Sign in to use this feature.

Years

Between: -

Subjects

remove_circle_outline
remove_circle_outline
remove_circle_outline
remove_circle_outline
remove_circle_outline
remove_circle_outline
remove_circle_outline
remove_circle_outline
remove_circle_outline

Journals

remove_circle_outline
remove_circle_outline
remove_circle_outline
remove_circle_outline
remove_circle_outline
remove_circle_outline
remove_circle_outline
remove_circle_outline
remove_circle_outline
remove_circle_outline
remove_circle_outline
remove_circle_outline
remove_circle_outline
remove_circle_outline
remove_circle_outline
remove_circle_outline
remove_circle_outline

Article Types

Countries / Regions

remove_circle_outline
remove_circle_outline
remove_circle_outline
remove_circle_outline

Search Results (3,566)

Search Parameters:
Keywords = dielectric effect

Order results
Result details
Results per page
Select all
Export citation of selected articles as:
19 pages, 4466 KB  
Article
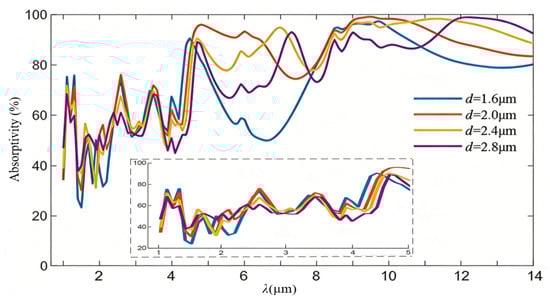
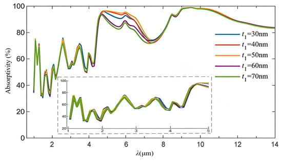
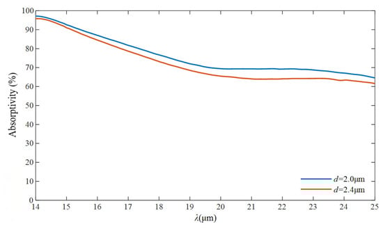
Broadband Infrared Absorption Features of Metasurfaces Constructed with a Titanium–Dielectric–Titanium Array Architecture
by Chuang Zhang, Jiaqi Hu, Han Chen, Xuan Shao, Xinzhe Yao, Fangchen You, Haiwei Wang and Xinyu Zhang
Nanomaterials 2026, 16(8), 497; https://doi.org/10.3390/nano16080497 (registering DOI) - 21 Apr 2026
Abstract
This study proposes an effective method for realizing broadband-infrared (IR)-equivalent absorption using a metasurface constructed by shaping a metal–insulator–metal structure leading to a semi-opened nanocavity. The metasurface architecture is formed according to an optimized structural configuration and mature micro–nano-fabrication flow. Both the surface [...] Read more.
This study proposes an effective method for realizing broadband-infrared (IR)-equivalent absorption using a metasurface constructed by shaping a metal–insulator–metal structure leading to a semi-opened nanocavity. The metasurface architecture is formed according to an optimized structural configuration and mature micro–nano-fabrication flow. Both the surface travelling and localized resonant wavefield accumulation excited by incident lightwaves in a broad wavelength range of 1–14 μm can be efficiently manipulated based on a dipole molecule antenna responding mechanism. An electromagnetic wavefield shielding effect within the semi-opened nanocavity and the standing-wave formation around the metasurface near-field based on an arrayed titanium–dielectric–titanium structure are examined in detail. The measured IR spectral absorption characteristics reveal that the metasurfaces based on an arrayed top titanium cap with the featured dimensions of 2.0 μm and 2.4 μm can be used to achieve an average equivalent IR absorptivity higher than 80% and 82%, respectively, across a broad wavelength range of 1.29–14 μm, which covers the traditional short-, medium- and long-wave IR bands. Full article
(This article belongs to the Section Nanophotonics Materials and Devices)
Show Figures

Figure 1

21 pages, 3575 KB  
Review
Advances in Gel-Based Electrolyte-Gated Flexible Visual Synapses for Neuromorphic Vision Systems
by Wanqi Duan, Yanyan Gong, Jinghai Li, Xichen Song, Zongying Wang, Qiaoming Zhang and Yuebin Xi
Gels 2026, 12(4), 346; https://doi.org/10.3390/gels12040346 (registering DOI) - 21 Apr 2026
Abstract
Flexible electrolyte-gated synaptic field-effect transistors (EGFETs) have emerged as a promising platform for neuromorphic visual systems, owing to their low-voltage operation, diverse synaptic plasticity, and exceptional mechanical flexibility. In particular, gel-based electrolytes, including hydrogels and ion gels, play a pivotal role as functional [...] Read more.
Flexible electrolyte-gated synaptic field-effect transistors (EGFETs) have emerged as a promising platform for neuromorphic visual systems, owing to their low-voltage operation, diverse synaptic plasticity, and exceptional mechanical flexibility. In particular, gel-based electrolytes, including hydrogels and ion gels, play a pivotal role as functional gate dielectrics, enabling efficient ion transport and strong ion–electron coupling through electric double-layer (EDL) formation. By leveraging these unique properties at the semiconductor/gel interface, EGFETs can effectively emulate essential biological synaptic behaviors, including short-term and long-term plasticity under optical stimulation. The inherent compatibility of EGFETs with a broad range of semiconductor channels, gel electrolytes, and flexible substrates enables the development of wearable and conformable neuromorphic platforms that seamlessly integrate sensing, memory, and signal processing within a single device architecture. Recent advances in gel material engineering, such as polymer network design, ionic modulation, and nanofiller incorporation, have significantly improved ion transport dynamics, interfacial stability, and device performance. Despite remaining challenges related to ion migration stability, multi-physical field coupling, and large-area device uniformity, these developments have substantially advanced the practical potential of gel-based systems. This review provides a comprehensive overview of the operating mechanisms, gel-based material systems, synaptic functionalities, mechanical reliability, and future prospects of flexible electrolyte-gated visual synapses, highlighting their considerable potential for next-generation intelligent perception and artificial vision technologies. Full article
(This article belongs to the Special Issue Advances in Gel Films (2nd Edition))
Show Figures

Graphical abstract

41 pages, 2004 KB  
Article
Dielectric and Magnetic Spherical Hollow Shells Subjected to a dc or Low-Frequency ac Field of Any Spatial Form: Complete Theoretical Survey of All Scalar and Vector Physical Entities, Including the Depolarization Effect
by Petros Moraitis, Kosmas Tsakmakidis, Norbert M. Nemes and Dimosthenis Stamopoulos
Materials 2026, 19(8), 1638; https://doi.org/10.3390/ma19081638 - 19 Apr 2026
Abstract
Dielectric and magnetic spherical hollow shells are employed in many applications as standard building units. These structures are commonly subjected to size reduction to obtain a high surface area/volume ratio, a property that is in favor of specific applications. However, the size reduction [...] Read more.
Dielectric and magnetic spherical hollow shells are employed in many applications as standard building units. These structures are commonly subjected to size reduction to obtain a high surface area/volume ratio, a property that is in favor of specific applications. However, the size reduction enhances the importance of physical mechanisms that originate from surfaces, such as the depolarization effect. Here we tackle the problem of dielectric and magnetic spherical hollow shells, consisting of a linear, homogeneous and isotropic parent material, subjected to an external potential, Uextr, of any spatial form (either dc (static) or ac of low-frequency (quasistatic limit)). By applying the method-of-linear-recursive-solution (MLRS) to the Laplace equation, we calculate analytically the internal, Uintr, and total, Utotr, potentials in respect to the external one, Uextr. From Uintr and Utotr we calculate all relevant scalar and vector physical entities of interest. The MLRS unveils straightforwardly the existence of two distinct depolarization factors, Nl=l/(2l+1) and Nl+1=(l+1)/(2l+1), both depending on the degree, l, however not on the order, m, of the mode of the external potential, Uext(l,m)r. These depolarization factors, Nl and Nl+1, originate from the outer, r=b, and inner, r=a, surfaces and are accompanied by two extrinsic susceptibilities, χe,lext=χe /(1+Nlχe ) and χe,l+1ext=χe /(1+Nl+1χe ), respectively. Importantly, Nl+Nl+1=1, irrespective of the degree, l, as it should. The properties of spherical hollow shells are investigated through analytical modeling and detailed simulations, with emphasis on application-relevant scenarios including resonance phenomena in scattering, quantitative materials characterization, and shielding/distortion. The generic MLRS strategy provides a flexible and reliable route for analyzing depolarization processes in other dielectric and magnetic building-unit geometries encountered in practice. Full article
(This article belongs to the Section Materials Physics)
15 pages, 1747 KB  
Article
Controlled Plasmonic Coupling in Silver Nanoplate Dimers for Enhanced Plasmonic Sensing
by Lucrezia Catanzaro, Marcello Condorelli, Mario Pulvirenti, Luisa D’urso and Giuseppe Compagnini
Nanomaterials 2026, 16(8), 486; https://doi.org/10.3390/nano16080486 - 19 Apr 2026
Viewed by 51
Abstract
Noble metal nanostructures provide versatile platforms for light manipulation through localized surface plasmon resonances (LSPRs). Among them, triangular silver nanoplates (AgNPTs) exhibit strong field-enhancement and spectral tunability, yet assembling them reproducibly on solids is challenging. We report a two-step functionalization strategy for constructing [...] Read more.
Noble metal nanostructures provide versatile platforms for light manipulation through localized surface plasmon resonances (LSPRs). Among them, triangular silver nanoplates (AgNPTs) exhibit strong field-enhancement and spectral tunability, yet assembling them reproducibly on solids is challenging. We report a two-step functionalization strategy for constructing ordered AgNPT dimers on silica substrates, combining 3-aminopropyltriethoxysilane (APTES) anchoring with 1,4-butanedithiol bridging. AFM reveals face-to-face dimers with well-defined sub-nanometer gaps. Large-area AFM statistics collected over multiple regions (N = 80 nanoplates per condition) confirm reproducible and selective vertical dimerization. Extinction spectroscopy reveals sequential dielectric and coupling effects: thiol adsorption red-shifts the main resonance from 700 to 780 nm because of increased local refractive index and near-field damping, whereas dimerization partially restores it to ≈750 nm, consistent with plasmon hybridization within rigid ∼0.7 nm molecular gaps, where nonclassical moderation may occur but classical hybridization fully explains the observed shifts. Concomitantly, the extinction intensity doubles, following an exponential growth toward saturation during assembly. Surface-enhanced Raman scattering (SERS) measurements using 4-mercaptobenzoic acid (4-MBA) confirm a fourfold increase in the SERS enhancement factor from monolayer to bilayer, consistent with near-field coupling and hotspot formation at interplate junctions. Quantitative plasmon sensitivity analysis yields comparable results between experiments and finite-difference-time-domain simulations, confirming that the observed spectral shifts arise from near-field coupling and dielectric modulation rather than ensemble effects. This reproducible methodology enables precise tuning of NPT orientation, spacing, and optical response, providing a robust platform for enhanced sensing, SERS, and nanophotonic device engineering. Full article
23 pages, 6792 KB  
Article
Evaluation of Dielectric Endurance of Nano-Additive Reinforced Polyester Composites via Hankel-RPCA Decomposition
by Mete Pınarbaşı, Fatih Atalar and Aysel Ersoy
Polymers 2026, 18(8), 992; https://doi.org/10.3390/polym18080992 - 19 Apr 2026
Viewed by 123
Abstract
Surface discharge-induced degradation poses a significant threat to the operational reliability of high-voltage insulation systems. This research investigates the dielectric endurance of polyester-based nanocomposites reinforced with seven distinct nano-additives: iron oxide (Fe3O4), copper oxide (CuO), titanium oxide (TiO2 [...] Read more.
Surface discharge-induced degradation poses a significant threat to the operational reliability of high-voltage insulation systems. This research investigates the dielectric endurance of polyester-based nanocomposites reinforced with seven distinct nano-additives: iron oxide (Fe3O4), copper oxide (CuO), titanium oxide (TiO2), aluminum oxide (Al2O3), silicon dioxide (SiO2), zinc borate (ZnB) and graphene oxide (GO). Specimens were fabricated at 0.5% and 0.75% weight concentrations and subjected to constant AC electrical stress of 4.5 kV at 50 Hz until failure using the first-plane tracking method. To accurately monitor the aging process, a sophisticated signal processing framework involving Hankel-matrix-enhanced Robust Principal Component Analysis (RPCA) was developed to extract high-frequency discharge features from captured leakage current signals. The degradation characteristics were quantified using various statistical metrics, including Kurtosis, RMS and Burst Discharge Index (BDI). Experimental findings demonstrate that the incorporation of nanoparticles significantly extends the time-to-failure compared to neat polyester, although the effectiveness is highly dependent on both additive type and concentration. At 0.5 wt.%, ZnB exhibited the superior performance in delaying carbonized track formation. However, at 0.75 wt.%, Al2O3 emerged as the most effective additive, achieving a maximum endurance time of 31.61 min. In contrast, certain additives like TiO2 showed a performance decline at higher loadings, likely due to nanoparticle agglomeration. The Hankel-RPCA methodology successfully isolated discharge-specific signatures from background noise, establishing a strong correlation between signal features and material failure stages. This study confirms that the synergy between advanced nanomaterial modification and robust signal processing provides an effective diagnostic tool for monitoring insulation health, offering a vital pathway for the designing of high-performance dielectrics for real-world power system applications. Full article
(This article belongs to the Special Issue Resin Additives—Spices for Polymers, 2nd Edition)
Show Figures

Figure 1

23 pages, 3356 KB  
Article
Integration of a Galvanic Cell-Based Sensor for Volumetric Soil Moisture into Penetration Resistance Measurements
by Erki Kivimeister, Risto Ilves, Kersti Vennik and Jüri Olt
AgriEngineering 2026, 8(4), 159; https://doi.org/10.3390/agriengineering8040159 - 19 Apr 2026
Viewed by 64
Abstract
Soil penetration resistance (Pr) measurement is important for assessing compaction and permeability; however, Pr is heavily dependent on soil moisture. Therefore, the interpretation of Pr data is significantly more reliable if moisture is measured simultaneously and in the same soil layer. In addition, [...] Read more.
Soil penetration resistance (Pr) measurement is important for assessing compaction and permeability; however, Pr is heavily dependent on soil moisture. Therefore, the interpretation of Pr data is significantly more reliable if moisture is measured simultaneously and in the same soil layer. In addition, reliable assessment of permeability requires consideration of both soil moisture and penetration resistance. The aim of this work was to develop a prototype of a hand-held combined device in which a volumetric moisture sensor operating on the principle of a galvanic cell is integrated into the Pr measurement cycle, allowing simultaneous measurements at different depths. The device simultaneously determined the penetration resistance acting on the cone, the measurement depth (with a laser sensor), the volumetric moisture (Cu–Zn electrode pair), and the location of the measurement site (GNSS). The moisture sensor was found to be neutral to the influence of the mineral part of the soil on moisture measurement, which in the case of other alternative measurement methods significantly affects the soil moisture measurement data. The calibration of the galvanic moisture sensor was performed under laboratory conditions (VWC 5–50%) based on a gravimetric reference. The relationship was approximately linear at lower moistures and nonlinear at higher moistures. The salinity effect test indicated that the TDR-based reference device gave a strongly overestimated moisture reading in saline soil, while the galvanic cell-based measurement remained within a realistic range compared to the gravimetric method. The results indicate that Pr measurement integrated with a galvanic sensor creates a practical prerequisite for the simultaneous collection of Pr and moisture profiles and is useful in conditions where dielectric methods are affected by salinity or minerality interference. Full article
(This article belongs to the Section Sensors Technology and Precision Agriculture)
Show Figures

Figure 1

13 pages, 1222 KB  
Article
Research on Superconductivity in Multilayer ABC-Stacked Graphene
by Jun-liang Wang, Jia-xue Liang and Xiu-qing Wang
Nanomaterials 2026, 16(8), 481; https://doi.org/10.3390/nano16080481 - 17 Apr 2026
Viewed by 109
Abstract
Under the deformation potential model, the superconducting phenomenon in ABC-stacked multilayer graphene under a vertical electric field is investigated using linear combination operators and unitary transformation methods. Through the deformation potential model applied to a linear continuous medium, the effect of the external [...] Read more.
Under the deformation potential model, the superconducting phenomenon in ABC-stacked multilayer graphene under a vertical electric field is investigated using linear combination operators and unitary transformation methods. Through the deformation potential model applied to a linear continuous medium, the effect of the external electric field is converted into the deformation potential energy of the crystal. Deformation potential phonons (LA phonons) act as propagators, generating electron–electron interactions. As the electric field increases, the ratio of the electric displacement vector to the dielectric function (D/ε) rises, leading to an increase in the electron ground-state energy, the opening of the band gap, and an enhancement of the attractive electron–electron interaction. With further increases in the external electric field, the deformation potential constant of the crystal (Dl) increases. When the phonon vibration frequency (ω) is around 8.5 THz, and the conditions are satisfied—where the wave vectors of different LA phonons are equal in magnitude and opposite in direction, and the electron spins are opposite—the attractive electron–electron interaction reaches its maximum (Hceff), resulting in the emergence of superconductivity. Our study also provides a new perspective for understanding the unique quantum properties—such as strong correlations, superconductivity, and ferromagnetism—in different stacking configurations like AB, ABC, and ABCA. Full article
(This article belongs to the Special Issue Nanoscale Phenomena of 2D Material Heterostructures)
33 pages, 9018 KB  
Article
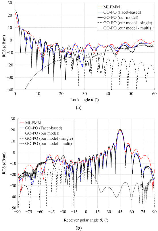
Bistatic Scattering from Canonical Urban and Maritime Targets: A Physical Optics Solution
by Gerardo Di Martino, Alessio Di Simone, Walter Fuscaldo, Antonio Iodice, Daniele Riccio and Giuseppe Ruello
Remote Sens. 2026, 18(8), 1219; https://doi.org/10.3390/rs18081219 - 17 Apr 2026
Viewed by 112
Abstract
The increasing availability of microwave bistatic remote sensing data highlights the need for reliable and computationally efficient scattering models to support data interpretation, system design, and mission planning. This is particularly relevant in urban and maritime environments, where the electromagnetic (EM) interaction between [...] Read more.
The increasing availability of microwave bistatic remote sensing data highlights the need for reliable and computationally efficient scattering models to support data interpretation, system design, and mission planning. This is particularly relevant in urban and maritime environments, where the electromagnetic (EM) interaction between buildings and ships with the surrounding environment significantly affects the observed bistatic signatures. This paper presents a fully analytical model for EM bistatic scattering from a canonical target, represented as a parallelepiped with smooth dielectric faces located over a lossy random rough surface. The formulation is developed within the framework of the Kirchhoff Approximation and accounts for both single- and multiple-bounce scattering mechanisms arising from the mutual interaction between the target and the underlying surface. Reflections from the target walls are modeled using the Geometrical Optics solution, while scattering from the rough surface is described through the zeroth-order Physical Optics approximation. The resulting closed-form expressions provide both coherent and incoherent components of the scattered field as explicit functions of system and scene parameters. The proposed closed-form model enables fast and reliable evaluation of bistatic scattering from parallelepiped-like structures, such as buildings and large ships interacting with surrounding rough surfaces. This capability is particularly beneficial for the design and optimization of bistatic remote sensing missions in urban and maritime contexts as well as the development and assessment of inversion methods and large-scale analyses. Validation against numerical simulations and experimental results available in the literature demonstrates the effectiveness of the proposed approach across different operating conditions. Full article
Show Figures

Figure 1

21 pages, 7173 KB  
Article
Optimizing PVA/Chitosan Films with Acid-Functionalized MWCNTs: A Multifaceted Study on Performance Enhancement
by Mukaddes Karataş, Buket Erzen, Şermin Deniz, Ercan Aydoğmuş and Ramazan Orhan
Polymers 2026, 18(8), 980; https://doi.org/10.3390/polym18080980 - 17 Apr 2026
Viewed by 196
Abstract
Poly(vinyl alcohol)/chitosan (PVA/CS) biodegradable films reinforced with acid-functionalized multi-walled carbon nanotubes (f-MWCNTs) were fabricated via solution casting to investigate the effects of nanotube incorporation on structural, mechanical, thermal, dielectric, and physicochemical properties. Unlike conventional CNT-reinforced systems, this study focuses on the role of [...] Read more.
Poly(vinyl alcohol)/chitosan (PVA/CS) biodegradable films reinforced with acid-functionalized multi-walled carbon nanotubes (f-MWCNTs) were fabricated via solution casting to investigate the effects of nanotube incorporation on structural, mechanical, thermal, dielectric, and physicochemical properties. Unlike conventional CNT-reinforced systems, this study focuses on the role of acid functionalization in improving nanotube dispersion and interfacial interactions, enabling simultaneous enhancement of multiple performance characteristics. Fourier transform infrared spectroscopy (FTIR) analysis confirmed strong intermolecular interactions between PVA/CS functional groups and carboxyl groups on f-MWCNTs, while scanning electron microscopy (SEM) revealed homogeneous nanotube dispersion at low loadings and partial aggregation at higher contents. X-ray diffraction (XRD) indicated that crystallinity was modified in a non-monotonic manner with increasing nanotube concentration due to competing nucleation and chain-restriction effects, while dielectric measurements showed an increase in dielectric constant from 3.78 to 4.27 as a result of enhanced interfacial polarization. The thermal conductivity improved from 0.195 to 0.247 W·m−1·K−1, and tensile strength increased from 19.8 to 24.5 MPa at 0.2 wt.% f-MWCNT, with elongation at break decreasing from 37.9% to 25.1%, reflecting increased stiffness. The degree of swelling and water solubility decreased with higher nanotube content, indicating reduced hydrophilicity and enhanced structural compactness. The results provide new insights into how surface-functionalized nanofillers can be used to tailor the multifunctional performance of biodegradable polymer nanocomposite films, highlighting their potential in advanced applications such as sustainable packaging, flexible electronics, sensors, and membrane technologies. Full article
Show Figures

Figure 1

45 pages, 5941 KB  
Review
Advances and Challenges of Capacitive Micromachined Ultrasonic Transducers in Medical Imaging
by Yuanyu Yu, Xin Liu, Jiujiang Wang and Shuang Zhang
Micromachines 2026, 17(4), 486; https://doi.org/10.3390/mi17040486 - 16 Apr 2026
Viewed by 123
Abstract
Capacitive micromachined ultrasonic transducers (CMUTs) have been developed over the past 30 years and achieved practical applications in both medical imaging and industrial non-destructive testing. This article presents the fundamental principles of CMUTs and surveys fabrication technologies, offering a comprehensive review of major [...] Read more.
Capacitive micromachined ultrasonic transducers (CMUTs) have been developed over the past 30 years and achieved practical applications in both medical imaging and industrial non-destructive testing. This article presents the fundamental principles of CMUTs and surveys fabrication technologies, offering a comprehensive review of major advances and challenges in medical ultrasound and photoacoustic imaging applications. The article further reviews and analyzes three primary challenges currently confronting CMUTs in medical imaging applications: lower output acoustic pressure, dielectric charging effects, and the need for high bias voltage. It also presents and discusses a potential combined approach to comprehensively address these challenges, with the aim of enhancing CMUT performance and broadening clinical adoption. Full article
(This article belongs to the Section A:Physics)
25 pages, 1937 KB  
Article
Improved YOLO11 with Mamba-2 (SSD) and Triplet Attention for High-Voltage Bushing Fault Detection from Infrared Images
by Zili Wang, Chuyan Zhang, Mingguang Diao, Yi Xiao and Huifang Liu
Energies 2026, 19(8), 1923; https://doi.org/10.3390/en19081923 - 15 Apr 2026
Viewed by 216
Abstract
High-voltage bushings, the fault-prone key electrical components of transformers, are critical for real-time and high-accuracy fault monitoring and management. Intelligent fault detection via infrared images is plagued by low classification accuracy due to massive interference from similar tubular objects and small target characteristics. [...] Read more.
High-voltage bushings, the fault-prone key electrical components of transformers, are critical for real-time and high-accuracy fault monitoring and management. Intelligent fault detection via infrared images is plagued by low classification accuracy due to massive interference from similar tubular objects and small target characteristics. This study proposes a lightweight deep learning model, MTrip–YOLO, an improved YOLO11n integrated with Mamba-2 (Structured State Space Duality, SSD) and Triplet Attention, to achieve efficient fault monitoring in complex backgrounds. The training and validation dataset comprises open-source images, on-site data from a substation, and field-collected infrared images, categorized into four types: normal bushings, poor contact, oil shortage, and high dielectric loss faults. Mamba-2 captures the long-range global context of infrared features with its linear-complexity long-range modeling capability to enhance feature extraction, while Triplet Attention suppresses complex background radiation noise through cross-dimensional interaction without dimensionality reduction, enabling the model to focus on small targets and accurately classify bushings from morphologically similar strip-shaped objects. Experimental results show that MTrip–YOLO achieves a top mAP50 of 91.6% and a minimal parameter count of 1.9 M, outperforming Faster R-CNN, RT-DETR, and YOLO26n across all evaluated metrics and being potentially suitable for edge deployment on UAV-mounted or handheld infrared platforms, pending hardware validation on embedded computing devices. Ablation experiments verify the independent contributions of Mamba-2 (0.8027% mAP50 improvement) and Triplet Attention (0.89327% mAP50 improvement), with a synergistic effect from their combination. MTrip–YOLO provides a potential edge-deployable solution for high-voltage bushing fault monitoring, offering important application value for the intelligent operation and maintenance of substations. Full article
16 pages, 12261 KB  
Article
3D-Printed Composites Filled with Carbon Nanotubes and Barium Titanate for Electromagnetic Applications
by Juta Varnytė, Edita Palaimienė, Jan Macutkevič, Pauline Blyweert, Aušra Selskiene, Jūras Banys, Vanessa Fierro and Alain Celzard
Polymers 2026, 18(8), 944; https://doi.org/10.3390/polym18080944 - 12 Apr 2026
Viewed by 378
Abstract
Electromagnetic (EM) radiation emitted by various sources can cause malfunctions or damage to other electronic devices. Composite materials are widely used for EM field shielding. This work presents and analyzes the dielectric properties of 3D-printed composites containing carbon nanotubes (CNTs) and barium titanate [...] Read more.
Electromagnetic (EM) radiation emitted by various sources can cause malfunctions or damage to other electronic devices. Composite materials are widely used for EM field shielding. This work presents and analyzes the dielectric properties of 3D-printed composites containing carbon nanotubes (CNTs) and barium titanate (BaTiO3) over a broad frequency range. The analyzed 3D structures included a fully filled plate (PL), a basic honeycomb (BH), a honeycomb with re-entrant auxetic features (HREA), and a hierarchical honeycomb (HH). It was found that the composite material containing 1.8 wt.% CNTs and 20 wt.% BaTiO3 exhibits the highest absorption coefficient in the frequency range from 25 GHz to 53 GHz for all investigated 3D structures. A high concentration of BaTiO3 increases dielectric loss and interfacial polarization, while providing a CNT network. The synergy of these mechanisms results in the highest absorption of EM waves in the 25–53 GHz range. Moreover, all samples containing BaTiO3 inclusions exhibited a distinctive electrical conductivity behavior, attributed to the high complex dielectric permittivity of barium titanate, which enhances interfacial polarization. The highest conductivity and dielectric permittivity values were measured in samples containing 1.8 wt.% CNTs and 10 wt.% BaTiO3, while a further increase in BaTiO3 concentration caused a decline in dielectric performance. This effect is due to the dispersion and agglomeration of filler particles in composites with higher BaTiO3 concentrations. Full article
(This article belongs to the Section Polymer Composites and Nanocomposites)
Show Figures

Figure 1

16 pages, 6395 KB  
Review
Casimir Effect with Dielectric Matter in Salted Water and Implications at the Cell Scale
by Larissa Inácio, Felipe S. S. Rosa, Astrid Lambrecht, Paulo A. Maia Neto and Serge Reynaud
Physics 2026, 8(2), 40; https://doi.org/10.3390/physics8020040 - 10 Apr 2026
Viewed by 364
Abstract
The Casimir interaction in salted water contains a universal contribution of electromagnetic fluctuations that makes it of a longer range than previously thought. The universal contribution dominates non-universal ones at the distances relevant for actin fibers inside the cell. We discuss universal and [...] Read more.
The Casimir interaction in salted water contains a universal contribution of electromagnetic fluctuations that makes it of a longer range than previously thought. The universal contribution dominates non-universal ones at the distances relevant for actin fibers inside the cell. We discuss universal and non-universal contributions with a model mimicking biological matter. We also show that the universal Casimir effect should have crucial implications at the cell scale. Full article
Show Figures

Figure 1

17 pages, 1618 KB  
Article
Mechanism and Modeling of Moisture-Dependent Dielectric Properties of Cement-Based Composites for Enhanced Ground Penetrating Radar Applications
by Tao Wang, Bei Zhang, Yanlong Gao, Xiao Wang and Di Wang
Materials 2026, 19(8), 1528; https://doi.org/10.3390/ma19081528 - 10 Apr 2026
Viewed by 442
Abstract
The dielectric properties of cement-based composites (CBC) are highly sensitive to environmental humidity, which seriously restricts the quantitative interpretation accuracy of ground-penetrating radar (GPR) in the non-destructive testing of cement concrete pavement. In view of the lack of targeted prediction models due to [...] Read more.
The dielectric properties of cement-based composites (CBC) are highly sensitive to environmental humidity, which seriously restricts the quantitative interpretation accuracy of ground-penetrating radar (GPR) in the non-destructive testing of cement concrete pavement. In view of the lack of targeted prediction models due to the unclear mechanism of humidity influence in existing research, the core innovations of this study are: (1) the synergistic mechanism of water vapor dipole polarization and adsorbed water multi-layer polarization is clarified, revealing the intrinsic reason for the accelerated growth of permittivity in the high humidity range; (2) the constructed four-component dielectric model of “cement mortar–aggregate–water vapor–adsorbed water” achieves high-precision prediction within the range of 50~100% RH (R2 > 0.94, relative error < 5%), and shows good predictive ability within the test scope of this study; (3) a GPR humidity correction protocol based on the model is proposed, which can effectively improve the accuracy of nondestructive testing of cement concrete structures. In this study, CBC samples with water–cement ratios of 0.4~0.6 were prepared using P.O 32.5/P.O 42.5 cement and limestone aggregate. Under the conditions of 20 ± 0.5 °C, relative humidity (RH) of 50~100%, and 2 GHz (common GPR frequency), the permittivity was measured using an Agilent P5001A network analyzer to verify the model. The results show that the permittivity increases monotonically with humidity, and the growth rate in the high humidity range (70~100%) is 2.2 times that of the low humidity range (50~70%); The higher the water–cement ratio, the shorter the age, and the lower the cement strength grade, the stronger the humidity sensitivity of CBC dielectric properties. This model provides a reliable humidity correction tool for GPR detection, and significantly improves the accuracy of nondestructive evaluation of cement concrete structures. Full article
(This article belongs to the Section Construction and Building Materials)
Show Figures

Figure 1

26 pages, 1114 KB  
Article
Synthesis, Characterization and Dielectric Properties of Cordierite-Based Ceramic Materials Mg2Al4Si5O18 for Hi-Tech Applications
by Nassima Riouchi, Oussama Riouchi, Rkia Zari, El Mostafa Erradi, Abderrahmane Elmelouky, Mohammed Mansori, Boštjan Genorio, Petranka Petrova, Soufian El Barkany, Mohammed Salah, Noureddine El Messaoudi, Mohamed Abou-Salama and Mohamed Loutou
J. Compos. Sci. 2026, 10(4), 205; https://doi.org/10.3390/jcs10040205 - 10 Apr 2026
Viewed by 235
Abstract
Cordierite-based ceramics (Mg2Al4Si5O18) were successfully synthesized and comprehensively characterized to evaluate their structural and dielectric behavior for high-temperature electronic applications. Morphological, microstructural and vibrational analyses confirm the high phase purity and structural integrity of the [...] Read more.
Cordierite-based ceramics (Mg2Al4Si5O18) were successfully synthesized and comprehensively characterized to evaluate their structural and dielectric behavior for high-temperature electronic applications. Morphological, microstructural and vibrational analyses confirm the high phase purity and structural integrity of the synthesized material. Dielectric measurements reveal high real permittivity (ε′) values at low frequencies and elevated temperatures, mainly attributed to interfacial polarization arising from Schottky-type barriers at grain–grain and surface–volume interfaces, underscoring the crucial influence of heterogeneous interfaces on the dielectric response. The electrical conductivity follows a thermally activated hopping mechanism involving both intra-grain and grain-boundary charge transport. Analysis of the electric modulus formalism provides further insight into relaxation dynamics: the real (M′) and imaginary (M″) components highlight pronounced space-charge effects, with M″ exhibiting a distinct relaxation peak (M″) associated with grain contributions. The systematic shift of this peak toward higher frequencies with increasing temperature indicates enhanced charge-carrier mobility and a strongly thermally activated relaxation process. The frequency-dependent conductivity displays two regimes: a low-frequency plateau corresponding to dc conductivity and a high-frequency dispersive region following a power-law behavior characteristic of hopping conduction, with power-law exponents (α1 and α2) markedly lower than unity, confirming the non-Debye character of the relaxation processes. The hopping frequency (ω) increases with temperature, further supporting the thermally activated nature of charge transport. Activation energies extracted from Arrhenius plots of dc conductivity are 0.88 eV for grain boundaries and 0.83 eV for grains, demonstrating that both microstructural regions significantly contribute to the overall conduction process. Full article
(This article belongs to the Section Composites Manufacturing and Processing)
Back to TopTop