Sign in to use this feature.

Years

Between: -

Subjects

remove_circle_outline
remove_circle_outline
remove_circle_outline
remove_circle_outline
remove_circle_outline
remove_circle_outline
remove_circle_outline
remove_circle_outline
remove_circle_outline

Journals

Article Types

Countries / Regions

Search Results (62)

Search Parameters:
Keywords = developmental robotics

Order results
Result details
Results per page
Select all
Export citation of selected articles as:
19 pages, 5540 KB  
Article
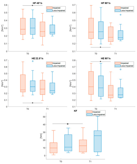
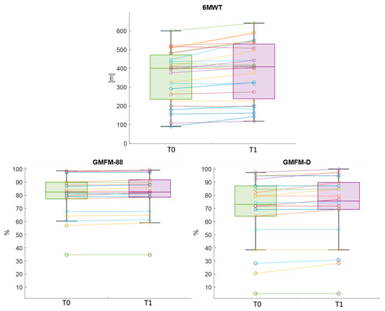
Robot-Assisted Gait Training Combined with Conventional Physiotherapy in Postoperative Patients with Diplegic Cerebral Palsy: A Pilot Single Cohort Observational Study
by Anna Falivene, Emilia Biffi, Luca Emanuele Molteni, Cristina Maghini, Rossella Cima, Roberta Morganti and Eleonora Diella
Sensors 2026, 26(5), 1438; https://doi.org/10.3390/s26051438 - 25 Feb 2026
Viewed by 228
Abstract
Background: Cerebral palsy (CP) is the most common cause of disability in developmental age, affecting motor and postural skills. With growth, lower-limb orthopedic surgery often becomes necessary. Post-surgical walking rehabilitation programs generally involve conventional therapy with only limited evidence on the use of [...] Read more.
Background: Cerebral palsy (CP) is the most common cause of disability in developmental age, affecting motor and postural skills. With growth, lower-limb orthopedic surgery often becomes necessary. Post-surgical walking rehabilitation programs generally involve conventional therapy with only limited evidence on the use of robot-assisted gait training (RAGT). The aim of the present pilot study is to assess the feasibility and the preliminary functional outcomes of an intensive 3-week rehabilitation of 15 sessions with Lokomat combined with 15 sessions of conventional physiotherapy. Methods: In total, 27 patients with diplegic cerebral palsy who underwent orthopedic surgery were recruited. Outcomes collected: the 6 min walking test (primary outcome), the Gross Motor Function Measure-88, the Gillette Functional Assessment Questionnaire, 3D gait analysis, and spasticity and force metrics of the lower limbs. Paired statistical tests were used to assess pre–post changes. Results: A pre–post statistically significant improvement was observed in gait endurance in the 6MWT (Δ = 28.56 ± 34.28 m; p < 0.001) and in gross motor functional skills. Gait parameters showed some functional and structural improvements, and joint stiffness was reduced in some measures. Conclusions: This combined rehabilitative approach seems to be promising in postoperative patients with CP. Future studies, involving a control group and larger sample size, are needed to generalize our results. Full article
Show Figures

Figure 1

35 pages, 1070 KB  
Article
Adaptive Deep Learning Framework for Emotion Recognition in Social Robots: Toward Inclusive Human–Robot Interaction for Users with Special Needs
by Eryka Probierz and Adam Gałuszka
Electronics 2026, 15(5), 924; https://doi.org/10.3390/electronics15050924 - 25 Feb 2026
Viewed by 289
Abstract
Emotion recognition is a key capability of social robots operating in real-world human-centered environments, especially when interacting with users with special needs. Such users may express emotions in atypical, subtle, or strongly context-dependent ways. These characteristics pose significant challenges for conventional emotion recognition [...] Read more.
Emotion recognition is a key capability of social robots operating in real-world human-centered environments, especially when interacting with users with special needs. Such users may express emotions in atypical, subtle, or strongly context-dependent ways. These characteristics pose significant challenges for conventional emotion recognition systems. This paper proposes an adaptive deep learning framework for emotion recognition in social robots. The framework is designed to support inclusive and accessible human–robot interaction. It combines region-based convolutional neural networks with adaptive learning mechanisms. These mechanisms explicitly model individual variability, contextual information, and interaction dynamics. Multiple deep architectures are evaluated to assess robustness across diverse emotional expressions, including those influenced by cognitive, sensory, or developmental differences. Rather than relying on fixed emotion models, the proposed approach emphasizes adaptability. The system dynamically adjusts its perception strategies to user-specific expressive patterns. Experimental validation is conducted using context-aware emotion datasets. Performance is evaluated in terms of detection accuracy, robustness to variability, and generalization across emotion categories. The results show that adaptive mechanisms improve recognition performance in scenarios characterized by non-standard or low-intensity expressions, compared to static baseline models. This study highlights the importance of flexible, context-sensitive perception for inclusive social robotics. It also discusses design implications for deploying emotion-aware robots in assistive, educational, and therapeutic settings. Overall, the proposed framework represents a step toward socially intelligent robots capable of engaging more effectively with users with special needs. Full article
(This article belongs to the Special Issue Research on Deep Learning and Human-Robot Collaboration)
Show Figures

Figure 1

21 pages, 3774 KB  
Article
The Re-Enchanting Machine: Animistic Cognition, Youth Development, and AI-Influenced Psychopathology
by Nell Watson, Ali Hessami and Salma Abbasi
Youth 2026, 6(1), 27; https://doi.org/10.3390/youth6010027 - 24 Feb 2026
Viewed by 454
Abstract
Classical developmental psychology treats childhood animism—attributing life or mind to inanimate things—as a transient phase that recedes with schooling and the onset of concrete operations. The contemporary spread of lifelike AI has altered that background assumption, with particular implications for children and adolescents [...] Read more.
Classical developmental psychology treats childhood animism—attributing life or mind to inanimate things—as a transient phase that recedes with schooling and the onset of concrete operations. The contemporary spread of lifelike AI has altered that background assumption, with particular implications for children and adolescents whose agency-detection systems and reality-testing capacities are still calibrating. Across interfaces, voices, avatars, and social robots, modern systems routinely exhibit contingent, context-sensitive behaviour that recruits developing social-cognitive systems during sensitive periods of identity formation and relational learning. Drawing on developmental psychology, cognitive science, human–AI interaction research, clinical psychiatry, and technology ethics, we: (1) present a mechanistic “hourglass model” showing how interactive AI engages animistic cognition with heightened effects during childhood and adolescence, including a developmental timing analysis of how differential maturation of agency detection, Theory of Mind (ToM), and prefrontal reality-testing creates windows of particular vulnerability; (2) disaggregate five distinct phenomena along an anthropomorphism-to-delusion trajectory with operational boundary criteria; (3) specify a graded psychopathology continuum with a fourth, orthogonal zone addressing adversarial design—itself disaggregated into three tiers with distinct regulatory implications; (4) identify conditions under which anthropomorphic engagement may be beneficial, including for youth; and (5) advance cognitive safety–inspired design with developmentally appropriate protections for minors. We introduce the IDAQ-CF-Tech, a twelve-item screener for AI-specific mind attribution offered as a provisional instrument for validation across age groups, and close with a phased research agenda emphasising longitudinal developmental outcomes, impacts on adolescent identity formation, and cross-cultural variation in techno-animism. Full article
Show Figures

Figure 1

17 pages, 1690 KB  
Article
Plugged or Unplugged? A Comparative Study of Computational Thinking Development in Early Childhood
by Maria-Emilia Garcia-Marques, Adrián Pérez-Suay and Ismael García-Bayona
Educ. Sci. 2026, 16(2), 333; https://doi.org/10.3390/educsci16020333 - 18 Feb 2026
Viewed by 335
Abstract
Computational thinking (CT) has increasingly been recognized as a fundamental skill that should be fostered from early childhood. This study investigated the comparative effectiveness of plugged (robot-based) and unplugged (without technology) instructional activities on the development of CT skills in young children. Two [...] Read more.
Computational thinking (CT) has increasingly been recognized as a fundamental skill that should be fostered from early childhood. This study investigated the comparative effectiveness of plugged (robot-based) and unplugged (without technology) instructional activities on the development of CT skills in young children. Two natural classroom groups participated, each receiving the same instructional content and assessment, differing only in intervention modality: one utilized the Bee-bot floor robot, while the other engaged in unplugged activities simulating the robot’s movements. Pre- and post-intervention assessments measured CT and spatial reasoning skills to evaluate learning gains. Results demonstrated significant improvements in CT across both groups, with no statistically significant differences in overall gains, suggesting that unplugged activities, when thoughtfully designed, can be as effective as technology-supported ones. These findings have important implications for designing inclusive and resource-sensitive early childhood CT curricula, emphasizing the value of developmentally appropriate and engaging learning experiences beyond technological availability. Full article
(This article belongs to the Special Issue Computational Thinking and Programming in Early Childhood Education)
Show Figures

Figure 1

22 pages, 2725 KB  
Article
From Blocks to Bots: The STEM Potential of Technology-Enhanced Toys in Early Childhood Education
by Dimitra Bourha, Maria Hatzigianni, Trifaini Sidiropoulou and Michael Vitoulis
Behav. Sci. 2026, 16(1), 161; https://doi.org/10.3390/bs16010161 - 22 Jan 2026
Viewed by 495
Abstract
Incorporating STEM (Science, Technology, Engineering, and Mathematics) into early childhood education has been associated with children’s holistic development. STEM education not only enhances critical thinking, creativity, problem-solving, and other 21st-century skills but also contributes significantly to cognitive growth, emotional regulation, and social abilities. [...] Read more.
Incorporating STEM (Science, Technology, Engineering, and Mathematics) into early childhood education has been associated with children’s holistic development. STEM education not only enhances critical thinking, creativity, problem-solving, and other 21st-century skills but also contributes significantly to cognitive growth, emotional regulation, and social abilities. Within the early childhood context, the use of play and toys emerges as a natural and powerful medium for introducing STEM concepts in developmentally appropriate and engaging ways. Play and toys have a prominent role, and previous studies have provided strong evidence on their educational benefits. Toys enhanced with technological characteristics (Technology-Enhanced Toys—TETs), such as coding and interactive toys, are increasingly being viewed as cultural tools that mediate learning and nurture cognitive and collaborative skills among young learners. However, the impact TETs have on young children’s STEM learning remains largely unexplored. This qualitative observational study, grounded in a socio-cultural perspective, explored how 37 children aged 3 to 4 years in four early childhood settings in Greece exhibited STEM-related behaviours during free play with technology-enhanced toys. Data were collected through systematic video recordings and written observations over a three-month period that involved interacting with various TETs, such as Bee-Bot, Coko Robot, a remote-controlled dog, and others. Results indicate that playing with TETs enhanced problem-solving, computational thinking, and collaboration, thus affirming the positive influence of digital technology and the potential of TETs to enrich early STEM education. Implications for equity, the importance of teachers’ professional development in effectively integrating TETs into early childhood curricula and the need for further research will also be discussed. Full article
Show Figures

Figure A1

27 pages, 8664 KB  
Article
Research on Robot Collision Response Based on Human–Robot Collaboration
by Sicheng Zhong, Chaoyang Xu, Guoqiang Chen, Yanghuan Xu and Zhijun Wang
Sensors 2026, 26(2), 495; https://doi.org/10.3390/s26020495 - 12 Jan 2026
Viewed by 490
Abstract
With the rapid advancement of science and technology, robotics is evolving towards more profound and extensive applications. Nevertheless, the inherent limitations of traditional industrial “caged” robots have significantly impeded the full utilization of their capabilities. Consequently, breaking free from these constraints and realizing [...] Read more.
With the rapid advancement of science and technology, robotics is evolving towards more profound and extensive applications. Nevertheless, the inherent limitations of traditional industrial “caged” robots have significantly impeded the full utilization of their capabilities. Consequently, breaking free from these constraints and realizing human–robot collaboration has emerged as a new developmental trend in the robotics field. The collision-response mechanism, as a crucial safeguard for human–robot collaboration safety, has become a pivotal issue in enhancing the performance of human–robot interaction. To address this, an adaptive admittance control collision-response algorithm is proposed in this paper, grounded in the principle of admittance control. A collision simulation model of the AUBO-i5 collaborative robot is constructed. The effectiveness of the proposed algorithm is verified through simulation experiments focusing on both the end-effector collision and body collision of the robot, and by comparing it with existing admittance control algorithms. Furthermore, a collision-response experimental platform is established based on the AUBO-i5 collaborative robot. Experimental studies on end-effector and body collisions are conducted, providing practical validation of the reliability and utility of the proposed adaptive admittance control collision-response algorithm. Full article
Show Figures

Figure 1

18 pages, 1678 KB  
Article
Body Knowledge and Emotion Recognition in Preschool Children: A Comparative Study of Human Versus Robot Tutors
by Alice Araguas, Arnaud Blanchard, Sébastien Derégnaucourt, Adrien Chopin and Bahia Guellai
Behav. Sci. 2026, 16(1), 29; https://doi.org/10.3390/bs16010029 - 23 Dec 2025
Viewed by 561
Abstract
Social robots are increasingly integrated into early childhood education, yet limited research exists examining preschoolers’ learning from robotic versus human demonstrators across embodied tasks. This study investigated whether children (aged between 3 and 6) demonstrate comparable performance when learning body-centered tasks from a [...] Read more.
Social robots are increasingly integrated into early childhood education, yet limited research exists examining preschoolers’ learning from robotic versus human demonstrators across embodied tasks. This study investigated whether children (aged between 3 and 6) demonstrate comparable performance when learning body-centered tasks from a humanoid robot compared to a human demonstrator. Sixty-two typically developing children were randomly assigned to a robot or a human condition. Participants completed three tasks: body part comprehension and production, body movement imitation, and emotion recognition from body postures. Performance was measured using standardized protocols. No significant main effects of demonstrator type emerged across most tasks. However, age significantly predicted performance across all measures, with systematic improvements between 3 and 6. A significant age × demonstrator interaction was observed for sequential motor imitation, with stronger age effects for the human demonstrator condition. Preschool children demonstrate comparable performance when interacting with a humanoid robot versus a human in body-centered tasks, though motor imitation shows differential developmental trajectories. These findings suggest appropriately designed social robots may serve as supplementary pedagogical tools for embodied learning in early childhood education under specific conditions. The primacy of developmental effects highlights the importance of age-appropriate design in both traditional and technology-enhanced educational contexts. Full article
Show Figures

Figure 1

11 pages, 401 KB  
Article
Neurohabilitation Through LEGO®-Based Therapy for Cognitive Functions in Down Syndrome
by Noemí Cárdenas-Rodríguez, Norma Angélica Labra-Ruíz and Eduardo Espinosa-Garamendi
Disabilities 2025, 5(4), 118; https://doi.org/10.3390/disabilities5040118 - 16 Dec 2025
Viewed by 808
Abstract
The most prevalent chromosomal condition, Down syndrome (DS), is often linked to deficiencies in working memory, executive function, and visuospatial skills. Innovative approaches to promote cortical plasticity and improve cognitive development have been suggested, including play- and technology-based therapies like LEGO®-based [...] Read more.
The most prevalent chromosomal condition, Down syndrome (DS), is often linked to deficiencies in working memory, executive function, and visuospatial skills. Innovative approaches to promote cortical plasticity and improve cognitive development have been suggested, including play- and technology-based therapies like LEGO®-based neurohabilitation. In this pre-experimental study, a 16-year-old adolescent with DS undertook 30 sessions of increasingly sophisticated LEGO®-based therapy, covering everything from robotic assembly and programming to block creation. Before and after the session, a neuropsychological evaluation was carried out using the Rey complex figure, motor control, and five-digit tests. The reliable change index (RCI) was used to analyze changes in performance. Constructive praxis, processing speed, and overall efficiency all showed notable clinical improvements, especially in the copy score, total complexity, and total processing. These findings imply that LEGO®-based neurohabilitation can provide significant gains in executive efficiency, visual–spatial abilities, and cognitive processing while offering a stimulating, developmentally appropriate therapy setting. Full article
16 pages, 231 KB  
Concept Paper
The Use of Artificial Intelligence (AI) in Early Childhood Education
by Silvia Cimino, Angelo Giovanni Icro Maremmani and Luca Cerniglia
Societies 2025, 15(12), 341; https://doi.org/10.3390/soc15120341 - 4 Dec 2025
Cited by 4 | Viewed by 4950
Abstract
The integration of Artificial Intelligence (AI) into early childhood education presents new opportunities and challenges in fostering cognitive, social, and emotional development. This theoretical discussion synthesizes recent research on AI’s role in personalized learning, educational robotics, gamified learning, and social-emotional development. The study [...] Read more.
The integration of Artificial Intelligence (AI) into early childhood education presents new opportunities and challenges in fostering cognitive, social, and emotional development. This theoretical discussion synthesizes recent research on AI’s role in personalized learning, educational robotics, gamified learning, and social-emotional development. The study explores theoretical frameworks such as Vygotsky’s Sociocultural Theory, Distributed Cognition, and the Five Big Ideas Framework to understand AI’s impact on young learners. AI-powered personalized learning platforms enhance engagement and adaptability, while robotics and gamification foster problem-solving and collaboration. Additionally, AI tools support children with disabilities, promoting inclusivity and accessibility. However, ethical concerns related to privacy, bias, and teacher preparedness pose challenges to effective AI integration. Furthermore, the long-term effects of AI on children’s social skills and emotional intelligence require further investigation. This theoretical discussion emphasizes the need for interdisciplinary collaboration to develop AI-driven educational strategies that prioritize developmental appropriateness, equity, and ethical considerations. The findings highlight AI’s potential as a transformative educational tool, provided it is implemented thoughtfully and responsibly. The paper aims to address the following research question: How can artificial intelligence (AI) be meaningfully and ethically integrated into early childhood education to enhance learning, while preserving developmental and relational values? Full article
(This article belongs to the Special Issue Digital Learning, Ethics and Pedagogies)
34 pages, 921 KB  
Systematic Review
Artificial Intelligence in Gastrointestinal Surgery: A Systematic Review of Its Role in Laparoscopic and Robotic Surgery
by Ludovica Gorini, Roberto de la Plaza Llamas, Daniel Alejandro Díaz Candelas, Rodrigo Arellano González, Wenzhong Sun, Jaime García Friginal, María Fra López and Ignacio Antonio Gemio del Rey
J. Pers. Med. 2025, 15(11), 562; https://doi.org/10.3390/jpm15110562 - 19 Nov 2025
Cited by 1 | Viewed by 2135
Abstract
Background: Artificial intelligence (AI) is transforming surgical practice by enhancing training, intraoperative guidance, decision-making, and postoperative assessment. However, its specific role in laparoscopic and robotic general surgery remains to be clearly defined. The objective is to systematically review the current applications of [...] Read more.
Background: Artificial intelligence (AI) is transforming surgical practice by enhancing training, intraoperative guidance, decision-making, and postoperative assessment. However, its specific role in laparoscopic and robotic general surgery remains to be clearly defined. The objective is to systematically review the current applications of AI in laparoscopic and robotic general surgery and categorize them by function and surgical context. Methods: A systematic search of PubMed and Web of Science was conducted up to 22 June 2025, using predefined search terms. Eligible studies focused on AI applications in laparoscopic or robotic general surgery, excluding urological, gynecological, and obstetric fields. Original articles in English or Spanish were included. Data extraction was performed independently by two reviewers and synthesized descriptively by thematic categories. Results: A total of 152 original studies were included. Most were conducted in laparoscopic settings (n = 125), while 19 focused on robotic surgery and 8 involved both. The majority were technical evaluations or retrospective observational studies. Seven thematic categories were identified: surgical decision support and outcome prediction; skill assessment and training; workflow recognition and intraoperative guidance; object or structure detection; augmented reality and navigation; image enhancement; technical assistance; and surgeon perception and preparedness. Most studies applied deep learning, for classification, prediction, recognition, and real-time guidance in laparoscopic cholecystectomies, colorectal and gastric surgeries. Conclusions: AI has been widely adopted in various domains of laparoscopic and robotic general surgery. While most studies remain in early developmental stages, the evidence suggests increasing maturity and integration into clinical workflows. Standardization of evaluation and reporting frameworks will be essential to translate these innovations into widespread practice. Full article
(This article belongs to the Special Issue Update on Robotic Gastrointestinal Surgery, 2nd Edition)
Show Figures

Graphical abstract

31 pages, 3310 KB  
Article
Companion Robots Supporting the Emotional Needs of the Elderly: Research Trends and Future Directions
by Hui Zeng, Yuxin Sheng and Jinwei Zhu
Information 2025, 16(11), 948; https://doi.org/10.3390/info16110948 - 3 Nov 2025
Cited by 2 | Viewed by 4276
Abstract
The accelerating global population aging has brought increasing attention to the loneliness and emotional needs experienced by older adults due to shrinking social networks and the loss of relatives and friends, which significantly impair their quality of life and psychological well-being. In this [...] Read more.
The accelerating global population aging has brought increasing attention to the loneliness and emotional needs experienced by older adults due to shrinking social networks and the loss of relatives and friends, which significantly impair their quality of life and psychological well-being. In this context, companion robots powered by artificial intelligence are increasingly regarded as a scalable and sustainable form of emotional intervention that can address older people’s affective and social requirements. This study systematically reviews research trends in this field, analyzing the structure of emotional needs among older users and their acceptance mechanisms toward robot functionalities. First, a keyword co-occurrence analysis was conducted using VOSviewer on relevant literature published between 2000 and 2025 from the Web of Science database, revealing focal research topics and emerging trends. Subsequently, questionnaire surveys and in-depth interviews were carried out to identify emotional needs and functional preferences among elderly users. Findings indicate that the field is characterized by increasing interdisciplinary integration, with affective computing and naturalistic interaction becoming central concerns. Empirical results reveal significant differences in need structures across age groups: the oldest-old prioritize safety monitoring and daily assistance, whereas the young-old emphasize social interaction and developmental activities. Regarding emotional interaction, older adults generally prefer natural and non-intrusive expressive styles and exhibit reserved attitudes toward highly anthropomorphic designs. Key factors influencing acceptance include practicality, ease of use, privacy protection, and emotional warmth. The study concludes that effective companion robot design should be grounded in a nuanced understanding of the heterogeneous needs of the aging population, integrating functionality, interaction, and emotional value. Future development should emphasize adaptive and customizable capabilities, adopt natural yet restrained interaction strategies, and strengthen real-world cross-cultural and long-term evaluations. Full article
Show Figures

Graphical abstract

18 pages, 892 KB  
Article
Developing a Psychological Research Methodology for Evaluating AI-Powered Plush Robots in Education and Rehabilitation
by Anete Hofmane, Inese Tīģere, Airisa Šteinberga, Dina Bethere, Santa Meļķe, Undīne Gavriļenko, Aleksandrs Okss, Aleksejs Kataševs and Aleksandrs Vališevskis
Behav. Sci. 2025, 15(10), 1310; https://doi.org/10.3390/bs15101310 - 25 Sep 2025
Viewed by 977
Abstract
The integration of AI-powered plush robots in educational and therapeutic settings for children with Autism Spectrum Disorders (ASD) necessitates a robust interdisciplinary methodology to evaluate usability, psychological impact, and therapeutic efficacy. This study proposes and applies a four-phase research framework designed to guide [...] Read more.
The integration of AI-powered plush robots in educational and therapeutic settings for children with Autism Spectrum Disorders (ASD) necessitates a robust interdisciplinary methodology to evaluate usability, psychological impact, and therapeutic efficacy. This study proposes and applies a four-phase research framework designed to guide the development and assessment of AI-powered plush robots for social rehabilitation and education. Phase 1 involved semi-structured interviews with 13 ASD specialists to explore robot applications. Phase 2 tested initial usability with typically developing children (N = 10–15) through structured sessions. Phase 3 involved structured interaction sessions with children diagnosed with ASD (N = 6–8) to observe the robot’s potential for rehabilitation, observed by specialists and recorded on video. Finally, Phase 4 synthesized data via multidisciplinary triangulation. Results highlighted the importance of iterative, stakeholder-informed design, with experts emphasizing visual properties (color, texture), psychosocial aspects, and adjustable functions. The study identified key technical and psychological evaluation criteria, including engagement, emotional safety, and developmental alignment with ASD intervention models. Findings underscore the value of qualitative methodologies and phased testing in developing child-centered robotic tools. The research establishes a robust methodological framework and provides preliminary evidence for the potential of AI-powered plush robots to support personalized, ethically grounded interventions for children with ASD, though their therapeutic efficacy requires further longitudinal validation. This methodology bridges engineering innovation with psychological rigor, offering a template for future assistive technology research by prioritizing a rigorous, stakeholder-centered design process. Full article
(This article belongs to the Section Psychiatric, Emotional and Behavioral Disorders)
Show Figures

Figure 1

19 pages, 2100 KB  
Article
Empowering Diverse Learners: Integrating Tangible Technologies and Low-Tech Tools to Foster STEM Engagement and Creativity in Early Childhood Education
by Victoria Damjanovic and Stephanie Branson
Educ. Sci. 2025, 15(8), 1024; https://doi.org/10.3390/educsci15081024 - 10 Aug 2025
Cited by 1 | Viewed by 3097
Abstract
This qualitative case study explores how preschool teachers enact inclusive pedagogical practices by integrating tangible technologies, low-tech, and no-tech tools within an inquiry-based learning framework. Focusing on teacher decision-making and children’s multimodal engagement, the study examines two questions: (1) How do early childhood [...] Read more.
This qualitative case study explores how preschool teachers enact inclusive pedagogical practices by integrating tangible technologies, low-tech, and no-tech tools within an inquiry-based learning framework. Focusing on teacher decision-making and children’s multimodal engagement, the study examines two questions: (1) How do early childhood teachers use a range of tools to support inclusive, inquiry-driven learning? and (2) How do children engage with these tools to communicate, collaborate, and construct knowledge? Drawing on classroom observations, teacher-created storyboards, child artifacts, and educator reflections, findings illustrate how programmable robots, recycled materials, and hands-on resources support accessibility and creative expression for diverse learners. Children used alternative modalities such as coding, drawing, building, and storytelling to represent their ideas and engage in problem-solving across a range of developmental and linguistic needs. Teachers are positioned as pedagogical designers who scaffold inclusive participation through flexible environments, intentional provocations, and responsive guidance. Rather than treating technology as a standalone innovation, the study emphasizes how its integration, when grounded in play, inquiry, and real-world relevance, can promote equity and engagement. These findings contribute to research on Universal Design for Learning (UDL), early STEM education, and inclusive instructional design in early childhood classrooms. Full article
Show Figures

Figure 1

60 pages, 8707 KB  
Review
Automation in Construction (2000–2023): Science Mapping and Visualization of Journal Publications
by Mohamed Marzouk, Abdulrahman A. Bin Mahmoud, Khalid S. Al-Gahtani and Kareem Adel
Buildings 2025, 15(15), 2789; https://doi.org/10.3390/buildings15152789 - 7 Aug 2025
Viewed by 6041
Abstract
This paper presents a scientometric review that provides a quantitative perspective on the evolution of Automation in Construction Journal (AICJ) research, emphasizing its developmental paths and emerging trends. The study aims to analyze the journal’s growth and citation impact over time. It also [...] Read more.
This paper presents a scientometric review that provides a quantitative perspective on the evolution of Automation in Construction Journal (AICJ) research, emphasizing its developmental paths and emerging trends. The study aims to analyze the journal’s growth and citation impact over time. It also seeks to identify the most influential publications and the cooperation patterns among key contributors. Furthermore, the study explores the journal’s primary research themes and their evolution. Accordingly, 4084 articles were identified using the Web of Science (WoS) database and subjected to a multistep analysis using VOsviewer version 1.6.18 and Biblioshiny as software tools. First, the growth and citation of the publications over time are inspected and evaluated, in addition to ranking the most influential documents. Second, the co-authorship analysis method is applied to visualize the cooperation patterns between countries, organizations, and authors. Finally, the publications are analyzed using keyword co-occurrence and keyword thematic evolution analyses, revealing five major research clusters: (i) foundational optimization, (ii) deep learning and computer vision, (iii) building information modeling, (iv) 3D printing and robotics, and (v) machine learning. Additionally, the analysis reveals significant growth in publications (54.5%) and citations (78.0%) from 2018 to 2023, indicating the journal’s increasing global influence. This period also highlights the accelerated adoption of digitalization (e.g., BIM, computational design), increased integration of AI and machine learning for automation and predictive analytics, and rapid growth of robotics and 3D printing, driving sustainable and innovative construction practices. The paper’s findings can help readers and researchers gain a thorough understanding of the AICJ’s published work, aid research groups in planning and optimizing their research efforts, and inform editorial boards on the most promising areas in the existing body of knowledge for further investigation and development. Full article
Show Figures

Figure 1

29 pages, 2460 KB  
Review
A Survey on Design and Control Methodologies of High- Torque-Density Joints for Compliant Lower-Limb Exoskeleton
by Jingbo Xu, Silu Chen, Shupei Li, Yong Liu, Hongyu Wan, Zhuang Xu and Chi Zhang
Sensors 2025, 25(13), 4016; https://doi.org/10.3390/s25134016 - 27 Jun 2025
Cited by 2 | Viewed by 3511
Abstract
The lower-limb assistance exoskeleton is increasingly being utilized in various fields due to its excellent performance in human body assistance. As a crucial component of robots, the joint is expected to be designed with a high-output torque to support hip and knee movement, [...] Read more.
The lower-limb assistance exoskeleton is increasingly being utilized in various fields due to its excellent performance in human body assistance. As a crucial component of robots, the joint is expected to be designed with a high-output torque to support hip and knee movement, and lightweight to enhance user experience. Contrasted with the elastic actuation with harmonic drive and other flexible transmission, the non-elastic quasi-direct actuation is more promising to be applied in exoskeleton due to its advanced dynamic performance and lightweight feature. Moreover, robot joints are commonly driven electrically, especially by a permanent magnet synchronous motor which is rapidly developed because of its compact structure and powerful output. Based on different topological structures, numerous research focus on torque density, ripple torque suppression, efficiency improvement, and thermal management to improve motor performance. Furthermore, the elaborated joint with powerful motors should be controlled compliantly to improve flexibility and interaction, and therefore, popular complaint control algorithms like impedance and admittance controls are discussed in this paper. Through the review and analysis of the integrated design from mechanism structure to control algorithm, it is expected to indicate developmental prospects of lower-limb assistance exoskeleton joints with optimized performance. Full article
Show Figures

Figure 1

Back to TopTop