth Factor-I (IGF-I) Genes and Cellular Location of IGF-I mRNA in Diploid and Triploid Atlantic Salmon (Salmo salar) Undergoing Parr–Smolt Transformation
by Martina Bortoletti, Elisa Fonsatti, Lisa Maccatrozzo, Stefano Peruzzi, Malcolm Jobling, Marta Vascellari, Giuseppe Radaelli and Daniela Bertotto
Animals 2026, 16(3), 515; https://doi.org/10.3390/ani16030515 - 6 Feb 2026
Viewed by 463
Abstract
The induction of triploidy, a strategy to mitigate unwanted pre-harvest sexual maturation and a genetic containment measure for escaped farmed Atlantic salmon (Salmo salar), may give rise to challenges because of the distinct environmental and dietary requirements of sterile triploid fish. [...] Read more.
The induction of triploidy, a strategy to mitigate unwanted pre-harvest sexual maturation and a genetic containment measure for escaped farmed Atlantic salmon (Salmo salar), may give rise to challenges because of the distinct environmental and dietary requirements of sterile triploid fish. Smoltification is a critical phase in the life cycle of Atlantic salmon, so knowledge about parr–smolt transformation in triploids is important for the salmon farming industry. This study covered an investigation of hepatic expression of growth hormone receptor (GHrec) and insulin-like growth factor-I (IGF-I) genes, both of which are intimately involved in the regulation of osmoregulation and growth. Additionally, hepatic presence and location of IGF-I mRNA were examined using RNAscope®, an advanced in situ hybridization technique. Triplicate groups of juvenile diploid and triploid salmon were reared at low temperature (10 °C) and fed either a standard diet or one enriched with hydrolyzed fish proteins from the start of feeding onwards. Liver samples were collected from three fish per tank each month from October to December (2454–3044 degree-days post-start feeding), the period encompassing smoltification, and hepatic expression of IGF-I and GHrec genes was quantified by real-time PCR. The results indicated that neither ploidy nor diet significantly influenced IGF-I or GHrec gene expression, suggesting that, under our conditions, triploidy and diet did not adversely affect this molecular pathway linked to growth and osmoregulation. IGF-I gene expression exhibited significant temporal variation, correlating with the progression of smoltification, while GHrec gene expression showed a similar, albeit non-significant, trend. Triploids exhibited IGF-I and GHrec gene expression patterns comparable to diploids, and both the temporal changes and lack of difference between triploids and diploids were mirrored in the quantification of IGF-I mRNA within the liver cells. The potential applicability to a commercial aquaculture setting requires further investigation. Full article
Show Figures

Figure 1

24 pages, 1901 KB  
Review
Editing Candida: Origins and Advances of CRISPR Tools
by Adina Schulze, Katharina Kainz, Maria A. Bauer and Didac Carmona-Gutierrez
Biomolecules 2026, 16(2), 245; https://doi.org/10.3390/biom16020245 - 4 Feb 2026
Viewed by 651
Abstract
Pathogens causing candidiasis encompass a diverse group of ascomycetous yeasts that have become essential models for studying fungal adaptability, pathogenicity, and host–pathogen interactions. Although many candidiasis-promoting species exist as commensals within host microbiota, several have acquired virulence traits that enable opportunistic infections, positioning [...] Read more.
Pathogens causing candidiasis encompass a diverse group of ascomycetous yeasts that have become essential models for studying fungal adaptability, pathogenicity, and host–pathogen interactions. Although many candidiasis-promoting species exist as commensals within host microbiota, several have acquired virulence traits that enable opportunistic infections, positioning them as a leading cause of invasive fungal disease in humans. Deciphering the molecular and genetic determinants that underpin the biology of organisms responsible for candidiasis has long been a central objective in medical and molecular mycology. However, research progress has been constrained by intrinsic biological challenges, including noncanonical codon usage and the absence of a complete sexual cycle in diploid species, which have complicated traditional genetic manipulation. CRISPR-Cas9 genome editing has overcome many of these limitations, providing a precise, efficient, and versatile framework for targeted genomic modification. This system has facilitated functional genomic studies ranging from single-gene deletions to high-throughput mutagenesis, yielding new insights into the mechanisms governing virulence, antifungal resistance, and stress adaptation. Since its initial application in Candida albicans, CRISPR-Cas9 technology has been refined and adapted for other clinically and industrially relevant species, including Nakaseomyces glabratus (formerly referred to as Candida glabrata), Candida parapsilosis, and Candida auris. The present work provides an overview of the evolution of genetic approaches employed in research directed against candidiasis-associated species, with a particular focus on the development and optimization of CRISPR-based systems. It highlights how recent advancements have improved the genetic tractability of these pathogens and outlines emerging opportunities for both fundamental and applied studies in fungal biology. Full article
(This article belongs to the Special Issue Advances in Microbial CRISPR Editing)
Show Figures

Figure 1

Back to TopTop