Sign in to use this feature.

Years

Between: -

Subjects

remove_circle_outline
remove_circle_outline
remove_circle_outline
remove_circle_outline
remove_circle_outline
remove_circle_outline
remove_circle_outline
remove_circle_outline
remove_circle_outline

Journals

remove_circle_outline
remove_circle_outline
remove_circle_outline
remove_circle_outline
remove_circle_outline
remove_circle_outline
remove_circle_outline
remove_circle_outline
remove_circle_outline

Article Types

Countries / Regions

remove_circle_outline
remove_circle_outline
remove_circle_outline
remove_circle_outline

Search Results (577)

Search Parameters:
Keywords = day-by-day evolution model

Order results
Result details
Results per page
Select all
Export citation of selected articles as:
15 pages, 2629 KB  
Article
Three-Dimensional Transient Thermal Analysis of BIPV Roof Systems with Passive Cooling Fins Under Real Climatic Conditions
by Juan Pablo De-Dios-Jiménez, Germán Pérez-Hernández, Rafael Torres-Ricárdez, Reymundo Ramírez-Betancour, Jesús López-Gómez, Jessica De-Dios-Suárez and Brayan Leonardo Pérez-Escobar
Energies 2026, 19(9), 2056; https://doi.org/10.3390/en19092056 - 24 Apr 2026
Abstract
This paper describes the thermal and energy performance of three roof configurations: a conventional concrete slab, a BIPV system, and a BIPV system equipped with passive aluminum fins. Three-dimensional transient finite element simulations were carried out under field-measured 24 h meteorological boundary conditions [...] Read more.
This paper describes the thermal and energy performance of three roof configurations: a conventional concrete slab, a BIPV system, and a BIPV system equipped with passive aluminum fins. Three-dimensional transient finite element simulations were carried out under field-measured 24 h meteorological boundary conditions characteristic of hot climates. The objective of this study is to quantify the impact of PV integration and passive cooling strategies on heat transfer behavior and building energy performance. The BIPV roof achieved a 38.4% lower residual temperature than the concrete slab at 19:00, indicating superior heat dissipation. The addition of passive fins reduced module temperature by up to 10–12 °C and decreased peak roof temperature by up to 12%. This temperature reduction decreased electrical losses from 13.2% to 10.4%, resulting in a 21% relative reduction in temperature-induced losses. The predicted temperature ranges (≈60–75 °C under peak conditions) are consistent with values reported in experimental and numerical studies of BIPV systems in hot climates, supporting the physical realism of the model. Convective heat transfer was represented using effective coefficients, providing a computationally efficient engineering approximation of air-side heat exchange. Despite construction cost increases of up to 38%, PV integration achieved competitive payback periods of approximately 8.5–9 months under hot climate conditions. This economic assessment is based on a simple payback approach using an incremental cost formulation, where the photovoltaic system replaces the conventional concrete roof, reducing the effective investment. This study introduces a reproducible 3D transient FEM methodology for evaluating BIPV roofs under field-measured climatic boundary conditions. The framework explicitly couples geometry-resolved passive cooling, full-day thermal evolution, and temperature-dependent electrical losses, providing a physically consistent basis for assessing BIPV design alternatives in hot climates. Full article
(This article belongs to the Special Issue Energy Efficiency and Renewable Integration in Sustainable Buildings)
Show Figures

Figure 1

19 pages, 6274 KB  
Article
Loss Characteristics and Quantitative Restoration Model of Light Hydrocarbons in Shale Oil from the Chang 7₃ Submember of the Ordos Basin
by Zheng Sun, Xinping Zhou, Congsheng Bian, Yan Zhang, Wei Liu, Fang Hou, Yongxin Li, Ming Guan and Jin Dong
Processes 2026, 14(9), 1337; https://doi.org/10.3390/pr14091337 - 22 Apr 2026
Viewed by 101
Abstract
Light hydrocarbons in shale oil readily volatilize during conventional coring, surface handling, storage, and laboratory preparation. The resulting evaporative loss causes systematic underestimation of Rock-Eval S1 peak (free hydrocarbons measured by programmed pyrolysis), which can bias oil-bearing evaluation, sweet-spot delineation, and resource [...] Read more.
Light hydrocarbons in shale oil readily volatilize during conventional coring, surface handling, storage, and laboratory preparation. The resulting evaporative loss causes systematic underestimation of Rock-Eval S1 peak (free hydrocarbons measured by programmed pyrolysis), which can bias oil-bearing evaluation, sweet-spot delineation, and resource assessment. Here we investigate Chang 73 lacustrine shale oil in the Ordos Basin (China) using frozen cores recovered by pressure-retained coring from four wells. Time-series Rock-Eval pyrolysis and thermal desorption–gas chromatography (TD–GC) were used to quantify the magnitude, temporal evolution, and practical equilibrium time of light-hydrocarbon loss and to establish a practical restoration model. S1 decreases with storage time and exhibits a clear two-stage behavior. Shale shows a rapid-loss stage during 0–90 days, followed by a practical equilibrium stage after 90 days (S1 change less than 5%). Sandstone interbeds lose light hydrocarbons faster and more completely, reaching practical equilibrium after 60 days. TD–GC indicates that the lost fraction is dominated by n-alkane components lighter than C13, with gaseous hydrocarbons showing the greatest depletion; medium and heavy fractions decrease modestly. Loss is coupled with progressive desorption from kerogen and clays, leading to enrichment of heavier components in the residual free hydrocarbons and a shift of the modal carbon number toward higher values. At the shale equilibrium time, total organic carbon (TOC) and vitrinite reflectance (Ro) jointly control the restoration factor K. We propose a two-parameter restoration model: K = (0.4024·ln (TOC) + 0.821)·(0.652·Ro + 0.4292). Applying the model to more than 50 conventionally cored wells reveals that the Qingyang–Zhengning area in the southwestern basin is the principal enrichment zone of original free hydrocarbons, followed by the Jiyuan area in the north and the Huachi area in the central basin, whereas the eastern basin is relatively depleted. The workflow provides a robust and transferable approach for correcting S1 and improving shale-oil evaluation in lacustrine systems. Full article
52 pages, 5849 KB  
Article
A Symmetry-Guided Multi-Strategy Differential Hybrid Slime Mold Algorithm for Sustainable Microgrid Dispatch Under Refined Battery Degradation Models
by Xingyu Lai, Minjie Dai, Yuhang Luo and Xin Song
Symmetry 2026, 18(4), 692; https://doi.org/10.3390/sym18040692 - 21 Apr 2026
Viewed by 103
Abstract
Optimized dispatch of microgrids is crucial for improving the economic performance and long-term sustainability of modern low-carbon power systems. In particular, accurate economic dispatch modeling for battery energy storage systems (BESSs) is essential for properly evaluating the operational benefits and lifetime costs of [...] Read more.
Optimized dispatch of microgrids is crucial for improving the economic performance and long-term sustainability of modern low-carbon power systems. In particular, accurate economic dispatch modeling for battery energy storage systems (BESSs) is essential for properly evaluating the operational benefits and lifetime costs of microgrids. However, when both battery cycle aging and calendar aging are considered, the resulting scheduling model becomes highly nonlinear, high-dimensional, non-convex, and multimodal, which poses substantial challenges to conventional optimization methods. To alleviate the above problem, a symmetry-guided multi-strategy differential hybrid slime mold algorithm (MDHSMA) is introduced for the day-ahead economic dispatch of microgrids under a refined battery degradation framework. First, a chaotic bimodal mirrored Latin hypercube sampling strategy is designed to exploit symmetry during population initialization, thereby enhancing diversity and improving structured coverage of the search space. Second, a history-driven adaptive differential evolution mechanism is integrated to balance global exploration and local exploitation more effectively during the iterative search process. Third, a state-aware stagnation handling framework is incorporated to maintain population vitality and further improve convergence accuracy and robustness. MDHSMA is evaluated against 12 state-of-the-art optimizers on the CEC2017 and CEC2022 benchmark suites and two representative engineering optimization problems to verify its overall performance. In addition, it is applied to a microgrid case study with refined BESS degradation modeling. The results show that MDHSMA achieves the lowest comprehensive operating cost by effectively coordinating electricity arbitrage and battery life consumption. Moreover, it guides the energy storage system toward shallow charge–-discharge patterns, thereby mitigating accelerated degradation caused by excessive cycling. These results confirm the effectiveness and practical value of the proposed method for sustainable microgrid dispatch in complex nonconvex optimization scenarios. Full article
(This article belongs to the Special Issue Symmetry and Metaheuristic Algorithms)
19 pages, 30013 KB  
Article
Karst Collapse Seepage Field Simulation and Prediction in Tuoshan Mine-Field of Jinzhushan Mining Area, Central Hunan, China
by Yingzi Chen, Ziqiang Zhu and Guangyin Lu
Appl. Sci. 2026, 16(8), 3998; https://doi.org/10.3390/app16083998 - 20 Apr 2026
Viewed by 212
Abstract
Groundwater drainage-induced karst collapse is a major geohazard in coal-mining regions of central Hunan, threatening residential safety and infrastructure. This study focuses on the Tuoshan minefield in the Jinzhushan mining area by integrating multi-source field data, including surveys of 170 collapse points, long-term [...] Read more.
Groundwater drainage-induced karst collapse is a major geohazard in coal-mining regions of central Hunan, threatening residential safety and infrastructure. This study focuses on the Tuoshan minefield in the Jinzhushan mining area by integrating multi-source field data, including surveys of 170 collapse points, long-term groundwater monitoring at six boreholes, and high-density electrical geophysics. A topographically corrected MODFLOW seepage-field model is developed and calibrated for 2014 (RMSE = 0.32 m; NSE = 0.85) and validated for 2015–2016 (RMSE = 0.41 m; NSE = 0.81). To address the large groundwater-level simulation errors commonly encountered in subtropical hilly karst mining settings, the model incorporates a topographic correction, improving simulation accuracy by 12% relative to an uncorrected model. The simulations capture rapid “steep rise–slow fall” groundwater dynamics: Heavy rainfall (>100 mm/day) raises groundwater levels by 2.8–3.1 m within 2–3 days, whereas pumping (200 m3/h) causes a 1.9–2.2 m decline within one week. A 1.2 km drawdown funnel forms and overlaps with 89% of collapse points, indicating that seepage-field evolution and groundwater-level decline control collapse clustering, with soil suffusion and soil–water–rock interaction acting as key amplifying processes. Based on Terzaghi’s effective stress principle and the Theis solution, a collapse prediction formula is derived and validated using measured events (accuracy = 87.5%), and a region-specific critical hydraulic gradient (in = 0.85) is determined, lower than values reported for North China. The proposed workflow provides quantitative thresholds and model-based guidance for karst collapse prevention in subtropical mining areas. Full article
Show Figures

Figure 1

19 pages, 2798 KB  
Article
Study on the Influence Law of Hydrate Formation Ratio in Simulated Porous Media on Liquid Phase Permeability
by Kai Yang, Hanhong Yu, Shanshan Fu, Hualei Xu, Jie Wang and Houshun Jiang
Processes 2026, 14(8), 1285; https://doi.org/10.3390/pr14081285 - 17 Apr 2026
Viewed by 153
Abstract
Permeability evolution in hydrate-bearing porous media is a key factor controlling gas production efficiency during natural gas hydrate exploitation. In this study, laboratory experiments were conducted using sand-packed tubes filled with quartz sand and glass beads to systematically investigate the variation of liquid-phase [...] Read more.
Permeability evolution in hydrate-bearing porous media is a key factor controlling gas production efficiency during natural gas hydrate exploitation. In this study, laboratory experiments were conducted using sand-packed tubes filled with quartz sand and glass beads to systematically investigate the variation of liquid-phase permeability with hydrate saturation. The effects of pore structure, particle size, and initial gas injection pressure on hydrate formation and permeability reduction were analyzed. Furthermore, experimental results were compared with four commonly used permeability models, including the Kozeny model, the Dai model, the Masuda model, and the parallel capillary model. The results show that permeability decreases continuously with increasing hydrate saturation in both porous media, and the most rapid decline occurs at low saturation levels between 0 and 9%. Under the same conditions of 20–40 mesh and an initial pressure of 6.0 MPa, the pressure drop rate in the quartz-sand-packed tube reaches 1.062 kPa per minute, which is about 2.35 times higher than the 0.451 kPa per minute observed in the glass-bead-packed tube, indicating a faster hydrate formation rate and stronger permeability reduction in quartz sand. In addition, both increasing particle mesh size and raising the initial gas injection pressure significantly promote methane consumption and hydrate formation. Model comparison results demonstrate that permeability reduction is strongly dependent on pore structure. The Kozeny pore-filling model, the Dai model (M = 3), and the Masuda model (N = 8) show good agreement with the glass-bead data, whereas the Dai model (M = 8), the Masuda model (N = 15), and the pore-center form of the parallel capillary model better describe the quartz-sand system. In contrast, models based on particle-surface coating show poor agreement in both media. These findings indicate that permeability reduction is primarily controlled by pore-space occupation and flow-path restriction rather than uniform surface coverage. The results suggest that hydrate growth is more likely to occur in pore centers and critical pore-throat regions, although this conclusion is based on macroscopic model comparison and requires further validation by pore-scale observations. This study provides a quantitative basis for model selection and improves the understanding of permeability evolution in hydrate-bearing porous media. Full article
(This article belongs to the Special Issue New Technology of Unconventional Reservoir Stimulation and Protection)
Show Figures

Figure 1

25 pages, 3958 KB  
Article
Complex Pressure Distribution and Genesis Analysis of the Shaximiao Formation in Central and Western Sichuan Basin
by Yilin Liang, Lurui Dang, Xiaojuan Wang, Dongxia Chen, Xu Guan, Shuangling Chen, Ke Pan, Zijian Wang, Xiaoli Zhang and Xiaoting Pang
Minerals 2026, 16(4), 416; https://doi.org/10.3390/min16040416 - 17 Apr 2026
Viewed by 178
Abstract
The distribution and evolution of complex formation pressures fundamentally control natural gas accumulation patterns and the prediction of favorable zones. To elucidate the controlling factors behind complex pressure distribution in tight sandstone gas reservoirs with source-reservoir separation, this study investigated the Shaximiao Formation [...] Read more.
The distribution and evolution of complex formation pressures fundamentally control natural gas accumulation patterns and the prediction of favorable zones. To elucidate the controlling factors behind complex pressure distribution in tight sandstone gas reservoirs with source-reservoir separation, this study investigated the Shaximiao Formation in the central-western Sichuan Basin. Integrating statistical, physical, and rock mechanics analyses with reservoir properties and gas compositional data, this study characterized the present-day pressure regime using seismic interpretation, well logs, measured pressure data, and drilling records. This study clarifies the genetic mechanisms, establishes a differential enrichment model, and identifies future exploration targets. Results reveal a present-day pressure distribution trending from high in the north and west to low in the south and east. Erosional unloading and strata cooling, mechanisms that lead to an average pressure reduction of about 4–15 MPa, jointly contribute to the development of abnormally negative pressure in the central Sichuan Basin. Vertically, pressure magnitude within sand groups shows a positive correlation with productivity. The pressure evolution is governed by a quadruple mechanism: hydrocarbon-generation pressurization, fault-mediated transmission, gas charging, and uplift-induced release. Consequently, future exploration should prioritize areas where high-quality reservoirs adjacent to active hydrocarbon kitchens, significant source-reservoir pressure differentials, and effective fault-sandbody transport pathways are optimally combined. Full article
(This article belongs to the Section Mineral Exploration Methods and Applications)
Show Figures

Figure 1

17 pages, 4366 KB  
Article
Influence of Maximum Nominal Size on Macro- and Meso-Mechanical Properties of Cement-Stabilized Macadam
by Wei Zhou, Changqing Deng and Huiqi Huang
Materials 2026, 19(8), 1611; https://doi.org/10.3390/ma19081611 - 17 Apr 2026
Viewed by 242
Abstract
The nominal maximum aggregate size (NMAS) plays a critical role in determining the mechanical performance of cement-stabilized macadam (CSM), yet its meso-mechanical influence mechanism remains insufficiently understood. In this study, three skeleton-dense CSM mixtures with different NMAS values were designed, and a combined [...] Read more.
The nominal maximum aggregate size (NMAS) plays a critical role in determining the mechanical performance of cement-stabilized macadam (CSM), yet its meso-mechanical influence mechanism remains insufficiently understood. In this study, three skeleton-dense CSM mixtures with different NMAS values were designed, and a combined experimental–numerical approach was adopted to investigate the macro- and meso-scale mechanical behavior. Uniaxial compression tests and aggregate crushing value tests were conducted to evaluate strength development and load-transfer characteristics, while a three-dimensional discrete element method (DEM) model incorporating realistic aggregate morphology was established to analyze the evolution of contact forces and crack propagation. The results show that increasing NMAS significantly improves the mechanical performance of CSM. Compared with CSM-30, the 7-day compressive strength of CSM-40 and CSM-50 increased by approximately 10.3% and 37.3%, respectively. The stress–strain response indicates that mixtures with larger NMAS exhibit higher stiffness and a higher strain. At the meso-scale, a larger NMAS promotes the formation of a more efficient force-chain network dominated by coarse aggregates. Strong contacts were predominantly carried by aggregates larger than 9.5 mm, and in CSM-50, the proportion of strong contacts in the 37.5–53 mm fraction exceeded 90%, indicating that the largest particles likely form the primary load-bearing skeleton. In addition, increasing NMAS delayed crack initiation, reduced crack propagation rate, and decreased the total number of cracks at failure. These findings demonstrate that macroscopic strength improvement is closely associated with meso-scale optimization of the aggregate skeleton and enhanced load-transfer efficiency. This study provides a mechanistic basis for NMAS selection and gradation optimization in semi-rigid base materials. Full article
Show Figures

Figure 1

37 pages, 3575 KB  
Article
LFNMR-Informed Multi-Phase Moisture Modelling of Wood Biodegradation by Coniophora puteana
by Royson Donate Dsouza, Tiina Belt and Stefania Fortino
Forests 2026, 17(4), 492; https://doi.org/10.3390/f17040492 - 16 Apr 2026
Viewed by 228
Abstract
Fungal decay fundamentally alters moisture transport in wood through complex bio-physical coupling mechanisms that remain poorly understood. Brown-rot fungi such as Coniophora puteana (Schumach.: Fr.) P. Karst. degrade wood through chelator-mediated Fenton (CMF) chemistry, producing hydroxyl radicals that depolymerise cellulose and hemicellulose before [...] Read more.
Fungal decay fundamentally alters moisture transport in wood through complex bio-physical coupling mechanisms that remain poorly understood. Brown-rot fungi such as Coniophora puteana (Schumach.: Fr.) P. Karst. degrade wood through chelator-mediated Fenton (CMF) chemistry, producing hydroxyl radicals that depolymerise cellulose and hemicellulose before significant mass loss. This diffusion-dependent process requires elevated moisture content and leads to structural degradation. However, existing models fail to capture the interaction between boundary-driven fungal colonization, decay-induced property changes, and multi-phase multi-Fickian moisture redistribution, particularly the separate evolution of bound- and free-water phases during decay. Here, we present a transport-response bio-hygrothermal finite element model that couples boundary-driven Monod-type fungal colonization kinetics with multi-phase moisture transport (free water, bound water, vapor) in decaying wood. Although fungal biomass evolution is simulated via a reaction–diffusion equation, decay progression is not derived from biomass–substrate interaction but prescribed independently as an experimentally informed input. The model incorporates decay-modified sorption isotherms, permeability evolution, and boundary-driven biomass influx, along with associated moisture transport, into the governing equations. The model is validated against low-field nuclear magnetic resonance (LF-NMR) measurements of C. puteana decay in Scots pine over 35 days. The model successfully reproduces the experimentally observed moisture evolution: a peak free-water content of 50%–70% during weeks 1–2, followed by a progressive decline, while bound water remains remarkably constant despite advancing decay. Monte Carlo uncertainty quantification demonstrates hierarchical parameter control: bound water is governed solely by thermodynamic factors, while free water responds to interacting biological and physical processes. Time-resolved correlation analysis shows a fundamental transition from colonization-dominated (weeks 1–2) to transport-dominated (weeks 3–5) moisture control, quantitatively explaining the experimentally observed shift from accumulation to depletion. This transport-response framework for analyzing moisture behavior under externally defined decay progression establishes quantitative parameter hierarchies that may inform the development of future substrate-coupled bio-hygrothermal models. Full article
(This article belongs to the Special Issue Advanced Numerical and Experimental Methods for Timber Structures)
Show Figures

Figure 1

39 pages, 524 KB  
Review
The Evolution of Probabilistic Price Forecasting Techniques: A Review of the Day-Ahead, Intra-Day, and Balancing Markets
by Ciaran O’Connor, Mohamed Bahloul, Steven Prestwich and Andrea Visentin
Energies 2026, 19(8), 1929; https://doi.org/10.3390/en19081929 - 16 Apr 2026
Viewed by 417
Abstract
Electricity price forecasting has become a critical tool for decision-making in energy markets, particularly as the increasing penetration of renewable energy has introduced greater volatility and uncertainty. Historically, research in this field has been dominated by point forecasting methods, which provide single-value predictions [...] Read more.
Electricity price forecasting has become a critical tool for decision-making in energy markets, particularly as the increasing penetration of renewable energy has introduced greater volatility and uncertainty. Historically, research in this field has been dominated by point forecasting methods, which provide single-value predictions but fail to quantify uncertainty. However, as power markets evolve due to renewable integration, smart grids, and regulatory changes, the need for probabilistic forecasting has become more pronounced, offering a more comprehensive approach to risk assessment and market participation. This paper presents a review of probabilistic forecasting methods, tracing their evolution from Bayesian and distribution based approaches to quantile regression techniques to recent developments in conformal prediction. Particular emphasis is placed on advancements in probabilistic forecasting, including validity-focused methods that address key limitations in uncertainty estimation. Additionally, this review extends beyond the day-ahead market to include the intra-day and balancing markets, where forecasting challenges are intensified by higher temporal granularity and real-time operational constraints. We examine state-of-the-art methodologies, key evaluation metrics, and ongoing challenges, such as forecast validity, model selection, and the absence of standardised benchmarks, providing researchers and practitioners with a comprehensive and timely resource for navigating the complexities of modern electricity markets. Full article
Show Figures

Figure 1

26 pages, 1532 KB  
Review
Mapping the Evolution and Intellectual Structure of Marine Spatial Data Infrastructure (MSDI): A Systematic Review and Bibliometric Analysis
by Nuha Hamed Al-Subhi, Mohammed Nasser Al-Suqri and Faten Fatehi Hamad
Geographies 2026, 6(2), 39; https://doi.org/10.3390/geographies6020039 - 13 Apr 2026
Viewed by 188
Abstract
The proliferation of marine data presents both an opportunity for ocean governance and a challenge, contributing to fragmentation across disciplines, institutions, and sectors. Marine Spatial Data Infrastructure (MSDI) stands out as a major framework for integrating marine information. However, an integrated synthesis that [...] Read more.
The proliferation of marine data presents both an opportunity for ocean governance and a challenge, contributing to fragmentation across disciplines, institutions, and sectors. Marine Spatial Data Infrastructure (MSDI) stands out as a major framework for integrating marine information. However, an integrated synthesis that combines quantitative mapping of publication patterns with qualitative analysis of thematic evolution remains absent. This study employs a two-step approach combining systematic review and bibliometric analysis of Scopus-indexed literature (2000–2024). Based on a focused corpus of 20 publications rigorously screened for explicit MSDI relevance, we examine publication trends, collaboration patterns, thematic structures, and evolutionary trajectories. Results indicate accelerating scholarly interest in MSDI, with European institutions contributing 75% of the analysed publications. Policy frameworks such as the INSPIRE Directive (Infrastructure for Spatial Information in the European Community) and the Marine Strategy Framework Directive (MSFD) emerge as key drivers of research activity. Temporal analysis of this corpus suggests a tentative five-phase evolution in MSDI research: (1) foundational technical standardisation, (2) governance model implementation, (3) semantic interoperability enhancement, (4) policy integration, and (5) advanced applications incorporating FAIR (Findable, Accessible, Interoperable, Reusable) and CARE (Collective Benefit, Authority to Control, Responsibility, Ethics) principles and Artificial Intelligence (AI). These phases, derived from systematic coding of thematic focus across publications, represent observed patterns within the analysed literature rather than definitive stages. This paper concludes that MSDI is moving toward a more socio-technical approach that requires the consideration of a technical-focused tool in present-day ocean governance. Future work should combine semantic AI, decentralised architectures, polycentric governance models, and impact assessment frameworks to align MSDI development with the objectives of equity, inclusion, and sustainability. Full article
Show Figures

Figure 1

15 pages, 931 KB  
Article
Hematological Profile of Patients with Clostridioides difficile Infection: Clinical and Prognostic Implications
by Ramona-Oana Roșca, Ionela Ferțu, Alina Oana Dumitru, Mirela Mătăsaru, Alexandra Virginia Bounegru, Anca Lupu, Steliana Tudor, Ștefan Roșca and Caterina Nela Dumitru
Hemato 2026, 7(2), 12; https://doi.org/10.3390/hemato7020012 - 13 Apr 2026
Viewed by 186
Abstract
Background/objectives. Clostridioides difficile infection (CDI) remains a major cause of healthcare-associated infectious colitis, particularly among elderly and multimorbid patients. Disease severity and clinical evolution are influenced by the host’s systemic inflammatory response. This study aimed to evaluate the hematological and inflammatory profile of [...] Read more.
Background/objectives. Clostridioides difficile infection (CDI) remains a major cause of healthcare-associated infectious colitis, particularly among elderly and multimorbid patients. Disease severity and clinical evolution are influenced by the host’s systemic inflammatory response. This study aimed to evaluate the hematological and inflammatory profile of hospitalized CDI patients and to explore the prognostic value of routine laboratory parameters for prolonged hospitalization. Methods. A retrospective observational study was conducted on 50 adult patients hospitalized with laboratory-confirmed CDI (positive glutamate dehydrogenase, antigen and toxins A/B). Hematological parameters (WBC, hemoglobin, RDW) and inflammatory markers (CRP, fibrinogen) were analyzed at admission and discharge. Prolonged hospitalization was defined as length of stay (LOS) > 8 days (cohort median). Multivariable logistic regression was performed to assess admission predictors of prolonged hospitalization, and model discrimination was evaluated using leave-one-out cross-validation (LOOCV). Results. At admission, patients exhibited marked inflammatory activation accompanied by reduced hemoglobin and elevated RDW. Significant correlations were observed between inflammatory markers. All inflammatory and hematologic parameters improved at discharge. In multivariable analysis, lower admission hemoglobin and higher log-transformed CRP showed exploratory associations with prolonged hospitalization. The internally validated model demonstrated moderate discriminative performance (AUC = 0.65). Conclusions. CDI is associated with substantial systemic inflammatory activation and hematologic alterations. While no individual predictor reached statistical significance, the observed effect sizes provide hypothesis-generating estimates to inform future prospective validation studies. Full article
(This article belongs to the Section Hematopathology)
25 pages, 647 KB  
Article
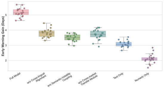
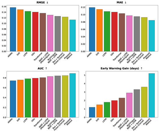
AI-Driven Sensing for Cross-Lingual Risk Prediction via Semantic Alignment and Multimodal Temporal Fusion
by Yida Zhang, Ceteng Fu, Xi Wang, Yiheng Zhang, Ziyu Xiong, Jingjin Pan and Jinghui Yin
Appl. Sci. 2026, 16(8), 3741; https://doi.org/10.3390/app16083741 - 10 Apr 2026
Viewed by 278
Abstract
In the context of highly interconnected global markets and the rapid dissemination of multilingual information, traditional risk prediction methods that rely on single numerical sequences or monolingual text are insufficient for achieving early perception of cross-market risks. To address this issue, a cross-market [...] Read more.
In the context of highly interconnected global markets and the rapid dissemination of multilingual information, traditional risk prediction methods that rely on single numerical sequences or monolingual text are insufficient for achieving early perception of cross-market risks. To address this issue, a cross-market risk early warning framework based on multilingual large language models and multimodal sensing fusion is proposed. The proposed approach is centered on a unified risk semantic space, where cross-lingual semantic alignment is employed to reduce semantic discrepancies across languages. Furthermore, a semantic–volatility coupling attention mechanism is introduced to capture the dynamic relationship between textual semantic evolution and market fluctuations. In addition, cross-market knowledge transfer and low-resource enhancement strategies are incorporated to improve the model’s generalization capability across multilingual and multi-market environments, thereby establishing an intelligent perception and early warning system for complex sensing scenarios. Experimental results demonstrate that the proposed method significantly outperforms multiple baseline models in multilingual cross-market risk prediction tasks. In the main experiment, the model achieves a root mean squared error (RMSE) of 0.1127, an mean absolute error (MAE) of 0.0846, and an area under the curve (AUC) of 0.8879, while the early warning gain is improved to 5.2 days, which is substantially better than the Transformer model (RMSE 0.1365, AUC 0.8042) and the multilingual BERT-based fusion model (AUC 0.8395). In terms of classification performance, higher accuracy, precision, and recall are consistently achieved, with overall accuracy exceeding 0.88, and both precision and recall are maintained above 0.85, indicating strong discriminative capability in risk identification tasks. Cross-lingual generalization experiments further verify the robustness of the proposed framework. When trained solely on the English market, the model achieves AUC values of 0.8624 and 0.8471 on the Chinese and European markets, respectively, with RMSE reduced to 0.1185, significantly outperforming competing methods. Overall, the proposed approach achieves substantial improvements in prediction accuracy, cross-lingual generalization, and early warning performance, providing an effective solution for artificial intelligence-driven sensing and risk early warning. Full article
Show Figures

Figure 1

18 pages, 4999 KB  
Article
Study on the Structural Evolution and Mechanical Behavior of Soils in Archaeological Sites Under Wet–Dry Cycling
by Yuhai Wang, Wei Chen, Yulong Niu, Xiangcai Pan, Junjie Qiao, Zhigang Zhang and Qiang Tang
Sustainability 2026, 18(8), 3775; https://doi.org/10.3390/su18083775 - 10 Apr 2026
Viewed by 309
Abstract
Archeological sites in humid regions are particularly susceptible to mechanical degradation induced by rainfall-driven wet–dry (W-D) cycles after excavation. In this study, representative archeological soils from the Suzhou region were investigated to quantify strength attenuation and pore structure evolution under cyclic moisture disturbance. [...] Read more.
Archeological sites in humid regions are particularly susceptible to mechanical degradation induced by rainfall-driven wet–dry (W-D) cycles after excavation. In this study, representative archeological soils from the Suzhou region were investigated to quantify strength attenuation and pore structure evolution under cyclic moisture disturbance. Laboratory W-D cycling tests were conducted on samples prepared using static compaction and layered compaction methods, with cycle numbers up to nine and cycle amplitudes of 1–4 days. Unconfined compressive strength (UCS), direct shear strength, scanning electron microscopy, and mercury intrusion porosimetry were used for multiscale characterization. Results show that UCS decreases by approximately 40–50% after six to nine W-D cycles, accompanied by a porosity increase of 4.0–5.5% for statically compacted samples and 6.5–8.0% for layered-compacted samples. Layered-compacted specimens exhibit an average strength reduction of about 20% within the first three cycles, significantly higher than that of statically compacted soils. Microstructural observations reveal a progressive transformation from micropore-dominated structures (<10 μm, initially 70–80%) to interconnected meso- and macropores (>50 μm, up to 30–40%), leading to increased permeability (from ~10−8 to 10−6 cm/s). A semi-empirical model incorporating cycle number and amplitude successfully captures the non-linear evolution of porosity and strength degradation. These findings provide quantitative criteria for assessing excavation stability and long-term deterioration risks of archeological sites in humid environments. Full article
Show Figures

Figure 1

16 pages, 5067 KB  
Article
Modeling of Water Quality in Deep Tunnels Coupling Temperature–Depth Effects
by Xiaomei Zhang, Qingmin Zhang, Yuanjing Yang, Yuntao Guan and Rui Chen
Appl. Sci. 2026, 16(8), 3664; https://doi.org/10.3390/app16083664 - 9 Apr 2026
Viewed by 243
Abstract
As large-scale underground storage infrastructure, deep tunnels exhibit distinct water quality dynamics driven by ground temperature gradients. Currently, there is limited investigation into water quality modeling for deep tunnel systems. Unraveling the correlation between temperature–depth gradients and water quality evolution is crucial for [...] Read more.
As large-scale underground storage infrastructure, deep tunnels exhibit distinct water quality dynamics driven by ground temperature gradients. Currently, there is limited investigation into water quality modeling for deep tunnel systems. Unraveling the correlation between temperature–depth gradients and water quality evolution is crucial for the operation and management of such systems. In this study, field experiments were carried out in the Qianhai–Nanshan Deep Tunnel to investigate complex water quality behavior, leading to the development of chemical oxygen demand (COD) and ammonia nitrogen (NH3–N) models that incorporate temporal variation, temperature, and burial depth. Results indicate that temperature is the dominant factor influencing water quality in deep tunnel storage. Increased ground temperature promotes the degradation and mass transport of pollutants within the tunnel system. Owing to temperature–depth effects, the deeply buried Qianhai tunnel significantly reduces river discharge pollution after water storage, with COD and NH3–N removal rates reaching 74.9% and 26.8%, respectively. Temperature-controlled experiments showed that COD and NH3–N reduction rates varied between 60–94% and 10–30% across a temperature range of 20–34 °C. The proposed model was validated against experimental data, achieving Nash–Sutcliffe efficiency coefficients of 0.7–0.8. This study provides a methodological foundation for simulating complex aquatic environments and offers a decision-support tool for optimizing the operational strategies of deep tunnel systems. However, the model’s current generalization capability is constrained by the limited experimental conditions (20–34 °C, 12 days) and the lack of experimental replicates, which should be systematically addressed in future studies. Full article
(This article belongs to the Special Issue Environmental Issues in Geotechnical Engineering)
Show Figures

Figure 1

27 pages, 2452 KB  
Article
Two-Level Source-Grid-Load-Storage Preventive Resilience for Power Systems with Multiple Offshore Wind Farms Under Typhoon Scenarios
by Qiuhui Chen, Junhao Gong, Xiangjing Su and Fengyong Li
Sustainability 2026, 18(7), 3491; https://doi.org/10.3390/su18073491 - 2 Apr 2026
Viewed by 353
Abstract
Typhoon-induced extreme weather poses a severe threat to power systems with high offshore wind penetration. Source-side wind turbine tripping and grid-side transmission line failures are likely to occur simultaneously, which may trigger cascading outages and large-scale load shedding. A multi-level source-grid-load-storage preventive resilience [...] Read more.
Typhoon-induced extreme weather poses a severe threat to power systems with high offshore wind penetration. Source-side wind turbine tripping and grid-side transmission line failures are likely to occur simultaneously, which may trigger cascading outages and large-scale load shedding. A multi-level source-grid-load-storage preventive resilience dispatch strategy is proposed. A typhoon spatiotemporal evolution model is first established based on the Batts gradient wind model. Failure probability models for offshore wind turbines and overhead transmission lines are developed while considering strong wind and lightning strike effects. The most probable and severe fault scenario is identified using an entropy-based quantification method. A two-stage robust preventive dispatch model is subsequently formulated. In the day-ahead stage, unit commitment, multi-type reserve allocation, and pumped storage scheduling are optimized at a 1 h resolution. In the real-time stage, combined wind-storage systems are coordinated at a 10 min resolution to accommodate rapid wind power ramps caused by high-wind shutdown events. The model is reformulated through Lagrangian duality and solved by the Benders decomposition algorithm. Case studies on a modified IEEE-RTS 24-bus system with three offshore wind farms demonstrate that the proposed strategy reduces wind curtailment by 66.3%, load shedding by 74.6%, and total cost by 14.8% compared with the case without energy storage. The combined operation cost of storage resources accounts for only 3.1% of the total cost, confirming its favorable cost-effectiveness for resilience enhancement. The proposed strategy contributes to the sustainable integration of offshore wind energy by ensuring a reliable power supply during extreme weather events. Full article
Show Figures

Figure 1

Back to TopTop