Sign in to use this feature.

Years

Between: -

Subjects

remove_circle_outline
remove_circle_outline
remove_circle_outline
remove_circle_outline
remove_circle_outline
remove_circle_outline
remove_circle_outline

Journals

Article Types

Countries / Regions

Search Results (29)

Search Parameters:
Keywords = data processing interphase

Order results
Result details
Results per page
Select all
Export citation of selected articles as:
33 pages, 12512 KB  
Article
Numerical Simulation of Air–Steam Mixture Condensation in a Falling Film Condenser
by Hanyu Zhong and Jiafeng Wu
Processes 2026, 14(5), 861; https://doi.org/10.3390/pr14050861 - 8 Mar 2026
Viewed by 294
Abstract
Shell-and-tube falling film condensers are critical in fields like energy, petrochemicals, and waste heat recovery. Their operation predominantly involves the complex mixed condensation of steam and non-condensable gases. This process couples multi-physical phenomena—gas flow, liquid film dynamics, phase change, and non-condensable gas accumulation—making [...] Read more.
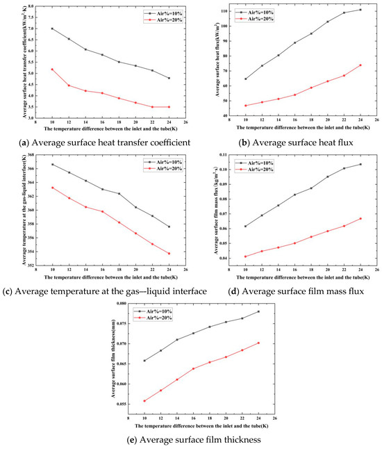
Shell-and-tube falling film condensers are critical in fields like energy, petrochemicals, and waste heat recovery. Their operation predominantly involves the complex mixed condensation of steam and non-condensable gases. This process couples multi-physical phenomena—gas flow, liquid film dynamics, phase change, and non-condensable gas accumulation—making accurate prediction challenging. To better understand the underlying mechanisms, this paper develops a practical CFD simulation scheme. The scheme strongly couples the Species Transport model and the Eulerian-wall-film (EWF) model via User-Defined Functions (UDFs) to simulate condensate generation, inter-tube migration, and interphase transfer. Its reliability is validated through grid independence tests and comparisons with theoretical and experimental data. Using this model, the effects of inlet velocity, temperature difference, and non-condensable gas mass fraction are analyzed. Results indicate that higher inlet velocity significantly enhances heat and mass transfer, with the average wall heat transfer coefficient stabilizing at high velocities. While a larger temperature difference increases total heat transfer, its marginal benefit decreases, accompanied by reduced efficiency. A high non-condensable gas mass fraction severely inhibits condensation. Furthermore, the outer wall heat transfer coefficient of the tube bundle is highly non-uniform, with the liquid film thickness varying by over two orders of magnitude. This study provides theoretical and numerical insights for the optimal design and operation of falling film condensers. Full article
(This article belongs to the Section Chemical Processes and Systems)
Show Figures

Figure 1

17 pages, 1801 KB  
Article
The Influence of Accumulated Radiolysis Products on the Mechanisms of High-Temperature Degradation of Two-Component Lithium-Containing Ceramics
by Inesh E. Kenzhina, Saulet Askerbekov, Artem L. Kozlovskiy, Aktolkyn Tolenova, Sergei Piskunov and Anatoli I. Popov
Ceramics 2025, 8(3), 99; https://doi.org/10.3390/ceramics8030099 - 3 Aug 2025
Viewed by 1374
Abstract
One of the advantages of the EPR spectroscopy method in assessing structural defects caused by irradiation is the fact that using this method it is possible to determine not only the concentration dependences of the defect structure but to also establish their type, [...] Read more.
One of the advantages of the EPR spectroscopy method in assessing structural defects caused by irradiation is the fact that using this method it is possible to determine not only the concentration dependences of the defect structure but to also establish their type, which is not possible with methods such as X-ray diffraction or scanning electron microscopy. Based on the data obtained, the role of variation in the ratio of components in Li4SiO4–Li2TiO3 ceramics on the processes of softening under high-dose irradiation with protons simulating the accumulation of hydrogen in the damaged layer, as well as the concentration of structural defects in the form of oxygen vacancies and radiolysis products on the processes of high-temperature degradation of ceramics, was determined. It was found that the main changes in the defect structure during the prolonged thermal exposure of irradiated samples are associated with the accumulation of oxygen vacancies, the density of which was estimated by the change in the intensity of singlet lithium, characterizing the presence of E-centers. At the same time, it was found that the formation of interphase boundaries in the structure of Li4SiO4–Li2TiO3 ceramics leads to the inhibition of high-temperature degradation processes in the case of post-radiation thermal exposure for a long time. Also, during the conducted studies, the role of thermal effects on the structural damage accumulation rate in Li4SiO4–Li2TiO3 ceramics was determined in the case when irradiation is carried out at different temperatures. During the experiments, it was determined that the main contribution of thermal action in the process of proton irradiation at a fluence of 5 × 1017 proton/cm2 is an increase in the concentration of radiolysis products, described by changes in the intensities of spectral maxima, characterized by the presence of defects such as ≡Si–O, SiO43− and Ti3+ defects. Full article
(This article belongs to the Special Issue Advances in Ceramics, 3rd Edition)
Show Figures

Figure 1

16 pages, 3891 KB  
Article
Structure and Properties of Self-Reinforced Polytetrafluoroethylene-Based Materials
by Shunqi Mei, Oksana Ayurova, Undrakh Mishigdorzhiyn, Vasily Kornopoltsev, Evgeny Kovtunets, Kirill Demin, Bair Garmaev and Andrei Khagleev
Polymers 2025, 17(12), 1609; https://doi.org/10.3390/polym17121609 - 9 Jun 2025
Cited by 1 | Viewed by 1359
Abstract
A promising direction in polymer material processing is the development of self-reinforced polymer composites (SRPMs), representing a relatively new group of composite materials. The self-reinforcement method allows for materials of one polymer to be combined with different molecular, supramolecular, and structural features. The [...] Read more.
A promising direction in polymer material processing is the development of self-reinforced polymer composites (SRPMs), representing a relatively new group of composite materials. The self-reinforcement method allows for materials of one polymer to be combined with different molecular, supramolecular, and structural features. The high adhesive and mechanical properties of SRPMs are due to the formation of a homogeneous system with no inter-phase boundary. Moreover, self-reinforcement considers the possibility of using polymer waste to create high-strength composites, which reduces the environmental load. In the current work, the phase composition, structure, and properties of SRPMs based on polytetrafluoroethylene (PTFE) were studied. SRPMs were prepared by mixing industrial and regenerated PTFE powders and then subjected to pressing and sintering. Two types of regenerated PTFE were used for the SRPM preparation: a commercial PTFE of the TOMFLONTM trademark and mechanically grinded PTFE waste. The degree of crystallinity of the obtained materials (41–68%) was calculated by XRD analysis; the crystallite size was determined to be 30–69 nm. Thermal analysis of the composites was carried out by the DSC method in the temperature range of 25–370 °C. The characteristics of thermal processes in self-reinforced composites correlate with the data from structural studies of XRD and FTIR analyses. The results of dynamic mechanical analysis showed that the introduction of regenerated PTFE powder into an industrial one increased the elasticity modulus from 0.6 GPa up to 2.0–3.1 GPa. It was shown that the phase state of the SRPMs depended on the method of processing polymer waste (the type of regenerated PTFE) that determined the heat resistance and mechanical properties of the obtained composite material. Full article
(This article belongs to the Section Polymer Composites and Nanocomposites)
Show Figures

Figure 1

13 pages, 4482 KB  
Article
Dielectric Constant Estimation of Spherical Particle-Filled Nanocomposites Based on the Poon and Shin Model, Considering Interphase Properties
by Bin Tang, Xue Liu, Shengxiang Deng, Wei Zhong and Jiang Shao
Polymers 2025, 17(8), 1035; https://doi.org/10.3390/polym17081035 - 11 Apr 2025
Cited by 3 | Viewed by 1875
Abstract
A revised version of the Poon and Shin (PS) model, incorporating the effects of the interphase, is introduced to predict the dielectric permittivity of polymer nanocomposites reinforced with spherical nanoparticles. In this modified approach, both the spherical nanoparticle and its surrounding interphase region [...] Read more.
A revised version of the Poon and Shin (PS) model, incorporating the effects of the interphase, is introduced to predict the dielectric permittivity of polymer nanocomposites reinforced with spherical nanoparticles. In this modified approach, both the spherical nanoparticle and its surrounding interphase region are treated as an equivalent nanoparticle, modeled as a core–shell structure. This assumption enables a more accurate representation of the composite, where the polymer matrix and the equivalent nanoparticles form a homogeneous mixture. The process of calculating the dielectric permittivity of the composite occurs in two distinct steps. Initially, the dielectric permittivity of the equivalent particle—comprising both the nanoparticle core and its interphase—is computed. Subsequently, the overall dielectric permittivity of the composite material is determined, considering the properties of the polymer substrate and the equivalent nanoparticles, all within the framework of the modified PS model. To verify the validity of the proposed model, experimental data are compared against the predicted values, showing a high level of agreement when the interphase characteristics are appropriately incorporated. Additionally, the influence of various factors, including the properties of the spherical nanoparticles, the interphase, and the polymer matrix, on the dielectric performance of the nanocomposite is thoroughly investigated. This enhanced PS model offers a valuable theoretical framework for designing polymer–spherical nanoparticle composites with superior dielectric properties, paving the way for their potential application in advanced electronic and energy storage devices. Full article
Show Figures

Figure 1

19 pages, 6121 KB  
Article
Optimising Batch Sorption: Effect of Mixing Speed and Reactor Design on Wastewater Treatment Kinetics and Efficiency
by Anita Bašić, Mario Nikola Mužek, Željko Penga and Sandra Svilović
Processes 2025, 13(3), 712; https://doi.org/10.3390/pr13030712 - 28 Feb 2025
Cited by 1 | Viewed by 1817
Abstract
The batch sorption process is used to remove various species from wastewater and can be optimised by selecting adequate process parameters and reactor geometry. As sorption is a heterogeneous process, achieving the desired process outcomes in a batch reactor relies heavily on establishing [...] Read more.
The batch sorption process is used to remove various species from wastewater and can be optimised by selecting adequate process parameters and reactor geometry. As sorption is a heterogeneous process, achieving the desired process outcomes in a batch reactor relies heavily on establishing conditions in which the influence of interphase diffusion is minimised while keeping the efficiency and cost of the process at acceptable values. These conditions can be managed by the selection of appropriate reactor geometries and mixing speed through examination of their influence on the sorption yield and cost. The relationship between mixing speed and power consumption is important, as excessive mixing can lead to increased energy costs without proportional gains in sorption kinetics and efficiency. For these reasons, the effect of reactor geometry and mixing speed on copper sorption kinetics, efficiency, and energy consumption was studied. The Ritchie model and Mixed surface reaction and diffusion-controlled sorption kinetic model were employed for the kinetic study. CFD simulations were carried out to identify optimal designs that enhance process efficiency and reduce energy consumption. Data obtained indicate that the sorption process generally follows second-order kinetics. Results demonstrate that sorption can be effectively conducted at impeller speeds lower than the critical suspension speed (NJS), achieving almost equal removal efficiencies (after 30 min) while reducing energy consumption. From the perspective of energy consumption, reactors without baffles are a significantly better solution than baffled reactors, especially when using a PBT impeller. From a kinetic standpoint, better results are achieved at the highest N/NJS or NJS. In baffled reactors, considering both power consumption and process duration, the SBT impeller emerges as the most efficient choice. Considering the compromises between power consumption and process duration the choice of reactor geometry and specific operating conditions should align with process priorities, such as energy savings through lower power consumption or reduced mixing time. FTIR spectra did not reveal the differences in the zeolite structure after the sorption process occurred. Full article
(This article belongs to the Special Issue Novel Recovery Technologies from Wastewater and Waste)
Show Figures

Figure 1

13 pages, 2999 KB  
Article
Control of the Composition and Morphology of Non-Metallic Inclusions in Superduplex Stainless Steel
by Andrey Zhitenev, Vladimir Karasev, Aleksandr Fedorov, Sergey Ryaboshuk and Alexey Alkhimenko
Materials 2023, 16(23), 7337; https://doi.org/10.3390/ma16237337 - 25 Nov 2023
Cited by 3 | Viewed by 1928
Abstract
Duplex stainless steel is a unique material for cast products, the use of which is possible in various fields. With the same chemical composition, melting, casting and heat treatment technology, pitting and crevice corrosion were observed at the interphase boundaries of non-metallic inclusions [...] Read more.
Duplex stainless steel is a unique material for cast products, the use of which is possible in various fields. With the same chemical composition, melting, casting and heat treatment technology, pitting and crevice corrosion were observed at the interphase boundaries of non-metallic inclusions and the steel matrix. To increase the cleanliness of steel, it is necessary to carefully select the technology for deoxidizing with titanium or aluminum, as the most common deoxidizers, and the technology for modifying with rare earth metals. In this work, a comprehensive analysis of the thermodynamic data in the literature on the behavior of oxides and sulfides in this highly alloyed system under consideration was performed. Based on this analysis, a thermodynamic model was developed to describe their behavior in liquid and solidified duplex stainless steels. The critical concentrations at which the existence of certain phases is possible during the deoxidation of DSS with titanium, aluminum and modification by rare earth metals, including the simultaneous contribution of lanthanum and cerium, was determined. Experimental ingots were produced, the cleanliness of experimental steels was assessed, and the key metric parameters of non-metallic inclusions were described. In steels deoxidized using titanium, clusters of inclusions with a diameter of 84 microns with a volume fraction of 0.066% were formed, the volume fraction of which was decreased to 0.01% with the subsequent addition of aluminum. The clusters completely disappeared when REMs were added. The reason for this behavior of inclusions was interpreted using thermodynamic modeling and explained by the difference in temperature at which specific types of NMIs begin to form. A comparison of experimental and calculated results showed that the proposed model adequately describes the process of formation of non-metallic inclusions in the steel under consideration and can be used for the development of industrial technology. Full article
(This article belongs to the Section Metals and Alloys)
Show Figures

Figure 1

17 pages, 5395 KB  
Review
The Endothelial Centrosome: Specific Features and Functional Significance for Endothelial Cell Activity and Barrier Maintenance
by Anton Sergeevich Shakhov, Aleksandra Sergeevna Churkina, Anatoly Alekseevich Kotlobay and Irina Borisovna Alieva
Int. J. Mol. Sci. 2023, 24(20), 15392; https://doi.org/10.3390/ijms242015392 - 20 Oct 2023
Viewed by 2213
Abstract
This review summarizes information about the specific features that are characteristic of the centrosome and its relationship with the cell function of highly specialized cells, such as endotheliocytes. It is based on data from other researchers and our own long-term experience. The participation [...] Read more.
This review summarizes information about the specific features that are characteristic of the centrosome and its relationship with the cell function of highly specialized cells, such as endotheliocytes. It is based on data from other researchers and our own long-term experience. The participation of the centrosome in the functional activity of these cells, including its involvement in the performance of the main barrier function of the endothelium, is discussed. According to modern concepts, the centrosome is a multifunctional complex and an integral element of a living cell; the functions of which are not limited only to the ability to polymerize microtubules. The location of the centrosome near the center of the interphase cell, the concentration of various regulatory proteins in it, the organization of the centrosome radial system of microtubules through which intracellular transport is carried out by motor proteins and the involvement of the centrosome in the process of the perception of the external signals and their transmission make this cellular structure a universal regulatory and distribution center, controlling the entire dynamic morphology of an animal cell. Drawing from modern data on the tissue-specific features of the centrosome’s structure, we discuss the direct involvement of the centrosome in the performance of functions by specialized cells. Full article
(This article belongs to the Special Issue Centrosomes and Microtubule-Organizing Centers)
Show Figures

Figure 1

17 pages, 4161 KB  
Article
CFD Modeling of Phase Change during the Flashing-Induced Instability in a Natural Circulation Circuit
by Yixiang Liao and Dirk Lucas
Processes 2023, 11(7), 1974; https://doi.org/10.3390/pr11071974 - 29 Jun 2023
Cited by 4 | Viewed by 2836
Abstract
Flashing-induced instability (FII) has a significant impact on the safe operation of a natural circulation circuit, a phenomenon frequently encountered in the cooling systems of advanced light water reactors. While one-dimensional system codes are commonly used for the engineering design and safety analysis [...] Read more.
Flashing-induced instability (FII) has a significant impact on the safe operation of a natural circulation circuit, a phenomenon frequently encountered in the cooling systems of advanced light water reactors. While one-dimensional system codes are commonly used for the engineering design and safety analysis of FII, there is a strong academic interest in understanding the underlying physical mechanisms. To address this, high-resolution computational fluid dynamics (CFD) simulations serve as a valuable tool. However, the current state of CFD modeling for two-phase flows with phase change, which are particularly highly transient fluctuating flashing flows, is still in its early stages of development. In this study, we establish a CFD model that focuses on interphase heat transfer to analyze the phase change during FII. By incorporating experimental data from the literature, we investigate the transient flow field and thermodynamic behavior in the riser of the GENEVA test facility. The study provides valuable insights into the non-equilibrium and interfacial transfer phenomena during the phase change as well as the effect of high-frequency fluctuation. Additionally, we discuss in detail the challenges associated with FII modeling and the limitations of the current model. We also provide suggestions for potential improvements in future numerical studies. The results show that the thermal phase change and heat transfer coefficient model adopted for the simulation reasonably captures the evaporation and condensation process. However, it tends to under-predict the evaporation rate, which results in a larger pressure drop through the riser. The observation that the void fraction close to the wall is higher than that in the riser center evidences that the reliable modeling of bubble size distribution as well as the inclusion of non-drag forces are important for predicting the transverse void distribution. Furthermore, it reveals that both the temperature and pressure change in an FII, and their effects on phase change should be taken into account simultaneously. Full article
(This article belongs to the Section Process Control and Monitoring)
Show Figures

Figure 1

13 pages, 3438 KB  
Article
Validation of the LOGOS Software Package Methods for the Numerical Simulation of Cavitational Flows
by Andrey Kozelkov, Andrey Kurkin, Vadim Kurulin, Kseniya Plygunova and Olga Krutyakova
Fluids 2023, 8(3), 104; https://doi.org/10.3390/fluids8030104 - 22 Mar 2023
Cited by 10 | Viewed by 1967
Abstract
Verification problems and numeric simulation of cavitation processes with the help of LOGOS computational fluid dynamics software are presented in this article. The Volume of Fluid method realized within LOGOS allowing numerical simulation of double-phase problems with a free surface is used for [...] Read more.
Verification problems and numeric simulation of cavitation processes with the help of LOGOS computational fluid dynamics software are presented in this article. The Volume of Fluid method realized within LOGOS allowing numerical simulation of double-phase problems with a free surface is used for numeric simulation. Cavitation is resolved by updating the method with the account for interphase mass exchange; its condensation and evaporation parameters are calculated with the use of the Schnerr–Sauer and Zwart–Gerber–Belamri cavitation models. Numerical simulation results of most actual test problems considering turbulence and having reliable numerical data are presented, including simulations of flow around cylinders with flat and hemispherical end surfaces for various cavitation numbers. Numerical simulation results are presented for the process of rotation of a VP1304 screw propeller in the cavitational mode. Numerical experiments prove the operability of the implemented method. Full article
Show Figures

Figure 1

20 pages, 14043 KB  
Article
Genomic and Transcriptomic Characterization of Alternaria alternata during Infection
by Yunpeng Gai, Qichen Niu, Jinchao Kong, Lei Li, Xingxing Liang, Yuwei Cao, Xianqi Zhou, Xuepeng Sun, Haijie Ma, Mingshuang Wang, Neeraj Shrivastava, Hongye Li and Chen Jiao
Agronomy 2023, 13(3), 809; https://doi.org/10.3390/agronomy13030809 - 10 Mar 2023
Cited by 5 | Viewed by 5027
Abstract
Host-pathogen interactions are the result of the continuously evolving dynamics of the genomic interphases between pathogens and the host plants. Alternaria brown spot (ABS) caused by the pathogen Alternaria alternata is a serious threat to tangerine production. Although recent studies have made significant [...] Read more.
Host-pathogen interactions are the result of the continuously evolving dynamics of the genomic interphases between pathogens and the host plants. Alternaria brown spot (ABS) caused by the pathogen Alternaria alternata is a serious threat to tangerine production. Although recent studies have made significant advances in the characterization of A. alternata virulence factors, a gap exists in the regulation of virulent genes throughout the course of A. alternata infection on host plants. To gain a better understanding of the dynamic defense transcriptome in Alternaria alternata during Infection, we performed a comparative transcriptome approach. After inoculation on citrus, we found that 2142, 1964, 2359 genes were up-regulated, and 1948, 1434, 1996 genes were down-regulated at 12 hours-post-inoculation (hpi), 24 hpi and 48 hpi, respectively. Among these genes, 1333 genes were up-regulated at three time points, and 1054 genes were down-regulated, indicating that most of the differentially expressed genes at the early stage of infection tended to remain differentially expressed at the later stage of infection. In addition to the genes that are known to be part of the infection network in plant-pathogen interactions, many novel genes related to plant-pathogen interaction were identified. Interestingly, our results indicate that A. alternata is able to rapidly alter its gene expression pattern during infection process, which is vital for the successful colonization of the pathogen. Moreover, this rapid alteration of gene expression is likely to be an adaptive mechanism, enabling the pathogen to quickly respond to any changes in the environment and adapt to the host’s defense system. This ability to modify gene expression quickly in the face of environmental changes could play a critical role in the successful establishment of infection. RT-qPCR analysis confirmed that the expression pattern of nine randomly selected genes from the peroxisome pathway were consistent with the RNA-seq data. Our study provided a comprehensive study of the expression of genes during A. alternata infection of citrus, which may facilitate the understanding of host-plant interactions in A. alternata. Full article
(This article belongs to the Special Issue Research Progress on Pathogenicity of Fungus in Crop)
Show Figures

Figure 1

20 pages, 1186 KB  
Review
MicroRNAs in Ruminants and Their Potential Role in Nutrition and Physiology
by Oyindamola Esther Ojo and Susanne Kreuzer-Redmer
Vet. Sci. 2023, 10(1), 57; https://doi.org/10.3390/vetsci10010057 - 14 Jan 2023
Cited by 9 | Viewed by 4901
Abstract
The knowledge of how diet choices, dietary supplements, and feed intake influence molecular mechanisms in ruminant nutrition and physiology to maintain ruminant health, is essential to attain. In the present review, we focus on the role of microRNAs in ruminant health and disease; [...] Read more.
The knowledge of how diet choices, dietary supplements, and feed intake influence molecular mechanisms in ruminant nutrition and physiology to maintain ruminant health, is essential to attain. In the present review, we focus on the role of microRNAs in ruminant health and disease; additionally, we discuss the potential of circulating microRNAs as biomarkers of disease in ruminants and the state of technology for their detection, also considering the major difficulties in the transition of biomarker development from bench to clinical practice. MicroRNAs are an inexhaustible class of endogenous non-protein coding small RNAs of 18 to 25 nucleotides that target either the 3′ untranslated (UTR) or coding region of genes, ensuring a tight post-transcriptionally controlled regulation of gene expression. The development of new “omics” technologies facilitated a fresh perspective on the nutrition–to–gene relationship, incorporating more extensive data from molecular genetics, animal nutrition, and veterinary sciences. MicroRNAs might serve as important regulators of metabolic processes and may present the inter-phase between nutrition and gene regulation, controlled by the diet. The development of biomarkers holds the potential to revolutionize veterinary practice through faster disease detection, more accurate ruminant health monitoring, enhanced welfare, and increased productivity. Finally, we summarize the latest findings on how microRNAs function as biomarkers, how technological paradigms are reshaping this field of research, and how platforms are being used to identify novel biomarkers. Numerous studies have demonstrated a connection between circulating microRNAs and ruminant diseases such as mastitis, tuberculosis, foot-and-mouth disease, fasciolosis, and metabolic disorders. Therefore, the identification and analysis of a small number of microRNAs can provide crucial information about the stage of a disease, etiology, and prognosis. Full article
(This article belongs to the Special Issue Physiology, Nutrition, and Host-Microbiome Interaction in Ruminants)
Show Figures

Figure 1

15 pages, 5486 KB  
Article
An Improved Model for Predicting the Drag Coefficient and Terminal Settling Velocity of Natural Sands in Newtonian Fluid
by Xiao Ma, Guodong Ji, Zijian Li and Guoshuai Ju
Processes 2022, 10(8), 1579; https://doi.org/10.3390/pr10081579 - 11 Aug 2022
Cited by 4 | Viewed by 3131
Abstract
The drag coefficient CD plays an important role in studying the interaction forces between individual particles and fluid. Due to the irregular particle shape of natural sands, studying the sedimentation characteristics and drag coefficient model of irregular particles is of great significance [...] Read more.
The drag coefficient CD plays an important role in studying the interaction forces between individual particles and fluid. Due to the irregular particle shape of natural sands, studying the sedimentation characteristics and drag coefficient model of irregular particles is of great significance in explaining natural phenomena, predicting the sedimentation process, and calculating the interphase forces between individual particles and fluid. In this paper, firstly, an experimental system for measuring the settling velocity was built, the settling velocity of 67 tests of spheres with different particle Reynolds number Res in the Newtonian fluid were obtained, and the CDRes correlation of sphere settling in the Newtonian fluid was established. The proposed CDRes correlation was in good agreement with the existing classical CDRes correlations, which proves the reliability of the experimental system and data processing method. Existing literature shows that the previous models are only suitable for irregular-shaped particles with three-dimensional shape-described parameters. However, the three-dimensional shape information of sand particles can only be obtained through accurate laboratory measurements, and it is often impossible to calculate accurately. By introducing the two-dimensional shape-described parameter (circularity c), using image analysis technology, the two-dimensional shape information of natural sands was obtained. The settling velocity of 221 tests of natural sands in the Newtonian fluid was obtained experimentally. It is found that the sand particles’ drag force exerted by the fluid is more significant than its equivalent sphere. With the increase in the particle Reynolds number, the shape irregularity’s influence on sand particle drag coefficient is more significant, and the CDRes correlation of natural sand was proposed by fitting. The established CDRes correlation has good prediction accuracy and can better predict the drag coefficient and terminal settling velocity of natural sand with irregular shapes. Full article
(This article belongs to the Section Particle Processes)
Show Figures

Figure 1

16 pages, 48658 KB  
Article
Endolysosomal Mesoporous Silica Nanoparticle Trafficking along Microtubular Highways
by Achraf Noureddine, Michael L. Paffett, Stefan Franco, Alfonso E. Chan, Sandeep Pallikkuth, Keith Lidke and Rita E. Serda
Pharmaceutics 2022, 14(1), 56; https://doi.org/10.3390/pharmaceutics14010056 - 27 Dec 2021
Cited by 9 | Viewed by 3457
Abstract
This study examines intra- and intercellular trafficking of mesoporous silica nanoparticles along microtubular highways, with an emphasis on intercellular bridges connecting interphase and telophase cells. The study of nanoparticle trafficking within and between cells during all phases of the cell cycle is relevant [...] Read more.
This study examines intra- and intercellular trafficking of mesoporous silica nanoparticles along microtubular highways, with an emphasis on intercellular bridges connecting interphase and telophase cells. The study of nanoparticle trafficking within and between cells during all phases of the cell cycle is relevant to payload destination and dilution, and impacts delivery of therapeutic or diagnostic agents. Super-resolution stochastic optical reconstruction and sub-airy unit image acquisition, the latter combined with Huygens deconvolution microscopy, enable single nanoparticle and microtubule resolution. Combined structural and functional data provide enhanced details on biological processes, with an example of mitotic inheritance during cancer cell trivision. Full article
(This article belongs to the Special Issue Bioconjugation and Nanomaterials for Clinical Translation)
Show Figures

Figure 1

12 pages, 6717 KB  
Article
The Arabidopsis thaliana Kinesin-5 AtKRP125b Is a Processive, Microtubule-Sliding Motor Protein with Putative Plant-Specific Functions
by Tobias Strauß, Saskia Schattner, Stefan Hoth and Wilhelm J. Walter
Int. J. Mol. Sci. 2021, 22(21), 11361; https://doi.org/10.3390/ijms222111361 - 21 Oct 2021
Cited by 7 | Viewed by 3622
Abstract
The formation and maintenance of the mitotic spindle during cell division requires several microtubule-interacting motor proteins. Members of the kinesin-5 family play an essential role in the bipolar organization of the spindle. These highly conserved, homotetrameric proteins cross-link anti-parallel microtubules and slide them [...] Read more.
The formation and maintenance of the mitotic spindle during cell division requires several microtubule-interacting motor proteins. Members of the kinesin-5 family play an essential role in the bipolar organization of the spindle. These highly conserved, homotetrameric proteins cross-link anti-parallel microtubules and slide them apart to elongate the spindle during the equal separation of chromosomes. Whereas vertebrate kinesin-5 proteins are well studied, knowledge about the biochemical properties and the function of plant kinesin-5 proteins is still limited. Here, we characterized the properties of AtKRP125b, one of four kinesin-5 proteins in Arabidopsis thaliana. In in vitro motility assays, AtKRP125b displayed the archetypal characteristics of a kinesin-5 protein, a low velocity of about 20 nm·s−1, and a plus end-directed, processive movement. Moreover, AtKRP125b was able to cross-link microtubules and to slide them apart, as required for developing and maintaining the mitotic spindle. In line with such a function, GFP-AtKRP125b fusion proteins were predominantly detected in the nucleus when expressed in Arabidopsis thaliana leaf protoplasts or Nicotiana benthamiana epidermis cells and analyzed by confocal microscopy. However, we also detected GFP signals in the cytoplasm, suggesting additional functions. By generating and analyzing AtKRP125b promoter-reporter lines, we showed that the AtKRP125b promoter was active in the vascular tissue of roots, lateral roots, cotyledons, and true leaves. Remarkably, we could not detect promoter activity in meristematic tissues. Taken together, our biochemical data support a role of AtKRP125b in mitosis, but it may also have additional functions outside the nucleus and during interphase. Full article
(This article belongs to the Section Molecular Plant Sciences)
Show Figures

Figure 1

23 pages, 6147 KB  
Article
Numerical Investigation of the Characteristics of Erosion in a Centrifugal Pump for Transporting Dilute Particle-Laden Flows
by Rui-Jie Zhao, You-Long Zhao, De-Sheng Zhang, Yan Li and Lin-Lin Geng
J. Mar. Sci. Eng. 2021, 9(9), 961; https://doi.org/10.3390/jmse9090961 - 3 Sep 2021
Cited by 36 | Viewed by 4154
Abstract
Erosion in centrifugal pumps for transporting flows with dilute particles is a main pump failure problem in many engineering processes. A numerical model combining the computational fluid dynamics (CFD) and Discrete Element Method (DEM) is applied to simulate erosion in a centrifugal pump. [...] Read more.
Erosion in centrifugal pumps for transporting flows with dilute particles is a main pump failure problem in many engineering processes. A numerical model combining the computational fluid dynamics (CFD) and Discrete Element Method (DEM) is applied to simulate erosion in a centrifugal pump. Different models of the liquid-solid inter-phase forces are implemented, and the particle-turbulence interaction is also defined. The inertial particles considered in this work are monodisperse and have finite size. The numerical results are validated by comparing the results with a series of experimental data. Then, the effects of particle volume fraction, size, and shape on the pump erosion are estimated in the simulations. The results demonstrate that severe erosive areas are located near the inlet and outlet of the pressure side of the impeller blade, the middle region of the blade, the corners of the shroud and hub of the impeller adjoining to the pressure side of the blade, and the volute near the pump tongue. Among these locations, the maximum erosion occurs near the inlet of the pressure side of the blade. Erosion mitigation occurs under the situation where more particles accumulate in the near-wall region of the eroded surface, forming a buffering layer. The relationship between the particle size and the erosion is nonlinear, and the 1 mm particle causes the maximum pump erosion. The sharp particles cause more severe erosion in the pump because both the frequency of particle-wall collisions and the impact angle increase with the increasing sharpness of the particle. Full article
(This article belongs to the Special Issue Marine Applications of Computational Fluid Dynamics)
Show Figures

Figure 1

Back to TopTop