Sign in to use this feature.

Years

Between: -

Subjects

remove_circle_outline
remove_circle_outline
remove_circle_outline
remove_circle_outline
remove_circle_outline
remove_circle_outline

Journals

Article Types

Countries / Regions

Search Results (18)

Search Parameters:
Keywords = cross-modal plasticity

Order results
Result details
Results per page
Select all
Export citation of selected articles as:
11 pages, 454 KB  
Review
Irisin as a Neuroprotective Agent in Parkinson’s Disease: The Role of Physical Exercise in Modulating Dopaminergic Neurons
by José Garcia de Brito-Neto, Paulo Leonardo de Góis Morais, José Rodolfo Lopes de Paiva Cavalcanti, Francisco Irochima Pinheiro, Fausto Pierdoná Guzen and Ricardo Ney Cobucci
Pharmacy 2026, 14(1), 9; https://doi.org/10.3390/pharmacy14010009 - 13 Jan 2026
Viewed by 243
Abstract
Exercise-induced myokines have emerged as crucial mediators of the beneficial effects of physical activity on neurodegenerative diseases through complex molecular mechanisms involving oxidative stress reduction, neuroinflammation suppression, and synaptic plasticity enhancement. Among these myokines, irisin, encoded by the FNDC5 gene, has gained significant [...] Read more.
Exercise-induced myokines have emerged as crucial mediators of the beneficial effects of physical activity on neurodegenerative diseases through complex molecular mechanisms involving oxidative stress reduction, neuroinflammation suppression, and synaptic plasticity enhancement. Among these myokines, irisin, encoded by the FNDC5 gene, has gained significant attention as a potential therapeutic target in neurodegenerative conditions due to its ability to cross the blood–brain barrier and exert pleiotropic neuroprotective effects. This review synthesizes current evidence from both preclinical and clinical studies examining the role of exercise-induced irisin in neurodegeneration, with particular emphasis on translational potential and therapeutic applications. A comprehensive search was conducted across PubMed, Web of Science, Scopus, and EMBASE databases (spanning January 2015 to December 2024) to identify peer-reviewed articles investigating irisin’s neuroprotective mechanisms in neurodegenerative diseases. Ten studies met the inclusion criteria (five rodent/primate model studies and five human clinical investigations), which were analyzed for methodological rigor, intervention protocols, biomarker quantification methods, and reported outcomes. Reviewed studies consistently demonstrated that exercise-induced endogenous irisin elevation correlates with improved cognitive function, reduced neuroinflammatory markers, enhanced synaptic plasticity, and modulation of neurodegenerative pathways, with exogenous irisin administration reproducing several neuroprotective benefits observed with exercise training in animal models. However, substantial heterogeneity exists regarding exercise prescription parameters (intensity, duration, frequency, modality), training-induced irisin quantification methodologies (ELISA versus mass spectrometry), and study designs (ranging from uncontrolled human observations to randomized controlled trials in animal models). Critical appraisal reveals that human studies lack adequate control for confounding variables including baseline physical fitness, comorbidities, concurrent medications, and potential sources of bias, while biochemical studies indicate distinct pharmacokinetics between endogenous training-induced irisin and exogenous bolus dosing, necessitating careful interpretation of therapeutic applicability. The translational potential of irisin as a therapeutic agent or drug target depends on resolving methodological standardization in biomarker measurement, conducting well-designed clinical trials with rigorous control for confounders, and integrating findings from molecular/biochemical studies to elucidate mechanisms linking irisin to disease modification. Future research should prioritize establishing clinical trial frameworks that harmonize exercise prescriptions, employ robust biomarker quantification (mass spectrometry), and stratify participants based on disease stage, comorbidities, and genetic predisposition to clarify irisin’s role as a potential therapeutic intervention in neurodegenerative disease management. Full article
Show Figures

Graphical abstract

23 pages, 1253 KB  
Review
Advances in Bioactive Compounds from Plants and Their Applications in Alzheimer’s Disease
by Steve Pavlov, Santosh Kumar Prajapati, Dhananjay Yadav, Andrea Marcano-Rodriguez, Hariom Yadav and Shalini Jain
Biomolecules 2026, 16(1), 7; https://doi.org/10.3390/biom16010007 - 19 Dec 2025
Cited by 1 | Viewed by 870
Abstract
Alzheimer’s disease (AD), the leading cause of dementia worldwide, is characterized by progressive neuronal loss, amyloid-β (Aβ) aggregation, tau hyperphosphorylation, oxidative stress, neuroinflammation, cholinergic dysfunction, and gut–brain axis dysregulation. Despite advances in anti-amyloid therapeutics, current interventions provide only modest symptomatic relief and face [...] Read more.
Alzheimer’s disease (AD), the leading cause of dementia worldwide, is characterized by progressive neuronal loss, amyloid-β (Aβ) aggregation, tau hyperphosphorylation, oxidative stress, neuroinflammation, cholinergic dysfunction, and gut–brain axis dysregulation. Despite advances in anti-amyloid therapeutics, current interventions provide only modest symptomatic relief and face limitations in accessibility, cost, and long-term efficacy. Plant-derived bioactive compounds, rooted in traditional medicine systems such as Ayurveda and Traditional Chinese Medicine, have gained increasing attention as multi-target therapeutic agents due to their pleiotropic actions, relative safety, and ability to cross the blood–brain barrier. This review synthesizes mechanistic and translational evidence on major phytochemicals, including withanolides (Withania somnifera), curcumin (Curcuma longa), ginkgolides and bilobalide (Ginkgo biloba), bacosides (Bacopa monnieri), ginsenosides (Panax ginseng), crocin/safranal (Crocus sativus), epigallocatechin-3-gallate (Camellia sinensis), rosmarinic acid (Salvia officinalis, Melissa officinalis), and asiaticosides (Centella asiatica). These compounds exert neuroprotective effects by inhibiting Aβ aggregation, reducing tau phosphorylation, scavenging reactive oxygen species, attenuating NF-κB-mediated inflammation, modulating cholinergic signaling, enhancing synaptic plasticity via brain-derived neurotrophic factor/cAMP response element-binding protein (BDNF/CREB) activation, and regulating gut microbiota. Multi-target approach analyses underscore their synergistic potential in targeting interconnected AD pathways. However, translation remains hindered by poor oral bioavailability, rapid metabolism, and variability in clinical outcomes. Advances in delivery platforms, including liposomes, bilosomes, solid lipid nanoparticles, and nanostructured lipid carriers, are improving stability, blood–brain penetration, and therapeutic efficacy in preclinical models. Collectively, plant-derived phytochemicals serve as promising, affordable, and multi-modal candidates for reshaping AD management, bridging traditional knowledge with modern therapeutic innovation. Full article
Show Figures

Figure 1

23 pages, 1645 KB  
Systematic Review
Nonverbal Communication Processing in Deaf Adults: An Activation Likelihood Estimation Meta-Analysis
by Shimin Mo, Andrew Dimitrijevic and Claude Alain
Brain Sci. 2025, 15(12), 1299; https://doi.org/10.3390/brainsci15121299 - 30 Nov 2025
Viewed by 527
Abstract
Background/Objectives: Hearing loss affects spoken language processing and leads to cortical reorganization in sensory systems. While neuroimaging research has explored cross-modal plasticity in visual language processing, there is a need to identify brain activation patterns consistently activated across different nonverbal communication tasks [...] Read more.
Background/Objectives: Hearing loss affects spoken language processing and leads to cortical reorganization in sensory systems. While neuroimaging research has explored cross-modal plasticity in visual language processing, there is a need to identify brain activation patterns consistently activated across different nonverbal communication tasks in deaf individuals. We hypothesized that deaf adults would show convergent activation across studies in visual and auditory cortices during nonverbal communication processing compared to typical hearing adults. Methods: To test this, we conducted an Activation Likelihood Estimation analysis of 14 neuroimaging studies using different visual linguistic stimuli and tasks in adults with prelingual deafness and age-matched hearing controls. Results: Contrary to expectations, deaf individuals did not show intramodal activation in the visual cortex. Instead, they demonstrated convergence activation in the left superior temporal gyrus only, indicating cross-modal recruitment of auditory regions, which supports visual-spatial language processing. Conclusions: These findings highlight the need for future research to clarify how cortical reorganization impacts speech perception outcomes following auditory restoration using neuroprostheses like cochlear implants. Full article
(This article belongs to the Section Neurolinguistics)
Show Figures

Figure 1

30 pages, 7784 KB  
Review
Muscle Mechanics in Metabolic Health and Longevity: The Biochemistry of Training Adaptations
by Mike Tabone
BioChem 2025, 5(4), 37; https://doi.org/10.3390/biochem5040037 - 30 Oct 2025
Viewed by 2455
Abstract
Skeletal muscle is increasingly recognized as a dynamic endocrine organ whose secretome—particularly myokines—serves as a central hub for the coordination of systemic metabolic health, inflammation, and tissue adaptation. This review integrates molecular, cellular, and physiological evidence to elucidate how myokine signaling translates mechanical [...] Read more.
Skeletal muscle is increasingly recognized as a dynamic endocrine organ whose secretome—particularly myokines—serves as a central hub for the coordination of systemic metabolic health, inflammation, and tissue adaptation. This review integrates molecular, cellular, and physiological evidence to elucidate how myokine signaling translates mechanical and metabolic stimuli from exercise into biochemical pathways that regulate glucose homeostasis, lipid oxidation, mitochondrial function, and immune modulation. We detail the duality and context-dependence of cytokine and myokine actions, emphasizing the roles of key mediators such as IL-6, irisin, SPARC, FGF21, and BAIBA in orchestrating cross-talk between muscle, adipose tissue, pancreas, liver, bone, and brain. Distinctions between resistance and endurance training are explored, highlighting how each modality shapes the myokine milieu and downstream metabolic outcomes through differential activation of AMPK, mTOR, and PGC-1α axes. The review further addresses the hormetic role of reactive oxygen species, the importance of satellite cell dynamics, and the interplay between anabolic and catabolic signaling in muscle quality control and longevity. We discuss the clinical implications of these findings for metabolic syndrome, sarcopenia, and age-related disease, and propose that the remarkable plasticity of skeletal muscle and its secretome offers a powerful, multifaceted target for lifestyle interventions and future therapeutic strategies. An original infographic is presented to visually synthesize the complex network of myokine-mediated muscle–organ interactions underpinning exercise-induced metabolic health. Full article
Show Figures

Figure 1

21 pages, 813 KB  
Review
Light, Sound, and Melatonin: Investigating Multisensory Pathways for Visual Restoration
by Dario Rusciano
Medicina 2025, 61(6), 1009; https://doi.org/10.3390/medicina61061009 - 28 May 2025
Cited by 2 | Viewed by 3213
Abstract
Multisensory integration is fundamental for coherent perception and interaction with the environment. While cortical mechanisms of multisensory convergence are well studied, emerging evidence implicates specialized retinal ganglion cells—particularly melanopsin-expressing intrinsically photosensitive retinal ganglion cells (ipRGCs)—in crossmodal processing. This review explores how hierarchical brain [...] Read more.
Multisensory integration is fundamental for coherent perception and interaction with the environment. While cortical mechanisms of multisensory convergence are well studied, emerging evidence implicates specialized retinal ganglion cells—particularly melanopsin-expressing intrinsically photosensitive retinal ganglion cells (ipRGCs)—in crossmodal processing. This review explores how hierarchical brain networks (e.g., superior colliculus, parietal cortex) and ipRGCs jointly shape perception and behavior, focusing on their convergence in multisensory plasticity. We highlight ipRGCs as gatekeepers of environmental light cues. Their anatomical projections to multisensory areas like the superior colliculus are well established, although direct evidence for their role in human audiovisual integration remains limited. Through melanopsin signaling and subcortical projections, they may modulate downstream multisensory processing, potentially enhancing the salience of crossmodal inputs. A key theme is the spatiotemporal synergy between melanopsin and melatonin: melanopsin encodes light, while melatonin fine-tunes ipRGC activity and synaptic plasticity, potentially creating time-sensitive rehabilitation windows. However, direct evidence linking ipRGCs to audiovisual rehabilitation remains limited, with their role primarily inferred from anatomical and functional studies. Future implementations should prioritize quantitative optical metrics (e.g., melanopic irradiance, spectral composition) to standardize light-based interventions and enhance reproducibility. Nonetheless, we propose a translational framework combining multisensory stimuli (e.g., audiovisual cues) with circadian-timed melatonin to enhance recovery in visual disorders like hemianopia and spatial neglect. By bridging retinal biology with systems neuroscience, this review redefines the retina’s role in multisensory processing and offers novel, mechanistically grounded strategies for neurorehabilitation. Full article
(This article belongs to the Section Ophthalmology)
Show Figures

Figure 1

22 pages, 1826 KB  
Article
Visual Cortical Processing in Children with Early Bilateral Cochlear Implants: A VEP Analysis
by Ola Badarni-Zahalka, Ornella Dakwar-Kawar, Cahtia Adelman, Salma Khoury-Shoufani and Josef Attias
Children 2025, 12(3), 278; https://doi.org/10.3390/children12030278 - 25 Feb 2025
Viewed by 1898
Abstract
Background/Objectives: Cochlear implantation is the primary treatment for severe-to-profound hearing loss, yet outcomes vary significantly among recipients. While visual–auditory cross-modal reorganization has been identified as a contributing factor to this variability, its impact in early-implanted children remains unclear. To address this knowledge gap, [...] Read more.
Background/Objectives: Cochlear implantation is the primary treatment for severe-to-profound hearing loss, yet outcomes vary significantly among recipients. While visual–auditory cross-modal reorganization has been identified as a contributing factor to this variability, its impact in early-implanted children remains unclear. To address this knowledge gap, we investigated visual processing and its relationship with auditory outcomes in children who received early bilateral cochlear implants. Methods: To examine potential cross-modal reorganization, we recorded visual evoked potentials (VEPs) in response to pattern-reversal stimuli in 25 children with cochlear implants (CIs) (mean implantation age: 1.44 years) and 28 age-matched normal-hearing (NH) controls. Analysis focused on both the occipital region of interest (ROI: O1, OZ, and O2 electrode sites) and right temporal ROI, examining VEP components and their correlation with speech perception outcomes. Results: Unlike previous studies in later-implanted children, the overall occipital ROI showed no significant differences between groups. However, the left occipital electrode (O1) revealed reduced P1 amplitudes and delayed N1 latencies in CI users. Importantly, O1 N1 latency negatively correlated with speech-in-noise performance (r = −0.318; p = 0.02). The right temporal region showed no significant differences in VEP N1 between groups and no correlation with speech performance in CI users. Conclusions: Early bilateral cochlear implantation appears to preserve global visual processing, suggesting minimal maladaptive reorganization. However, subtle alterations in left occipital visual processing may influence auditory outcomes, highlighting the importance of early intervention and the complex nature of sensory integration in this population. Full article
Show Figures

Figure 1

18 pages, 3055 KB  
Article
Cross-Modal Plasticity in Postlingual Hearing Loss Predicts Speech Perception Outcomes After Cochlear Implantation
by Fátima Ávila-Cascajares, Clara Waleczek, Sophie Kerres, Boris Suchan and Christiane Völter
J. Clin. Med. 2024, 13(23), 7016; https://doi.org/10.3390/jcm13237016 - 21 Nov 2024
Cited by 3 | Viewed by 3283
Abstract
Background: Sensory loss may lead to intra- and cross-modal cortical reorganization. Previous research showed a significant correlation between the cross-modal contribution of the right auditory cortex to visual evoked potentials (VEP) and speech perception in cochlear implant (CI) users with prelingual hearing loss [...] Read more.
Background: Sensory loss may lead to intra- and cross-modal cortical reorganization. Previous research showed a significant correlation between the cross-modal contribution of the right auditory cortex to visual evoked potentials (VEP) and speech perception in cochlear implant (CI) users with prelingual hearing loss (HL), but not in those with postlingual HL. The present study aimed to explore the cortical reorganization induced by postlingual HL, particularly in the right temporal region, and how it correlates with speech perception outcome with a CI. Material and Methods: A total of 53 adult participants were divided into two groups according to hearing ability: 35 had normal hearing (NH) (mean age = 62.10 years (±7.48)) and 18 had profound postlingual HL (mean age = 63.78 years (±8.44)). VEPs, using a 29-channel electroencephalogram (EEG) system, were recorded preoperatively in the 18 patients scheduled for cochlear implantation and in 35 NH adults who served as the control group. Amplitudes and latencies of the P100, N100, and P200 components were analyzed across frontal, temporal, and occipital areas and compared between NH and HL subjects using repeated measures ANOVA. For the HL group, speech perception in quiet was assessed at 6 and 12 months of CI use. Results: No difference was found in amplitudes or latencies of the P100, N100, and P200 VEP components between the NH and HL groups. Further analysis using Spearman correlations between preoperative amplitudes and latencies of the P100, N100, and P200 VEP components at the right temporal electrode position T8 and postoperative speech perception showed that the HL group had either significantly higher or significantly lower amplitudes of the P200 component at the right temporal electrode position T8 compared to the NH controls. The HL subgroup with higher amplitudes had better speech perception than the subgroup with lower amplitudes at 6 months and 12 months of CI use. Conclusions: Preoperative evaluation of cortical plasticity can reveal plasticity profiles, which might help to better predict postoperative speech outcomes and adapt the rehabilitation regimen after CI activation. Further research is needed to understand the susceptibility of each component to cross-modal reorganization and their specific contribution to outcome prediction. Full article
Show Figures

Graphical abstract

33 pages, 9249 KB  
Article
A Closure Contact Model of Self-Affine Rough Surfaces Considering Small-, Meso-, and Large-Scale Stage Without Adhesive
by Tao Zhang, Yiming Wu, Xian Liu and Kai Jiang
Fractal Fract. 2024, 8(10), 611; https://doi.org/10.3390/fractalfract8100611 - 18 Oct 2024
Cited by 2 | Viewed by 1619
Abstract
Contact interface is essential for the dynamic response of the bolted structures. To accurately predict the dynamic characteristics of bolted joint structures, a fractal extension of the segmented scale model, i.e., the JK model, is proposed in this paper to comprehensively analyze the [...] Read more.
Contact interface is essential for the dynamic response of the bolted structures. To accurately predict the dynamic characteristics of bolted joint structures, a fractal extension of the segmented scale model, i.e., the JK model, is proposed in this paper to comprehensively analyze the dynamic contact performance of engineering surfaces and revisit the multi-scale model based on the concept of asperities. The influence of asperity geometry, dimensionless material properties, and the elastic, elastoplastic, and full plastic mechanical models of a single asperity is established considering the asperity–substrate interaction. Then, a segmented scale contact model of rough surfaces is proposed based on the island distribution function in a strict sense. The mechanical contact process of determining rough surfaces is divided into small-scale, medium-scale, and large-scale stages. Moreover, cross-scale boundary conditions, i.e., al1′, al2′, and al3′, are provided through strict mathematical deduction. The results show that the real contact area and contact stiffness are positively correlated with fractal dimension and negatively correlated with fractal roughness. On a small scale, the contact damping decreases with an increase in load. In meso-scale and large-scale stages, the contact damping increases with the load. Finally, the reliability of the proposed model is verified by setting up three groups of modal vibration experiments. Full article
Show Figures

Figure 1

20 pages, 766 KB  
Review
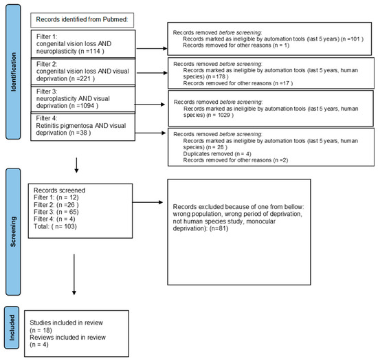
Anatomical and Functional Impacts of Congenital Bilateral Visual Deprivation on the Visual Pathway—A Comprehensive Review
by Aleksandra Czarnek-Chudzik, Mario Damiano Toro, Robert Rejdak and Katarzyna Nowomiejska
J. Clin. Med. 2024, 13(6), 1775; https://doi.org/10.3390/jcm13061775 - 20 Mar 2024
Cited by 2 | Viewed by 3904
Abstract
Neuroplasticity is a complex process that is heightened during time-sensitive periods of pre- and postnatal brain development. It continues, albeit to a lesser extent, throughout adolescence and young adulthood. Congenital visual deprivation is well-known and explored in human-model behavioral research. In this study, [...] Read more.
Neuroplasticity is a complex process that is heightened during time-sensitive periods of pre- and postnatal brain development. It continues, albeit to a lesser extent, throughout adolescence and young adulthood. Congenital visual deprivation is well-known and explored in human-model behavioral research. In this study, we review existing research on neuroadaptations and neuroplasticity of the visual pathway as a result of inherited retinal diseases (IRD), focusing on data concerning congenital bilateral visual deprivation in humans published in PubMed in the past 5 years, including 18 articles. We highlight evidence about the anatomical and behavioral aspects of neuroplasticity as different brain responses to different types of visual deprivation. We also focus on various very interesting aspects of the cross-modal functional reorganization of the visual and auditory cortex as an example of brain plasticity due to combined visual and auditory loss. Our study shows that central nervous system magnetic resonance imaging (MRI) advancements have allowed researchers to report previously elusive anatomical evidence. Patients with a known mechanism of IRD—examined with high magnetic field MRI and functional MRI—have been proven to be adequate models to explore neuroadaptations of the visual pathway due to bilateral, early, and late visual deprivation. Full article
(This article belongs to the Section Ophthalmology)
Show Figures

Figure 1

12 pages, 1473 KB  
Opinion
Cross-Modal Plasticity during Self-Motion Perception
by Rushi Lin, Fu Zeng, Qingjun Wang and Aihua Chen
Brain Sci. 2023, 13(11), 1504; https://doi.org/10.3390/brainsci13111504 - 24 Oct 2023
Viewed by 3130
Abstract
To maintain stable and coherent perception in an ever-changing environment, the brain needs to continuously and dynamically calibrate information from multiple sensory sources, using sensory and non-sensory information in a flexible manner. Here, we review how the vestibular and visual signals are recalibrated [...] Read more.
To maintain stable and coherent perception in an ever-changing environment, the brain needs to continuously and dynamically calibrate information from multiple sensory sources, using sensory and non-sensory information in a flexible manner. Here, we review how the vestibular and visual signals are recalibrated during self-motion perception. We illustrate two different types of recalibration: one long-term cross-modal (visual–vestibular) recalibration concerning how multisensory cues recalibrate over time in response to a constant cue discrepancy, and one rapid-term cross-modal (visual–vestibular) recalibration concerning how recent prior stimuli and choices differentially affect subsequent self-motion decisions. In addition, we highlight the neural substrates of long-term visual–vestibular recalibration, with profound differences observed in neuronal recalibration across multisensory cortical areas. We suggest that multisensory recalibration is a complex process in the brain, is modulated by many factors, and requires the coordination of many distinct cortical areas. We hope this review will shed some light on research into the neural circuits of visual–vestibular recalibration and help develop a more generalized theory for cross-modal plasticity. Full article
(This article belongs to the Section Sensory and Motor Neuroscience)
Show Figures

Figure 1

9 pages, 643 KB  
Article
Mental Imagery in Dreams of Congenitally Blind People
by Jungwoo Kang, Rita Bertani, Kausar Raheel, Matthew Soteriou, Jan Rosenzweig, Antonio Valentin, Peter J. Goadsby, Masoud Tahmasian, Rosalyn Moran, Katarina Ilic, Adam Ockelford and Ivana Rosenzweig
Brain Sci. 2023, 13(10), 1394; https://doi.org/10.3390/brainsci13101394 - 30 Sep 2023
Cited by 7 | Viewed by 8683
Abstract
It is unclear to what extent the absence of vision affects the sensory sensitivity for oneiric construction. Similarly, the presence of visual imagery in the mentation of dreams of congenitally blind people has been largely disputed. We investigate the presence and nature of [...] Read more.
It is unclear to what extent the absence of vision affects the sensory sensitivity for oneiric construction. Similarly, the presence of visual imagery in the mentation of dreams of congenitally blind people has been largely disputed. We investigate the presence and nature of oneiric visuo-spatial impressions by analysing 180 dreams of seven congenitally blind people identified from the online database DreamBank. A higher presence of auditory, haptic, olfactory, and gustatory sensation in dreams of congenitally blind people was demonstrated, when compared to normally sighted individuals. Nonetheless, oneiric visual imagery in reports of congenitally blind subjects was also noted, in opposition to some previous studies, and raising questions about the possible underlying neuro-mechanisms. Full article
(This article belongs to the Section Sleep and Circadian Neuroscience)
Show Figures

Figure 1

15 pages, 2209 KB  
Review
Visual Cortical Plasticity: Molecular Mechanisms as Revealed by Induction Paradigms in Rodents
by Francisco M. Ribeiro, Miguel Castelo-Branco, Joana Gonçalves and João Martins
Int. J. Mol. Sci. 2023, 24(5), 4701; https://doi.org/10.3390/ijms24054701 - 28 Feb 2023
Cited by 2 | Viewed by 5150
Abstract
Assessing the molecular mechanism of synaptic plasticity in the cortex is vital for identifying potential targets in conditions marked by defective plasticity. In plasticity research, the visual cortex represents a target model for intense investigation, partly due to the availability of different in [...] Read more.
Assessing the molecular mechanism of synaptic plasticity in the cortex is vital for identifying potential targets in conditions marked by defective plasticity. In plasticity research, the visual cortex represents a target model for intense investigation, partly due to the availability of different in vivo plasticity-induction protocols. Here, we review two major protocols: ocular-dominance (OD) and cross-modal (CM) plasticity in rodents, highlighting the molecular signaling pathways involved. Each plasticity paradigm has also revealed the contribution of different populations of inhibitory and excitatory neurons at different time points. Since defective synaptic plasticity is common to various neurodevelopmental disorders, the potentially disrupted molecular and circuit alterations are discussed. Finally, new plasticity paradigms are presented, based on recent evidence. Stimulus-selective response potentiation (SRP) is one of the paradigms addressed. These options may provide answers to unsolved neurodevelopmental questions and offer tools to repair plasticity defects. Full article
(This article belongs to the Special Issue Neuron and Brain Maturation 2.0)
Show Figures

Figure 1

18 pages, 1102 KB  
Review
Changing the Tendency to Integrate the Senses
by Saul I. Quintero, Ladan Shams and Kimia Kamal
Brain Sci. 2022, 12(10), 1384; https://doi.org/10.3390/brainsci12101384 - 13 Oct 2022
Cited by 11 | Viewed by 3558 | Correction
Abstract
Integration of sensory signals that emanate from the same source, such as the visual of lip articulations and the sound of the voice of a speaking individual, can improve perception of the source signal (e.g., speech). Because momentary sensory inputs are typically corrupted [...] Read more.
Integration of sensory signals that emanate from the same source, such as the visual of lip articulations and the sound of the voice of a speaking individual, can improve perception of the source signal (e.g., speech). Because momentary sensory inputs are typically corrupted with internal and external noise, there is almost always a discrepancy between the inputs, facing the perceptual system with the problem of determining whether the two signals were caused by the same source or different sources. Thus, whether or not multisensory stimuli are integrated and the degree to which they are bound is influenced by factors such as the prior expectation of a common source. We refer to this factor as the tendency to bind stimuli, or for short, binding tendency. In theory, the tendency to bind sensory stimuli can be learned by experience through the acquisition of the probabilities of the co-occurrence of the stimuli. It can also be influenced by cognitive knowledge of the environment. The binding tendency varies across individuals and can also vary within an individual over time. Here, we review the studies that have investigated the plasticity of binding tendency. We discuss the protocols that have been reported to produce changes in binding tendency, the candidate learning mechanisms involved in this process, the possible neural correlates of binding tendency, and outstanding questions pertaining to binding tendency and its plasticity. We conclude by proposing directions for future research and argue that understanding mechanisms and recipes for increasing binding tendency can have important clinical and translational applications for populations or individuals with a deficiency in multisensory integration. Full article
(This article belongs to the Special Issue The Neural Basis of Multisensory Plasticity)
Show Figures

Figure 1

20 pages, 644 KB  
Review
The Effects of Cortical Reorganization and Applications of Functional Near-Infrared Spectroscopy in Deaf People and Cochlear Implant Users
by Xiaoqing Zhou, Menglong Feng, Yaqin Hu, Chanyuan Zhang, Qingling Zhang, Xiaoqin Luo and Wei Yuan
Brain Sci. 2022, 12(9), 1150; https://doi.org/10.3390/brainsci12091150 - 28 Aug 2022
Cited by 7 | Viewed by 4805
Abstract
A cochlear implant (CI) is currently the only FDA-approved biomedical device that can restore hearing for the majority of patients with severe-to-profound sensorineural hearing loss (SNHL). While prelingually and postlingually deaf individuals benefit substantially from CI, the outcomes after implantation vary greatly. Numerous [...] Read more.
A cochlear implant (CI) is currently the only FDA-approved biomedical device that can restore hearing for the majority of patients with severe-to-profound sensorineural hearing loss (SNHL). While prelingually and postlingually deaf individuals benefit substantially from CI, the outcomes after implantation vary greatly. Numerous studies have attempted to study the variables that affect CI outcomes, including the personal characteristics of CI candidates, environmental variables, and device-related variables. Up to 80% of the results remained unexplainable because all these variables could only roughly predict auditory performance with a CI. Brain structure/function differences after hearing deprivation, that is, cortical reorganization, has gradually attracted the attention of neuroscientists. The cross-modal reorganization in the auditory cortex following deafness is thought to be a key factor in the success of CI. In recent years, the adaptive and maladaptive effects of this reorganization on CI rehabilitation have been argued because the neural mechanisms of how this reorganization impacts CI learning and rehabilitation have not been revealed. Due to the lack of brain processes describing how this plasticity affects CI learning and rehabilitation, the adaptive and deleterious consequences of this reorganization on CI outcomes have recently been the subject of debate. This review describes the evidence for different roles of cross-modal reorganization in CI performance and attempts to explore the possible reasons. Additionally, understanding the core influencing mechanism requires taking into account the cortical changes from deafness to hearing restoration. However, methodological issues have restricted longitudinal research on cortical function in CI. Functional near-infrared spectroscopy (fNIRS) has been increasingly used for the study of brain function and language assessment in CI because of its unique advantages, which are considered to have great potential. Here, we review studies on auditory cortex reorganization in deaf patients and CI recipients, and then we try to illustrate the feasibility of fNIRS as a neuroimaging tool in predicting and assessing speech performance in CI recipients. Here, we review research on the cross-modal reorganization of the auditory cortex in deaf patients and CI recipients and seek to demonstrate the viability of using fNIRS as a neuroimaging technique to predict and evaluate speech function in CI recipients. Full article
(This article belongs to the Topic Brain, Hearing and Tinnitus Science)
Show Figures

Figure 1

10 pages, 566 KB  
Article
Sport as a Factor in Improving Visual Spatial Cognitive Deficits in Patients with Hearing Loss and Chronic Vestibular Deficit
by Giorgio Guidetti, Riccardo Guidetti and Silvia Quaglieri
Audiol. Res. 2021, 11(2), 291-300; https://doi.org/10.3390/audiolres11020027 - 19 Jun 2021
Cited by 4 | Viewed by 4056
Abstract
Hearing loss and chronic vestibular pathologies require brain adaptive mechanisms supported by a cross-modal cortical plasticity. They are often accompanied by cognitive deficits. Spatial memory is a cognitive process responsible for recording information about the spatial environment and spatial orientation. Visual-spatial working memory [...] Read more.
Hearing loss and chronic vestibular pathologies require brain adaptive mechanisms supported by a cross-modal cortical plasticity. They are often accompanied by cognitive deficits. Spatial memory is a cognitive process responsible for recording information about the spatial environment and spatial orientation. Visual-spatial working memory (VSWM) is a kind of short-term working memory that allows spatial information to be temporarily stored and manipulated. It can be conditioned by hearing loss and also well-compensated chronic vestibular deficit. Vestibular rehabilitation and hearing aid devices or training are able to improve the VSWM. We studied 119 subjects suffering from perinatal or congenital hearing loss, compared with 532 healthy subjects and 404 patients with well-compensated chronic vestibular deficit (CVF). VSWM was evaluated by the eCorsi test. The subjects suffering from chronic hearing loss and/or unilateral or bilateral vestibular deficit showed a VSWM less efficient than healthy people, but much better than those with CVF, suggesting a better multimodal adaptive strategy, probably favored by a cross-modal plasticity which also provides habitual use of lip reading. The sport activity cancels the difference with healthy subjects. It is therefore evident that patients with this type of deficit since childhood should be supported and advised on a sport activity or repeated vestibular stimulation. Full article
Show Figures

Figure 1

Back to TopTop