Sign in to use this feature.

Years

Between: -

Subjects

remove_circle_outline
remove_circle_outline
remove_circle_outline
remove_circle_outline
remove_circle_outline

Journals

Article Types

Countries / Regions

Search Results (11)

Search Parameters:
Keywords = cyclostationary spectral analysis

Order results
Result details
Results per page
Select all
Export citation of selected articles as:
22 pages, 10320 KB  
Article
Adaptive Hoyer-L-Moment Envelope Spectrum: A Method for Robust Demodulation of Ship-Radiated Noise in Low-SNR Environments
by Ruizhe Zhang, Qingcui Wang and Shuanping Du
Sensors 2025, 25(24), 7434; https://doi.org/10.3390/s25247434 - 6 Dec 2025
Viewed by 419
Abstract
Propeller noise is the main source of ship-radiated noise. Extracting and analyzing the modulation characteristics from the propeller noise plays a crucial role in classifying and identifying vessel targets. Existing demodulation methods such as Detection of Envelope Modulation On Noise (DEMON), narrowband demodulation, [...] Read more.
Propeller noise is the main source of ship-radiated noise. Extracting and analyzing the modulation characteristics from the propeller noise plays a crucial role in classifying and identifying vessel targets. Existing demodulation methods such as Detection of Envelope Modulation On Noise (DEMON), narrowband demodulation, and cyclostationary analysis can be used to extract modulation features. However, capturing the modulation features on the envelope spectrum may be hard under low signal-to-noise ratio scenarios, since the envelope spectrum is contaminated by interference noise. To address this challenge, selecting an optimal frequency band rich in modulation information can significantly enhance demodulation performance. This paper proposes an Adaptive Hoyer-L-moment Envelope Spectrum (AHLES) method. The method first introduces an optimal frequency band selection method based on the golden section search strategy. A Hoyer-L-moment metric is then designed to quantify the modulation intensity within narrow frequency bands. Based on this metric, the optimal spectral coherence integration band is adaptively selected according to the signal’s inherent modulation characteristics, thereby enhancing demodulation performance. The effectiveness of the proposed method is validated through experiments on both simulated signals and merchant ship data. Full article
(This article belongs to the Section Physical Sensors)
Show Figures

Figure 1

33 pages, 2537 KB  
Article
Efficient Deep Wavelet Gaussian Markov Dempster–Shafer Network-Based Spectrum Sensing at Very Low SNR in Cognitive Radio Networks
by Sunil Jatti and Anshul Tyagi
Sensors 2025, 25(23), 7361; https://doi.org/10.3390/s25237361 - 3 Dec 2025
Viewed by 513
Abstract
Cognitive radio networks (CRNs) rely heavily on spectral sensing to detect primary user (PU) activity, yet detection at low signal-to-noise ratios (SNRs) remains a major challenge. Hence, a novel “Deep Wavelet Cyclostationary Independent Gaussian Markov Fourier Transform Dempster–Shafer Network” is proposed. When the [...] Read more.
Cognitive radio networks (CRNs) rely heavily on spectral sensing to detect primary user (PU) activity, yet detection at low signal-to-noise ratios (SNRs) remains a major challenge. Hence, a novel “Deep Wavelet Cyclostationary Independent Gaussian Markov Fourier Transform Dempster–Shafer Network” is proposed. When the signal waveform is submerged within the noise envelope and residual correlation emerges in the noise, it violates white Gaussian assumptions, leading to misidentification of signal presence. To resolve this, the Adaptive Continuous Wavelet Cyclostationary Denoising Autoencoder (ACWC-DAE) is introduced, in which the Adaptive Continuous Wavelet Transform (ACWT), Cyclostationary Independent Component Analysis Detection (CICAD), and Denoising Autoencoder (DAE) are introduced into the first hidden layer of a Deep Q-Network (DQN). It restores the bursty signal structure, separates the structured noise, and reconstructs clean signals, leading to accurate signal detection. Additionally, bursty and fading-affected primary user signals become fragmented and dip below the noise floor, causing conventional fixed-window sensing to fail in accumulating reliable evidence for detection under intermittent and low-duty-cycle conditions. Therefore, the Adaptive Gaussian Short-Time Fourier Transform Dempster–Shafer Model (AGSTFT-DSM) is incorporated into the second DQN layer, Adaptive Gaussian Mixture Hidden Markov Modeling (AGMHMM) tracks the hidden activity states, Adaptive Short-Time Fourier Transform (ASFT) resolves brief signal bursts, and Dempster–Shafer Theory (DST) fuses uncertain evidence to infer occupancy, thereby detecting an accurate user signal. The results obtained by the proposed model have a low error and detection time of 0.12 and 30.10 ms and a high accuracy of 97.8%, revealing the novel insight that adaptive wavelet denoising, along with uncertainty-aware evidence fusion, supports reliable spectrum detection under low-SNR conditions where existing models fail. Full article
(This article belongs to the Section Sensor Networks)
Show Figures

Figure 1

25 pages, 12003 KB  
Article
Heterogeneous Information Fusion for Robot-Based Automated Monitoring of Bearings in Harsh Environments via Ensemble of Classifiers with Dynamic Weighted Voting
by Mohammad Siami, Przemysław Dąbek, Hamid Shiri, Anna Michalak, Jacek Wodecki, Tomasz Barszcz and Radosław Zimroz
Sensors 2025, 25(17), 5512; https://doi.org/10.3390/s25175512 - 4 Sep 2025
Cited by 1 | Viewed by 1472
Abstract
Modern inspection mobile robots can carry multiple sensors that can provide opportunities to take advantage of the fusion of information obtained from different sensors. In real-world condition monitoring, harsh environmental conditions can significantly affect the sensor’s accuracy. To address this issue in this [...] Read more.
Modern inspection mobile robots can carry multiple sensors that can provide opportunities to take advantage of the fusion of information obtained from different sensors. In real-world condition monitoring, harsh environmental conditions can significantly affect the sensor’s accuracy. To address this issue in this paper, we introduced a fusion approach around information gaps to handle the portion of false information that can be captured by the employed sensors. To test our idea, we looked at various types of data, such as sounds, color images, and infrared images taken by a mobile robot inspecting a mining site to check the condition of the belt conveyor idlers. The RGB images are used to classify the rotating idlers as stuck ones (late-stage faults); on the other hand, the acoustic signals are employed to identify early-stage faults. In this work, the cyclostationary analysis approach is employed to process the captured acoustic data to visualize the bearing fault signature in the form of Cyclic Spectral Coherence. Since convolutional neural networks (CNNs) and their transfer learning (TL) forms are popular approaches for performing classification tasks, a comparison study of eight CNN-TL models was conducted to find the best models to classify different fault signatures in captured RGB images and acquired Cyclic Spectral Coherence. Finally, to combine the collected information, we suggest a method called dynamic weighted majority voting, where each model’s importance is regularly adjusted for each sample based on the surface temperature of the idler taken from IR images. We demonstrate that our method of combining information from multiple classifiers can work better than using just one sensor for monitoring conditions in real-world situations. Full article
(This article belongs to the Section Sensors and Robotics)
Show Figures

Figure 1

19 pages, 713 KB  
Article
Machine-Learning-Assisted Cyclostationary Spectral Analysis for Joint Signal Classification and Jammer Detection at the Physical Layer of Cognitive Radio
by Tassadaq Nawaz and Ali Alzahrani
Sensors 2023, 23(16), 7144; https://doi.org/10.3390/s23167144 - 12 Aug 2023
Cited by 14 | Viewed by 4544
Abstract
Cognitive radio technology was introduced as a possible solution for spectrum scarcity by exploiting dynamic spectrum access. In the last two decades, most researchers focused on enabling cognitive radios for managing the spectrum. However, due to their intelligent nature, cognitive radios can scan [...] Read more.
Cognitive radio technology was introduced as a possible solution for spectrum scarcity by exploiting dynamic spectrum access. In the last two decades, most researchers focused on enabling cognitive radios for managing the spectrum. However, due to their intelligent nature, cognitive radios can scan the radio frequency environment and change their transmission parameters accordingly on-the-fly. Such capabilities make it suitable for the design of both advanced jamming and anti-jamming systems. In this context, our work presents a novel, robust algorithm for spectrum characterisation in wideband radios. The proposed algorithm considers that a wideband spectrum is sensed by a cognitive radio terminal. The wideband is constituted of different narrowband signals that could either be licit signals or signals jammed by stealthy jammers. Cyclostationary feature detection is adopted to measure the spectral correlation density function of each narrowband signal. Then, cyclic and angular frequency profiles are obtained from the spectral correlation density function, concatenated, and used as the feature sets for the artificial neural network, which characterise each narrowband signal as a licit signal with a particular modulation scheme or a signal jammed by a specific stealthy jammer. The algorithm is tested under both multi-tone and modulated stealthy jamming attacks. Results show that the classification accuracy of our novel algorithm is superior when compared with recently proposed signal classifications and jamming detection algorithms. The applications of the algorithm can be found in both commercial and military communication systems. Full article
(This article belongs to the Special Issue Security and Privacy in Wireless Communications and Networking)
Show Figures

Figure 1

18 pages, 3312 KB  
Article
Gaussian-Distributed Spread-Spectrum for Covert Communications
by Ismail Shakeel, Jack Hilliard, Weimin Zhang and Mark Rice
Sensors 2023, 23(8), 4081; https://doi.org/10.3390/s23084081 - 18 Apr 2023
Cited by 6 | Viewed by 3927
Abstract
Covert communication techniques play a crucial role in military and commercial applications to maintain the privacy and security of wireless transmissions from prying eyes. These techniques ensure that adversaries cannot detect or exploit the existence of such transmissions. Covert communications, also known as [...] Read more.
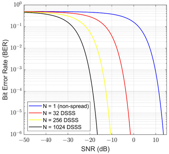
Covert communication techniques play a crucial role in military and commercial applications to maintain the privacy and security of wireless transmissions from prying eyes. These techniques ensure that adversaries cannot detect or exploit the existence of such transmissions. Covert communications, also known as low probability of detection (LPD) communication, are instrumental in preventing attacks such as eavesdropping, jamming, or interference that could compromise the confidentiality, integrity, and availability of wireless communication. Direct-sequence spread-spectrum (DSSS) is a widely used covert communication scheme that expands the bandwidth to mitigate interference and hostile detection effects, reducing the signal power spectral density (PSD) to a low level. However, DSSS signals possess cyclostationary random properties that an adversary can exploit using cyclic spectral analysis to extract useful features from the transmitted signal. These features can then be used to detect and analyse the signal, making it more susceptible to electronic attacks such as jamming. To overcome this problem, a method to randomise the transmitted signal and reduce its cyclic features is proposed in this paper. This method produces a signal with a probability density function (PDF) similar to thermal noise, which masks the signal constellation to appear as thermal white noise to unintended receivers. This proposed scheme, called Gaussian distributed spread-spectrum (GDSS), is designed such that the receiver does not need to know any information about the thermal white noise used to mask the transmit signal to recover the message. The paper presents the details of the proposed scheme and investigates its performance in comparison to the standard DSSS system. This study used three detectors, namely, a high-order moments based detector, a modulation stripping detector, and a spectral correlation detector, to evaluate the detectability of the proposed scheme. The detectors were applied to noisy signals, and the results revealed that the moment-based detector failed to detect the GDSS signal with a spreading factor, N = 256 at all signal-to-noise ratios (SNRs), whereas it could detect the DSSS signals up to an SNR of −12 dB. The results obtained using the modulation stripping detector showed no significant phase distribution convergence for the GDSS signals, similar to the noise-only case, whereas the DSSS signals generated a phase distribution with a distinct shape, indicating the presence of a valid signal. Additionally, the spectral correlation detector applied to the GDSS signal at an SNR of −12 dB showed no identifiable peaks on the spectrum, providing further evidence of the effectiveness of the GDSS scheme and making it a favourable choice for covert communication applications. A semi-analytical calculation of the bit error rate is also presented for the uncoded system. The investigation results show that the GDSS scheme can generate a noise-like signal with reduced identifiable features, making it a superior solution for covert communication. However, achieving this comes at a cost of approximately 2 dB on the signal-to-noise ratio. Full article
(This article belongs to the Section Communications)
Show Figures

Figure 1

20 pages, 1222 KB  
Article
Estimation of a Spectral Correlation Function Using a Time-Smoothing Cyclic Periodogram and FFT Interpolation—2N-FFT Algorithm
by Timofey Shevgunov, Evgeny Efimov and Oksana Guschina
Sensors 2023, 23(1), 215; https://doi.org/10.3390/s23010215 - 25 Dec 2022
Cited by 16 | Viewed by 4730
Abstract
This article addresses the problem of estimating the spectral correlation function (SCF), which provides quantitative characterization in the frequency domain of wide-sense cyclostationary properties of random processes which are considered to be the theoretical models of observed time series or discrete-time signals. The [...] Read more.
This article addresses the problem of estimating the spectral correlation function (SCF), which provides quantitative characterization in the frequency domain of wide-sense cyclostationary properties of random processes which are considered to be the theoretical models of observed time series or discrete-time signals. The theoretical framework behind the SCF estimation is briefly reviewed so that an important difference between the width of the resolution cell in bifrequency plane and the step between the centers of neighboring cells is highlighted. The outline of the proposed double-number fast Fourier transform algorithm (2N-FFT) is described in the paper as a sequence of steps directly leading to a digital signal processing technique. The 2N-FFT algorithm is derived from the time-smoothing approach to cyclic periodogram estimation where the spectral interpolation based on doubling the FFT base is employed. This guarantees that no cyclic frequency is left out of the coverage grid so that at least one resolution element intersects it. A numerical simulation involving two processes, a harmonic amplitude modulated by stationary noise and a binary-pulse amplitude-modulated train, demonstrated that their cyclic frequencies are estimated with a high accuracy, reaching the size of step between resolution cells. In addition, the SCF components estimated by the proposed algorithm are shown to be similar to the curves provided by the theoretical models of the observed processes. The comparison between the proposed algorithm and the well-known FFT accumulation method in terms of computational complexity and required memory size reveals the cases where the 2N-FFT algorithm offers a reasonable trade-off. Full article
Show Figures

Figure 1

16 pages, 8740 KB  
Article
A Two-Stage Method for Weak Feature Extraction of Rolling Bearing Combining Cyclic Wiener Filter with Improved Enhanced Envelope Spectrum
by Lianhui Jia, Lijie Jiang and Yongliang Wen
Machines 2022, 10(10), 863; https://doi.org/10.3390/machines10100863 - 27 Sep 2022
Cited by 4 | Viewed by 2037
Abstract
Due to the interference of various strong background signals, it is often difficult to extract effective features by using conventional methods such as envelope spectrum analysis when early weak fault arises in rolling bearing. Inspired by the current two main research directions of [...] Read more.
Due to the interference of various strong background signals, it is often difficult to extract effective features by using conventional methods such as envelope spectrum analysis when early weak fault arises in rolling bearing. Inspired by the current two main research directions of weak fault diagnosis of rolling bearing, that is, the enhancement of impulse features of faulty vibration signal through vibration analysis and the selection of fault information sensitive frequency band for further envelope spectrum analysis, and based on the second-order cyclostationary characteristic of the vibration signal of faulty bearing, a two-stage method for weak feature extraction of rolling bearing combining cyclic Wiener filter with improved enhanced envelope spectrum (IEES) is proposed in the paper. Firstly, the original vibration signal of the rolling bearing’s early weak fault is handled by cyclic Wiener filter exploiting the spectral coherence (SCoh) theory and the noise components are filtered out. Then, SCoh is applied on the filtered signal. Subsequently, an IEES method obtained by integrating over the selected fault information sensitive spectral frequency band of the SCoh spectral is used to extract the fault features. The innovation of the proposed method is to fully excavate the advantages of cyclic Wiener filter and IEES simultaneously. The feasibility of the proposed method is verified by simulation firstly, and vibration signals collected from accelerated bearing degradation tests and engineering machines are used to further verify its effectiveness. Additionally, its superiority over the other state-of-the-art methods is also compared. Full article
(This article belongs to the Section Machines Testing and Maintenance)
Show Figures

Figure 1

15 pages, 2112 KB  
Review
Cyclostationary Analysis towards Fault Diagnosis of Rotating Machinery
by Shengnan Tang, Shouqi Yuan and Yong Zhu
Processes 2020, 8(10), 1217; https://doi.org/10.3390/pr8101217 - 28 Sep 2020
Cited by 12 | Viewed by 5670
Abstract
In the light of the significance of the rotating machinery and the possible severe losses resulted from its unexpected defects, it is vital and meaningful to exploit the effective and feasible diagnostic methods of its faults. Among them, the emphasis of the analysis [...] Read more.
In the light of the significance of the rotating machinery and the possible severe losses resulted from its unexpected defects, it is vital and meaningful to exploit the effective and feasible diagnostic methods of its faults. Among them, the emphasis of the analysis approaches for fault type and severity is on the extraction of useful components in the fault features. On account of the common cyclostationarity of vibration signal under faulty states, fault diagnosis methods based on cyclostationary analysis play an essential role in the rotatory machine. Based on it, the fundamental definition and classification of cyclostationarity are introduced briefly. The mathematical principles of the essential cyclic spectral analysis are outlined. The significant applications of cyclostationary theory are highlighted in the fault diagnosis of the main rotating machinery, involving bearing, gear, and pump. Finally, the widely-used methods on the basis of cyclostationary theory are concluded, and the potential research directions are prospected. Full article
Show Figures

Figure 1

18 pages, 10183 KB  
Article
Higher-Order Spectra Analysis-Based Diagnosis Method of Blades Biofouling in a PMSG Driven Tidal Stream Turbine
by Lotfi Saidi, Mohamed Benbouzid, Demba Diallo, Yassine Amirat, Elhoussin Elbouchikhi and Tianzhen Wang
Energies 2020, 13(11), 2888; https://doi.org/10.3390/en13112888 - 5 Jun 2020
Cited by 21 | Viewed by 3275
Abstract
Most electrical machines and drive signals are non-Gaussian and are highly nonlinear in nature. A useful set of techniques to examine such signals relies on higher-order statistics (HOS) spectral representations. They describe statistical dependencies of frequency components that are neglected by traditional spectral [...] Read more.
Most electrical machines and drive signals are non-Gaussian and are highly nonlinear in nature. A useful set of techniques to examine such signals relies on higher-order statistics (HOS) spectral representations. They describe statistical dependencies of frequency components that are neglected by traditional spectral measures, namely the power spectrum (PS). One of the most used HOS is the bispectrum where examining higher-order correlations should provide further details and information about the conditions of electric machines and drives. In this context, the stator currents of electric machines are of particular interest because they are periodic, nonlinear, and cyclostationary. This current is, therefore, well adapted for analysis using bispectrum in the designing of an efficient condition monitoring method for electric machines and drives. This paper is, therefore, proposing a bispectrum-based diagnosis method dealing the with tidal stream turbine (TST) rotor blades biofouling issue, which is a marine environment natural process responsible for turbine rotor unbalance. The proposed bispectrum-based diagnosis method is verified using experimental data provided from a permanent magnet synchronous generator (PMSG)-based TST experiencing biofouling emulated by attachment on the turbine blade. Based on the achieved results, it can be concluded that the proposed diagnosis method has been very successful. Indeed, biofouling imbalance-related frequencies are clearly identified despite marine environmental nuisances (turbulences and waves). Full article
(This article belongs to the Special Issue Incipient Fault Detection and Diagnosis, Fault-Tolerant Control)
Show Figures

Graphical abstract

15 pages, 5203 KB  
Article
An Improved Cyclic Modulation Spectral Analysis Based on the CWT and Its Application on Broken Rotor Bar Fault Diagnosis for Induction Motors
by Dong Zhen, Zuolu Wang, Haiyang Li, Hao Zhang, Jie Yang and Fengshou Gu
Appl. Sci. 2019, 9(18), 3902; https://doi.org/10.3390/app9183902 - 17 Sep 2019
Cited by 25 | Viewed by 3523
Abstract
Induction motors (IMs) are widely used in many manufacturing processes and industrial applications. The harsh work environment, long-time enduring, and overloads mean that it is subjected to broken rotor bar (BRB) faults. The vibration signal of IMs with BRB faults consists of the [...] Read more.
Induction motors (IMs) are widely used in many manufacturing processes and industrial applications. The harsh work environment, long-time enduring, and overloads mean that it is subjected to broken rotor bar (BRB) faults. The vibration signal of IMs with BRB faults consists of the reliable modulation information used for fault diagnosis. Cyclostationary analysis has been found to be effective in identifying and extracting fault feature. The estimators of cyclic modulation spectrum (CMS) and fast spectral correlation (FSC) based on the short-time fourier transform (STFT) have higher cyclic frequency resolution, which has proven efficient in demodulating second order cyclostationary (CS2) signals. However, these two estimators have limitations of processing the maximum cyclic frequency αmax that is smaller than Fs/2 (Fs is the sampling frequency) according to Nyquist’s Theorem. In addition, they have lower carrier frequency resolution due to the fixed window size used in STFT. In order to resolve the initial shortcomings of the CMS and FSC methods, in this paper, we extended the analysis of CMS algorithm based on the continuous wavelet transform (CWT), which enlarged the maximum cyclic frequency range to Fs/2 and provides higher carrier frequency resolution because the CWT has the advantage of multi-resolution analysis. The reliability and applicability of the proposed method for fault components localization were validated by CS2 simulation signals. Compared to CMS and FSC methods, the proposed approach shows better performance by analyzing vibration signals between healthy motor and faulty motor with one BRB fault under 0%, 20%, 40%, and 80% load conditions. Full article
(This article belongs to the Special Issue Machine Fault Diagnostics and Prognostics)
Show Figures

Figure 1

25 pages, 7629 KB  
Article
Weak Fault Feature Extraction and Enhancement of Wind Turbine Bearing Based on OCYCBD and SVDD
by Xiaolong Wang, Xiaoli Yan and Yuling He
Appl. Sci. 2019, 9(18), 3706; https://doi.org/10.3390/app9183706 - 6 Sep 2019
Cited by 19 | Viewed by 3144
Abstract
The fault feature of wind turbine bearing is usually very weak in the early injury stage, in order to accurately identify the defect location, an original approach based on optimized cyclostationary blind deconvolution (OCYCBD) and singular value decomposition denoising (SVDD) is put forward [...] Read more.
The fault feature of wind turbine bearing is usually very weak in the early injury stage, in order to accurately identify the defect location, an original approach based on optimized cyclostationary blind deconvolution (OCYCBD) and singular value decomposition denoising (SVDD) is put forward to extract and enhance the fault feature effectively. In this diagnosis method, the fast spectral coherence is fused with the equal step size search strategy for the cyclic frequency parameter and the filter length parameter optimization, and a new frequency weighted energy entropy (FWEE) indicator which combining the advantages of the frequency weighted energy operator (FWEO) and the Shannon entropy, is developed for deconvolution signal evaluation during parameter optimization process. In addition, a novel singular value order determination approach based on fitting error minimum principle is utilized by SVDD to enhance the fault feature. During the process of defect identification, OCYCBD with the optimal parameters is firstly used to recover the informative source from the collected vibration signal. FWEO is further utilized to highlight the potential impulsive characteristics, and the instantaneous energy signal of deconvolution result can be acquired. The whole interferences contained in the instantaneous energy signal can’t be removed due to the weak fault signature and the severe background noise. Then, SVDD is applied to purify the instantaneous energy signal of deconvolution signal, by which the residual interference component is eliminated and the fault feature is strengthened immensely. Finally, frequency domain analysis is performed on the denoised instantaneous energy signal, and the defect location identification of wind turbine bearing can be achieved through analyzing the obvious spectral lines in the obtained enhanced energy spectrum. The collected signals from the experimental platform and the engineering field are both utilized to verify the feasibility of proposed method, and its superiority is further demonstrated through comparing with several well known diagnosis methods. The results indicate this novel method has distinct advantage on bearing weak feature extraction and enhancement. Full article
(This article belongs to the Special Issue Machine Fault Diagnostics and Prognostics)
Show Figures

Figure 1

Back to TopTop