Sign in to use this feature.

Years

Between: -

Subjects

remove_circle_outline
remove_circle_outline
remove_circle_outline
remove_circle_outline
remove_circle_outline
remove_circle_outline
remove_circle_outline

Journals

Article Types

Countries / Regions

Search Results (28)

Search Parameters:
Keywords = creep reduction factor

Order results
Result details
Results per page
Select all
Export citation of selected articles as:
19 pages, 7223 KB  
Article
Analysis of Failure Cause in Steel Wire-Reinforced Thermoplastic Composite Pipes for Sour Gas Field Water Transportation
by Zhiming Yu, Shaomu Wen, Jie Wang, Jianwei Lin, Chuan Xie and Dezhi Zeng
Materials 2025, 18(21), 4865; https://doi.org/10.3390/ma18214865 - 24 Oct 2025
Viewed by 346
Abstract
Steel-reinforced thermoplastic pipe is widely used for water transportation in sour gas fields. However, under the combined effects of corrosive media, internal high pressure, and long-term environmental aging, premature failures such as leakage and bursting often occur. To clarify the failure causes and [...] Read more.
Steel-reinforced thermoplastic pipe is widely used for water transportation in sour gas fields. However, under the combined effects of corrosive media, internal high pressure, and long-term environmental aging, premature failures such as leakage and bursting often occur. To clarify the failure causes and primary contributing factors of the composite pipes, this study conducted a comprehensive analysis through microscopic morphology examination of different typical failure cases, differential scanning calorimetry, Fourier transform infrared spectroscopy, and mechanical property testing. The main failure mechanisms were investigated, and targeted protective measures are proposed. Key findings reveal that the typical failure modes are ductile cracking, aging-induced brittle cracking, and aging creep cracking. These failures follow a mechanism of degradation of the inner and outer polyethylene protective layers, penetration of the medium and corrosion of the steel wires, reduction in pressure-bearing capacity, and eventual structural damage or leakage propagation through the pipe wall. Notably, oxidation induction time values dropped as low as 1.4–17 min—far below the standard requirement of >20 min—indicating severe antioxidant depletion and material aging. The main controlling factors are poor material quality, external stress or mechanical damage, and long-term aging. The polyethylene used for the inner and outer protective layers is critical to the overall pipe performance; therefore, emphasis should be placed on evaluating its anti-aging properties and on protecting the pipe body during installation to ensure the long-term safety and stable operation of the pipeline system. Full article
Show Figures

Figure 1

24 pages, 16565 KB  
Article
Dynamic Characteristics of the Pore Heterogeneity of Longmaxi Shale Based on High-Pressure Triaxial Creep Testing
by Yan Dai, Hanyu Zhang, Yanming Zhu, Haoran Chen, Yao Ge, Qian Wang and Yiming Zhao
Fractal Fract. 2025, 9(9), 564; https://doi.org/10.3390/fractalfract9090564 - 28 Aug 2025
Viewed by 617
Abstract
The dynamic changes in shale pore structure due to tectonic uplift are crucial for understanding the processes of shale gas enrichment and accumulation, particularly in complex tectonic regions. To explore the heterogeneous changes in pore structure and their influencing factors during the last [...] Read more.
The dynamic changes in shale pore structure due to tectonic uplift are crucial for understanding the processes of shale gas enrichment and accumulation, particularly in complex tectonic regions. To explore the heterogeneous changes in pore structure and their influencing factors during the last tectonic uplift of Longmaxi shale, triaxial creep experiments were performed under varying confining pressure conditions. In addition, FE-SEM, MIP, LN2GA, and LCO2GA experiments were employed to both qualitatively and quantitatively characterize the pore structure of three distinct groups of Longmaxi shale samples. To further investigate pore heterogeneity, the multifractal dimension was applied to examine the evolution of the shale pore structure under the influence of the last tectonic uplift. The results revealed that the primary pore types in Longmaxi shale include organic matter pores, microfractures, intergranular pores, and intragranular pores. The shale’s mechanical properties and mineral content have a significant impact on the heterogeneity of these pores. Notably, the shale pores exhibit distinct multifractal characteristics, highlighting the complex nature of pore heterogeneity. The singular index (α0) and ten other multifractal dimension parameters provide valuable insights into the heterogeneity characteristics of shale pores from various perspectives. Additionally, dynamic changes in pore heterogeneity are primarily controlled by the mineral composition. Under identical creep pressure variation conditions, significant differences are observed in the pore rebound behavior of Longmaxi shale with different mineral compositions. Under high-pressure conditions, the content of TOC and quartz plays a dominant role in controlling pore heterogeneity, with their influence initially decreasing and then increasing as pressure decreases. The reduction in creep pressure emphasizes the controlling effect of TOC, quartz, and feldspar content on pore connectivity. This study introduces high-pressure triaxial creep experiments to simulate the stress response behavior of pore structures during tectonic uplift, offering a more comprehensive reflection of pore evolution in organic-rich shale under realistic geological conditions. Full article
(This article belongs to the Special Issue Multiscale Fractal Analysis in Unconventional Reservoirs)
Show Figures

Figure 1

14 pages, 2594 KB  
Article
Low-Temperature Performance and Thermal Control of Asphalt Modified with Microencapsulated Phase-Change Materials
by Liming Zhang, Junmao Wang, Jinhua Wu, Ran Zhang, Yinchuan Guo, Hongbo Shen, Xinghua Liu and Kuncan Li
Coatings 2025, 15(8), 879; https://doi.org/10.3390/coatings15080879 - 26 Jul 2025
Viewed by 799
Abstract
Conventional asphalt is prone to cracking in cold climates due to its poor flexibility and limited ability to regulate temperature. This study investigates the use of low-temperature microencapsulated phase-change materials (MPCMs) to improve both the thermal storage and low-temperature performance of asphalt. MPCMs [...] Read more.
Conventional asphalt is prone to cracking in cold climates due to its poor flexibility and limited ability to regulate temperature. This study investigates the use of low-temperature microencapsulated phase-change materials (MPCMs) to improve both the thermal storage and low-temperature performance of asphalt. MPCMs were incorporated into asphalt through physical blending at various concentrations. The physical, thermal, and rheological properties of the asphalt were then systematically evaluated. Tests included penetration, softening point, ductility, thermogravimetric analysis (TGA), and dynamic shear rheometer (DSR). The addition of MPCMs increased penetration and ductility. It slightly reduced the softening point and viscosity. These changes suggest improved flexibility and workability at low temperatures. Rheological tests showed reductions in rutting and fatigue factors. This indicates better resistance to thermal and mechanical stresses. Bending Beam Rheometer (BBR) results further confirmed that MPCMs lowered creep stiffness and increased the m-value. These findings demonstrate improved crack resistance under cold conditions. Thermal cycling tests also showed that MPCMs delayed the cooling process and reduced temperature fluctuations. This highlights their potential to enhance both energy efficiency and the durability of asphalt pavements in cold regions. Full article
(This article belongs to the Special Issue Synthesis and Application of Functional Polymer Coatings)
Show Figures

Graphical abstract

30 pages, 7365 KB  
Article
Development of Time Series Models and Algorithms: Creep Prediction for Low-Carbon Concrete Materials
by Zhengpeng Zhou, Houmin Li, Keyang Wu, Jie Chen, Tianhao Yao and Yunlong Wu
Materials 2025, 18(13), 3152; https://doi.org/10.3390/ma18133152 - 3 Jul 2025
Viewed by 640
Abstract
In practical engineering applications, the use of low-carbon concrete materials is in line with the principles of sustainable development and helps to reduce the impact on the environment. Creep effects are particularly critical in the research on such materials. However, traditional characterization methods [...] Read more.
In practical engineering applications, the use of low-carbon concrete materials is in line with the principles of sustainable development and helps to reduce the impact on the environment. Creep effects are particularly critical in the research on such materials. However, traditional characterization methods are time-consuming and often fail to account for the interactions of multiple factors. This study constructs a time-series database capturing the behavioral characteristics of low-carbon concrete materials over time. Three temporal prediction models—Artificial Neural Network (ANN), Random Forest (RF), and Long Short-Term Memory (LSTM) networks—were retrained for creep prediction. To address limitations in model architecture and algorithmic frameworks, an enhanced Adaptive Crowned Porcupine Optimization algorithm (ACCPO) was implemented. The improved performance of the ACCPO was validated using four diverse benchmark test functions. Post-optimization results showed remarkable improvements. For ANN, RF, and LSTM, single-metric accuracies increased by 20%, 19%, and 6%, reaching final values of 95.9%, 93.9%, and 97.8%, respectively. Comprehensive evaluation metrics revealed error reductions of 22.6%, 7.9%, and 8% across the respective models. These results confirm the rationality of the proposed temporal modeling framework and the effectiveness of the ACCPO algorithm. Among them, the ACCPO-LSTM time series model is the best choice. Full article
Show Figures

Figure 1

22 pages, 9006 KB  
Article
Stability Assessment of Rock Slopes in the Former Quarry of Wojciech Bednarski Park in Kraków—A Case Study
by Malwina Kolano, Marek Cała, Agnieszka Stopkowicz, Piotr Olchowy and Marek Wendorff
Appl. Sci. 2025, 15(13), 7197; https://doi.org/10.3390/app15137197 - 26 Jun 2025
Cited by 1 | Viewed by 672
Abstract
This study presents a stability assessment of rock slopes, considering the joint systems of the rock walls of Wojciech Bednarski Park. Special emphasis was placed on analysing the orientation and infill characteristics of the identified joint sets. Based on archival data and newly [...] Read more.
This study presents a stability assessment of rock slopes, considering the joint systems of the rock walls of Wojciech Bednarski Park. Special emphasis was placed on analysing the orientation and infill characteristics of the identified joint sets. Based on archival data and newly conducted geological surveys, stability calculations were performed for eight representative cross-sections corresponding to designated sectors. Numerical analyses were conducted using a finite element method (FEM) programme, based on the actual structure of the rock mass, specifically its discontinuities. This ensured a reliable reflection of the real conditions governing the slope instability mechanisms. Factors of safety were estimated with the Shear Strength Reduction Technique. The results indicate that slope failure is highly unlikely in Sectors 1 and 2 (FS > 1.50), unlikely but not fully meeting the safety criteria in Sector 3 (FS < 1.50), and highly probable in Sectors 4 and 6 (FS << 1.00), where unstable rock blocks and deeper structural slides are anticipated. In Sector 5, failure is considered probable (FS < 1.30) due to rockfalls, unstable blocks, and creeping weathered cover. For Sectors 7 and 8, assuming debris cover above the rock walls, failure is unlikely (FS > 1.50). In contrast, under the assumption of weathered material, it becomes probable in Sector 7 (FS < 1.30), and remains unlikely in Sector 8 (FS > 1.50). Due to the necessity of adopting several modelling assumptions, the results should be interpreted primarily in qualitative terms. The outcomes of this research provide a critical basis for assessing the stability of rock slopes within Wojciech Bednarski Park and support decision-making processes related to its planned revitalisation. Full article
Show Figures

Figure 1

22 pages, 6487 KB  
Article
Reinforced Fill Structure with Alternative Fill Materials: An Application of Geogrid Creep Strain Analysis Using Numerical Modeling
by Ahsan Rehman Khan and Gemmina Di Emidio
Materials 2025, 18(6), 1346; https://doi.org/10.3390/ma18061346 - 18 Mar 2025
Cited by 1 | Viewed by 558
Abstract
For many years, granular fill has been the preferred fill material in reinforced fill structures (RFSs) due to its high strength and drainage properties. However, the global scarcity of granular fill has necessitated the exploration of alternative fill materials. This study aims to [...] Read more.
For many years, granular fill has been the preferred fill material in reinforced fill structures (RFSs) due to its high strength and drainage properties. However, the global scarcity of granular fill has necessitated the exploration of alternative fill materials. This study aims to evaluate the performance of three different alternative fill materials: (i) weak onsite fill (fill 1), (ii) lime-stabilized onsite fill (fill 2), and (iii) recycled construction and demolition (C & D) waste (fill 3). A finite element analysis (FEA) was conducted to assess the stability and horizontal displacement of an RFS and the long-term creep deformation of geogrid using viscoelastic (time-dependent) model in Plaxis. This RFS comprised a combination of wire mesh and geogrids, serving as primary and secondary reinforcement materials, respectively. The results indicate that fill 1, with low shear strength and stiffness, induces excessive lateral displacement and was unstable, making it unsuitable for RFS applications. In contrast, Fill 2 and Fill 3 achieve Eurocode-based safety factors of 1.12 and 1.19, respectively, while significantly reducing horizontal displacement. The long-term creep deformation analysis of geogrid in the case of fill 1 exceeds the prescribed serviceability strain limit threshold, while in the cases of fill 2 and fill 3, it conforms to the serviceability strain limit, which indicates effective mobilization of tensile resistance without excessive elongation. Finally, an analysis was conducted to optimize the geogrid length and to see its impact on cost and performance. The results revealed up to a 29% cost reduction while ensuring performance criteria. These findings validate lime-stabilized onsite fill and recycled C&D waste as viable, cost-effective alternatives to conventional granular backfill, ensuring not only stability and serviceability but also the long-term performance of geogrids in RFSs. Full article
(This article belongs to the Section Advanced Materials Characterization)
Show Figures

Figure 1

31 pages, 9707 KB  
Article
Strain Decay Monitoring and Analytical Prediction of RC Columns Using Brillouin Optical Technology and Time-Dependent Deterioration Factor
by Ittipon Pasityothin, Phromphat Thansirichaisree, Apichat Buatik, Thanongsak Imjai, Radhika Sridhar, Reyes Garcia and Takafumi Noguchi
Sensors 2025, 25(3), 741; https://doi.org/10.3390/s25030741 - 26 Jan 2025
Viewed by 1137
Abstract
This study presents a novel approach to the design and assessment of slender reinforced concrete (RC) columns by integrating Brillouin Optical Time Domain Analysis (BOTDA) for real-time, distributed strain monitoring and introducing a “time-dependent deterioration factor” strain decay (ηdecay). Experimental tests [...] Read more.
This study presents a novel approach to the design and assessment of slender reinforced concrete (RC) columns by integrating Brillouin Optical Time Domain Analysis (BOTDA) for real-time, distributed strain monitoring and introducing a “time-dependent deterioration factor” strain decay (ηdecay). Experimental tests on 200 mm × 200 mm RC columns with lengths of 1800 mm and slenderness ratios of 29.4, reinforced with four 12 mm bars, captured strain variations up to 400 microstrain under an axial load of 1200 kN, demonstrate BOTDA’s sensitivity and precision. Unlike conventional strain gauges, BOTDA provided a continuous strain profile along the column height, accurately capturing strain decay with a resolution exceeding 95%, enabling the detection of localized strain reductions often missed by traditional methods. The integration of ηdecay into ACI 318 and Eurocode 2 models conservatively improved predictions, particularly for specimens tested with long-term testing (720 days), with experimental-to-predicted (E/P) ratios of 1.42 and 1.29, respectively, compared to higher discrepancies in the original codes. The ηdecay factor accounts for strain reduction along the column height caused by time-dependent effects such as creep, shrinkage, and material degradation, significantly improving the accuracy of axial load capacity predictions. Finite element analysis (FEA) validated these improvements, showing good agreement with experimental data up to the yield load. Post-yield, the modified equations effectively addressed underestimations caused by microcracking, highlighting the necessity of ηdecay for reliable long-term performance predictions. This research combines advanced BOTDA technology with an innovative ηdecay framework, addressing long-term structural deterioration and refining design codes. It establishes a robust foundation for integrating time-dependent effects into predictive models, enhancing the resilience, safety, and sustainability of RC structures under real-world conditions. Full article
(This article belongs to the Section Physical Sensors)
Show Figures

Figure 1

19 pages, 996 KB  
Article
Long-Term Creep Rupture of Carbon Fiber Reinforced Polymer Grids Under High Stress Levels: Experimental Investigation
by Menghay Phoeuk, Dong-Yeong Choi and Minho Kwon
Materials 2025, 18(1), 35; https://doi.org/10.3390/ma18010035 - 25 Dec 2024
Cited by 1 | Viewed by 1288
Abstract
Corrosion in reinforced concrete (RC) structures has led to the increased adoption of non-corrosive materials, such as carbon fiber-reinforced polymers (CFRPs), as replacements for traditional steel rebar. However, ensuring the long-term reliability of CFRP grids under sustained stress is critical for achieving safe [...] Read more.
Corrosion in reinforced concrete (RC) structures has led to the increased adoption of non-corrosive materials, such as carbon fiber-reinforced polymers (CFRPs), as replacements for traditional steel rebar. However, ensuring the long-term reliability of CFRP grids under sustained stress is critical for achieving safe and effective designs. This study investigates the long-term tensile creep rupture behavior of CFRP grids to establish a design threshold for their tensile strength under sustained loading conditions in demanding structural applications. A comprehensive laboratory experiment was conducted over 10,000 h, during which CFRP grid specimens were subjected to constant stress levels ranging from 92% to 98% of their ultimate tensile strength. The results confirm the excellent creep rupture resistance of CFRP grids. Specimens subjected to a sustained stress ratio of 92% of their ultimate tensile strength remained intact throughout the testing period, with minimal creep strain ranging from approximately 1% to 4% of the initial strain. The mean extrapolated creep rupture factors were found to be 92.1% and 91.7% of their ultimate tensile strength for service lives of 50 and 114 years, respectively. Based on the results of this study, a tensile stress limit of 48% of the ultimate tensile strength is recommended for CFRP grids to ensure long-term creep rupture resistance over a 100-year service life. Full article
(This article belongs to the Special Issue Durability and Time-Dependent Properties of Sustainable Concrete)
Show Figures

Figure 1

16 pages, 5258 KB  
Article
A Comprehensive Study on Elasticity and Viscosity in Biomechanics and Optical Properties of the Living Human Cornea
by Francisco J. Ávila, Óscar del Barco, María Concepción Marcellán and Laura Remón
Photonics 2024, 11(6), 524; https://doi.org/10.3390/photonics11060524 - 31 May 2024
Cited by 5 | Viewed by 1921
Abstract
Corneal biomechanics is a hot topic in ophthalmology. The biomechanical properties (BMPs) of the cornea have important implications in the management and diagnosis of corneal diseases such as ectasia and keratoconus. In addition, the characterization of BMPs is crucial to model the predictability [...] Read more.
Corneal biomechanics is a hot topic in ophthalmology. The biomechanical properties (BMPs) of the cornea have important implications in the management and diagnosis of corneal diseases such as ectasia and keratoconus. In addition, the characterization of BMPs is crucial to model the predictability of a corneal surgery intervention, the outcomes of refractive surgery or the follow-up of corneal diseases. The biomechanical behavior of the cornea is governed by viscoelastic properties that allow, among other structural implications, the damping of excess intraocular pressure and the reduction of damage to the optic nerve. Currently, the most versatile and complete methods to measure corneal viscoelasticity are based on air-puff corneal applanation. However, these methods lack the ability to directly measure corneal viscosity. The aim of this work is to propose a new methodology based on the analysis of corneal air-puff measurements through the standard linear solid model (SLSM) to provide analytical expressions to separately calculate the elastic and time-dependent (corneal retardation time and viscosity) properties. The results show the mean values of elasticity (E), viscosity (Ƞ) and corneal retardation time (τ) in a sample of 200 young and healthy subjects. The influence of elasticity and viscosity on viscoelasticity, high-order corneal aberrations and optical transparency is investigated. Finally, the SLSM fed back from experimental E and Ƞ values is employed to compare the creep relaxation response between a normal, an ocular hypertension patient and an Ortho-K user. Corneal biomechanics is strongly affected by intraocular pressure (IOP); however, corneal hysteresis (CH) analysis is not enough to be employed as a risk factor of glaucoma progression. Low values of CH can be accompanied by high or low corneal elasticity and viscosity depending on the IOP threshold from which the time-dependent biomechanical properties trends are reversed. Full article
(This article belongs to the Special Issue Visual Optics)
Show Figures

Figure 1

21 pages, 1810 KB  
Article
Effects of the Mixing Process on the Rheological Properties of Waste PET-Modified Bitumen
by Grzegorz Mazurek, Przemysław Buczyński, Marek Iwański, Marcin Podsiadło, Przemysław Pypeć and Artur Kowalczyk
Materials 2023, 16(23), 7271; https://doi.org/10.3390/ma16237271 - 22 Nov 2023
Cited by 3 | Viewed by 1485
Abstract
This paper analyses the key findings of a study devoted to PET-modified bitumen. The research program was run according to the D-optimal experimental plan based on a factorial design. Five factors, i.e., the type of polymer (source), the type of bitumen (qualitative factors), [...] Read more.
This paper analyses the key findings of a study devoted to PET-modified bitumen. The research program was run according to the D-optimal experimental plan based on a factorial design. Five factors, i.e., the type of polymer (source), the type of bitumen (qualitative factors), PET amount, mixing rate, and mixing temperature (quantitative factors), controlled the bitumen–polymer mixing process. The experiment included a series of determinations of bitumen’s rheological characteristics obtained by MSCR (Jnr, R) and G*/sin(δ) at 50 °C, 60 °C, and 70 °C. The low-temperature properties of the composite (critical temperature) were evaluated using a BBR test. The findings showed that bitumen modification with PET primarily reduced the creep susceptibility of the bituminous–polymer mixture. The low-temperature characteristics of the modified bitumen played a secondary but essential role. The amount of polymer and the mixing rate interacted with the temperature, significantly reducing the stiffness of the composite, while the type and amount of bitumen had a substantial effect on the results obtained in the BBR test. It is worth noting that when combining bitumen and plastomer, special attention should be paid to ensuring a high level of homogeneity of the mixture by controlling the parameters of the mixing process accordingly. The tests and analyses provided crucial models (GLM), which allowed for the prediction of the plastomer-modified bitumen’s low- and high-temperature properties. The resulting relationships between factors and the identification of their impact on the bitumen properties enable a better understanding of the process of bitumen modification with PET. The conclusions presented here serve as a basis for future optimisation of the modified bitumen composition. The performed studies indicate that the use of >3% plastomer in bitumen 70/100 allows for a reduction in its susceptibility (MSCR) to below 0.5 kPa−1, making it suitable for bituminous mixtures for high-traffic roads. No significant increase in critical temperature (BBR) was observed. Full article
Show Figures

Figure 1

14 pages, 5984 KB  
Article
Creep–Fatigue Life Estimation of Gr.91 Steel and Its Welded Joints
by Isamu Nonaka
Metals 2023, 13(11), 1880; https://doi.org/10.3390/met13111880 - 13 Nov 2023
Cited by 2 | Viewed by 1805
Abstract
A series of creep–fatigue tests of Gr.91 steel were performed at 600 °C. Fatigue life was reduced by tensile strain holding. The minimum life reduction factor was approximately 0.3. The creep–fatigue life could not be estimated properly via the conventional linear summation rule [...] Read more.
A series of creep–fatigue tests of Gr.91 steel were performed at 600 °C. Fatigue life was reduced by tensile strain holding. The minimum life reduction factor was approximately 0.3. The creep–fatigue life could not be estimated properly via the conventional linear summation rule of the fatigue damage and creep damage. Since this material is considered to have a large creep–fatigue interaction, it was proposed that the creep–fatigue life should be estimated using the improved linear summation rule of the fatigue damage, the creep damage and the creep–fatigue interaction damage. In the future, it will be necessary to clarify the creep–fatigue interaction mechanism and define its damage value. On the other hand, a series of creep–fatigue tests for Gr.91 steel welded joints were also performed in the strain range of 0.5% at 600 °C. Again, the fatigue life was shortened by the tensile strain holding. The minimum fatigue life reduction factor was approximately 0.2. All the test pieces fractured in the fine-grained HAZ of the welded joints. The creep–fatigue life could not be estimated properly using the linear summation rule of the fatigue damage and creep damage in the HAZ. One possible reason was thought to be the effects of the elastic follow-up phenomena peculiar to welded joints. The creep strain of the HAZ might increase due to the transfer of the elastic strain from both the base metal and the weld metal, according to the elastic follow-up phenomena during strain holding. In the future, it will be important to quantitatively estimate the effects of the elastic follow-up phenomena. Full article
(This article belongs to the Special Issue Creep and Fatigue Behavior of Alloys)
Show Figures

Figure 1

13 pages, 3379 KB  
Article
Prediction and Deformation Mechanism Analysis of High Porosity in U–10Mo Monolithic Fuels at High Burnup
by Xiaobin Jian, Yunmei Zhao and Shurong Ding
Metals 2023, 13(10), 1693; https://doi.org/10.3390/met13101693 - 5 Oct 2023
Cited by 3 | Viewed by 1394
Abstract
High porosity phenomena of U-10Mo fuel foil appear in the U–Mo/Al monolithic fuel plate under deep burnup. In this study, the fuel skeleton creep-based bubble growth model is further improved with the intrusion effect of solid fission products, multiplying the reduction factor in [...] Read more.
High porosity phenomena of U-10Mo fuel foil appear in the U–Mo/Al monolithic fuel plate under deep burnup. In this study, the fuel skeleton creep-based bubble growth model is further improved with the intrusion effect of solid fission products, multiplying the reduction factor in the bubble volume to obtain the bubble pressure. With the locally enhanced irradiation creep of the Mo-depleted region considered, a simulation of the thermo-mechanical coupling behaviors of the monolithic fuel plate L1P7A0 is carried out, based on the commercial finite element (FE) analysis code ABAQUS. A fission-induced creep rate coefficient of 250 × 10−22 mm3/(fission·MPa) is identified for the Mo-depleted region, with the predictions of porosity and the thickness deformation of U–Mo fuel foil agreeing well with the experimental data. The research results indicate that: (1) the locally enhanced fuel skeleton creep ability is responsible for the higher porosities near the U–Mo/Zr interface; (2) the entrance of solid fission products into the fission bubbles at high burnup is the dominant factor in inducing high porosity in the regions of the most heavily irradiated fuel foil, especially near the fuel foil edge bearing the elevated external hydrostatic pressures; (3) with the intrusion effect of solid fission products considered, the prediction of the porosity increases from ~15% to ~35% near the fuel foil edge; (4) the intrusion of solid fission products leads to extra differences between the bubble pressure and the external pressure, and simultaneously results in the strengthened fuel skeleton creep deformation contributions to the bubble growth. Full article
Show Figures

Figure 1

21 pages, 18351 KB  
Article
Metallographic Evaluation of Increased Susceptibility to Intermediate Embrittlement of Engine Valve Forgings Made of NCF 3015 High Nickel and Chromium Steel
by Marzena M. Lachowicz, Maciej Zwierzchowski, Marek Hawryluk, Zbigniew Gronostajski and Marta Janik
Materials 2023, 16(19), 6370; https://doi.org/10.3390/ma16196370 - 23 Sep 2023
Cited by 2 | Viewed by 1821
Abstract
This paper focused on determining the increased tendency of cracking after the die forging process of high nickel and chromium steel. The increase in carbon content in austenitic nickel–chromium steel promoted the tendency of valve forgings to forging intergranular crack on the valve [...] Read more.
This paper focused on determining the increased tendency of cracking after the die forging process of high nickel and chromium steel. The increase in carbon content in austenitic nickel–chromium steel promoted the tendency of valve forgings to forging intergranular crack on the valve head. Attention was paid to issues related to the chemical composition of the material to be considered when hot forming nickel–chromium steel components. Optical and scanning electron microscopies were used to examine the microstructure and fracture features of the samples removed from a fractured valve head. The embrittlement was due to microcavity formation at grain boundaries. Creep theory at grain boundaries was used to explain crack formation. The tensile behavior was interpreted from the evolution of the microstructure during deformation and referred to intermediate brittleness to explain the effect of carbon. It was found that the increased carbon content of the nickel–chromium steel and the strong undercooling observed at the edges of the valve head are factors that promote a reduction in grain boundary cohesion and enhance intermediate temperature embrittlement. Finally, it was found that the formation of a heterogeneous structure manifested by the presence of grain boundary M23C6-type carbides in the austenitic matrix was most likely related to the occurring brittleness. Full article
Show Figures

Figure 1

20 pages, 4523 KB  
Article
The Reduction Factor of Pultrude Glass Fibre-Reinforced Polyester Composite Cross-Arm: A Comparative Study on Mathematical Modelling for Life-Span Prediction
by Mohd Supian Abu Bakar, Agusril Syamsir, Abdulrahman Alhayek, Muhammad Rizal Muhammad Asyraf, Zarina Itam, Shaikh Muhammad Mubin Shaik, Nurhanani Abd Aziz, Tarique Jamal and Siti Aminah Mohd Mansor
Materials 2023, 16(15), 5328; https://doi.org/10.3390/ma16155328 - 29 Jul 2023
Cited by 9 | Viewed by 1612
Abstract
This paper presents an experimental and numerical investigation of pultruded composite glass fibre-reinforced polymer (pGFRP) cross-arms subjected to flexural creep behaviour to assess their performance and sustainability in composite cross-arm structure applications. The primary objective of this study was to investigate the failure [...] Read more.
This paper presents an experimental and numerical investigation of pultruded composite glass fibre-reinforced polymer (pGFRP) cross-arms subjected to flexural creep behaviour to assess their performance and sustainability in composite cross-arm structure applications. The primary objective of this study was to investigate the failure creep behaviour of pGFRP cross-arms with different stacking sequences. Specifically, the study aimed to understand the variations in strain rate exhibited during different stages of the creep process. Therefore, this study emphasizes a simplified approach within the experiment, numerical analysis, and mathematical modelling of three different pGFRP composites to estimate the stiffness reduction factors that determine the prediction of failure. The findings show that Findley’s power law and the Burger model projected very different strains and diverged noticeably outside the testing period. Findley’s model estimated a minimal increase in total strain over 50 years, while the Burger model anticipated PS-1 and PS-2 composites would fail within about 11 and 33 years, respectively. The Burger model’s forecasts might be more reasonable due to the harsh environment the cross-arms are expected to withstand. The endurance and long-term performance of composite materials used in overhead power transmission lines may be predicted mathematically, and this insight into material property factors can help with design and maintenance. Full article
Show Figures

Figure 1

12 pages, 4797 KB  
Article
Ice Composites Strengthened by Organic and Inorganic Nanoparticles
by Yuri I. Golovin, Alexander A. Samodurov, Alexander I. Tyurin, Vyacheslav V. Rodaev, Dmitry Yu. Golovin, Vladimir M. Vasyukov, Svetlana S. Razlivalova and Vyacheslav M. Buznik
J. Compos. Sci. 2023, 7(8), 304; https://doi.org/10.3390/jcs7080304 - 26 Jul 2023
Cited by 1 | Viewed by 2103
Abstract
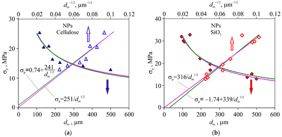
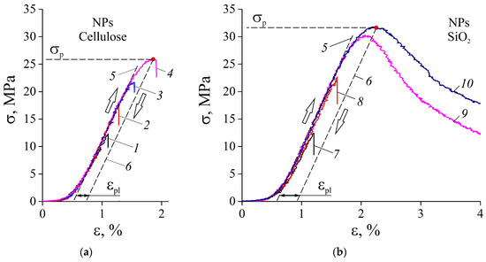
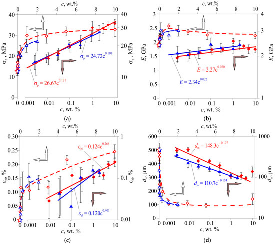
Extensive development of the Arctic, rich in various natural resources, requires a lot of cheap ecologically safe construction materials preferably using local renewable sources. Ice being easily available in regions with a cold climate meets all the above criteria but has low strength, [...] Read more.
Extensive development of the Arctic, rich in various natural resources, requires a lot of cheap ecologically safe construction materials preferably using local renewable sources. Ice being easily available in regions with a cold climate meets all the above criteria but has low strength, high fragility and a tendency to creep. Known strengthening techniques using macroscopic and microfiber additives have many drawbacks. This paper describes a new approach to ice strengthening by adding organic or inorganic 50–100 nm nanoparticles (NPs) to the water to be frozen and presents experimental results and possible mechanisms analysis of polycrystalline ice strengthening using NPs. Cellulose and silica NPs have been tested as typical representatives of such additives. Both are hydrophilic, ecologically safe, widespread, cheap and can be produced from local renewable raw materials. It is shown that the addition of 0.01 to 5 wt.% of NPs results in a reduction of ice composite average grain size by a factor of 5.3 ± 0.7 and an increase of its compression strength by a factor of 2.5 ± 0.3. The highest sensitivity of ice strength to NPs concentration is between 0.1 and 1 wt.%. In this concentration range, the increase in strength is reversely proportional to the square root of the average grain size. Experimental data fit Griffith’s relation better than Hall–Petch, so ice strength is limited by cracks with the length proportional to average grain size. Full article
(This article belongs to the Section Nanocomposites)
Show Figures

Graphical abstract

Back to TopTop