Sign in to use this feature.

Years

Between: -

Subjects

remove_circle_outline
remove_circle_outline
remove_circle_outline
remove_circle_outline
remove_circle_outline
remove_circle_outline
remove_circle_outline

Journals

Article Types

Countries / Regions

remove_circle_outline
remove_circle_outline
remove_circle_outline

Search Results (91)

Search Parameters:
Keywords = cryptic variation

Order results
Result details
Results per page
Select all
Export citation of selected articles as:
11 pages, 1180 KB  
Article
Camouflaged and Watchful: Stonefish Escape Behavior on Crowded Reefs
by Lena Younger, Samai Peretz and Reuven Yosef
J. Mar. Sci. Eng. 2025, 13(9), 1789; https://doi.org/10.3390/jmse13091789 - 16 Sep 2025
Viewed by 236
Abstract
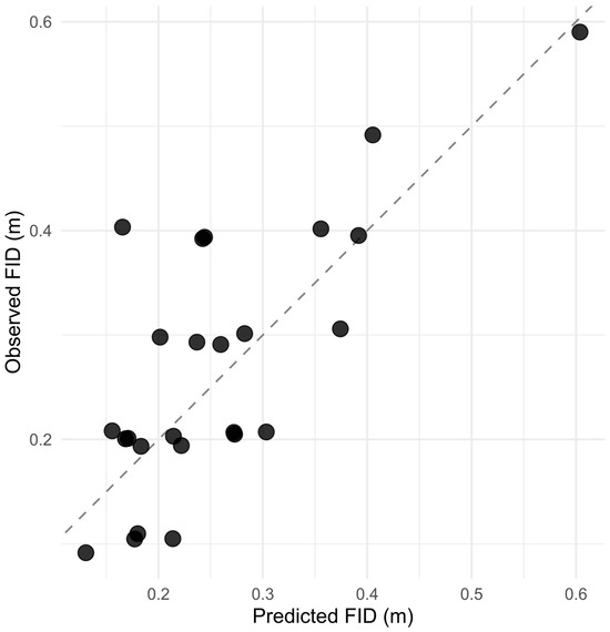
Understanding escape behavior in cryptic and venomous reef fishes is critical for both ecological theory and public safety in coastal environments. We quantified the Flight Initiation Distance (FID) of 65 individual stonefish (Synanceia spp.) across four public beaches in Eilat, Israel, between [...] Read more.
Understanding escape behavior in cryptic and venomous reef fishes is critical for both ecological theory and public safety in coastal environments. We quantified the Flight Initiation Distance (FID) of 65 individual stonefish (Synanceia spp.) across four public beaches in Eilat, Israel, between March and May 2025. Initial Identification Distance (Initial ID) ranged from 0.5 to 3.5 m, whereas FID was consistently short (0.0–0.6 m), with 62% of individuals (n = 40) showing no flight response. Logistic regression revealed that the probability of fleeing was positively predicted by Alert behavior (p = 0.005), while Initial ID and site were not significant. Among individuals that did flee (n = 25), FID remained short and showed no significant spatial variation. A linear model confirmed Alert as the only positive predictor of FID (p = 0.045), while other variables were non-significant. These findings demonstrate that stonefish predominantly rely on crypsis and venom rather than active escape, resulting in minimal or absent flight responses. This lack of FID highlights their unique defensive strategy among reef fishes but also increases the risk of accidental human envenomation in areas of high recreational activity. Monitoring FID patterns may serve as a behavioral indicator of anthropogenic disturbance, while also informing conservation and public safety strategies in urban reef environments. Full article
(This article belongs to the Section Marine Ecology)
Show Figures

Figure 1

16 pages, 8433 KB  
Article
Hi-C Technology Reveals Actionable Gene Fusions and Rearrangements in Diffuse Large B-Cell Lymphoma Unidentified by Conventional FISH
by Sichen Liang, Candice Ament, Melanie Klausner, Victoria Stinnett, Laura Morsberger, Jen Ghabrial, William Middlezong, Anthony D. Schmitt, Alex R. Hastie and Ying S. Zou
Genes 2025, 16(9), 1093; https://doi.org/10.3390/genes16091093 - 16 Sep 2025
Viewed by 339
Abstract
Background/Objectives: Fluorescence in situ hybridization (FISH) is a standard diagnostic tool for detecting gene fusions and rearrangements in lymphomas but is limited by incomplete genomic coverage, dependence on predefined probes, and difficulty identifying atypical or noncanonical fusion partners. These constraints often result in [...] Read more.
Background/Objectives: Fluorescence in situ hybridization (FISH) is a standard diagnostic tool for detecting gene fusions and rearrangements in lymphomas but is limited by incomplete genomic coverage, dependence on predefined probes, and difficulty identifying atypical or noncanonical fusion partners. These constraints often result in inconclusive diagnoses in complex lymphoma cases. This study evaluates a novel Hi-C-based sequencing assay from formalin-fixed paraffin-embedded (FFPE) samples to detect clinically significant gene fusions and rearrangements in cases where conventional FISH was inconclusive or expected biomarkers were not detected. Methods: Five diffuse large B-cell lymphoma cases with previously atypical gene fusions or rearrangements by FISH were analyzed using both standard FISH and a Hi-C-based lymphoma assay. Standard FISH was performed using break-apart probes targeting MYC, BCL2, and BCL6, and dual-fusion probes targeting IGH::MYC and IGH::BCL2. The Hi-C assay utilized high-resolution sequencing of FFPE tissue to map chromatin interactions and identify structural variations across the genome and assessment of their clinical relevance. Results: In this series of five lymphoma cases, Hi-C detected additional structural variants beyond those identified by FISH. It identified typical and atypical translocation partners of key oncogenes (MYC, BCL2, BCL6), cryptic breakpoints, and novel genomic events, including TP53 loss, KMT2A amplification, and complex rearrangements, which were undetectable by FISH. The Hi-C assay’s whole-genome coverage enabled comprehensive profiling. Conclusions: The Hi-C-based lymphoma assay offers a transformative diagnostic tool, overcoming FISH limitations by providing unbiased, high-resolution detection of structural variations. This approach enhances diagnostic accuracy and supports personalized therapeutic strategies in lymphoma management, warranting further validation for clinical adoption. Full article
Show Figures

Figure 1

12 pages, 1086 KB  
Article
First Insights into the Mitochondrial DNA Diversity of the Italian Sea-Slater Across the Strait of Sicily
by Francesco Paolo Faraone, Luca Vecchioni, Arnold Sciberras, Antonella Di Gangi and Alan Deidun
Diversity 2025, 17(9), 622; https://doi.org/10.3390/d17090622 - 4 Sep 2025
Viewed by 503
Abstract
The Strait of Sicily represents a biogeographically rich and complex region. The diverse geological origin and past continental connection of its islands have shaped a highly heterogeneous fauna, mainly composed of both African and European taxa. The Italian sea-slater, Ligia italica (Fabricius, 1798), [...] Read more.
The Strait of Sicily represents a biogeographically rich and complex region. The diverse geological origin and past continental connection of its islands have shaped a highly heterogeneous fauna, mainly composed of both African and European taxa. The Italian sea-slater, Ligia italica (Fabricius, 1798), is a small isopod inhabiting rocky shores of the Mediterranean Sea, Black Sea, and Atlantic Ocean. Despite its wide distribution, the phylogeography of this species is poorly understood, with limited available data suggesting a remarkable level of cryptic diversity. In this study, we investigated the mitochondrial genetic diversity (COX1) of L. italica across nine Italian and Maltese islands across the Strait of Sicily, aiming to clarify the biogeographic patterns underlying the distribution of these insular populations. Our results reveal an unexpectedly high genetic diversity within our study area, with eight different haplogroups, each characterized by low internal genetic variation and mutual distances ranging from 5.5% to 17.9%. These values are comparable to those associated with species-level rank within the genus Ligia. Overall, the phylogenetic relationships between the lineages appear well supported; however, the same relationships are not clearly correlated with geographic proximity or connectivity among the sampled localities. The distribution patterns of some of the detected haplogroups suggest possible passive dispersal mechanisms (e.g., rafting), while others indicate more intricate biogeographic scenarios. The overall diversity of L. italica within the Strait of Sicily, as well as the unclear origin of some insular populations, cannot be fully explained with the current data. In particular, the high genetic structure observed within the Maltese Archipelago, may partially reflect human-mediated dispersal (e.g., maritime transport), possibly involving source populations that remain unsampled or genetically uncharacterized. Our results highlight that the Strait of Sicily can be considered a diversity hot spot for L. italica and support the designation of this taxon as a putative species complex, with a cryptic diversity worthy of an exhaustive taxonomic revision. Full article
(This article belongs to the Special Issue Marine Nearshore Biodiversity—2nd Edition)
Show Figures

Figure 1

20 pages, 364 KB  
Review
CSN1S1 and CSN1S2: Two Remarkable Examples of Genetically Modulated Alternative Splicing via Identification of Allele-Specific Splicing Events
by Gianfranco Cosenza, Andrea Fulgione, Emanuele D’Anza, Sara Albarella, Francesca Ciotola and Alfredo Pauciullo
Genes 2025, 16(9), 1011; https://doi.org/10.3390/genes16091011 - 27 Aug 2025
Viewed by 634
Abstract
Splicing regulatory sequences are cornerstones for exon recognition. Mutations that modify them can severely compromise mRNA maturation and protein production. A wide range of mutations, including SNPs and InDels, can influence splicing regulatory signals either directly (e.g., altering canonical donor and acceptor dinucleotides) [...] Read more.
Splicing regulatory sequences are cornerstones for exon recognition. Mutations that modify them can severely compromise mRNA maturation and protein production. A wide range of mutations, including SNPs and InDels, can influence splicing regulatory signals either directly (e.g., altering canonical donor and acceptor dinucleotides) or indirectly (e.g., creating cryptic splice sites). CSN1S1 and CSN1S2 genes encode for the two main milk proteins, αs1 and αs2 caseins, respectively. They represent a remarkable and unique example of the possibilities for alternative splicing of individual genes, both due to the high number of alternative splices identified to date and for recognized allele-specific splicing events. To date, at least 13 alleles of CSN1S1 originating from mutations that affect canonical splice sites have been described in Bos taurus (CSN1S1 A, A1, and H), Ovis aries (E, H, and I), Capra hircus (D and G), Bubalus bubalis (E, F) and Camelidae (A, C, and D). Similarly, allele-specific splicing events have been described at the CSN1S2 locus in B. taurus. (CSN1S2 D), C. hircus (CSN1S2 D), B. bubalis (CSN1S2 B, B1, and B2), Equus asinus (CSN1S2 I B), and Camelidae. This review highlights that mutations affecting canonical splice sites, particularly donor sites, are significant sources of genetic variation impacting the casein production of the main dairy livestock species. Currently, a key limitation on this topic is the lack of detailed functional and proteomic studies. Future research should leverage advanced omics technologies like long-read transcriptomics and allele-resolved RNA sequencing to characterize these splicing mechanisms, guiding precision breeding strategies. Full article
19 pages, 3672 KB  
Article
Analysis of Fishery Resource Distribution and Seasonal Variations in the East China Sea: Utilizing Trawl Surveys, Environmental DNA, and Scientific Echo Sounders
by Sara Lee, Jung Kwan Lee, Guenchang Park, Wooseok Oh and Kyounghoon Lee
Water 2025, 17(16), 2477; https://doi.org/10.3390/w17162477 - 20 Aug 2025
Viewed by 740
Abstract
Assessing fishery resources is crucial for sustainable marine ecosystem management and the operation of fisheries. This study integrates trawl surveys, environmental DNA (eDNA) analysis, and scientific echo sounder techniques to analyze the fishery resource distribution of and seasonal variations in the East China [...] Read more.
Assessing fishery resources is crucial for sustainable marine ecosystem management and the operation of fisheries. This study integrates trawl surveys, environmental DNA (eDNA) analysis, and scientific echo sounder techniques to analyze the fishery resource distribution of and seasonal variations in the East China Sea. Surveys were conducted in April, July, August, and November 2022, utilizing bottom trawl sampling, eDNA metabarcoding, and acoustic data collection. The results revealed temporal differences in species composition, with crustaceans dominating in terms of abundance and fish species in biomass. The integration of eDNA analysis provided broader species detection, including cryptic and pelagic species, while acoustic techniques enabled large-scale resource assessment. However, discrepancies between methods highlighted the need for methodological refinement. Dominant species exhibited seasonal variation, with Portunus trituberculatus prevailing in spring (April), Trachurus japonicus and Scomber japonicus in summer (July–August), and Pampus argenteus in late autumn (November). A comparative analysis revealed that eDNA is sensitive to pelagic and cryptic species, trawl surveys effectively detect demersal fish, and acoustics allow for broad-scale biomass estimation, highlighting the complementary value of method integration. Full article
(This article belongs to the Section Oceans and Coastal Zones)
Show Figures

Figure 1

17 pages, 7524 KB  
Article
Comparative Cranial and Postcranial Osteology of Blanus Species (Squamata: Amphisbaenia) from Türkiye: Insights from Morphological Evolution and Phylogeny
by Elif Yıldırım Caynak, Kamil Candan, Yusuf Kumlutaş, Çetin Ilgaz, Ahmet Gökay Korkmaz, Emine Beyza Yazar, Eda Şen, Ecem Büşra Hastürk, Sezen Birlik, Esra Akat Çömden and Serkan Gül
Life 2025, 15(8), 1263; https://doi.org/10.3390/life15081263 - 9 Aug 2025
Viewed by 581
Abstract
The genus Blanus (Amphisbaenia: Blanidae) comprises fossorial, limbless reptiles with cryptic external morphology, making species delimitation particularly challenging. This study presents a comprehensive comparative osteological and geometric morphometric investigation of three Blanus species distributed in Türkiye—B. alexandri, B. aporus, and [...] Read more.
The genus Blanus (Amphisbaenia: Blanidae) comprises fossorial, limbless reptiles with cryptic external morphology, making species delimitation particularly challenging. This study presents a comprehensive comparative osteological and geometric morphometric investigation of three Blanus species distributed in Türkiye—B. alexandri, B. aporus, and B. strauchi. Using both dry and cleared-and-stained specimens, diagnostic variations in cranial and postcranial skeletal elements, especially elements within the nasal, maxilla, vomer, squamosal, dentary, and coronoid bones, as well as vertebral counts were identified. A geometric morphometric analysis of the dorsal and ventral cranial morphology revealed distinct shape differences, particularly separating B. alexandri from the other two species along principal component axes. A phylogenetic analysis based on 45 discrete osteological characters supported the monophyly of the eastern Blanus clade, with B. alexandri forming a distinct lineage from B. aporus and B. strauchi. These findings emphasize the significance of skeletal morphology for resolving phylogenetic relationships and highlight the role of osteological characters in refining species boundaries within cryptic reptilian taxa. The integrative approach employed here underscores the evolutionary distinctiveness of Anatolian Blanus and enhances our understanding of morphological evolution in amphisbaenians. Full article
(This article belongs to the Special Issue Feature Papers in Animal Science: 4th Edition)
Show Figures

Figure 1

18 pages, 7210 KB  
Article
Species Delimitation Methods Facilitate the Identification of Cryptic Species Within the Broadly Distributed Species in Homoeocerus (Tliponius) (Insecta: Hemiptera: Coreidae)
by Jingyu Liang, Shujing Wang, Jingyao Zhang, Juhong Chen, Siying Fu, Zhen Ye, Huai-Jun Xue, Yanfei Li and Wenjun Bu
Insects 2025, 16(8), 797; https://doi.org/10.3390/insects16080797 - 1 Aug 2025
Cited by 1 | Viewed by 677
Abstract
Widespread species may exhibit considerable genetic variation among populations due to their extensive distribution ranges, and may even give rise to new species in remote areas. Integrative species delimitation via multiple types can provide a robust framework for accurate species identification and rapid [...] Read more.
Widespread species may exhibit considerable genetic variation among populations due to their extensive distribution ranges, and may even give rise to new species in remote areas. Integrative species delimitation via multiple types can provide a robust framework for accurate species identification and rapid discovery of cryptic diversity. The subgenus Tliponius (Hemiptera: Coreidae: Homoeocerus) has several species and three broadly distributed species across China. In this study, we selected as many geographical sample sites of widely distributed species as possible and conducted species identification based on integrated taxonomy of morphological, mitochondrial and SNP data for 28 individuals within Tliponius. Our results revealed a cryptic lineage previously subsumed under the polytypic H. unipunctatus in Yunnan Province and described as Homoeocerus (Tliponius) dianensis Liang, Li & Bu sp. nov. The presence of seven distinct species within Tliponius was supported by species delimitation and divided into two clades: (H. dilatatus + (H. marginellus + (H. unipunctatus + H. dianensis sp. nov.))) and (H. yunnanensis + (H. laevilineus + H. marginiventris). Based on our findings, extensive sampling of widespread species is highly important for the accuracy of species delimitation and the discovery of cryptic species. Full article
(This article belongs to the Special Issue Revival of a Prominent Taxonomy of Insects)
Show Figures

Figure 1

24 pages, 5785 KB  
Article
Phylogenetic Reassessment of Murinae Inferred from the Mitogenome of the Monotypic Genus Dacnomys Endemic to Southeast Asia: New Insights into Genetic Diversity Erosion
by Zhongsong Wang, Di Zhao, Wenyu Song and Wenge Dong
Biology 2025, 14(8), 948; https://doi.org/10.3390/biology14080948 - 28 Jul 2025
Viewed by 564
Abstract
The Millard’s rat (Dacnomys millardi), a threatened murid endemic to Southeast Asian montane rainforests and the sole member of its monotypic genus, faces escalating endangered risks as a Near Threatened species in China’s Biodiversity Red List. This ecologically specialized rodent exhibits [...] Read more.
The Millard’s rat (Dacnomys millardi), a threatened murid endemic to Southeast Asian montane rainforests and the sole member of its monotypic genus, faces escalating endangered risks as a Near Threatened species in China’s Biodiversity Red List. This ecologically specialized rodent exhibits diagnostic morphological adaptations—hypertrophied upper molars and cryptic pelage—that underpin niche differentiation in undisturbed tropical/subtropical forests. Despite its evolutionary distinctiveness, the conservation prioritization given to Dacnomys is hindered due to a deficiency of data and unresolved phylogenetic relationships. Here, we integrated morphological analyses with the first complete mitogenome (16,289 bp in size; no structural rearrangements) of D. millardi to validate its phylogenetic placement within the subfamily Murinae and provide novel insights into genetic diversity erosion. Bayesian and maximum likelihood phylogenies robustly supported Dacnomys as sister to Leopoldamys (PP = 1.0; BS = 100%), with an early Pliocene divergence (~4.8 Mya, 95% HPD: 3.65–5.47 Mya). Additionally, based on its basal phylogenetic position within Murinae, we propose reclassifying Micromys from Rattini to the tribe Micromyini. Codon usage bias analyses revealed pervasive purifying selection (Ka/Ks < 1), constraining mitogenome evolution. Genetic diversity analyses showed low genetic variation (CYTB: π = 0.0135 ± 0.0023; COX1: π = 0.0101 ± 0.0025) in fragmented populations. We propose three new insights into this genetic diversity erosion. (1) Evolutionary constraints: genome-wide evolutionary conservation and shallow evolutionary history (~4.8 Mya) limited mutation accumulation. (2) Anthropogenic pressures: deforestation-driven fragmentation of habitats (>20,000 km2/year loss since 2000) has reduced effective population size, exacerbating genetic drift. (3) Ecological specialization: long-term adaptation to stable niches favored genomic optimization over adaptive flexibility. These findings necessitate suitable conservation action by enforcing protection of core habitats to prevent deforestation-driven population collapses and advocating IUCN reclassification of D. millardi from Data Deficient to Near Threatened. Full article
(This article belongs to the Section Genetics and Genomics)
Show Figures

Figure 1

22 pages, 11955 KB  
Article
Coronitic Associations at Gabrish in the Kovdozero Layered Complex in the Southern Part of the Lapland—Belomorian Belt, Kola Peninsula, Russia
by Andrei Y. Barkov, Robert F. Martin, Larisa P. Barkova and Vladimir N. Korolyuk
Minerals 2025, 15(6), 565; https://doi.org/10.3390/min15060565 - 26 May 2025
Viewed by 480
Abstract
The Paleoproterozoic Kovdozero complex, one of largest in the Fennoscandian Shield, was emplaced in a peripheral region of the SB–TB–LBB (Serpentinite Belt–Tulppio Belt–Lapland–Belomorian Belt) megastructure. Coronitic rocks of ultrabasic–basic compositions, investigated along a cross-section in the Gabrish area, are members of a cryptically [...] Read more.
The Paleoproterozoic Kovdozero complex, one of largest in the Fennoscandian Shield, was emplaced in a peripheral region of the SB–TB–LBB (Serpentinite Belt–Tulppio Belt–Lapland–Belomorian Belt) megastructure. Coronitic rocks of ultrabasic–basic compositions, investigated along a cross-section in the Gabrish area, are members of a cryptically layered series. They crystallized from the northern margin inward, as indicated by variations in mineral compositions and geochemical trends. Unsteady conditions of crystallization arose because of uneven cooling of the shallowly emplaced complex. Rapid drops in temperature likely caused the forced deposition of different generations of variously textured pyroxenes and chromian spinel or resulted in the unique development of narrow recurrent rims of orthopyroxene hosted by olivine. The unstable conditions of crystallization are expressed by (1) textural diversity, (2) broad variations in values of Mg#, and (3) virtual presence of double trends of Mg# as a function of distance. The coronitic textures are intimately associated with interstitial grains of plagioclase (An≤65), also present as relics in a rim of calcic amphibole. The coronas are results of (1) rapid cooling leading to unsteady conditions of crystallization, which caused the sudden cessation of olivine crystallization and the development of an orthopyroxene rim on olivine and (2) an intrinsic enrichment in H2O (and essential Cl in scapolite) coupled with a progressive accumulation of Al and alkalis, giving rise to fluid-rich environments in the intercumulus melt at advances stages of crystallization. These processes were followed by deuteric composite rims of calcic amphibole and reaction of fluid with early rims or grains of pyroxenes and late plagioclase. The coronitic sequences Ol → Opx → Cpx → calcic Amp → Pl (plus Qz + Mca) observed at a microscopic scale reproduce, in miniature, the normal order of crystallization in an ultrabasic–basic complex. A composite orthopyroxene + calcic amphibole corona resembles some rocks in complexes of the Serpentinite Belt. The prominence of such coronas may well be characteristic of the crystallization of komatiite-derived melts. Full article
Show Figures

Figure 1

44 pages, 28729 KB  
Article
Morphological Variability amid Genetic Homogeneity and Vice Versa: A Complicated Case with Humidophila (Bacillariophyceae) from Tropical Forest Soils of Vietnam with the Description of Four New Species
by Elena Kezlya, Anton Glushchenko, Yevhen Maltsev, Sergei Genkal, Natalia Tseplik and Maxim Kulikovskiy
Plants 2025, 14(7), 1069; https://doi.org/10.3390/plants14071069 - 31 Mar 2025
Viewed by 501
Abstract
A total of 18 Humidophila strains isolated from soil samples from Cát Tiên National Park have been studied. Based on morphometric analysis and molecular data for the V4 18S rDNA and rbcL regions, we proposed the presence of four new species: H. [...] Read more.
A total of 18 Humidophila strains isolated from soil samples from Cát Tiên National Park have been studied. Based on morphometric analysis and molecular data for the V4 18S rDNA and rbcL regions, we proposed the presence of four new species: H. vietnamica, H. paravietnamica, H. cattiensis, and H. concava. This is the first study that provides molecular data for such a large number of Humidophila strains. Furthermore, we encountered some Humidophila strains with clear morphological differences (which we assigned to several morphotypes) that cannot be separated using the selected genetic markers and cannot be attributed to phenotypic variations in one species; these require further study of their genetic structure. We also observed the opposite case, where in the absence of morphological differences, clear genetic differentiation is shown, which demonstrates the presence of cryptic taxa in our sample. The maximum differences for these strains were observed in the V4 18S rDNA region. Our results show that the effectiveness of commonly used genetic markers V4 18S rDNA and rbcL for separating species can vary greatly. Our study highlights the need to research different genetic markers and their use for proper species separation, as well as the genetic diversity of diatoms, and the need for further studies of intra- and interspecific genetic distances. Full article
(This article belongs to the Section Plant Systematics, Taxonomy, Nomenclature and Classification)
Show Figures

Graphical abstract

15 pages, 5432 KB  
Article
Exploring the Genetic Diversity of the Jewel Beetles Sternocera aequisignata Saunders, 1866, and S. ruficornis Saunders, 1866 (Coleoptera: Buprestidae) in Thailand and Lao PDR
by Anisanee Thaenasa, Nakorn Pradit, Warayutt Pilap, Chavanut Jaroenchaiwattanachote, Komgrit Wongpakam, Khamla Inkhavilay, Jatupon Saijuntha, Wittaya Tawong, Warong Suksavate, Chairat Tantrawatpan and Weerachai Saijuntha
Insects 2025, 16(3), 322; https://doi.org/10.3390/insects16030322 - 19 Mar 2025
Cited by 2 | Viewed by 1201
Abstract
Jewel beetles of the genus Sternocera are widely distributed across tropical regions, including Thailand and Lao PDR, where the green-legged S. aequisignata Saunders, 1866, and red-legged S. ruficornis Saunders, 1866, are commonly found. These jewel beetles have significant economic importance, as they are [...] Read more.
Jewel beetles of the genus Sternocera are widely distributed across tropical regions, including Thailand and Lao PDR, where the green-legged S. aequisignata Saunders, 1866, and red-legged S. ruficornis Saunders, 1866, are commonly found. These jewel beetles have significant economic importance, as they are edible, and their iridescent wings are used to create jewelry, leading to high market demand and intensive harvesting. Additionally, their habitats are being rapidly destroyed, resulting in population decline. However, genetic information on these species remains limited. This study aims to investigate the genetic diversity of S. aequisignata and S. ruficornis from various localities in Thailand and Lao PDR using mitochondrial cytochrome c oxidase subunit 1 (CO1) and 16S ribosomal DNA (16S rDNA) sequences. High genetic diversity was observed, with 45 and 62 CO1 haplotypes and 35 and 28 16S rDNA haplotypes identified in S. aequisignata and S. ruficornis populations, respectively. Haplotype network and phylogenetic analyses clearly distinguish S. aequisignata from S. ruficornis. Based on CO1 sequences, S. aequisignata was divided into three distinct haplogroups (GG1–GG3). Haplogroup GG1 was the most widespread, occurring in both Thailand and Lao PDR, while haplogroups GG2 and GG3 were restricted to some localities in northern, western, and northeastern Thailand, as well as Lao PDR. These findings suggest the presence of cryptic diversity within S. aequisignata, with at least three genetically distinct groups. Further comprehensive studies on the biology, ecology, and genetic diversity of these jewel beetles across their distribution range are essential to better understand their evolutionary dynamics. Full article
(This article belongs to the Special Issue Genetic Diversity of Insects)
Show Figures

Figure 1

24 pages, 6971 KB  
Article
Uncovering the Evolutionary History in Lineage of Caribbean Octocorals: Phylogenomics Reveals Unrecognized Diversity in Eunicea
by Adriana Sarmiento, Iván Calixto-Botía, Tatiana Julio-Rodríguez, Andrea M. Quattrini and Juan A. Sánchez
Diversity 2025, 17(3), 173; https://doi.org/10.3390/d17030173 - 27 Feb 2025
Viewed by 1504
Abstract
The evolutionary history of the Caribbean candelabrum octocorals from the genus Eunicea (Plexauridae: Octocorallia) remains unknown despite their high diversity and abundance in reef environments. Understanding the evolutionary relationships between and within the Eunicea species is critical to accurately measuring the group diversity. [...] Read more.
The evolutionary history of the Caribbean candelabrum octocorals from the genus Eunicea (Plexauridae: Octocorallia) remains unknown despite their high diversity and abundance in reef environments. Understanding the evolutionary relationships between and within the Eunicea species is critical to accurately measuring the group diversity. Furthermore, this group has a high potential for cryptic diversity and new species, particularly given the rich morphological variability. Conventional molecular markers, however, have not provided a precise positioning for the species inside the genus. Here, we provide the first phylogenomic reconstruction of these candelabrum octocorals employing NextRAD, a reduced-representation sequencing technique, to generate thousands of SNPs. We include 15 morphospecies sampled between valid and new species throughout the Caribbean. At large, the phylogeny is well supported and resolved. In total, 13 species-level clades are discernible, including two lineages with demonstrated genetic and morphological variation that are considered and described as two new species, Eunicea criptica sp. nov. and E. colombiensis sp. nov., both previously assigned as E. clavigera and the second as the “thick morphotype”, thereby increasing the diversity of the group. Understanding the magnitude of species diversity within Eunicea is essential for directing conservation initiatives and clarifying the biological processes in reef ecosystems. Full article
(This article belongs to the Section Marine Diversity)
Show Figures

Graphical abstract

24 pages, 3748 KB  
Article
High-Throughput Sequencing Enables Rapid Analyses of Nematode Mitochondrial Genomes from an Environmental Sample
by Akshita Jain, Tongda Li, John Wainer, Jacqueline Edwards, Brendan C. Rodoni and Timothy I. Sawbridge
Pathogens 2025, 14(3), 234; https://doi.org/10.3390/pathogens14030234 - 27 Feb 2025
Cited by 1 | Viewed by 1460
Abstract
Mitochondrial genomes serve as essential tools in evolutionary biology, phylogenetics, and population genetics due to their maternal inheritance, lack of recombination, and conserved structure. Traditional morphological methods for identifying nematodes are often insufficient for distinguishing cryptic species complexes. This study highlights recent advancements [...] Read more.
Mitochondrial genomes serve as essential tools in evolutionary biology, phylogenetics, and population genetics due to their maternal inheritance, lack of recombination, and conserved structure. Traditional morphological methods for identifying nematodes are often insufficient for distinguishing cryptic species complexes. This study highlights recent advancements in nematode mitochondrial genome research, particularly the impact of long-read sequencing technologies such as Oxford Nanopore. These technologies have facilitated the assembly of mitochondrial genomes from mixed soil samples, overcoming challenges associated with designing specific primers for long PCR amplification across different groups of parasitic nematodes. In this study, we successfully recovered and assembled eleven nematode mitochondrial genomes using long-read sequencing, including those of two plant-parasitic nematode species. Notably, we detected Heterodera cruciferae in Victoria, expanding its known geographic range within Australia. Additionally, short-read sequencing data from a previous draft genome study revealed the presence of the mitochondrial genome of Heterodera filipjevi. Comparative analyses of Heterodera mitogenomes revealed conserved protein-coding genes essential for oxidative phosphorylation, as well as gene rearrangements and variations in transfer RNA placement, which may reflect adaptations to parasitic lifestyles. The consistently high A+T content and strand asymmetry observed across species align with trends reported in related genera. This study demonstrates the utility of long-read sequencing for identifying coexisting nematode species in agricultural fields, providing a rapid, accurate, and comprehensive alternative to traditional diagnostic methods. By incorporating non-target endemic species into public databases, this approach enhances biodiversity records and informs biosecurity strategies. These findings reinforce the potential of mitochondrial genomics to strengthen Australia’s as well as the global biosecurity framework against plant-parasitic nematode threats. Full article
Show Figures

Figure 1

16 pages, 3137 KB  
Article
Digging in Deep: Size and Site-Specific Variation in Burrow Morphology and Behaviour of the Mud Shrimp, Trypaea australiensis Dana, 1852
by Renae L. Kirby and Marian Y. L. Wong
J. Mar. Sci. Eng. 2025, 13(3), 432; https://doi.org/10.3390/jmse13030432 - 25 Feb 2025
Viewed by 735
Abstract
The importance of habitats, particularly burrows, for intertidal crustaceans is multifaceted. These habitats provide crucial shelter, food sources, and reproductive advantages that are essential for enhancing survival and fitness. However, maintaining these habitats can be costly, influencing whether individuals adapt to or relocate [...] Read more.
The importance of habitats, particularly burrows, for intertidal crustaceans is multifaceted. These habitats provide crucial shelter, food sources, and reproductive advantages that are essential for enhancing survival and fitness. However, maintaining these habitats can be costly, influencing whether individuals adapt to or relocate under changing environments. Burrowing mud shrimp present challenges when it comes to studying their behaviours and burrow morphology, owing to their cryptic lifestyle. In this study, we investigated burrow morphology and burrowing behaviour in the mud shrimp, Trypaea australiensis, to better understand the importance of burrows for these organisms. Firstly, we quantified burrow morphology in situ using resin casts and 3D imagery at two locations. Secondly, we examined shrimp burrowing behaviour in custom-made aquarium cuvettes in the laboratory. Resin casts showed that burrows at Shoalhaven Heads exhibited larger burrows with greater variation in the length of burrow measurements compared to burrows at Port Hacking. Laboratory observations of burrowing behaviour demonstrated that shrimp dedicate a large proportion of time to maintaining the structure of their burrows, irrespective of time of day or shrimp sex. Differences were observed between size categories, where smaller individuals were observed sitting significantly more and ventilating significantly less compared to larger individuals. Overall, our study provides a quantitative insight into the importance of burrow habitats and provides the first insights into burrowing behaviour and burrow structure for this endemic ecosystem engineer. Full article
(This article belongs to the Special Issue Evolution and Ecology of Crustaceans and Their Applications)
Show Figures

Figure 1

17 pages, 2352 KB  
Article
Characterization of the Complete Mitochondrial Genome of Dwarf Form of Purpleback Flying Squid (Sthenoteuthis oualaniensis) and Phylogenetic Analysis of the Family Ommastrephidae
by Wenjuan Duo, Lei Xu, Mohd Johari Mohd Yusof, Yingmin Wang, Seng Beng Ng and Feiyan Du
Genes 2025, 16(2), 226; https://doi.org/10.3390/genes16020226 - 15 Feb 2025
Viewed by 928
Abstract
Background: The Ommastrephidae family of cephalopods is important in marine ecosystems as both predators and prey. Species such as Todarodes pacificus, Illex argentinus, and Dosidicus gigas are economically valuable but are threatened by overfishing and environmental changes. The genus Sthenoteuthis, [...] Read more.
Background: The Ommastrephidae family of cephalopods is important in marine ecosystems as both predators and prey. Species such as Todarodes pacificus, Illex argentinus, and Dosidicus gigas are economically valuable but are threatened by overfishing and environmental changes. The genus Sthenoteuthis, especially S. oualaniensis, shows significant morphological and genetic variation, including medium-sized and dwarf forms found in the South China Sea. Methods: Specimens of S. oualaniensis were collected from the South China Sea, their genomic DNA sequenced, and phylogenetic relationships analyzed using mitochondrial genomes from various Ommastrephidae species. Results: The study presents the complete mitochondrial genome of the dwarf form of S. oualaniensis (20,320 bp) and compares it with the medium-sized form, revealing a typical vertebrate structure with 13 protein-coding genes, 21 tRNA genes, and 2 rRNA genes, along with a strong AT bias. Nucleotide composition analysis shows a 12% genetic divergence between the two forms, suggesting a recent common ancestor and potential cryptic speciation, with all protein-coding genes exhibiting purifying selection based on Ka/Ks ratios below 1. Conclusions: The mitochondrial genome of the dwarf form of S. oualaniensis shows a close evolutionary relationship with the medium-sized form and a 12% genetic divergence, suggesting potential cryptic speciation. These findings underscore the importance of mitochondrial analysis in understanding speciation and guiding future conservation efforts. Full article
Show Figures

Figure 1

Back to TopTop