Sign in to use this feature.

Years

Between: -

Subjects

remove_circle_outline
remove_circle_outline
remove_circle_outline
remove_circle_outline
remove_circle_outline

Journals

Article Types

Countries / Regions

Search Results (12)

Search Parameters:
Keywords = digestive tract morphology and enzyme activity

Order results
Result details
Results per page
Select all
Export citation of selected articles as:
19 pages, 570 KB  
Review
Fish Digestive Capacity: Definition and Methods
by Héctor Nolasco-Soria, Manuel Yúfera and Héctor R. Nolasco-Alzaga
Fishes 2025, 10(11), 546; https://doi.org/10.3390/fishes10110546 - 27 Oct 2025
Viewed by 423
Abstract
The nutritional value of a diet and its bioavailability in fish depend on three primary capacities: (a) ingestion, (b) digestion, and (c) absorption. Among these, digestive capacity, defined here as the total enzyme activity available to hydrolyze the bonds of dietary macromolecules to [...] Read more.
The nutritional value of a diet and its bioavailability in fish depend on three primary capacities: (a) ingestion, (b) digestion, and (c) absorption. Among these, digestive capacity, defined here as the total enzyme activity available to hydrolyze the bonds of dietary macromolecules to obtain hydrolysis products that are ultimately converted into absorbable micromolecular units, establishes the upper limit for the bioaccessibility of nutrients. To clarify usage and measurement, we conducted a systematic SCOPUS survey (January 2020–June 2024; 62 relevant articles). Most studies either omit a clear definition of digestive capacity or conflate it with digestive organ morphology or isolated enzyme activities. We compared indicators and assay conditions (substrate type, pH, temperature, and expression of units), revealing significant inter-study variability. Based on this synthesis, we propose four operational definitions: (a) Extract Theoretical Volume (ETV)—calculated volume of extract, considering both the solvent volume (SV) used for tissue homogenization and the tissue’s water content; (b) digestive capacity (U)—the total catalytic activity present in the digestive tract at the moment of sampling, where 1 U is the amount of enzyme catalyzing the formation of 1 µmol of product per minute under species-specific physiological pH, ionic strength, and temperature, with the total activity expressed as U fish−1, U organ−1, or U g−1 fish or U g−1 organ, enabling direct comparisons across studies; (c) Digestive Processing (DP)—the total number of bonds hydrolyzed during a given digestion time, whether instantaneous or over a defined period; and (d) Digestive Processing Index (DPI, U-min or U-h), which integrates digestive capacity over time. This framework provides a harmonized checklist for assay standardization and advances comparative studies in fish digestive physiology. Full article
(This article belongs to the Section Nutrition and Feeding)
Show Figures

Figure 1

13 pages, 1846 KB  
Article
Effects of Dietary Potassium Diformate Supplementation on Growth Performance, Nutrient Digestibility, Gastrointestinal pH, Jejunal Morphology, Digestive Enzyme Activity, and Antioxidant Status in Weaned Piglets
by Lina Zhang, Yong Cheng, Li Lu, Songtao Zhong, Tiande Zou, Mingren Qu and Jun Chen
Animals 2025, 15(19), 2916; https://doi.org/10.3390/ani15192916 - 7 Oct 2025
Viewed by 404
Abstract
This study evaluated the effects of dietary potassium diformate supplementation on growth performance, nutrient digestibility, gastrointestinal pH, jejunal morphology, digestive enzyme activity, and antioxidant status of weaned piglets in a 28-day trial. Twenty-four weaned piglets were selected and, after a 4-day adaptation period, [...] Read more.
This study evaluated the effects of dietary potassium diformate supplementation on growth performance, nutrient digestibility, gastrointestinal pH, jejunal morphology, digestive enzyme activity, and antioxidant status of weaned piglets in a 28-day trial. Twenty-four weaned piglets were selected and, after a 4-day adaptation period, randomly assigned to 4 treatment groups (n = 6). The dietary treatments included a control diet (basal diet) and 3 diets supplemented with 0.6%, 1.2%, or 1.8% potassium diformate in the basal diet. The results indicated that the feed conversion ratio (FCR) of piglets was reduced by all three potassium diformate supplementation levels compared to the control group (p < 0.05). Additionally, the FCR was decreased in piglets fed the 1.8% potassium diformate-supplemented diet compared to those fed the 1.2% potassium diformate-supplemented diet (p < 0.05). Piglets fed the three potassium diformate-supplemented diets exhibited higher apparent total tract digestibility (ATTD) of dry matter and crude protein than the control group (p < 0.05). The 1.8% potassium diformate groups also showed increased ATTD of calcium and phosphorus compared to the control group (p < 0.05). Supplementation with 1.2% or 1.8% potassium diformate reduced the digesta pH in the proximal stomach, distal stomach, and duodenum, while increased jejunal villus height (VH), VH/crypt depth (VH/CD) ratio, and catalase and total superoxide dismutase activities in the jejunal mucosa compared to the control group (p < 0.05). The 1.2% potassium diformate group showed higher α-amylase activity than the control group (p < 0.05). Correlation analysis revealed that FCR negatively correlated with ATTD of dry matter, crude protein, calcium, phosphorus, and jejunal VH, while positively correlating with digesta pH in the proximal stomach (p < 0.05). The ATTD of dry matter negatively correlated with digesta pH in the proximal stomach, distal stomach, and duodenum, and positively correlated with jejunal VH/CD ratio and catalase activity (p < 0.05). The ATTD of crude protein negatively correlated with digesta pH in the proximal stomach, distal stomach, and duodenum (p < 0.05). Collectively, dietary supplementation with 1.8% potassium diformate reduced FCR of weaned piglets, which was associated with enhanced nutrient digestibility, reduced pH in the anterior gastrointestinal tract, and improved jejunal morphology. Full article
Show Figures

Figure 1

30 pages, 3663 KB  
Review
Hormonal Alterations in Individuals with Obesity After Metabolic Bariatric Surgery: A Narrative Review
by Ioanna A. Anastasiou, Dimitris Kounatidis, Eleni Rebelos, Natalia G. Vallianou, Anastasios Tentolouris, Nikolaos Tentolouris, Maria Dalamaga and Irene Karampela
Medicina 2025, 61(10), 1724; https://doi.org/10.3390/medicina61101724 - 23 Sep 2025
Viewed by 1374
Abstract
The gastrointestinal (GI) tract is increasingly recognized as an important regulator of energy balance and metabolism, extending beyond its traditional digestive functions. This review synthesizes current research on how modifications to the GI tract, particularly those induced by metabolic bariatric surgery (MBS), influence [...] Read more.
The gastrointestinal (GI) tract is increasingly recognized as an important regulator of energy balance and metabolism, extending beyond its traditional digestive functions. This review synthesizes current research on how modifications to the GI tract, particularly those induced by metabolic bariatric surgery (MBS), influence hormonal and physiological processes involved in glucose regulation and appetite control. MBS procedures, such as Roux-en-Y gastric bypass (RYGB) and sleeve gastrectomy (SG), induce significant and sustained weight loss, but also elicit adaptive morphological and functional changes within the intestines. These alterations include intestinal hypertrophy, increased mucosal surface area, changes in nutrient transit time, and modifications in enzyme activity. Such changes enhance the secretion of key gut hormones, including glucagon-like peptide 1 (GLP-1) and peptide YY (PYY), which play vital roles in promoting insulin secretion, suppressing appetite, and improving blood glucose regulation. The benefits stem from the exposure of undigested nutrients to different intestinal segments, which stimulates enteroendocrine activity and positively influences systemic metabolism. These hormonal adaptations contribute significantly to the metabolic improvements observed post-surgery, independent of weight loss alone. Understanding how gut structural and functional changes drive hormonal responses provides valuable insights into the mechanisms underlying the success of MBS. Moreover, elucidating these processes may facilitate the development of less invasive therapies that mimic the metabolic benefits of surgery. Ultimately, this research advances our understanding of gut-mediated regulation of energy and glucose homeostasis and holds promise for improving treatment strategies for obesity and related metabolic disorders. Full article
(This article belongs to the Section Surgery)
Show Figures

Figure 1

11 pages, 3227 KB  
Article
Effect of Different Opening Diet on the Growth, the Structure of the Digestive Tract and Digestive Enzyme Activity of Larval and Juvenile Mystus macropterus
by Xiaoli Li, Xingbing Wu, Xuemei Li, Nian Wei, Ming Jiang, Yongjiu Zhu and Tingbing Zhu
Biology 2024, 13(9), 749; https://doi.org/10.3390/biology13090749 - 23 Sep 2024
Cited by 3 | Viewed by 1456
Abstract
One of the crucial factors influencing the growth and viability of larvae and juveniles is their opening diets. The objective of this study was to identify suitable initial feed options for M. macropterus larvae and juveniles. A total of 1200 newly hatched M. [...] Read more.
One of the crucial factors influencing the growth and viability of larvae and juveniles is their opening diets. The objective of this study was to identify suitable initial feed options for M. macropterus larvae and juveniles. A total of 1200 newly hatched M. macropterus with an average weight of 18.3 mg and an average length of 11.58 mm were selected and randomly divided into four groups. The fish were fed with different opening diets, including rotifer, Artemia nauplii, Tubifex, and micro-diet from six days after hatching (dahs), respectively. Growth indices and activities of digestive enzymes were assessed at 10, 15, 20, 25, 30, 35, and 40 dahs. Histological examination of the structure of the digestive tract was performed at 40 dahs, while survival rates were also documented. The results demonstrated that different diets had no effect on the survival rate of larvae and juveniles of M. macropterus. The growth performance indices were ranked as follows: Tubifex group > Artemia nauplii group > micro-diet group > rotifer group. Remarkably, the Tubifex group exhibited superior growth performance, which was also reflected in the structure of the digestive tract and digestive enzyme activity. Therefore, it is recommended to include Tubifex in the diet of M. macropterus larvae and juvenile during the standardized farming process. Full article
(This article belongs to the Special Issue Aquatic Economic Animal Breeding and Healthy Farming)
Show Figures

Figure 1

22 pages, 1509 KB  
Review
Dietary Exposure to Acrylamide Has Negative Effects on the Gastrointestinal Tract: A Review
by Katarzyna Palus
Nutrients 2024, 16(13), 2032; https://doi.org/10.3390/nu16132032 - 26 Jun 2024
Cited by 14 | Viewed by 4533
Abstract
Changing eating habits and an increase in consumption of thermally processed products have increased the risk of the harmful impact of chemical substances in food on consumer health. A 2002 report by the Swedish National Food Administration and scientists at Stockholm University on [...] Read more.
Changing eating habits and an increase in consumption of thermally processed products have increased the risk of the harmful impact of chemical substances in food on consumer health. A 2002 report by the Swedish National Food Administration and scientists at Stockholm University on the formation of acrylamide in food products during frying, baking and grilling contributed to an increase in scientific interest in the subject. Acrylamide is a product of Maillard’s reaction, which is a non-enzymatic chemical reaction between reducing sugars and amino acids that takes place during thermal processing. The research conducted over the past 20 years has shown that consumption of acrylamide-containing products leads to disorders in human and animal organisms. The gastrointestinal tract is a complex regulatory system that determines the transport, grinding, and mixing of food, secretion of digestive juices, blood flow, growth and differentiation of tissues, and their protection. As the main route of acrylamide absorption from food, it is directly exposed to the harmful effects of acrylamide and its metabolite—glycidamide. Despite numerous studies on the effect of acrylamide on the digestive tract, no comprehensive analysis of the impact of this compound on the morphology, innervation, and secretory functions of the digestive system has been made so far. Acrylamide present in food products modifies the intestine morphology and the activity of intestinal enzymes, disrupts enteric nervous system function, affects the gut microbiome, and increases apoptosis, leading to gastrointestinal tract dysfunction. It has also been demonstrated that it interacts with other substances in food in the intestines, which increases its toxicity. This paper summarises the current knowledge of the impact of acrylamide on the gastrointestinal tract, including the enteric nervous system, and refers to strategies aimed at reducing its toxic effect. Full article
(This article belongs to the Special Issue The Role of Nutrition and Food Security in the Enteric Nervous System)
Show Figures

Figure 1

35 pages, 3954 KB  
Article
Trophic Position of the White Worm (Enchytraeus albidus) in the Context of Digestive Enzyme Genes Revealed by Transcriptomics Analysis
by Łukasz Gajda, Agata Daszkowska-Golec and Piotr Świątek
Int. J. Mol. Sci. 2024, 25(9), 4685; https://doi.org/10.3390/ijms25094685 - 25 Apr 2024
Cited by 1 | Viewed by 2034
Abstract
To assess the impact of Enchytraeidae (potworms) on the functioning of the decomposer system, knowledge of the feeding preferences of enchytraeid species is required. Different food preferences can be explained by variations in enzymatic activities among different enchytraeid species, as there are no [...] Read more.
To assess the impact of Enchytraeidae (potworms) on the functioning of the decomposer system, knowledge of the feeding preferences of enchytraeid species is required. Different food preferences can be explained by variations in enzymatic activities among different enchytraeid species, as there are no significant differences in the morphology or anatomy of their alimentary tracts. However, it is crucial to distinguish between the contribution of microbial enzymes and the animal’s digestive capacity. Here, we computationally analyzed the endogenous digestive enzyme genes in Enchytraeus albidus. The analysis was based on RNA-Seq of COI-monohaplotype culture (PL-A strain) specimens, utilizing transcriptome profiling to determine the trophic position of the species. We also corroborated the results obtained using transcriptomics data from genetically heterogeneous freeze-tolerant strains. Our results revealed that E. albidus expresses a wide range of glycosidases, including GH9 cellulases and a specific digestive SH3b-domain-containing i-type lysozyme, previously described in the earthworm Eisenia andrei. Therefore, E. albidus combines traits of both primary decomposers (primary saprophytophages) and secondary decomposers (sapro-microphytophages/microbivores) and can be defined as an intermediate decomposer. Based on assemblies of publicly available RNA-Seq reads, we found close homologs for these cellulases and i-type lysozymes in various clitellate taxa, including Crassiclitellata and Enchytraeidae. Full article
(This article belongs to the Special Issue State-of-the-Art Molecular Genetics and Genomics in Poland 2.0)
Show Figures

Figure 1

22 pages, 1135 KB  
Article
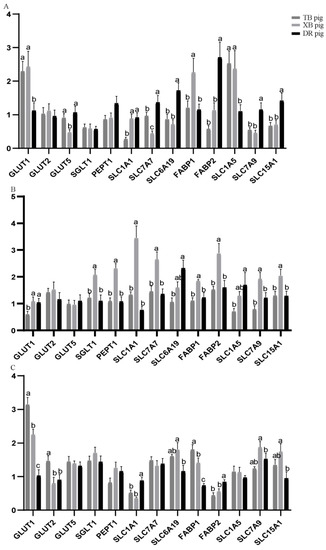
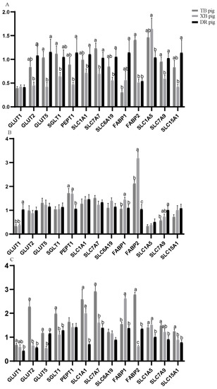
Small Intestinal Digestive Functions and Feed Efficiency Differ in Different Pig Breeds
by Yating Cheng, Sujuan Ding, Md. Abul Kalam Azad, Bo Song and Xiangfeng Kong
Animals 2023, 13(7), 1172; https://doi.org/10.3390/ani13071172 - 26 Mar 2023
Cited by 7 | Viewed by 2805
Abstract
Small intestinal growth and health affect its digestion and absorption ability, while little information exists about the small intestinal morphology and function differences among the different pig breeds. Therefore, 90 healthy 35 days of age Taoyuan black (TB), Xiangcun black (XB), and Duroc [...] Read more.
Small intestinal growth and health affect its digestion and absorption ability, while little information exists about the small intestinal morphology and function differences among the different pig breeds. Therefore, 90 healthy 35 days of age Taoyuan black (TB), Xiangcun black (XB), and Duroc (DR) pigs (30 pigs per breed) with similar body weight (BW) of the same breed were reared to 185 days of age to evaluate the potential relationship between feed efficiency and small intestinal morphology and function at 80, 125, and 185 days of age. The results show that the TB and XB pigs had lower initial and final BW, ADG, and ADFI and plasma CHO and LDL-C levels, whereas they had higher plasma LIP levels and jejunal trypsin, invertase, lactase, and maltase activities and higher DM, ADF, Tyr, Arg, and His digestibility at 80 days of age compared with the DR pigs. At 125 days of age, TB and XB pigs had lower apparent total tract digestibility and plasma CHO, HDL-C, LDL-C, and NH3 levels; XB pigs had lower DM and NDF digestibility, and TB pigs had higher jejunal lactase and maltase activities. At 185 days of age, TB and XB pigs had lower DM, EE, ADF, and GE digestibility, while having higher plasma ALT and UN levels; TB pigs had higher plasma AST level and jejunal chymase activity. Furthermore, the plasma free amino acid contents, small intestinal VH, and nutrient transporter expression levels differed at different ages. Therefore, the different pig breeds exhibited significantly different growth performance and small intestinal growth, mainly resulting from the differences in digestive enzymes and nutrient transporters in the small intestine. Full article
(This article belongs to the Section Animal Physiology)
Show Figures

Figure 1

17 pages, 2122 KB  
Article
Fucoidan Improves Growth, Digestive Tract Maturation, and Gut Microbiota in Large Yellow Croaker (Larimichthys crocea) Larvae
by Zhaoyang Yin, Ye Gong, Yongtao Liu, Yuliang He, Chuanwei Yao, Wenxing Huang, Kangsen Mai and Qinghui Ai
Nutrients 2022, 14(21), 4504; https://doi.org/10.3390/nu14214504 - 26 Oct 2022
Cited by 13 | Viewed by 3202
Abstract
The early life period is considered an essential period for gut microbial colonization. Manipulating gut microbiota interventions during early life periods has been proven to be a promising method to boost healthy growth. Therefore, the aim of the present study was to investigate [...] Read more.
The early life period is considered an essential period for gut microbial colonization. Manipulating gut microbiota interventions during early life periods has been proven to be a promising method to boost healthy growth. Therefore, the aim of the present study was to investigate the effects of dietary fucoidan (Fuc) on the growth, digestive tract maturation, and gut microbiota of large yellow croaker (Larimichthys crocea) larvae. Four diets were formulated with different levels of Fuc (0.00%, 0.50%, 1.00%, and 2.00%). Results showed that dietary Fuc significantly improved the growth performance of larvae. Meanwhile, dietary Fuc promoted digestive tract maturation. Dietary 1.00% Fuc significantly improved intestinal morphology. Dietary Fuc upregulated the expression of intestinal cell proliferation and differentiation related-genes and intestinal barrier related-genes. Dietary 2.00% Fuc significantly increased the activities of brush border membranes enzymes and lipase while inhibiting α-amylase. Furthermore, dietary Fuc maintained healthy intestinal micro-ecology. In detail, dietary 1.00% and 2.00% Fuc altered the overall structure of the gut microbiota and increased the relative abundance of Bacteroidetes while decreasing the relative abundance of opportunistic pathogens and facultative anaerobe. In conclusion, appropriate dietary Fuc (1.00–2.00%) could improve the growth of large yellow croaker larvae by promoting digestive tract maturation and maintaining an ideal intestinal micro-ecology. Full article
(This article belongs to the Section Prebiotics and Probiotics)
Show Figures

Figure 1

16 pages, 2668 KB  
Article
The Anti-Obesity Effect of Porous Silica Is Dependent on Pore Nanostructure, Particle Size, and Surface Chemistry in an In Vitro Digestion Model
by JingYi Chen, John P. Hanrahan, Joe McGrath, Melissa A. Courtney, Clive A. Prestidge and Paul Joyce
Pharmaceutics 2022, 14(9), 1813; https://doi.org/10.3390/pharmaceutics14091813 - 29 Aug 2022
Viewed by 10091
Abstract
The potential for porous silica to serve as an effective anti-obesity agent has received growing attention in recent years. However, neither the exact pharmacological mechanism nor the fundamental physicochemical properties of porous silica that drive its weight-lowering effect are well understood. Subsequently, in [...] Read more.
The potential for porous silica to serve as an effective anti-obesity agent has received growing attention in recent years. However, neither the exact pharmacological mechanism nor the fundamental physicochemical properties of porous silica that drive its weight-lowering effect are well understood. Subsequently, in this study, an advanced in vitro digestion model capable of monitoring lipid and carbohydrate digestion was employed to elucidate the effect of porous silica supplementation on digestive enzyme activities. A suite of porous silica samples with contrasting physicochemical properties was investigated, where it was established that the inhibitory action of porous silica on digestive enzyme functionality was strongly dependent on porous nanostructure, particle size and morphology, and surface chemistry. Insights derived from this study validate the capacity of porous silica to impede the digestive processes mediated by pancreatic lipase and α-amylase within the gastrointestinal tract, while the subtle interplay between porous nanostructure and enzyme inhibition indicates that the anti-obesity effect can be optimized through strategic particle design. Full article
(This article belongs to the Special Issue Design of Mesoporous Materials for Biomedical Application)
Show Figures

Figure 1

17 pages, 2589 KB  
Article
Extruded Enzyme-Added Corn Improves the Growth Performance, Intestinal Function, and Microbiome of Weaning Piglets
by Dan Zhu, Lianqiang Che, Bing Yu and Daiwen Chen
Animals 2022, 12(8), 1002; https://doi.org/10.3390/ani12081002 - 13 Apr 2022
Cited by 2 | Viewed by 2889
Abstract
The objective of this study was to evaluate the effects of extruded corn with added amylase under different moisture conditions on the growth performance, intestinal function, and microbiome of weaning piglets. Fourty-eight 24-day-old weaning piglets (Duroc × Landrace × Yorkshire, weaned at 22 [...] Read more.
The objective of this study was to evaluate the effects of extruded corn with added amylase under different moisture conditions on the growth performance, intestinal function, and microbiome of weaning piglets. Fourty-eight 24-day-old weaning piglets (Duroc × Landrace × Yorkshire, weaned at 22 ± 1 d) with an initial body weight of 6.76 ± 0.15 kg were randomly assigned to one of four dietary treatments with six replicates per treatment and two pigs per replicate: (1) NL (adding 7.5% water before corn extrusion, negative treatment with low moisture); (2) NH (adding 15.0% water before corn extrusion, negative treatment with high moisture); (3) PL (adding 7.5% water and 4 kg/t α-amylase before corn extrusion, positive treatment with low moisture); and (4) PH (adding 15% water and 4 kg/t α-amylase before corn extrusion, positive treatment with high moisture). Results showed that amylase supplementation (4 vs. 0 kg/t) increased the contents of small molecular oligosaccharides of extruded corn (p < 0.05). Amylase supplementation significantly improved the average daily feed intake, apparent total tract digestibility (ATTD) of dry matter, crude protein, gross energy, crude fat, ash, phosphorus, and calcium, and also increased the activities of jejunal trypsin, α-amylase, lipase, sucrase, maltase, γ-glutamyl transferase and alkaline phosphatase activities, improved the duodenal, jejunal and ileal morphology, and increased the relative mRNA expressions of the ZO-1, OCLN, SGLT1, and GLUT2 genes in the jejunum (p < 0.05), whereas it decreased the contents of isobutyric acid in cecal digesta, as well as acetic acid and isobutyric acid in colonic digesta (p < 0.05). Moreover, the linear discriminant analysis effect size (LEfSe) showed that piglets fed extruded corn with added enzymes contained less intestinal pathogenic bacteria, such as Holdemanella and Desulfovibrio, compared with piglets fed just extruded corn. In summary, the results of the present study indicated that the supplementation of α-amylase during the conditioning and extruding process of corn increased the small molecular oligosaccharide content of corn starch. Moreover, piglets receiving extruded enzyme-added corn had better growth performance, which was associated with the improved intestinal digestive and absorptive function, as well as the intestinal microbiome. Full article
(This article belongs to the Special Issue Gastrointestinal Tract Health in Pigs)
Show Figures

Figure 1

17 pages, 4404 KB  
Article
Effects of Dietary Multienzyme Complex Supplementation on Growth Performance, Digestive Capacity, Histomorphology, Blood Metabolites and Hepatic Glycometabolism in Snakehead (Channa argus)
by Xiaoqing Ding, Xinzheng Nie, Chunchun Yuan, Lai Jiang, Wenxin Ye and Lichun Qian
Animals 2022, 12(3), 380; https://doi.org/10.3390/ani12030380 - 4 Feb 2022
Cited by 8 | Viewed by 3045
Abstract
The present study evaluated the impact of dietary multienzyme complex (MEC) supplementation on growth performance, digestive enzyme activity, histomorphology, serum metabolism and hepatopancreas glycometabolism in snakeheads (Channa argus). A total of 600 fish (initial weight, 69.70 ± 0.30 g) were randomly [...] Read more.
The present study evaluated the impact of dietary multienzyme complex (MEC) supplementation on growth performance, digestive enzyme activity, histomorphology, serum metabolism and hepatopancreas glycometabolism in snakeheads (Channa argus). A total of 600 fish (initial weight, 69.70 ± 0.30 g) were randomly divided into four groups. Four diets were formulated: (1) control (basic diet); (2) E1 (400 U kg−1 amylase, 150 U kg−1 acid protease, 1900 U kg−1 neutral protease and basic diet); (3) E2 (800 U kg−1 amylase, 300 U kg−1 acid protease, 3800 U kg−1 neutral protease and basic diet); and (4) E3 (1200 U kg−1 amylase, 450 U kg−1 acid protease, 5700 U kg−1 neutral protease and basic diet). The results show that the E2 group increased the specific growth rate, weight gain rate and the final body weight, as well as decreasing the blood urea nitrogen, alanine aminotransferase and triglyceride. The mRNA levels and activities of digestive enzymes and key glucose metabolism enzymes in the hepatopancreas were enhanced in snakeheads fed the MEC. Meanwhile, moderate MEC diet (E2 groups) supplementation improved digestive tract morphology, increased the glycogen in the hepatopancreas and the lipids in the dorsal muscle. Moreover, plasma metabolomics revealed differential metabolites mainly involved in amino acid metabolism. These findings suggest that dietary supplementation with the MEC improved growth performance, digestive tract morphology, gene expression and the activity of digestive enzymes, enhanced the glycolysis-gluconeogenesis and amino acid metabolism of snakeheads, and the optimal composition of the MEC was group E2. Full article
(This article belongs to the Section Animal Nutrition)
Show Figures

Figure 1

12 pages, 254 KB  
Article
The Impact of Wheat Bran on the Morphology and Physiology of the Gastrointestinal Tract in Broiler Chickens
by Qinghui Shang, Di Wu, Hansuo Liu, Shad Mahfuz and Xiangshu Piao
Animals 2020, 10(10), 1831; https://doi.org/10.3390/ani10101831 - 8 Oct 2020
Cited by 46 | Viewed by 6227
Abstract
There is increasing evidence showing that moderate amounts of insoluble dietary fiber can improve nutrient utilization by positively influencing the physiology of the gastrointestinal tract. The present study was conducted to investigate the effects of wheat bran as a source of insoluble fiber [...] Read more.
There is increasing evidence showing that moderate amounts of insoluble dietary fiber can improve nutrient utilization by positively influencing the physiology of the gastrointestinal tract. The present study was conducted to investigate the effects of wheat bran as a source of insoluble fiber on nutrient digestibility, serum antioxidant status, gastrointestinal development, digestive enzyme activities and intestinal morphology in broiler chickens. A total of 96 one-day-old male Arbor Acre broiler chickens were assigned to two treatments with six replicate cages per treatment and eight birds per replicate for 42 d. Dietary treatments consisted of the control group (CON, control diet) and wheat bran group (WB, 30 g/kg wheat bran). Inclusion of WB increased (p < 0.05) the digestibility of dry matter, organic matter, gross energy and crude protein on Day 42. Birds fed WB had lower (p < 0.05) serum total cholesterol concentration on Day 21, and lower (p < 0.05) serum concentrations of low-density lipoprotein, total cholesterol and total triglyceride on Day 42. Inclusion of WB increased (p < 0.05) serum glutathione peroxidase activity on Day 21 and superoxide dismutase activity on Day 42, but tended (p = 0.07) to decrease serum malondialdehyde concentration on Day 21, and significantly decreased (p < 0.05) serum malondialdehyde concentration on Day 42. Birds fed WB had a greater (p < 0.05) relative weight of gizzard on both Day 21 and 42. Inclusion of WB increased (p < 0.05) activities of amylase and trypsin in pancreas and jejunal mucosa on Day 21, and increased (p < 0.05) amylase activity in pancreas and jejunal mucosa. Birds fed WB had greater (p < 0.05) villus height and villus height to crypt depth ratio in jejunum and ileum on Day 42. In conclusion, supplementation of 30 g/kg WB enhanced nutrient digestibility by improving antioxidant status, gizzard development, intestinal digestive enzyme activities and morphology of broilers. Full article
(This article belongs to the Special Issue Plant-Based Alternatives to Antimicrobial in Animal Feed)
Back to TopTop