Sign in to use this feature.

Years

Between: -

Subjects

remove_circle_outline
remove_circle_outline
remove_circle_outline
remove_circle_outline
remove_circle_outline
remove_circle_outline
remove_circle_outline

Journals

Article Types

Countries / Regions

Search Results (28)

Search Parameters:
Keywords = cross multiscale entropy analysis

Order results
Result details
Results per page
Select all
Export citation of selected articles as:
20 pages, 1372 KB  
Article
A Novel Multi-Scale Entropy Approach for EEG-Based Lie Detection with Channel Selection
by Jiawen Li, Guanyuan Feng, Chen Ling, Ximing Ren, Shuang Zhang, Xin Liu, Leijun Wang, Mang I. Vai, Jujian Lv and Rongjun Chen
Entropy 2025, 27(10), 1026; https://doi.org/10.3390/e27101026 - 29 Sep 2025
Viewed by 286
Abstract
Entropy-based analyses have emerged as a powerful tool for quantifying the complexity, regularity, and information content of complex biological signals, such as electroencephalography (EEG). In this regard, EEG-based lie detection offers the advantage of directly providing more objective and less susceptible-to-manipulation results compared [...] Read more.
Entropy-based analyses have emerged as a powerful tool for quantifying the complexity, regularity, and information content of complex biological signals, such as electroencephalography (EEG). In this regard, EEG-based lie detection offers the advantage of directly providing more objective and less susceptible-to-manipulation results compared to traditional polygraph methods. To this end, this study proposes a novel multi-scale entropy approach by fusing fuzzy entropy (FE), time-shifted multi-scale fuzzy entropy (TSMFE), and hierarchical multi-band fuzzy entropy (HMFE), which enables the multidimensional characterization of EEG signals. Subsequently, using machine learning classifiers, the fused feature vector is applied to lie detection, with a focus on channel selection to investigate distinguished neural signatures across brain regions. Experiments utilize a publicly benchmarked LieWaves dataset, and two parts are performed. One is a subject-dependent experiment to identify representative channels for lie detection. Another is a cross-subject experiment to assess the generalizability of the proposed approach. In the subject-dependent experiment, linear discriminant analysis (LDA) achieves impressive accuracies of 82.74% under leave-one-out cross-validation (LOOCV) and 82.00% under 10-fold cross-validation. The cross-subject experiment yields an accuracy of 64.07% using a radial basis function (RBF) kernel support vector machine (SVM) under leave-one-subject-out cross-validation (LOSOCV). Furthermore, regarding the channel selection results, PZ (parietal midline) and T7 (left temporal) are considered the representative channels for lie detection, as they exhibit the most prominent occurrences among subjects. These findings demonstrate that the PZ and T7 play vital roles in the cognitive processes associated with lying, offering a solution for designing portable EEG-based lie detection devices with fewer channels, which also provides insights into neural dynamics by analyzing variations in multi-scale entropy. Full article
(This article belongs to the Special Issue Entropy Analysis of Electrophysiological Signals)
Show Figures

Figure 1

21 pages, 4721 KB  
Article
Automated Brain Tumor MRI Segmentation Using ARU-Net with Residual-Attention Modules
by Erdal Özbay and Feyza Altunbey Özbay
Diagnostics 2025, 15(18), 2326; https://doi.org/10.3390/diagnostics15182326 - 13 Sep 2025
Viewed by 664
Abstract
Background/Objectives: Accurate segmentation of brain tumors in Magnetic Resonance Imaging (MRI) scans is critical for diagnosis and treatment planning due to their life-threatening nature. This study aims to develop a robust and automated method capable of precisely delineating heterogeneous tumor regions while improving [...] Read more.
Background/Objectives: Accurate segmentation of brain tumors in Magnetic Resonance Imaging (MRI) scans is critical for diagnosis and treatment planning due to their life-threatening nature. This study aims to develop a robust and automated method capable of precisely delineating heterogeneous tumor regions while improving segmentation accuracy and generalization. Methods: We propose Attention Res-UNet (ARU-Net), a novel Deep Learning (DL) architecture integrating residual connections, Adaptive Channel Attention (ACA), and Dimensional-space Triplet Attention (DTA) modules. The encoding module efficiently extracts and refines relevant feature information by applying ACA to the lower layers of convolutional and residual blocks. The DTA is fixed to the upper layers of the decoding module, decoupling channel weights to better extract and fuse multi-scale features, enhancing both performance and efficiency. Input MRI images are pre-processed using Contrast Limited Adaptive Histogram Equalization (CLAHE) for contrast enhancement, denoising filters, and Linear Kuwahara filtering to preserve edges while smoothing homogeneous regions. The network is trained using categorical cross-entropy loss with the Adam optimizer on the BTMRII dataset, and comparative experiments are conducted against baseline U-Net, DenseNet121, and Xception models. Performance is evaluated using accuracy, precision, recall, F1-score, Dice Similarity Coefficient (DSC), and Intersection over Union (IoU) metrics. Results: Baseline U-Net showed significant performance gains after adding residual connections and ACA modules, with DSC improving by approximately 3.3%, accuracy by 3.2%, IoU by 7.7%, and F1-score by 3.3%. ARU-Net further enhanced segmentation performance, achieving 98.3% accuracy, 98.1% DSC, 96.3% IoU, and a superior F1-score, representing additional improvements of 1.1–2.0% over the U-Net + Residual + ACA variant. Visualizations confirmed smoother boundaries and more precise tumor contours across all six tumor classes, highlighting ARU-Net’s ability to capture heterogeneous tumor structures and fine structural details more effectively than both baseline U-Net and other conventional DL models. Conclusions: ARU-Net, combined with an effective pre-processing strategy, provides a highly reliable and precise solution for automated brain tumor segmentation. Its improvements across multiple evaluation metrics over U-Net and other conventional models highlight its potential for clinical application and contribute novel insights to medical image analysis research. Full article
(This article belongs to the Special Issue Advances in Functional and Structural MR Image Analysis)
Show Figures

Figure 1

24 pages, 1687 KB  
Article
A Novel Co-Designed Multi-Domain Entropy and Its Dynamic Synapse Classification Approach for EEG Seizure Detection
by Guanyuan Feng, Jiawen Li, Yicheng Zhong, Shuang Zhang, Xin Liu, Mang I Vai, Kaihan Lin, Xianxian Zeng, Jun Yuan and Rongjun Chen
Entropy 2025, 27(9), 919; https://doi.org/10.3390/e27090919 - 30 Aug 2025
Viewed by 782
Abstract
Automated electroencephalography (EEG) seizure detection is meaningful in clinical medicine. However, current approaches often lack comprehensive feature extraction and are limited by generic classifier architectures, which limit their effectiveness in complex real-world scenarios. To overcome this traditional coupling between feature representation and classifier [...] Read more.
Automated electroencephalography (EEG) seizure detection is meaningful in clinical medicine. However, current approaches often lack comprehensive feature extraction and are limited by generic classifier architectures, which limit their effectiveness in complex real-world scenarios. To overcome this traditional coupling between feature representation and classifier development, this study proposes DySC-MDE, an end-to-end co-designed framework for seizure detection. A novel multi-domain entropy (MDE) representation is constructed at the feature level based on amplitude-sensitive permutation entropy (ASPE), which adopts entropy-based quantifiers to characterize the nonlinear dynamics of EEG signals across diverse domains. Specifically, ASPE is extended into three distinct variants, refined composite multiscale ASPE (RCMASPE), discrete wavelet transform-based hierarchical ASPE (HASPE-DWT), and time-shift multiscale ASPE (TSMASPE), to represent various temporal and spectral dynamics of EEG signals. At the classifier level, a dynamic synapse classifier (DySC) is proposed to align with the structure of the MDE features. Particularly, DySC includes three parallel and specialized processing pathways, each tailored to a specific entropy variant. These outputs are then adaptively fused through a dynamic synaptic gating mechanism, which can enhance the model’s ability to integrate heterogeneous information sources. To fully evaluate the effectiveness of the proposed method, extensive experiments are conducted on two public datasets using cross-validation. For the binary classification task, DySC-MDE achieves an accuracy of 97.50% and 98.93% and an F1-score of 97.58% and 98.87% in the Bonn and CHB-MIT datasets, respectively. Moreover, in the three-class task, the proposed method maintains a high F1-score of 96.83%, revealing its strong discriminative performance and generalization ability across different categories. Consequently, these impressive results demonstrate that the joint optimization of nonlinear dynamic feature representations and structure-aware classifiers can further improve the analysis of complex epileptic EEG signals, which opens a novel direction for robust seizure detection. Full article
(This article belongs to the Special Issue Entropy Analysis of ECG and EEG Signals)
Show Figures

Figure 1

18 pages, 70320 KB  
Article
RIS-UNet: A Multi-Level Hierarchical Framework for Liver Tumor Segmentation in CT Images
by Yuchai Wan, Lili Zhang and Murong Wang
Entropy 2025, 27(7), 735; https://doi.org/10.3390/e27070735 - 9 Jul 2025
Viewed by 739
Abstract
The deep learning-based analysis of liver CT images is expected to provide assistance for clinicians in the diagnostic decision-making process. However, the accuracy of existing methods still falls short of clinical requirements and needs to be further improved. Therefore, in this work, we [...] Read more.
The deep learning-based analysis of liver CT images is expected to provide assistance for clinicians in the diagnostic decision-making process. However, the accuracy of existing methods still falls short of clinical requirements and needs to be further improved. Therefore, in this work, we propose a novel multi-level hierarchical framework for liver tumor segmentation. In the first level, we integrate inter-slice spatial information by a 2.5D network to resolve the accuracy–efficiency trade-off inherent in conventional 2D/3D segmentation strategies for liver tumor segmentation. Then, the second level extracts the inner-slice global and local features for enhancing feature representation. We propose the Res-Inception-SE Block, which combines residual connections, multi-scale Inception modules, and squeeze-excitation attention to capture comprehensive global and local features. Furthermore, we design a hybrid loss function combining Binary Cross Entropy (BCE) and Dice loss to solve the category imbalance problem and accelerate convergence. Extensive experiments on the LiTS17 dataset demonstrate the effectiveness of our method on accuracy, efficiency, and visual results for liver tumor segmentation. Full article
(This article belongs to the Special Issue Cutting-Edge AI in Computational Bioinformatics)
Show Figures

Figure 1

16 pages, 1606 KB  
Article
Coherence Analysis of Cardiovascular Signals for Detecting Early Diabetic Cardiac Autonomic Neuropathy: Insights into Glycemic Control
by Yu-Chen Chen, Wei-Min Liu, Hsin-Ru Liu, Huai-Ren Chang, Po-Wei Chen and An-Bang Liu
Diagnostics 2025, 15(12), 1474; https://doi.org/10.3390/diagnostics15121474 - 10 Jun 2025
Viewed by 624
Abstract
Background: Cardiac autonomic neuropathy (CAN) is a common yet frequently underdiagnosed complication of diabetes. While our previous study demonstrated the utility of multiscale cross-approximate entropy (MS-CXApEn) in detecting early CAN, the present study further investigates the use of frequency-domain coherence analysis between systolic [...] Read more.
Background: Cardiac autonomic neuropathy (CAN) is a common yet frequently underdiagnosed complication of diabetes. While our previous study demonstrated the utility of multiscale cross-approximate entropy (MS-CXApEn) in detecting early CAN, the present study further investigates the use of frequency-domain coherence analysis between systolic blood pressure (SBP) and R-R intervals (RRI) and evaluates the effects of insulin treatment on autonomic function in diabetic rats. Methods: At the onset of diabetes induced by streptozotocin (STZ), rats were assessed for cardiovascular autonomic function both before and after insulin treatment. Spectral and coherence analyses were performed to evaluate baroreflex function and autonomic regulation. Parameters assessed included low-frequency power (LFP) and high-frequency power (HFP) of heart rate variability, coherence between SBP and RRI at low and high-frequency bands (LFCoh and HFCoh), spontaneous and phenylephrine-induced baroreflex sensitivity (BRSspn and BRSphe), HRV components derived from fast Fourier transform, and MS-CXApEn at multiple scales. Results: Compared to normal controls (LFCoh: 0.14 ± 0.07, HFCoh: 0.19 ± 0.06), early diabetic rats exhibited a significant reduction in both LFCoh (0.08 ± 0.04, p < 0.05) and HFCoh (0.16 ± 0.10, p > 0.05), indicating impaired autonomic modulation. Insulin treatment led to a recovery of LFCoh (0.11 ± 0.04) and HFCoh (0.24 ± 0.12), though differences remained statistically insignificant (p > 0.05 vs. normal). Additionally, low-frequency LFP increased at the onset of diabetes and decreased after insulin therapy in most rats significantly, while MS-CXApEn at all scale levels increased in the early diabetic rats, and MS-CXApEnlarge declined following hyperglycemia correction. The BRSspn and BRSphe showed no consistent trend. Conclusions: Coherence analysis provides valuable insights into autonomic dysfunction in early diabetes. The significant reduction in LFCoh in early diabetes supports its role as a potential marker for CAN. Although insulin treatment partially improved coherence, the lack of full recovery suggests persistent autonomic impairment despite glycemic correction. These findings underscore the importance of early detection and long-term management strategies for diabetic CAN. Full article
(This article belongs to the Section Pathology and Molecular Diagnostics)
Show Figures

Figure 1

23 pages, 4070 KB  
Article
Automated Plasma Region Classification and Boundary Layer Identification Using Machine Learning
by Jiye Wang, Xuan Liu, Fanzhuo Dai, Rui Zheng, Yuanlin Han, Yang Wang, Andi Liu, Xinhua Wei, Lingqian Zhang, Hui Li, Chi Wang, Tieyan Wang, James L. Burch and Wolfgang Baumjohann
Remote Sens. 2025, 17(9), 1565; https://doi.org/10.3390/rs17091565 - 28 Apr 2025
Cited by 2 | Viewed by 609
Abstract
The accurate classification of plasma regions is a critical challenge in space science, with identifying dynamic boundary layers (BLs) being particularly complex. This study introduces a novel wavelet-decision tree classifier (WDTC) designed to automate BL detection. Unlike conventional machine learning methods that rely [...] Read more.
The accurate classification of plasma regions is a critical challenge in space science, with identifying dynamic boundary layers (BLs) being particularly complex. This study introduces a novel wavelet-decision tree classifier (WDTC) designed to automate BL detection. Unlike conventional machine learning methods that rely on raw satellite measurements, the WDTC utilizes processed parameters derived from wavelet analysis as inputs to the decision tree algorithm. For each in situ measurement, including magnetic field strength (B), plasma density (n), velocity (V), and temperature (T), the wavelet analysis generates two features: wavelet energy and wavelet entropy. This results in a total of eight input parameters (two for each of the four in situ measurements) for the decision tree. By incorporating these distinctive wavelet-derived features, the WDTC enhances its ability to accurately and efficiently identify BLs within complex plasma environments. The model was applied to data from the Magnetospheric Multiscale (MMS) mission, focusing on the dayside region, and successfully differentiated between the solar wind, bow shock, magnetosheath, magnetopause, and magnetosphere. From September 15 to December 31, 2015, the WDTC identified 711 BL crossings, including 295 bow shock events and 416 magnetopause crossings. Beyond its scientific applications, the WDTC provides high-quality training datasets and a reliable data labeling tool, contributing to neural network training efforts. Full article
Show Figures

Figure 1

41 pages, 40949 KB  
Article
Neurobiomechanical Characterization of Feedforward Phase of Gait Initiation in Chronic Stroke: A Linear and Non-Linear Approach
by Marta Freitas, Pedro Fonseca, Leonel Alves, Liliana Pinho, Sandra Silva, Vânia Figueira, José Félix, Francisco Pinho, João Paulo Vilas-Boas and Augusta Silva
Appl. Sci. 2025, 15(9), 4762; https://doi.org/10.3390/app15094762 - 25 Apr 2025
Cited by 1 | Viewed by 1222
Abstract
Postural control arises from the complex interplay of stability, adaptability, and dynamic adjustments, which are disrupted post-stroke, emphasizing the importance of examining these mechanisms during functional tasks. This study aimed to analyze the complexity and variability of postural control in post-stroke individuals during [...] Read more.
Postural control arises from the complex interplay of stability, adaptability, and dynamic adjustments, which are disrupted post-stroke, emphasizing the importance of examining these mechanisms during functional tasks. This study aimed to analyze the complexity and variability of postural control in post-stroke individuals during the feedforward phase of gait initiation. A cross-sectional study analyzed 17 post-stroke individuals and 16 matched controls. Participants had a unilateral ischemic stroke in the chronic phase and could walk independently. Exclusions included cognitive impairments, recent surgery, and neurological/orthopedic conditions. Kinematic and kinetic data were collected during 10 self-initiated gait trials to analyze centre of pressure (CoP) dynamics and joint angles (−600 ms to +50 ms). A 12-camera motion capture system (Qualisys, Gothenburg, Sweden) recorded full-body kinematics using 72 reflective markers placed on anatomical landmarks of the lower limbs, pelvis, trunk, and upper limbs. Ground reaction forces were measured via force plates (Bertec, Columbus, OH, USA) to compute CoP variables. Linear (displacement, amplitude, and velocity) and non-linear (Lyapunov exponent—LyE and multiscale entropy—MSE) measures were applied to assess postural control complexity and variability. Mann–Whitney U tests were applied (p < 0.05). The stroke group showed greater CoP displacement (p < 0.05) and reduced velocity (p = 0.021). Non-linear analysis indicated lower LyE values and reduced complexity and adaptability in CoP position and amplitude across scales (p < 0.05). In the sagittal plane, the stroke group had higher displacement and amplitude in the head, trunk, pelvis, and limbs, with reduced LyE and MSE values (p < 0.05). Frontal plane findings showed increased displacement and amplitude in the head, trunk, and ankle, with reduced LyE and MSE (p < 0.05). In the transverse plane, exaggerated rotational patterns were observed with increased displacement and amplitude in the head, trunk, pelvis, and hip, alongside reduced LyE convergence and MSE complexity (p < 0.05). Stroke survivors exhibit increased linear variability, indicating instability, and reduced non-linear complexity, reflecting limited adaptability. These results highlight the need for rehabilitation strategies that address both stability and adaptability across time scales. Full article
Show Figures

Figure 1

16 pages, 1104 KB  
Article
Multi-Channel Underwater Acoustic Signal Analysis Using Improved Multivariate Multiscale Sample Entropy
by Jing Zhou, Yaan Li and Mingzhou Wang
J. Mar. Sci. Eng. 2025, 13(4), 675; https://doi.org/10.3390/jmse13040675 - 27 Mar 2025
Viewed by 558
Abstract
Underwater acoustic signals typically exhibit non-Gaussian, non-stationary, and nonlinear characteristics. When processing real-world underwater acoustic signals, traditional multivariate entropy algorithms often struggle to simultaneously ensure stability and extract cross-channel information. To address these issues, the improved multivariate multiscale sample entropy (IMMSE) algorithm is [...] Read more.
Underwater acoustic signals typically exhibit non-Gaussian, non-stationary, and nonlinear characteristics. When processing real-world underwater acoustic signals, traditional multivariate entropy algorithms often struggle to simultaneously ensure stability and extract cross-channel information. To address these issues, the improved multivariate multiscale sample entropy (IMMSE) algorithm is proposed, which extracts the complexity of multi-channel data, enabling a more comprehensive and stable representation of the dynamic characteristics of complex nonlinear systems. This paper explores the optimal parameter selection range for the IMMSE algorithm and compares its sensitivity to noise and computational efficiency with traditional multivariate entropy algorithms. The results demonstrate that IMMSE outperforms its counterparts in terms of both stability and computational efficiency. Analysis of various types of ship-radiated noise further demonstrates IMMSE’s superior stability in handling complex underwater acoustic signals. Moreover, IMMSE’s ability to extract features enables more accurate discrimination between different signal types. Finally, the paper presents data processing results in mechanical fault diagnosis, underscoring the broad applicability of IMMSE. Full article
(This article belongs to the Special Issue Navigation and Detection Fusion for Autonomous Underwater Vehicles)
Show Figures

Figure 1

17 pages, 918 KB  
Article
Fractal Analysis of Electrodermal Activity for Emotion Recognition: A Novel Approach Using Detrended Fluctuation Analysis and Wavelet Entropy
by Luis R. Mercado-Diaz, Yedukondala Rao Veeranki, Edward W. Large and Hugo F. Posada-Quintero
Sensors 2024, 24(24), 8130; https://doi.org/10.3390/s24248130 - 19 Dec 2024
Cited by 4 | Viewed by 1977
Abstract
The field of emotion recognition from physiological signals is a growing area of research with significant implications for both mental health monitoring and human–computer interaction. This study introduces a novel approach to detecting emotional states based on fractal analysis of electrodermal activity (EDA) [...] Read more.
The field of emotion recognition from physiological signals is a growing area of research with significant implications for both mental health monitoring and human–computer interaction. This study introduces a novel approach to detecting emotional states based on fractal analysis of electrodermal activity (EDA) signals. We employed detrended fluctuation analysis (DFA), Hurst exponent estimation, and wavelet entropy calculation to extract fractal features from EDA signals obtained from the CASE dataset, which contains physiological recordings and continuous emotion annotations from 30 participants. The analysis revealed significant differences in fractal features across five emotional states (neutral, amused, bored, relaxed, and scared), particularly those derived from wavelet entropy. A cross-correlation analysis showed robust correlations between fractal features and both the arousal and valence dimensions of emotion, challenging the conventional view of EDA as a predominantly arousal-indicating measure. The application of machine learning for emotion classification using fractal features achieved a leave-one-subject-out accuracy of 84.3% and an F1 score of 0.802, surpassing the performance of previous methods on the same dataset. This study demonstrates the potential of fractal analysis in capturing the intricate, multi-scale dynamics of EDA signals for emotion recognition, opening new avenues for advancing emotion-aware systems and affective computing applications. Full article
(This article belongs to the Special Issue Advanced Signal Processing for Affective Computing)
Show Figures

Figure 1

20 pages, 5700 KB  
Article
Relating Macroscopic PET Radiomics Features to Microscopic Tumor Phenotypes Using a Stochastic Mathematical Model of Cellular Metabolism and Proliferation
by Hailey S. H. Ahn, Yas Oloumi Yazdi, Brennan J. Wadsworth, Kevin L. Bennewith, Arman Rahmim and Ivan S. Klyuzhin
Cancers 2024, 16(12), 2215; https://doi.org/10.3390/cancers16122215 - 13 Jun 2024
Cited by 1 | Viewed by 1776
Abstract
Cancers can manifest large variations in tumor phenotypes due to genetic and microenvironmental factors, which has motivated the development of quantitative radiomics-based image analysis with the aim to robustly classify tumor phenotypes in vivo. Positron emission tomography (PET) imaging can be particularly helpful [...] Read more.
Cancers can manifest large variations in tumor phenotypes due to genetic and microenvironmental factors, which has motivated the development of quantitative radiomics-based image analysis with the aim to robustly classify tumor phenotypes in vivo. Positron emission tomography (PET) imaging can be particularly helpful in elucidating the metabolic profiles of tumors. However, the relatively low resolution, high noise, and limited PET data availability make it difficult to study the relationship between the microenvironment properties and metabolic tumor phenotype as seen on the images. Most of previously proposed digital PET phantoms of tumors are static, have an over-simplified morphology, and lack the link to cellular biology that ultimately governs the tumor evolution. In this work, we propose a novel method to investigate the relationship between microscopic tumor parameters and PET image characteristics based on the computational simulation of tumor growth. We use a hybrid, multiscale, stochastic mathematical model of cellular metabolism and proliferation to generate simulated cross-sections of tumors in vascularized normal tissue on a microscopic level. The generated longitudinal tumor growth sequences are converted to PET images with realistic resolution and noise. By changing the biological parameters of the model, such as the blood vessel density and conditions for necrosis, distinct tumor phenotypes can be obtained. The simulated cellular maps were compared to real histology slides of SiHa and WiDr xenografts imaged with Hoechst 33342 and pimonidazole. As an example application of the proposed method, we simulated six tumor phenotypes that contain various amounts of hypoxic and necrotic regions induced by a lack of oxygen and glucose, including phenotypes that are distinct on the microscopic level but visually similar in PET images. We computed 22 standardized Haralick texture features for each phenotype, and identified the features that could best discriminate the phenotypes with varying image noise levels. We demonstrated that “cluster shade” and “difference entropy” are the most effective and noise-resilient features for microscopic phenotype discrimination. Longitudinal analysis of the simulated tumor growth showed that radiomics analysis can be beneficial even in small lesions with a diameter of 3.5–4 resolution units, corresponding to 8.7–10.0 mm in modern PET scanners. Certain radiomics features were shown to change non-monotonically with tumor growth, which has implications for feature selection for tracking disease progression and therapy response. Full article
(This article belongs to the Special Issue PET/CT in Cancers Outcomes Prediction)
Show Figures

Figure 1

14 pages, 2191 KB  
Article
A Non-Destructive Detection and Grading Method of the Internal Quality of Preserved Eggs Based on an Improved ConvNext
by Wenquan Tang, Hao Zhang, Haoran Chen, Wei Fan and Qiaohua Wang
Foods 2024, 13(6), 925; https://doi.org/10.3390/foods13060925 - 19 Mar 2024
Cited by 1 | Viewed by 2025
Abstract
As a traditional delicacy in China, preserved eggs inevitably experience instances of substandard quality during the production process. Chinese preserved egg production facilities can only rely on experienced workers to select the preserved eggs. However, the manual selection of preserved eggs presents challenges [...] Read more.
As a traditional delicacy in China, preserved eggs inevitably experience instances of substandard quality during the production process. Chinese preserved egg production facilities can only rely on experienced workers to select the preserved eggs. However, the manual selection of preserved eggs presents challenges such as a low efficiency, subjective judgments, high costs, and hindered industrial production processes. In response to these challenges, this study procured the transmitted imagery of preserved eggs and refined the ConvNeXt network across four pivotal dimensions: the dimensionality reduction of model feature maps, the integration of multi-scale feature fusion (MSFF), the incorporation of a global attention mechanism (GAM) module, and the amalgamation of the cross-entropy loss function with focal loss. The resultant refined model, ConvNeXt_PEgg, attained proficiency in classifying and grading preserved eggs. Notably, the improved model achieved a classification accuracy of 92.6% across the five categories of preserved eggs, with a grading accuracy of 95.9% spanning three levels. Moreover, in contrast to its predecessor, the refined model witnessed a 24.5% reduction in the parameter volume, alongside a 3.2 percentage point augmentation in the classification accuracy and a 2.8 percentage point boost in the grading accuracy. Through meticulous comparative analysis, each enhancement exhibited varying degrees of performance elevation. Evidently, the refined model outshone a plethora of classical models, underscoring its efficacy in discerning the internal quality of preserved eggs. With its potential for real-world implementation, this technology portends to heighten the economic viability of manufacturing facilities. Full article
(This article belongs to the Section Food Analytical Methods)
Show Figures

Figure 1

20 pages, 4115 KB  
Systematic Review
Nonlinear Dynamic Measures of Walking in Healthy Older Adults: A Systematic Scoping Review
by Arezoo Amirpourabasi, Sallie E. Lamb, Jia Yi Chow and Geneviève K. R. Williams
Sensors 2022, 22(12), 4408; https://doi.org/10.3390/s22124408 - 10 Jun 2022
Cited by 14 | Viewed by 3244
Abstract
Background: Maintaining a healthy gait into old age is key to preserving the quality of life and reducing the risk of falling. Nonlinear dynamic analyses (NDAs) are a promising method of identifying characteristics of people who are at risk of falling based on [...] Read more.
Background: Maintaining a healthy gait into old age is key to preserving the quality of life and reducing the risk of falling. Nonlinear dynamic analyses (NDAs) are a promising method of identifying characteristics of people who are at risk of falling based on their movement patterns. However, there is a range of NDA measures reported in the literature. The aim of this review was to summarise the variety, characteristics and range of the nonlinear dynamic measurements used to distinguish the gait kinematics of healthy older adults and older adults at risk of falling. Methods: Medline Ovid and Web of Science databases were searched. Forty-six papers were included for full-text review. Data extracted included participant and study design characteristics, fall risk assessment tools, analytical protocols and key results. Results: Among all nonlinear dynamic measures, Lyapunov Exponent (LyE) was most common, followed by entropy and then Fouquet Multipliers (FMs) measures. LyE and Multiscale Entropy (MSE) measures distinguished between older and younger adults and fall-prone versus non-fall-prone older adults. FMs were a less sensitive measure for studying changes in older adults’ gait. Methodology and data analysis procedures for estimating nonlinear dynamic measures differed greatly between studies and are a potential source of variability in cross-study comparisons and in generating reference values. Conclusion: Future studies should develop a standard procedure to apply and estimate LyE and entropy to quantify gait characteristics. This will enable the development of reference values in estimating the risk of falling. Full article
(This article belongs to the Special Issue Sensor Technologies for Gait Analysis)
Show Figures

Figure 1

18 pages, 1535 KB  
Article
Adversarial Multiscale Feature Learning Framework for Overlapping Chromosome Segmentation
by Liye Mei, Yalan Yu, Hui Shen, Yueyun Weng, Yan Liu, Du Wang, Sheng Liu, Fuling Zhou and Cheng Lei
Entropy 2022, 24(4), 522; https://doi.org/10.3390/e24040522 - 7 Apr 2022
Cited by 21 | Viewed by 3010
Abstract
Chromosome karyotype analysis is of great clinical importance in the diagnosis and treatment of diseases. Since manual analysis is highly time and effort consuming, computer-assisted automatic chromosome karyotype analysis based on images is routinely used to improve the efficiency and accuracy of the [...] Read more.
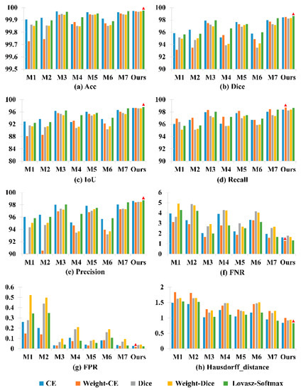
Chromosome karyotype analysis is of great clinical importance in the diagnosis and treatment of diseases. Since manual analysis is highly time and effort consuming, computer-assisted automatic chromosome karyotype analysis based on images is routinely used to improve the efficiency and accuracy of the analysis. However, the strip-shaped chromosomes easily overlap each other when imaged, significantly affecting the accuracy of the subsequent analysis and hindering the development of chromosome analysis instruments. In this paper, we present an adversarial, multiscale feature learning framework to improve the accuracy and adaptability of overlapping chromosome segmentation. We first adopt the nested U-shaped network with dense skip connections as the generator to explore the optimal representation of the chromosome images by exploiting multiscale features. Then we use the conditional generative adversarial network (cGAN) to generate images similar to the original ones; the training stability of the network is enhanced by applying the least-square GAN objective. Finally, we replace the common cross-entropy loss with the advanced Lovász-Softmax loss to improve the model’s optimization and accelerate the model’s convergence. Comparing with the established algorithms, the performance of our framework is proven superior by using public datasets in eight evaluation criteria, showing its great potential in overlapping chromosome segmentation. Full article
Show Figures

Figure 1

16 pages, 5373 KB  
Article
Estimating Phase Amplitude Coupling between Neural Oscillations Based on Permutation and Entropy
by Liyong Yin, Fan Tian, Rui Hu, Zhaohui Li and Fuzai Yin
Entropy 2021, 23(8), 1070; https://doi.org/10.3390/e23081070 - 18 Aug 2021
Cited by 2 | Viewed by 3454
Abstract
Cross-frequency phase–amplitude coupling (PAC) plays an important role in neuronal oscillations network, reflecting the interaction between the phase of low-frequency oscillation (LFO) and amplitude of the high-frequency oscillations (HFO). Thus, we applied four methods based on permutation analysis to measure PAC, including multiscale [...] Read more.
Cross-frequency phase–amplitude coupling (PAC) plays an important role in neuronal oscillations network, reflecting the interaction between the phase of low-frequency oscillation (LFO) and amplitude of the high-frequency oscillations (HFO). Thus, we applied four methods based on permutation analysis to measure PAC, including multiscale permutation mutual information (MPMI), permutation conditional mutual information (PCMI), symbolic joint entropy (SJE), and weighted-permutation mutual information (WPMI). To verify the ability of these four algorithms, a performance test including the effects of coupling strength, signal-to-noise ratios (SNRs), and data length was evaluated by using simulation data. It was shown that the performance of SJE was similar to that of other approaches when measuring PAC strength, but the computational efficiency of SJE was the highest among all these four methods. Moreover, SJE can also accurately identify the PAC frequency range under the interference of spike noise. All in all, the results demonstrate that SJE is better for evaluating PAC between neural oscillations. Full article
(This article belongs to the Special Issue Information Theoretic Measures and Their Applications II)
Show Figures

Figure 1

17 pages, 6561 KB  
Article
Composite Multiscale Cross-Sample Entropy Analysis for Long-Term Structural Health Monitoring of Residential Buildings
by Tzu-Kang Lin and Dong-You Lee
Entropy 2021, 23(1), 60; https://doi.org/10.3390/e23010060 - 31 Dec 2020
Cited by 3 | Viewed by 3075
Abstract
This study proposesd a novel, entropy-based structural health monitoring (SHM) system for measuring microvibration signals generated by actual buildings. A structural health diagnosis interface was established for demonstration purposes. To enhance the reliability and accuracy of entropy evaluation at various scales, composite multiscale [...] Read more.
This study proposesd a novel, entropy-based structural health monitoring (SHM) system for measuring microvibration signals generated by actual buildings. A structural health diagnosis interface was established for demonstration purposes. To enhance the reliability and accuracy of entropy evaluation at various scales, composite multiscale cross-sample entropy (CMSCE) was adopted to increase the number of coarse-grained time series. The degree of similarity and asynchrony between ambient vibration signals measured on adjacent floors was used as an in-dicator for structural health assessment. A residential building that has been monitored since 1994 was selected for long-term monitoring. The accumulated database, including both the earthquake and ambient vibrations in each seismic event, provided the possibility to evaluate the practicability of the CMSCE-based method. Entropy curves obtained for each of the years, as well as the stable trend of the corresponding damage index (DI) graphs, demonstrated the relia-bility of the proposed SHM system. Moreover, two large earthquake events that occurred near the monitoring site were analyzed. The results revealed that the entropy values may have been slightly increased after the earthquakes. Positive DI values were obtained for higher floors, which could provide an early warning of structural instability. The proposed SHM system is highly stable and practical. Full article
(This article belongs to the Special Issue Multiscale Entropy Approaches and Their Applications II)
Show Figures

Figure 1

Back to TopTop