Sign in to use this feature.

Years

Between: -

Subjects

remove_circle_outline
remove_circle_outline
remove_circle_outline
remove_circle_outline
remove_circle_outline

Journals

Article Types

Countries / Regions

Search Results (18)

Search Parameters:
Keywords = crosslinked PTFE

Order results
Result details
Results per page
Select all
Export citation of selected articles as:
12 pages, 2554 KB  
Article
Rubber-like PTFE Thin Coatings Deposited by Pulsed Electron Beam Deposition (PED) Method
by Agata Niemczyk, Roman Jędrzejewski, Joanna Piwowarczyk and Jolanta Baranowska
Polymers 2024, 16(9), 1205; https://doi.org/10.3390/polym16091205 - 25 Apr 2024
Cited by 3 | Viewed by 2359
Abstract
PTFE coatings were manufactured using the pulsed electron beam deposition (PED) technique and deposited on Si substrates. The deposition was carried out at constant parameters: temperature 24 °C, discharge voltages 12 kV, and 5000 electron pulses with a pulse frequency of 5 Hz. [...] Read more.
PTFE coatings were manufactured using the pulsed electron beam deposition (PED) technique and deposited on Si substrates. The deposition was carried out at constant parameters: temperature 24 °C, discharge voltages 12 kV, and 5000 electron pulses with a pulse frequency of 5 Hz. Nitrogen was used as the background gas. The gas pressure varied from 3 to 11 mTorr. The coating adhesion was evaluated using micro scratch testing and the residual scratch morphology was characterized by atomic force microscopy. Detailed studies of the chemical and physical structure were conducted using infrared spectroscopy and X-ray diffraction. These analyses were then correlated with the mechanical response of the coatings observed during the scratch tests. Drawing upon a review of the literature concerning energetic beam interactions with PTFE material, hypotheses were posed to explain why only specific conditions of the PED process yielded PTFE coatings with rubber-like properties. Full article
(This article belongs to the Special Issue Advanced Polymeric Films II)
Show Figures

Figure 1

9 pages, 6642 KB  
Article
Properties of Superhydrophobic and Acid–Alkali-Resistant Polyester Fabric Produced Using Plasma Processing
by Bing Zhao, Liyun Xu, Panpan Lin, Hua Zhang, Xiangyu He, Tao Ji and Yu Zhang
Coatings 2023, 13(12), 2007; https://doi.org/10.3390/coatings13122007 - 26 Nov 2023
Cited by 6 | Viewed by 2810
Abstract
During the processes of production, storage, transportation and use of hazardous chemicals, acid–alkali corrosive liquid spatter and leakage would cause serious casualties. In order to protect the lives and health of staff, the surface of fabrics should be treated to obtain hydrophobicity and [...] Read more.
During the processes of production, storage, transportation and use of hazardous chemicals, acid–alkali corrosive liquid spatter and leakage would cause serious casualties. In order to protect the lives and health of staff, the surface of fabrics should be treated to obtain hydrophobicity and acid–alkali resistance. In this paper, polyester fabric was used as the base cloth, and polydimethylsiloxane (PDMS) and polytetrafluoroethylene (PTFE) micro-powder were used as the functional materials to fabricate waterproof and breathable fabric with good acid–alkali resistance using a method of plasma pretreatment-impregnation- and plasma-induced crosslinking. The effects of PDMS, PTFE powder and plasma-induced crosslinking on the surface and physical and chemical properties of fabric were investigated. It was found that the use of PDMS and PTFE powder had little effect on the mechanical and wearing comfort properties. However, it could significantly improve the acid–alkali resistance, as the liquid repellent rate of the treated fabric surface was higher than 80%, and the penetration index was lower than 2%. Full article
Show Figures

Figure 1

19 pages, 5213 KB  
Article
Efficient Pervaporation for Ethanol Dehydration: Ultrasonic Spraying Preparation of Polyvinyl Alcohol (PVA)/Ti3C2Tx Nanosheet Mixed Matrix Membranes
by Huijuan Tong, Qiao Liu, Nong Xu, Qing Wang, Long Fan, Qiang Dong and Aiqin Ding
Membranes 2023, 13(4), 430; https://doi.org/10.3390/membranes13040430 - 13 Apr 2023
Cited by 9 | Viewed by 4298
Abstract
Polyvinyl alcohol (PVA) pervaporation (PV) membranes have been extensively studied in the field of ethanol dehydration. The incorporation of two-dimensional (2D) nanomaterials into the PVA matrix can greatly improve the hydrophilicity of the PVA polymer matrix, thereby enhancing its PV performance. In this [...] Read more.
Polyvinyl alcohol (PVA) pervaporation (PV) membranes have been extensively studied in the field of ethanol dehydration. The incorporation of two-dimensional (2D) nanomaterials into the PVA matrix can greatly improve the hydrophilicity of the PVA polymer matrix, thereby enhancing its PV performance. In this work, self-made MXene (Ti3C2Tx-based) nanosheets were dispersed in the PVA polymer matrix, and the composite membranes were fabricated by homemade ultrasonic spraying equipment with poly(tetrafluoroethylene) (PTFE) electrospun nanofibrous membrane as support. Due to the gentle coating of ultrasonic spraying and following continuous steps of drying and thermal crosslinking, a thin (~1.5 μm), homogenous and defect-free PVA-based separation layer was fabricated on the PTFE support. The prepared rolls of the PVA composite membranes were investigated systematically. The PV performance of the membrane was significantly improved by increasing the solubility and diffusion rate of the membranes to the water molecules through the hydrophilic channels constructed by the MXene nanosheets in the membrane matrix. The water flux and separation factor of the PVA/MXene mixed matrix membrane (MMM) were dramatically increased to 1.21 kg·m−2·h−1 and 1126.8, respectively. With high mechanical strength and structural stability, the prepared PGM-0 membrane suffered 300 h of the PV test without any performance degradation. Considering the promising results, it is likely that the membrane would improve the efficiency of the PV process and reduce energy consumption in the ethanol dehydration. Full article
Show Figures

Figure 1

33 pages, 5715 KB  
Review
Barrier Membranes for Guided Bone Regeneration (GBR): A Focus on Recent Advances in Collagen Membranes
by Yanru Ren, Lu Fan, Said Alkildani, Luo Liu, Steffen Emmert, Stevo Najman, Denis Rimashevskiy, Reinhard Schnettler, Ole Jung, Xin Xiong and Mike Barbeck
Int. J. Mol. Sci. 2022, 23(23), 14987; https://doi.org/10.3390/ijms232314987 - 29 Nov 2022
Cited by 149 | Viewed by 17449
Abstract
Guided bone regeneration (GBR) has become a clinically standard modality for the treatment of localized jawbone defects. Barrier membranes play an important role in this process by preventing soft tissue invasion outgoing from the mucosa and creating an underlying space to support bone [...] Read more.
Guided bone regeneration (GBR) has become a clinically standard modality for the treatment of localized jawbone defects. Barrier membranes play an important role in this process by preventing soft tissue invasion outgoing from the mucosa and creating an underlying space to support bone growth. Different membrane types provide different biological mechanisms due to their different origins, preparation methods and structures. Among them, collagen membranes have attracted great interest due to their excellent biological properties and desired bone regeneration results to non-absorbable membranes even without a second surgery for removal. This work provides a comparative summary of common barrier membranes used in GBR, focusing on recent advances in collagen membranes and their biological mechanisms. In conclusion, the review article highlights the biological and regenerative properties of currently available barrier membranes with a particular focus on bioresorbable collagen-based materials. In addition, the advantages and disadvantages of these biomaterials are highlighted, and possible improvements for future material developments are summarized. Full article
(This article belongs to the Special Issue Biomaterials for Bone Tissue Engineering 3.0)
Show Figures

Figure 1

10 pages, 2639 KB  
Article
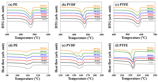
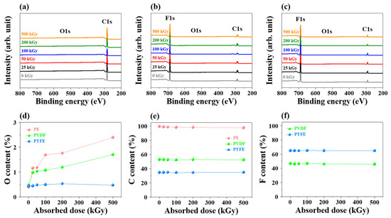
A Comparative Study of Gamma-Ray Irradiation-Induced Oxidation: Polyethylene, Poly (Vinylidene Fluoride), and Polytetrafluoroethylene
by Ha-Eun Shim, Byoung-Min Lee, Dae-Hee Lim, You-Ree Nam, Pyung-Seok Choi and Hui-Jeong Gwon
Polymers 2022, 14(21), 4570; https://doi.org/10.3390/polym14214570 - 28 Oct 2022
Cited by 12 | Viewed by 3789
Abstract
Radiation techniques are used to modify the physical, chemical and biological properties of polymers. This induces crosslinking and degradation reactions of polymers by utilizing radicals generated through ionizing radiation. However, oxidation products (such as carbonyl) can be formed because oxidation occurs by chain [...] Read more.
Radiation techniques are used to modify the physical, chemical and biological properties of polymers. This induces crosslinking and degradation reactions of polymers by utilizing radicals generated through ionizing radiation. However, oxidation products (such as carbonyl) can be formed because oxidation occurs by chain scission in the presence of oxygen. Herein, we demonstrate the gamma-ray irradiation-induced oxidation with and without fluorine using polyethylene, polyvinylidene fluoride and polytetrafluoroethylene under the same conditions. In this study, changes in element-content and chemical-bond structures were analyzed before and after gamma-ray irradiation under air atmosphere. As a result, polytetrafluo-roethylene showed less oxidation and excellent thermal properties after the absorbed dose of 500 kGy. This can be attributed to the generation of stable perfluoroalkylperoxy radicals after gamma ray irradiation in the PTFE structure containing only CF2 groups, thereby hindering the oxidation reaction. Full article
(This article belongs to the Section Polymer Chemistry)
Show Figures

Figure 1

12 pages, 3735 KB  
Article
Thin-Film Composite Membranes with a Carbon Nanotube Interlayer for Organic Solvent Nanofiltration
by Mingjia Liao, Yun Zhu, Genghao Gong and Lei Qiao
Membranes 2022, 12(8), 817; https://doi.org/10.3390/membranes12080817 - 22 Aug 2022
Cited by 17 | Viewed by 3652
Abstract
Compared to the traditional chemical-crosslinking-based polymer, the porous polytetrafluoroethylene (PTFE) substrate is considered to be an excellent support for the fabrication of thin-film composite (TFC) organic solvent nanofiltration (OSN) membranes. However, the low surface energy and chemical inertness of PTFE membranes presented major [...] Read more.
Compared to the traditional chemical-crosslinking-based polymer, the porous polytetrafluoroethylene (PTFE) substrate is considered to be an excellent support for the fabrication of thin-film composite (TFC) organic solvent nanofiltration (OSN) membranes. However, the low surface energy and chemical inertness of PTFE membranes presented major challenges for fabricating a polyamide active layer on its surface via interfacial polymerization (IP). In this study, a triple-layered TFC OSN membrane was fabricated via IP, which consisted of a PA top layer on a carbon nanotube (CNT) interlayer covering the macroporous PTFE substrate. The defect-free formation and cross-linking degree of the PA layer can be improved by controlling the CNT deposition amount to achieve a good OSN performance. This new TFC OSN membrane exhibited a high dye rejection (the rejection of Bright blue B > 97%) and a moderate and stable methanol permeated flux of approximately 8.0 L m−2 h−1 bar−1. Moreover, this TFC OSN membrane also exhibited an excellent solvent resistance to various organic solvents and long-term stability during a continuous OSN process. Full article
Show Figures

Figure 1

14 pages, 3869 KB  
Article
Properties and Fabrication of Waterborne Polyurethane Superhydrophobic Conductive Composites with Coupling Agent-Modified Fillers
by Fangfang Wang, Jihao Ci and Jiang Fan
Polymers 2022, 14(15), 3093; https://doi.org/10.3390/polym14153093 - 29 Jul 2022
Cited by 4 | Viewed by 2673
Abstract
The addition of abundant fillers to obtain conductive and superhydrophobic waterborne polyurethane (WPU) composites generally results in increased interfaces in the composites, leading to reduced adhesion and poor corrosion resistance. Fillers such as Polytetrafluoroethylene (PTFE) and multi-walled carbon nanotubes (MWCNTs) were first treated [...] Read more.
The addition of abundant fillers to obtain conductive and superhydrophobic waterborne polyurethane (WPU) composites generally results in increased interfaces in the composites, leading to reduced adhesion and poor corrosion resistance. Fillers such as Polytetrafluoroethylene (PTFE) and multi-walled carbon nanotubes (MWCNTs) were first treated by a coupling agent to reduce the contents of the fillers. Thus, in this work, WPU superhydrophobic conductive composites were prepared using electrostatic spraying (EsS). The polar groups (-OH and -COOH, etc.) on the WPU, PTFE, and MWCNTs were reacted with the coupling agent, making the WPU, PTFE, and MWCNTs become crosslinked together. Thus, the uniformity of the coating was improved and its curing interfaces were reduced, causing enhanced corrosion resistance. The dehydration reaction that occurred between the silane coupling agent and the polar surface of Fe formed -NH2 groups, increasing the adhesion of the coating to the steel substrate and then solving the problems of low adhesion, easy delamination, and exfoliation. With the increased content of the modified fillers, the conductivity and hydrophobic property of the composite were amplified, and its corrosion resistance and adhesion were first strengthened and then declined. The composite with the WPU, PTFE, MWCNTs, and KH-550 at a mass ratio of 7:1.5:0.1:0.032 held excellent properties; its volume resistivity and WCA were 1.5 × 104 Ω·cm and 155°, respectively. Compared with the pure WPU coating, its adhesive and anticorrosive properties were both better. This provides a foundation for the fabrication and application of anticorrosive and conductive waterborne composites. Full article
Show Figures

Figure 1

16 pages, 4574 KB  
Article
Cross-Linking Combined with Surfactant Bilayer Assembly Enhances the Hydrophilic and Antifouling Properties of PTFE Microfiltration Membranes
by Shijie Xu, Wenzhong Ma, Haicun Yang, Zheng Cao, Fanghong Gong and Chunlin Liu
Separations 2022, 9(1), 2; https://doi.org/10.3390/separations9010002 - 22 Dec 2021
Cited by 10 | Viewed by 4653
Abstract
The inherent strong hydrophobicity of Polytetrafluoroetylene (PTFE) microfiltration membranes results in low separation efficiency and easy contamination. In order to enhance its hydrophilic and antifouling properties, we first modified the PTFE microfiltration membrane by using Polyethylene glycol laurate (PEGML) for first layer deposition [...] Read more.
The inherent strong hydrophobicity of Polytetrafluoroetylene (PTFE) microfiltration membranes results in low separation efficiency and easy contamination. In order to enhance its hydrophilic and antifouling properties, we first modified the PTFE microfiltration membrane by using Polyethylene glycol laurate (PEGML) for first layer deposition and then used Polyvinyl alcohol (PVA)/citric acid (CA) cross-linked coatings for second layer deposition. The Scanning Electron Microscope (SEM) results showed that the fibers and nodes of the modified PTFE microfiltration membrane were coated with PVA/CA hydrophilic coating. FT-IR Spectromete and X-ray photoelectron spectrometer (XPS) analysis results confirmed that crosslinking of PVA and CA occurred and that PEGML and PVA/CA were successfully deposited onto the membrane surface. The modification conditions were optimized by hydrophilicity testing, and the best hydrophilicity of the modified membrane was achieved when the crosslinking content of PEGML was 2 g·L−1, PVA was 5 g·L−1, and CA was 2 g·L−1. PTFE microfiltration membranes modified by the optimal conditions achieved a water flux of 396.9 L·m−2·h−1 (three times that of the original membrane) at low operating pressures (0.05 MPa), and the contact angle decreased from 120° to 40°. Meanwhile, the modified PTFE microfiltration membrane has improved contamination resistance and good stability of the hydrophilic coating. Full article
(This article belongs to the Section Materials in Separation Science)
Show Figures

Figure 1

14 pages, 3259 KB  
Article
Effects of He and Ar Heat-Assisted Plasma Treatments on the Adhesion Properties of Polytetrafluoroethylene (PTFE)
by Yuji Ohkubo, Yuki Okazaki, Masafumi Shibahara, Misa Nishino, Yosuke Seto, Katsuyoshi Endo and Kazuya Yamamura
Polymers 2021, 13(23), 4266; https://doi.org/10.3390/polym13234266 - 6 Dec 2021
Cited by 17 | Viewed by 4414
Abstract
Heat-assisted plasma (HAP) treatment using He gas is known to improve the adhesive-bonding and adhesive-free adhesion properties of polytetrafluoroethylene (PTFE). In this study, we investigated the effects of He and Ar gaseous species on the HAP-treated PTFE surface. Epoxy (EP) adhesive-coated stainless steel [...] Read more.
Heat-assisted plasma (HAP) treatment using He gas is known to improve the adhesive-bonding and adhesive-free adhesion properties of polytetrafluoroethylene (PTFE). In this study, we investigated the effects of He and Ar gaseous species on the HAP-treated PTFE surface. Epoxy (EP) adhesive-coated stainless steel (SUS304) and isobutylene–isoprene rubber (IIR) were used as adherents for the evaluation of the adhesive-bonding and adhesive-free adhesion properties of PTFE. In the case of adhesive bonding, the PTFE/EP-adhesive/SUS304 adhesion strength of the Ar-HAP-treated PTFE was the same as that of the He-HAP-treated PTFE. In the case of adhesive-free adhesion, the PTFE/IIR adhesion strength of the Ar-HAP-treated PTFE was seven times lower than that of the He-HAP-treated PTFE. The relation among gaseous species used in HAP treatment, adhesion properties, peroxy radical density ratio, surface chemical composition, surface modification depth, surface morphology, surface hardness, and the effect of irradiation with vacuum ultraviolet (VUV) and UV photons were investigated. The different adhesive-free adhesion properties obtained by the two treatments resulted from the changes in surface chemical composition, especially the ratios of oxygen-containing functional groups and C–C crosslinks. Full article
(This article belongs to the Special Issue Plasma Processing of Polymers)
Show Figures

Graphical abstract

17 pages, 2370 KB  
Article
Structure of Polytetrafluoroethylene Modified by the Combined Action of γ-Radiation and High Temperatures
by Alexander Sergeevich Smolyanskii, Ekaterina Dmitrievna Politova, Ol’ga Alekseevna Koshkina, Mikhail Aleksandrovich Arsentyev, Pavel Prokof’evich Kusch, Lev Vladimirovich Moskvitin, Sergei Vital’evich Slesarenko, Dmitrii Pavlovich Kiryukhin and Leonid Izrailevich Trakhtenberg
Polymers 2021, 13(21), 3678; https://doi.org/10.3390/polym13213678 - 25 Oct 2021
Cited by 19 | Viewed by 5039
Abstract
By means of X-ray computed microtomography (XCMT), the existence of a developed porous structure with an average pore diameter of ~3.5 μm and pore content of ~1.1 vol.% has been revealed in unirradiated polytetrafluoroethylene (PTFE). It has been found that the combined action [...] Read more.
By means of X-ray computed microtomography (XCMT), the existence of a developed porous structure with an average pore diameter of ~3.5 μm and pore content of ~1.1 vol.% has been revealed in unirradiated polytetrafluoroethylene (PTFE). It has been found that the combined action of gamma radiation (absorbed dose per PTFE of ~170 kGy) and high temperatures (327–350 °C) leads to the disappearance of the porous structure and the formation of several large pores with sizes from 30 to 50 μm in the bulk of thermal-radiation modified PTFE (TRM-PTFE). It has been established by X-ray diffraction (XRD) analysis that the thermal-radiation modification of PTFE leads to an increase in the interplanar spacings, the degree of crystallinity and the volume of the unit cell, as well as to a decrease in the size of crystals and the X-ray density of the crystalline phase in comparison with the initial polymer. It is assumed that the previously-established effect of improving the deformation-strength and tribological properties of the TRM-PTFE can be due not only to the radiation cross-linking of polymer chains but also to the disappearance of the pore system and to the ordering of the crystalline phase of PTFE. Full article
(This article belongs to the Special Issue Feature Papers in Polymer Analysis)
Show Figures

Figure 1

13 pages, 4570 KB  
Article
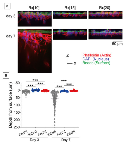
A Radiation-Crosslinked Gelatin Hydrogel That Promotes Tissue Incorporation of an Expanded Polytetrafluoroethylene Vascular Graft in Rats
by Sohei Matsuura, Toshio Takayama, Tomoko G. Oyama, Kotaro Oyama, Mitsumasa Taguchi, Takashi Endo, Takafumi Akai, Toshihiko Isaji and Katsuyuki Hoshina
Biomolecules 2021, 11(8), 1105; https://doi.org/10.3390/biom11081105 - 27 Jul 2021
Cited by 11 | Viewed by 3878
Abstract
A prosthetic vascular graft that induces perigraft tissue incorporation may effectively prevent serious sequelae such as seroma formation and infection. Radiation-crosslinked gelatin hydrogel (RXgel) mimics the chemical and physical properties of the in vivo extracellular matrix and may facilitate wound healing by promoting [...] Read more.
A prosthetic vascular graft that induces perigraft tissue incorporation may effectively prevent serious sequelae such as seroma formation and infection. Radiation-crosslinked gelatin hydrogel (RXgel) mimics the chemical and physical properties of the in vivo extracellular matrix and may facilitate wound healing by promoting tissue organization. Fibroblasts cultured on RXgel actively migrated into the gel for up to 7 days. RXgels of three different degrees of hardness (Rx[10], soft; Rx[15], middle; Rx[20], hard) were prepared, and small disc-like samples of RXgels were implanted into rats. In vitro and in vivo results indicated that Rx[10] was too soft to coat vascular grafts. Thus, expanded polytetrafluoroethylene (ePTFE) vascular grafts coated with RXgel were developed using Rx[15] and Rx[20] gels, and ring-shaped slices of the graft were implanted into rats. Alpha-smooth muscle actin (αSMA) and type III collagen (Col-III) levels were detected by immunohistochemistry. Immunohistochemical staining for αSMA and Col-III demonstrated that RXgel-coated vascular grafts induced more granulation tissue than non-coated grafts on days 14 and 28 after implantation. RXgel-coated ePTFE vascular grafts may provide a solution for patients by reducing poor perigraft tissue incorporation. Full article
Show Figures

Figure 1

13 pages, 4014 KB  
Article
Pore-Filled Proton-Exchange Membranes with Fluorinated Moiety for Fuel Cell Application
by Hyeon-Bee Song, Jong-Hyeok Park, Jin-Soo Park and Moon-Sung Kang
Energies 2021, 14(15), 4433; https://doi.org/10.3390/en14154433 - 22 Jul 2021
Cited by 15 | Viewed by 3799
Abstract
Proton-exchange membrane fuel cells (PEMFCs) are the heart of promising hydrogen-fueled electric vehicles, and should lower their price and further improve durability. Therefore, it is necessary to enhance the performances of the proton-exchange membrane (PEM), which is a key component of a PEMFC. [...] Read more.
Proton-exchange membrane fuel cells (PEMFCs) are the heart of promising hydrogen-fueled electric vehicles, and should lower their price and further improve durability. Therefore, it is necessary to enhance the performances of the proton-exchange membrane (PEM), which is a key component of a PEMFC. In this study, novel pore-filled proton-exchange membranes (PFPEMs) were developed, in which a partially fluorinated ionomer with high cross-linking density is combined with a porous polytetrafluoroethylene (PTFE) substrate. By using a thin and tough porous PTFE substrate film, it was possible to easily fabricate a composite membrane possessing sufficient physical strength and low mass transfer resistance. Therefore, it was expected that the manufacturing method would be simple and suitable for a continuous process, thereby significantly reducing the membrane price. In addition, by using a tri-functional cross-linker, the cross-linking density was increased. The oxidation stability was greatly enhanced by introducing a fluorine moiety into the polymer backbone, and the compatibility with the perfluorinated ionomer binder was also improved. The prepared PFPEMs showed stable PEMFC performance (as maximum power density) equivalent to 72% of Nafion 212. It is noted that the conductivity of the PFPEMs corresponds to 58–63% of that of Nafion 212. Thus, it is expected that a higher fuel cell performance could be achieved when the membrane resistance is further lowered. Full article
(This article belongs to the Special Issue Advanced Studies for PEM Fuel Cells in Hydrogen-Fueled Vehicles)
Show Figures

Figure 1

20 pages, 15627 KB  
Article
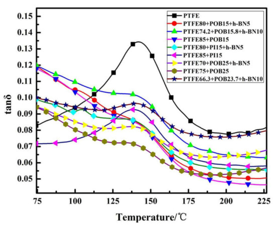
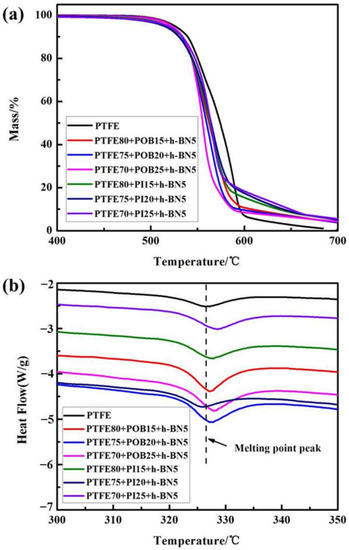
Design of Novel POB/h-BN Co-Filled PTFE Composites with Enhanced Thermal–Mechanical Properties
by Yu Wang, Qi Liu, Yu Bai, Haibo Liu, Tao He, Hua Jia, Zhandong Chang, Xin Liu, Haixia Su and Yushan Ma
Crystals 2021, 11(7), 778; https://doi.org/10.3390/cryst11070778 - 2 Jul 2021
Cited by 5 | Viewed by 3978
Abstract
Polytetrafluoroethylene (PTFE) is provided with excellent self-lubricating properties and corrosion resistance. However, the lower thermal resistance greatly limits its high-temperature applications. In the present work, two types of fillers with rigid organic polymers and submicron-sized inorganic hexagonal boron nitride (h-BN) were added to [...] Read more.
Polytetrafluoroethylene (PTFE) is provided with excellent self-lubricating properties and corrosion resistance. However, the lower thermal resistance greatly limits its high-temperature applications. In the present work, two types of fillers with rigid organic polymers and submicron-sized inorganic hexagonal boron nitride (h-BN) were added to the PTFE matrix. The microstructure and thermal–mechanical properties of PTFE-based composites with different filler types or ratios were comparatively investigated. The results suggested that the polyphenyl ester (POB)/h-BN co-filled PTFE composites exhibited excellent thermal–mechanical properties compared with the polyimide (PI)/h-BN/PTFE materials at high temperature. The optimal ratios of POB and h-BN were 25 wt.% and 5 wt.%, respectively. The Vicat softening temperature of 25 wt.% POB/5 wt.% PI/PTFE composite increased by 41.3% compared to that of pure PTFE, which was due to the cross-linked reticulation structure with regularly distributed pores and higher crystallization degree. The storage modulus increased from 51.99 MPa to 685.76 MPa at 260 °C and reached 187.82 MPa at 320 °C. The uniform distribution of anisotropic orientation of the h-BN flakes showed an obvious pinning effect, and further improved the thermal–mechanical stability of POB/h-BN/PTFE composites. Full article
Show Figures

Figure 1

18 pages, 7235 KB  
Article
Iron Species-Supporting Hydrophobic and Nonswellable Polytetrafluoroethylene/Poly(acrylic acid-co-hydroxyethyl methacrylate) Composite Fiber and Its Stable Catalytic Activity for Methylene Blue Oxidative Decolorization
by Naiku Xu and Mengru Ren
Polymers 2021, 13(10), 1570; https://doi.org/10.3390/polym13101570 - 13 May 2021
Cited by 1 | Viewed by 2386
Abstract
Polytetrafluoroethylene emulsion was ultrasonically mixed with an extremely spinnable poly(acrylic acid-co-hydroxyethyl methacrylate) solution to get a dispersion with good spinnability, and the obtained dispersion was then wet-spun into water-swellable fiber. Crosslinking agents and iron species were simultaneously introduced into the water-swellable fiber through [...] Read more.
Polytetrafluoroethylene emulsion was ultrasonically mixed with an extremely spinnable poly(acrylic acid-co-hydroxyethyl methacrylate) solution to get a dispersion with good spinnability, and the obtained dispersion was then wet-spun into water-swellable fiber. Crosslinking agents and iron species were simultaneously introduced into the water-swellable fiber through simple impregnation and water swelling. A composite fiber with Fenton reaction-catalyzing function was then fabricated by sequentially conducting crosslinking and sintering treatment. Due to crosslinking-induced good resistance to water swelling and PTFE component-induced hydrophobicity, the composite fiber showed a highly stable activity to catalyze H2O2 to oxidatively decolorize methylene blue (MB). Within nine cycles, the composite fiber could decolorize more than 90% of MB within one minute in the presence of H2O2 and did not show any attenuation in MB decolorization efficiency. The composite fiber still could reduce the total organic carbon of MB aqueous solution from 18.3 to 10.3 mg/L when used for the ninth time. Therefore, it is believable that the prepared fiber has good and broad application prospects in the field of dye wastewater treatment. Full article
(This article belongs to the Section Polymer Chemistry)
Show Figures

Graphical abstract

11 pages, 2936 KB  
Article
Efficient Portable Urea Biosensor Based on Urease Immobilized Membrane for Monitoring of Physiological Fluids
by Jee Young Kim, Gun Yong Sung and Min Park
Biomedicines 2020, 8(12), 596; https://doi.org/10.3390/biomedicines8120596 - 11 Dec 2020
Cited by 31 | Viewed by 5645
Abstract
Numerous studies have addressed the utilization of glutaraldehyde (GA) as a homobifunctional cross-linker. However, its applicability has been impeded due to several issues, including the tendency of GA molecules to undergo polymerization. Herein, a portable urea biosensor was developed for the real-time monitoring [...] Read more.
Numerous studies have addressed the utilization of glutaraldehyde (GA) as a homobifunctional cross-linker. However, its applicability has been impeded due to several issues, including the tendency of GA molecules to undergo polymerization. Herein, a portable urea biosensor was developed for the real-time monitoring of the flow of physiological fluids; this was achieved by using disuccinimidyl cross-linker-based urease immobilization. Urease was immobilized on a porous polytetrafluoroethylene (PTFE) solid support using different disuccinimidyl cross-linkers, namely disuccinimidyl glutarate (DSG), disuccinimidyl suberate (DSS) and bis-N-succinimidyl-(pentaethylene glycol) ester (BS(PEG)5). A urease activity test revealed that DSS exhibited the highest urease immobilizing efficiency, whereas FT-IR analysis confirmed that urease was immobilized on the PTFE membrane via DSS cross-linking. The membrane was inserted in a polydimethylsiloxane (PDMS) fluidic chamber that generated an electrochemical signal in the presence of a flowing fluid containing urea. Urea samples were allowed to flow into the urea biosensor (1.0 mL/min) and the signal was measured using chronoamperometry. The sensitivity of the DSS urea biosensor was the highest of all the trialed biosensors and was found to be superior to the more commonly used GA cross-linker. To simulate real-time monitoring in a human patient, flowing urea-spiked human serum was measured and the effective urease immobilization of the DSS urea biosensor was confirmed. The repeatability and interference of the urea biosensor were suitable for monitoring urea concentrations typically found in human patients. Full article
(This article belongs to the Special Issue Biosensors at the Aid of Medicine)
Show Figures

Graphical abstract

Back to TopTop