Sign in to use this feature.

Years

Between: -

Subjects

remove_circle_outline
remove_circle_outline
remove_circle_outline
remove_circle_outline
remove_circle_outline
remove_circle_outline
remove_circle_outline
remove_circle_outline
remove_circle_outline

Journals

remove_circle_outline
remove_circle_outline
remove_circle_outline
remove_circle_outline
remove_circle_outline
remove_circle_outline
remove_circle_outline
remove_circle_outline
remove_circle_outline
remove_circle_outline
remove_circle_outline
remove_circle_outline
remove_circle_outline
remove_circle_outline
remove_circle_outline
remove_circle_outline
remove_circle_outline
remove_circle_outline
remove_circle_outline
remove_circle_outline
remove_circle_outline
remove_circle_outline
remove_circle_outline
remove_circle_outline
remove_circle_outline
remove_circle_outline
remove_circle_outline
remove_circle_outline
remove_circle_outline
remove_circle_outline
remove_circle_outline
remove_circle_outline
remove_circle_outline
remove_circle_outline
remove_circle_outline

Article Types

Countries / Regions

remove_circle_outline
remove_circle_outline
remove_circle_outline
remove_circle_outline
remove_circle_outline
remove_circle_outline
remove_circle_outline
remove_circle_outline
remove_circle_outline

Search Results (1,919)

Search Parameters:
Keywords = critical span

Order results
Result details
Results per page
Select all
Export citation of selected articles as:
15 pages, 9376 KB  
Article
Seasonal Variation in Zooplankton Community Structure and Its Environmental Drivers in the Coastal Waters of Lanshan Port
by Liang Zhang, Lan Wang, Cong Fang, Yinglu Ji, Sichao Pu, Huihui Tao, Haizhou Zhang and Yumeng Liu
Biology 2026, 15(9), 679; https://doi.org/10.3390/biology15090679 (registering DOI) - 25 Apr 2026
Abstract
Coastal port ecosystems serve as critical interfaces between marine environments and anthropogenic activities, yet zooplankton community dynamics in these transitional zones remain poorly understood. This study investigated seasonal variations in zooplankton assemblages and their environmental drivers in the coastal waters surrounding Lanshan Port, [...] Read more.
Coastal port ecosystems serve as critical interfaces between marine environments and anthropogenic activities, yet zooplankton community dynamics in these transitional zones remain poorly understood. This study investigated seasonal variations in zooplankton assemblages and their environmental drivers in the coastal waters surrounding Lanshan Port, northern Yellow Sea, through quarterly field surveys spanning spring to winter. A total of 33 zooplankton species and 16 planktonic larval categories were identified, with Hydromedusa, Copepoda, and planktonic larvae comprising the three dominant groups. Marked seasonal disparities were observed in species richness (spring: 21 species and 11 larvae categories; winter: 8 species and 3 larvae categories), biomass (autumn: 333.7 mg/m3; winter: 34.0 mg/m3), and abundance (spring: 185.3 ind/m3; winter: 25.7 ind/m3). Notably, Aidanosagitta crassa maintained perennial dominance across all seasons. Principal component analysis of dominant zooplankton taxa across seasons indicated that the first two principal components explained 70.05% and 15.97% of the total variance in zooplankton community structure, respectively, with distinct seasonal clustering of sampling sites along PC1 reflecting pronounced seasonal succession in community composition. Redundancy analysis revealed seasonal-specific correlations between dominant taxa and nutrients: nitrate concentration was negatively correlated with the relative abundance of Sergestidae in both spring and summer, whereas ammonium concentration was negatively correlated with Hydromedusa; by contrast, the abundances of Chaetognatha and Tunicata exhibited a significant positive correlation with nitrate. We also found water temperature only drove communities in autumn, while salinity had little effect. These findings elucidate the mechanisms structuring zooplankton communities in temperate coastal port ecosystems and underscore the necessity of seasonally resolved monitoring frameworks for effective marine environmental management. Full article
Show Figures

Figure 1

34 pages, 2963 KB  
Systematic Review
Sixty Years of Research on Land Subsidence and Sea-Level Change: A Systematic Review of Global Literature with a Regional Lens on the Gulf of Guinea, Africa
by Roberta Bonì, Philip S. J. Minderhoud, Kwasi Appeaning Addo, Selasi Yao Avornyo, Leon T. Hauser, Femi Emmanuel Ikuemonisan, Marie-Noëlle Woillez, Marine Canesi, Cheikh Tidiane Wade, Rafael Almar, Katharina Seeger, Claudia Zoccarato and Pietro Teatini
Land 2026, 15(5), 721; https://doi.org/10.3390/land15050721 - 24 Apr 2026
Abstract
Since the 1960s, research on sea-level rise (SLR) and land subsidence has grown significantly; however, comprehensive syntheses remain limited. This study presents a systematic review of 2171 publications spanning 1964–2025, combining a global perspective with a regional focus on the Gulf of Guinea, [...] Read more.
Since the 1960s, research on sea-level rise (SLR) and land subsidence has grown significantly; however, comprehensive syntheses remain limited. This study presents a systematic review of 2171 publications spanning 1964–2025, combining a global perspective with a regional focus on the Gulf of Guinea, a critically underrepresented region within the African continent. The results show a steady increase in publications, exceeding 80 per year since 2015. A combined bibliometric and content analysis approach was adopted, integrating large-scale metadata analysis with an in-depth evaluation of 166 full-text studies corresponding to 311 study sites. Bibliometric analyses highlight four main themes: (1) factors driving SLR and subsidence, including climate, geophysical, and human effects; (2) monitoring methods such as tide gauges, GPS, and InSAR-based land motion tracking; (3) impacts on coastal communities, and ecosystems; and (4) strategies for adaptation and mitigation. A comparative assessment of global research output and Low-Elevation Coastal Zone (LECZ) exposure reveals a marked spatial mismatch, with critically vulnerable regions, such as the Gulf of Guinea, remaining significantly underrepresented (44 studies). The synthesis identifies key conceptual, methodological, and practical research gaps. Addressing these gaps requires holistic frameworks that integrate SLR and subsidence, long-term monitoring networks, advanced modeling, and evidence-based adaptation strategies. By linking bibliometric evidence with the interpretation of research trends and gaps, this study provides an analytical basis for supporting monitoring strategies, coastal planning, and adaptive responses. Additionally, the results highlight priority directions for future research directions in the Gulf of Guinea region. Full article
(This article belongs to the Special Issue Integrating Climate, Land, and Water Systems)
31 pages, 3239 KB  
Review
Ultrafast Fiber Lasers in the 2 μm Band: Mode-Locking Techniques, Performance Advances and Applications
by Silun Du, Tianshu Wang, Bo Zhang, Shimeng Tan and Tuo Chen
Photonics 2026, 13(5), 420; https://doi.org/10.3390/photonics13050420 - 24 Apr 2026
Abstract
Ultrafast fiber lasers operating near 2 μm have emerged as a critical platform for advancing mid-infrared photonics due to their narrow pulse durations, high peak powers, and broad tunability. These sources exploit the rich energy-level structures of Tm3+ and Ho3+ doped [...] Read more.
Ultrafast fiber lasers operating near 2 μm have emerged as a critical platform for advancing mid-infrared photonics due to their narrow pulse durations, high peak powers, and broad tunability. These sources exploit the rich energy-level structures of Tm3+ and Ho3+ doped fibers and reside within an atmospheric transmission window, enabling applications spanning nonlinear microscopy, precision micromachining, optical frequency metrology, biophotonics, and free-space optical communication. Recent progress in low-loss fiber fabrication, dispersion-engineered cavity design, and mode-locking technologies has significantly expanded the performance boundaries of 2 μm ultrafast fiber lasers. This review systematically examines the underlying pulse-formation mechanisms and categorizes state-of-the-art mode-locking approaches. Representative laser architectures are compared with respect to pulse duration, energy scalability, repetition-rate enhancement, spectral characteristics, and environmental stability. Key application pathways in high-resolution spectroscopy, biomedical diagnostics, and mid-IR supercontinuum generation are highlighted. Finally, the remaining challenges and prospective research directions are discussed to inform the development of next-generation ultrafast photonic sources in the 2 μm band. Full article
(This article belongs to the Special Issue Advancements in Mode-Locked Lasers)
22 pages, 947 KB  
Review
Clinical Applications of Liquid Biopsy in Colorectal Cancer: A Focus on Registered Clinical Trials
by José Garcia-Pelaez, Yania Yáñez, Miguel Aupí, Marián Lázaro, Merche Molero, Miriam Oliver-Tos, Laura Rausell and Inés Calabria
Genes 2026, 17(5), 500; https://doi.org/10.3390/genes17050500 (registering DOI) - 24 Apr 2026
Abstract
Background/Objectives: Early detection through minimally invasive approaches is critical for timely patient stratification and optimal therapeutic decision-making in colorectal cancer (CRC). Liquid biopsy, based on the analysis of tumor-derived components in blood and other body fluids, has emerged as a promising strategy [...] Read more.
Background/Objectives: Early detection through minimally invasive approaches is critical for timely patient stratification and optimal therapeutic decision-making in colorectal cancer (CRC). Liquid biopsy, based on the analysis of tumor-derived components in blood and other body fluids, has emerged as a promising strategy to overcome current limitations in CRC diagnosis and follow-up. This review evaluates the current landscape of liquid biopsy clinical trials in CRC, focusing on predictive biomarker detection, prognostic assessment, and disease monitoring. Methods: ClinicalTrials.gov was searched using the terms “colorectal cancer” and “liquid biopsy” yielding 153 registered trials. After manual screening, 44 trials were excluded for not using liquid biopsy for CRC management, leaving 109 trials for analysis. Of these, 25 were completed, and 13 had publicly available results related to liquid biopsy. Results: The included trials were conducted across 27 countries on four continents. Overall, 119 biomolecules assessments and 167 different endpoints were reported across 109 clinical trials. Because individual trials could evaluate multiple biomolecules and endpoints, counts exceed the total number of trials. Cell-free DNA (cfDNA) was evaluated in 92/109 trials (84%) and accounting for 77% of all biomolecule assessments. Circulatingtumor cells (CTCs) were analyzed in 9/109 trials (8%, representing 8% of all the biomolecules analyzed), and microRNAs (miRNAs) in 8/109 (7%, representing 7% of all the biomolecules analyzed). Treatment sensitivity was the most common endpoint (57/109, 52% of the clinical trials; representing 34% of all the 167 different endpoints analyzed), followed by disease progression (28/109, 26%; representing 17% of all the different endpoints analyzed) and diagnostic applications (21/109, 19%; representing 12% of all the different endpoints analyzed). Among the 25 completed studies, 10/25 (40%) were interventional and 15/25 (60%) observational, spanning 14 countries. The majority of completed trials (21/25, 84%) used cfDNA. Interventional studies were predominantly phase II (5/10), with fewer phase III trials (2/10), primarily evaluating treatment response, particularly in relation to EGFR inhibitors and RAS/BRAF mutation status. Four observational studies (4/15) investigated emerging biomarkers, including long noncoding RNAs and miRNAs. Conclusions: Current clinical trials highlight cfDNA as the dominant and most clinically advanced liquid biopsy biomarker in CRC, primarily used for treatment guidance and disease monitoring. In contrast, CTCs and RNA-based biomarkers remain underrepresented. The limited number of randomized late-phase trials, heterogeneity in study design, and technical challenges associated with emerging biomarkers underscore the need for standardized methodologies and robust validation before routine clinical implementation. Full article
Show Figures

Figure 1

20 pages, 1554 KB  
Article
Smart Sensor Network Architecture with Machine Learning-Based Predictive Monitoring for High-Complexity Computed Tomography Systems
by Arbnor Pajaziti and Blerta Statovci
Sensors 2026, 26(9), 2619; https://doi.org/10.3390/s26092619 - 23 Apr 2026
Abstract
This study addresses the need for intelligent condition monitoring in high-complexity medical imaging systems by proposing a smart sensing architecture for the Revolution EVO Computed Tomography (CT) scanner. Ensuring operational reliability and minimizing unexpected downtime remain critical challenges in advanced CT platforms, motivating [...] Read more.
This study addresses the need for intelligent condition monitoring in high-complexity medical imaging systems by proposing a smart sensing architecture for the Revolution EVO Computed Tomography (CT) scanner. Ensuring operational reliability and minimizing unexpected downtime remain critical challenges in advanced CT platforms, motivating the integration of distributed sensing and data-driven analytics. System logs spanning August 2024 to October 2025 were processed into 10-min intervals and converted into a structured dataset comprising 76 features derived from operational events, scanning parameters, and temporal dynamics. Two supervised learning models, the Support Vector Machine (SVM) and Artificial Neural Network (ANN), were trained to identify abnormal operating conditions. Both models delivered excellent classification performance, achieving an accuracy of 0.973. The SVM demonstrated balanced precision, recall, and F1-score metrics of 0.973, while the ANN outperformed in ranking and sensitivity to anomalies with an AUROC of 0.993 and an AUPRC of 0.976. This framework highlights the potential of sensor-driven machine learning in enabling early detection of system anomalies and optimizing maintenance planning within clinical CT environments. Full article
26 pages, 1490 KB  
Systematic Review
Object Detection in Optical Remote Sensing Images: A Systematic Review of Methods, Benchmarks, and Operational Applications
by Neus Fontanet Garcia and Piero Boccardo
Remote Sens. 2026, 18(9), 1289; https://doi.org/10.3390/rs18091289 - 23 Apr 2026
Abstract
Object detection in optical remote sensing imagery has emerged as a crucial task in computer vision, with applications ranging between environmental monitoring to disaster management, precision agriculture, and urban planning. This review systematically examines current methodologies, categorising them into four principal approaches: (1) [...] Read more.
Object detection in optical remote sensing imagery has emerged as a crucial task in computer vision, with applications ranging between environmental monitoring to disaster management, precision agriculture, and urban planning. This review systematically examines current methodologies, categorising them into four principal approaches: (1) template matching-based methods, which leverage predefined patterns for object identification; (2) knowledge-based methods, which incorporate geometric and contextual information to enhance detection accuracy; (3) object-based image analysis (OBIA), which segments images into meaningful objects using spectral and spatial properties; (4) machine learning-based methods, particularly deep convolutional neural networks (CNNs), which have revolutionised the field through automatic feature learning. Each methodology’s performance characteristics, computational requirements, and suitability for different remote sensing applications are analysed. Our systematic review, following PRISMA guidelines, analysed 189 studies published from 2010 to 2025, of which 73 provided quantitative results on standard benchmarks. The three most critical challenges identified are as follows: (1) annotation bottleneck, as dense bounding box labelling of remote sensing imagery remains highly labour-intensive for deep learning approaches, (2) extreme scale variation spanning 2–3 orders of magnitude within single scenes, and (3) domain adaptation failures when models encounter new geographic regions or sensor characteristics. This review identifies critical research gaps and proposes prioritised future directions, emphasising foundation models for zero-shot detection, efficient architectures for resource-constrained deployment, and standardised benchmarks with size-specific metrics. The analysis provides practitioners with evidence-based decision frameworks for method selection and researchers with a roadmap for advancing object detection in remote sensing applications. Full article
41 pages, 1561 KB  
Review
Process Engineering Strategies for Microbial Lipid Production: From Strain Evolution to Industrial-Scale Bioprocessing
by Eusebiu Cristian Florea, Adelina Gabriela Niculescu, Andreea Gabriela Bratu, Dan Eduard Mihaiescu and Alexandru Mihai Grumezescu
Int. J. Mol. Sci. 2026, 27(9), 3760; https://doi.org/10.3390/ijms27093760 - 23 Apr 2026
Abstract
Microbial lipids have emerged as a promising sustainable alternative to plant- and petroleum-derived oils, with applications spanning biofuels, oleochemicals, nutraceuticals, and specialty materials. Significant advances in metabolic engineering and strain development have increased lipid production capacity across diverse microorganisms. Numerous reviews have summarized [...] Read more.
Microbial lipids have emerged as a promising sustainable alternative to plant- and petroleum-derived oils, with applications spanning biofuels, oleochemicals, nutraceuticals, and specialty materials. Significant advances in metabolic engineering and strain development have increased lipid production capacity across diverse microorganisms. Numerous reviews have summarized the biological and metabolic advances in this field, highlighting significant progress in metabolic engineering and strain development that has increased lipid production capacity across diverse microorganisms. However, translating these gains into economically viable industrial processes remains a major challenge. This review examines process engineering strategies for microbial lipid production across the full bioprocessing pipeline, from laboratory-scale strain evolution to industrial-scale operation. We discuss recent developments in adaptive laboratory evolution, systems-guided strain optimization, and robustness engineering, emphasizing their implications for process performance. Key bioprocess parameters—including substrate selection, nutrient limitation strategies, reactor design, oxygen transfer, and process control—are critically evaluated for their impact on lipid yield, productivity, and scalability. Furthermore, downstream processing considerations and techno-economic constraints are analyzed in the context of large-scale implementation. By integrating strain-level innovations with process engineering principles, this review highlights current bottlenecks, emerging solutions, and future directions for achieving efficient and scalable microbial lipid biomanufacturing. Full article
14 pages, 13526 KB  
Article
Integrating BSA-Seq, QTL Mapping, and RNA-Seq to Identify Candidate Genes for Hollow Heart in Cucumber Fruits
by Mengyao Kong, Chenran Gu, Xiaoyue Li, Yanwen Yuan, Jiaxi Li, Zhiwei Qin and Ming Xin
Plants 2026, 15(9), 1299; https://doi.org/10.3390/plants15091299 - 23 Apr 2026
Viewed by 22
Abstract
Cucumber (Cucumis sativus L.) is a globally significant vegetable crop, and its fruit quality remains a major focus of research. The hollow-heart trait, characterized by internal cracks or cavities, severely compromises both the commercial value and edible quality of cucumber fruit. In [...] Read more.
Cucumber (Cucumis sativus L.) is a globally significant vegetable crop, and its fruit quality remains a major focus of research. The hollow-heart trait, characterized by internal cracks or cavities, severely compromises both the commercial value and edible quality of cucumber fruit. In this study, a six-generation segregating population (P1, P2, F1, F2, BC1P1, BC1P2) was developed from the parental lines “JZ6-1-2” and “D0432-3-4”. BSA-seq was employed to map candidate genomic regions associated with the hollow-heart trait to chromosomes 2, 3, and 7. Subsequently, a major QTL for the trait was delineated on chromosome 7, spanning a region containing 98 genes. Comparative RNA-seq between the parental lines identified 2141 differentially expressed genes. The integration of QTL mapping and RNA-seq data revealed 11 candidate genes residing within the key QTL interval. Through further validation via qRT-PCR, gene sequence comparison, and gene annotation, Csa7G039280 was identified as a promising candidate gene regulating hollow-heart formation, potentially via the lignin biosynthesis pathway. The identification of these candidate regions and genes provides critical information for molecular breeding aimed at developing non-hollow-heart cucumber varieties, thereby enhancing the understanding of the genetic regulatory mechanisms underlying this economically important trait. Full article
(This article belongs to the Section Plant Genetics, Genomics and Biotechnology)
Show Figures

Figure 1

15 pages, 5064 KB  
Article
Physics-Guided Machine Learning with Flowing Material Balance Integration: A Novel Approach for Reliable Production Forecasting and Well Performance Analytics
by Eghbal Motaei, Tarek Ganat and Hai T. Nguyen
Energies 2026, 19(9), 2022; https://doi.org/10.3390/en19092022 - 22 Apr 2026
Viewed by 144
Abstract
Reliable production forecasting is a critical task for evaluating asset valuation and commercial performance in oil and gas reservoirs. Conventional short-term forecasting methods, such as Arps’ decline curve analysis, rely on simple mathematical curve fitting and often oversimplify reservoir performance. On the other [...] Read more.
Reliable production forecasting is a critical task for evaluating asset valuation and commercial performance in oil and gas reservoirs. Conventional short-term forecasting methods, such as Arps’ decline curve analysis, rely on simple mathematical curve fitting and often oversimplify reservoir performance. On the other hand, long-term forecasting requires complex multidisciplinary models that integrate geophysics, reservoir engineering, and production engineering, but these approaches are time-consuming and have high turnaround times. To bridge the gap between long and short-term production forecasts, reduced-physics models such as Blasingame type curves have been developed, incorporating transient well behaviour derived from diffusivity equations and Darcy’s law. These models assume homogeneity and uniform reservoir properties, enabling faster results while honouring pressure performance. However, despite their efficiency, they still face limitations in reliability, particularly when extended to long-term forecasts. This paper proposes a hybrid modelling approach that integrates flowing material balance (FMB) concepts into physics-informed neural networks (PiNNs) and machine learning models to improve the accuracy and reliability of production forecasting. The proposed methodology introduces two hybrid strategies: physics-informed models enriched with FMB feature, and PiNNs. The first proposed hybrid model uses a created FMB-derived feature as input to neural networks. The second PiNN model embeds data-driven loss functions with a physics-based envelope to reflect reservoir response into the machine learning model. The primary loss function is mean squared error, ensuring minimization of data misfit between predicted and observed production rates. The study validates both proposed physically informed neural network models through performance metrics such as RMSE, MAE, MAPE, and R2. Results application on field data shows that the integration of FMB into neural network models using the PiNN concept guides the neural network models to predict the production rates with higher reliability over the full span of the tested data period, which was the last year of unseen production data. Additionally, the proposed PiNN model is able to predict the well productivity index via hyper-tuning of the PiNN model. Furthermore, the PiNN is not improving the metric performance of conventional neural networks, as it has to satisfy an additional material balance equation. This is due to a lower degree of freedom in the PiNN models. Full article
Show Figures

Figure 1

34 pages, 1293 KB  
Review
Advanced Control Methods and Optimization Techniques for Microgrid Planning: A Review
by Ahlame Bentata, Omar El Aazzaoui, Mihai Oproescu, Mustapha Errouha, Najib El Ouanjli and Badre Bossoufi
Energies 2026, 19(9), 2019; https://doi.org/10.3390/en19092019 - 22 Apr 2026
Viewed by 124
Abstract
The increasing emphasis on sustainable and decentralized energy has elevated microgrids as a central element of modern power systems. By integrating renewable energy sources, advanced energy storage technologies, and intelligent control strategies, microgrids enhance efficiency, stability, and flexibility and play a vital role [...] Read more.
The increasing emphasis on sustainable and decentralized energy has elevated microgrids as a central element of modern power systems. By integrating renewable energy sources, advanced energy storage technologies, and intelligent control strategies, microgrids enhance efficiency, stability, and flexibility and play a vital role in creating resilient and adaptable energy networks. This review provides a comprehensive analysis of Energy Management Systems (EMSs) in microgrids, distinguishing between planning-oriented tools for techno-economic evaluation and control-oriented platforms for real-time operation and optimization. Hierarchical control architectures spanning primary, secondary, and tertiary levels are examined, highlighting their roles in frequency and voltage regulation, load sharing, and economic dispatch. Optimization techniques for EMSs are analyzed across deterministic, stochastic, metaheuristic, and artificial intelligence/machine learning methods, addressing objectives, constraints, uncertainties, and multi-timeframe decision-making. AI-based methods, including supervised learning, deep learning, and reinforcement learning, are highlighted for their ability to enhance predictive control, system autonomy, and operational efficiency, despite their computational demands. Future trends emphasize AI-based predictive control, deep learning for energy forecasting, multi-microgrid coordination, hybrid energy storage management, and cybersecurity enhancements. Overall, an intelligent EMS, combined with innovative technologies, is critical for developing resilient, scalable, and sustainable microgrid solutions that meet the evolving demands of modern energy systems. Full article
17 pages, 3227 KB  
Article
Assessment of Density-Dependent Hydro-Collapse Mechanisms in Fine-Grained Geomaterials: A Multi-Axial Stress Analysis
by Juan Carlos Ruge and Carlos J. Slebi-Acevedo
Geotechnics 2026, 6(2), 40; https://doi.org/10.3390/geotechnics6020040 - 22 Apr 2026
Viewed by 69
Abstract
Volumetric collapse, a critical phenomenon in clayey soils, is characterized by a sudden reduction in volume when subjected to wetting under a specific effective vertical stress. This behavior is primarily caused by the breakdown of cementing bonds between particles in the soil’s interstitial [...] Read more.
Volumetric collapse, a critical phenomenon in clayey soils, is characterized by a sudden reduction in volume when subjected to wetting under a specific effective vertical stress. This behavior is primarily caused by the breakdown of cementing bonds between particles in the soil’s interstitial spaces. Our study, which examines the impact of unit weight and wetting on the collapse potential of clayey soils under various stress conditions, has practical implications for geotechnical engineers. We evaluated three-unit weights spanning from loose to compacted states and assessed collapse behavior at various stress levels. Even in the observations of the microstructure under a scanning electron microscope, which corroborated the images, the pathology is evident. The results demonstrate an explicit dependency between unit weight and collapsibility. Statistical analysis revealed that unit weight was the predominant factor influencing the outcomes, with the magnitude of applied stress being identified as a secondary yet notable determinant. Furthermore, the non-linear interactions, as elucidated through ANOVA and Tukey’s HSD tests, serve as instrumental methodologies in this analytical framework. The findings underscore a significant correlation between applied stress and collapse potential, underscoring the crucial role of soil densification in mitigating the risks associated with collapse phenomena. Full article
Show Figures

Figure 1

28 pages, 6141 KB  
Article
The Evolution of the Mental Health–Acute Coronary Syndrome Intersection: A 50-Year Bibliometric Mapping and Changepoint Analysis (1975–2025)
by Alexandra Herlaș-Pop, Andrei-Flavius Radu, Ada Radu, Gabriela S. Bungau, Delia Mirela Tit, Cristiana Bustea and Elena Emilia Babes
Healthcare 2026, 14(8), 1115; https://doi.org/10.3390/healthcare14081115 - 21 Apr 2026
Viewed by 216
Abstract
Background/Objectives: The intersection of mental health and acute coronary syndromes has become an increasingly prominent area of cardiovascular and psychosomatic research, yet its temporal dynamics and intellectual structure remain incompletely characterized. Methods: This study analyzed 13,646 peer-reviewed documents spanning five decades, [...] Read more.
Background/Objectives: The intersection of mental health and acute coronary syndromes has become an increasingly prominent area of cardiovascular and psychosomatic research, yet its temporal dynamics and intellectual structure remain incompletely characterized. Methods: This study analyzed 13,646 peer-reviewed documents spanning five decades, employing advanced changepoint detection (PELT) algorithms, network visualization (VOSviewer), and bibliometric performance metrics (Bibliometrix) to quantify the evolution of the mental health–ACS intersection. Results: Statistical analysis identified two robust inflection points at 1990 and 2005 that demarcate distinct developmental periods. The 1990 breakpoint marked an important transition, although additional metadata-completeness analysis indicated that part of the increase from 72 to 142 publications may reflect improved availability of non-title Topic-field metadata in WoSCC around 1990–1991. The 2005 breakpoint represented the most critical transition (Cohen’s d = 4.05, p < 0.000001), initiating exponential growth from 349 to over 600 annual publications by 2022 and coinciding with growing research attention to psychiatric comorbidity within ACS literature. Keyword co-occurrence networks revealed a shift in research focus: early publications predominantly addressed mental health as a psychological reaction to cardiac events, whereas more recent publications increasingly frame depression, anxiety, and PTSD alongside mechanistic constructs such as inflammatory pathways, autonomic dysfunction, and platelet reactivity. Although seminal intervention trials (i.e., ENRICHD, SADHART) established pharmacological safety and symptom improvement, keyword analyses indicate that following these trials, research attention increasingly shifted toward precision psychiatry concepts and mechanistic pathway elucidation. Conclusions: These findings provide a quantitative map of how publication activity at the mental health–ACS intersection has evolved, offering a structured basis for identifying under-researched areas and informing future research agendas. Full article
Show Figures

Figure 1

26 pages, 13181 KB  
Article
QHAWAY: An Instance Segmentation and Monocular Distance Estimation ADAS for Vulnerable Road Users in Informal Andean Urban Corridors
by Abel De la Cruz-Moran, Hemerson Lizarbe-Alarcon, Wilmer Moncada, Victor Bellido-Aedo, Carlos Carrasco-Badajoz, Carolina Rayme-Chalco, Cristhian Aldana Yarlequé, Yesenia Saavedra, Edwin Saavedra and Alex Pereda
Sensors 2026, 26(8), 2569; https://doi.org/10.3390/s26082569 - 21 Apr 2026
Viewed by 142
Abstract
Vulnerable road users in informal urban environments confront a distinct set of hazards that standard computer vision datasets are ill-equipped to represent: artisanal speed bumps constructed without regulatory compliance, deteriorated road markings, and the mototaxi—a three-wheeled motorized vehicle that constitutes the primary informal [...] Read more.
Vulnerable road users in informal urban environments confront a distinct set of hazards that standard computer vision datasets are ill-equipped to represent: artisanal speed bumps constructed without regulatory compliance, deteriorated road markings, and the mototaxi—a three-wheeled motorized vehicle that constitutes the primary informal transport mode in intermediate Andean cities yet is absent from all major international repositories. This paper presents QHAWAY—from Quechua qhaway, a transitive verb meaning “to look; to observe”—an Advanced Driver Assistance System (ADAS) predicated on instance segmentation, monocular distance estimation via the pinhole camera model, and Time-to-Collision (TTC) computation, developed for the road environment of Ayacucho, Peru (2761 m a.s.l.), a city recognised by UNESCO as a Creative City of Crafts and Folk Art since 2019. A hybrid dataset comprising 25,602 images with 127,525 annotated instances across 12 classes was assembled by combining an original local collection of 4598 images (10,701 instances) captured through four complementary acquisition methods across the five urban districts of the Huamanga province with three established international datasets (BDD100K, BSTLD, RLMD; 21,004 images, 116,824 instances). A three-phase progressive training strategy with monotonically increasing resolution (640, 800, and 1024 pixels) was evaluated as an ablation study. A multi-architecture comparison spanning YOLOv8L-seg and the YOLO26 family (nano, small, large) identified YOLO26L-seg as the best-performing model, attaining mAP50 Box of 0.829 and mAP50 Mask of 0.788 at epoch 179. The integration of ByteTrack multi-object tracking with the pinhole equation D=(Hreal×f)/hpx delineates operational risk zones aligned with the NHTSA forward collision warning standard (danger: <3 m; caution: 3–7 m; TTC threshold ≤ 2.4 s). The system sustains processing rates of 19.2–25.4 FPS on an NVIDIA RTX 5080 GPU. A systematic field survey established that 96% of the audited speed bumps fail to comply with MTC Directive No. 01-2011-MTC/14, constituting the first quantitative record of informal road infrastructure non-compliance in the Andean region. Validation was conducted under naturalistic driving conditions without staged scenarios. Grad-CAM explainability analysis, encompassing three complementary visualisation algorithms (Grad-CAM, Grad-CAM++, and EigenCAM), confirmed that model attention concentrates consistently on safety-critical objects. Full article
Show Figures

Figure 1

40 pages, 5543 KB  
Article
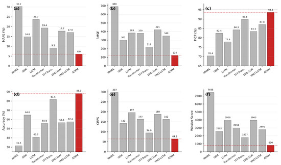
An Adaptive Decomposition–Ensemble Modeling Method for Multi-Category Power Materials Demand Forecasting with Uncertainty Quantification
by Nan Zhu, Xiao-Ning Ma, Shi-Yu Zhang, Qian-Qian Meng and Wei Lu
Energies 2026, 19(8), 2008; https://doi.org/10.3390/en19082008 - 21 Apr 2026
Viewed by 151
Abstract
Accurate demand forecasting with uncertainty quantification is critical for materials management in power grid enterprises, yet existing methods struggle to capture multi-scale temporal dynamics across heterogeneous material categories while providing reliable confidence estimates. This paper proposes an Adaptive Decomposition–Ensemble Modeling (ADEM) method that [...] Read more.
Accurate demand forecasting with uncertainty quantification is critical for materials management in power grid enterprises, yet existing methods struggle to capture multi-scale temporal dynamics across heterogeneous material categories while providing reliable confidence estimates. This paper proposes an Adaptive Decomposition–Ensemble Modeling (ADEM) method that integrates adaptive CEEMDAN (Complete Ensemble Empirical Mode Decomposition with Adaptive Noise) with category-specific depth selection, a heterogeneous ensemble of a GBM (Gradient Boosting Machine), ELM (Extreme Learning Machine), and SVR (Support Vector Regression) with per-component optimized weights, and Bayesian uncertainty quantification with conformal calibration for distribution-free coverage guarantees. Experiments on real-world data spanning 18 material categories over 60 months demonstrate that ADEM consistently outperforms 14 baselines spanning statistical, machine learning, deep learning, and decomposition-based methods in both point prediction accuracy and prediction interval quality. Rolling-origin evaluation across six temporal windows further exhibits the robustness and statistical significance of these improvements. Full article
Show Figures

Figure 1

30 pages, 65437 KB  
Article
Transboundary Aquifer Vulnerability: Modeling Future Groundwater Decline in the Nubian Sandstone Aquifer (Al Kufrah Basin, Libya)
by Abdalraheem Huwaysh, Fadoua Hamzaoui and Nawal Alfarrah
Water 2026, 18(8), 987; https://doi.org/10.3390/w18080987 - 21 Apr 2026
Viewed by 259
Abstract
Groundwater in arid and semi-arid regions is increasingly stressed by low rainfall, high evaporation, population growth, agricultural expansion, and climate change. A critical question is whether non-renewable aquifers can sustain rising water demand without irreversible decline. This study addresses that question for the [...] Read more.
Groundwater in arid and semi-arid regions is increasingly stressed by low rainfall, high evaporation, population growth, agricultural expansion, and climate change. A critical question is whether non-renewable aquifers can sustain rising water demand without irreversible decline. This study addresses that question for the Al Kufrah Basin in southeastern Libya, part of the Nubian Sandstone Aquifer System, the world’s largest fossil aquifer. A three-dimensional groundwater flow model (MODFLOW-2000) was calibrated using data from more than 1000 production wells and 32 piezometers spanning 1968–2022. The model was applied to simulate groundwater behavior under five scenarios extending to 2050, including the planned development of 150 new wells. The results indicate that over 85% of withdrawals are derived from aquifer storage rather than boundary inflows. While regional water levels remain relatively stable over the 25-year horizon, localized drawdowns of up to 11 m are expected near new well fields. These findings highlight short-term resilience but point to long-term vulnerability, as continued reliance on non-renewable reserves without recharge will ultimately lead to depletion. The study underscores the need for adaptive management, climate-resilient water strategies, and regional cooperation to ensure the sustainable use of this transboundary aquifer under increasing environmental and socio-economic pressures. Full article
(This article belongs to the Special Issue Advances in Extreme Hydrological Events Modeling)
Show Figures

Figure 1

Back to TopTop