Sign in to use this feature.

Years

Between: -

Subjects

remove_circle_outline
remove_circle_outline
remove_circle_outline
remove_circle_outline
remove_circle_outline
remove_circle_outline
remove_circle_outline
remove_circle_outline
remove_circle_outline

Journals

remove_circle_outline
remove_circle_outline
remove_circle_outline
remove_circle_outline
remove_circle_outline
remove_circle_outline
remove_circle_outline
remove_circle_outline
remove_circle_outline
remove_circle_outline
remove_circle_outline

Article Types

Countries / Regions

remove_circle_outline
remove_circle_outline
remove_circle_outline
remove_circle_outline
remove_circle_outline
remove_circle_outline

Search Results (3,277)

Search Parameters:
Keywords = cracking propagation

Order results
Result details
Results per page
Select all
Export citation of selected articles as:
17 pages, 4982 KB  
Article
Shrinkage Cracking Characteristics and Micro-Mechanism of Bentonite and Glass-Fiber-Modified Cement Soil in Dry Environment
by Zili Dai, Xiaowei Lu, Lin Wang, Shifei Yang and Rong Wang
Materials 2026, 19(8), 1671; https://doi.org/10.3390/ma19081671 (registering DOI) - 21 Apr 2026
Abstract
In order to investigate the effects of bentonite and glass fiber on the macroscopic mechanical properties and microscopic mechanisms of cement soil in dry environments, a series of laboratory tests were conducted in this study, including drying tests under controlled environments (30 °C, [...] Read more.
In order to investigate the effects of bentonite and glass fiber on the macroscopic mechanical properties and microscopic mechanisms of cement soil in dry environments, a series of laboratory tests were conducted in this study, including drying tests under controlled environments (30 °C, 50% humidity), unconfined compressive strength (UCS) tests, digital image processing technology, and scanning electron microscopy (SEM) analyses. The moisture evaporation law, surface crack development process, UCS variation, and microstructure evolution of cement soil with different mix proportions (bentonite content: 0–9%; glass fiber content: 0–0.5%) were systematically analyzed. The results show that bentonite can significantly enhance the water retention capacity of cement soil, reduce the water evaporation rate, and increase the unconfined compressive strength by filling internal pores to densify the microstructure. Glass fibers form a three-dimensional network structure in the matrix, exerting a bridging effect to inhibit crack initiation and propagation, and optimize the mechanical properties. The unconfined compressive strength increases significantly with an increase in bentonite content (3–9%), and the optimal fiber content for strength improvement is determined as 0.3%. The synergistic effect of bentonite and fibers optimizes the interfacial bonding force between fibers and the matrix, which remarkably improves the anti-cracking performance of cement soil. Specifically, when the bentonite content is 6–9% and the fiber content is 0.3–0.5%, the cement soil maintains complete integrity after drying, with no obvious cracks on the surface. SEM analysis reveals that the addition of bentonite and fibers inhibits the expansion and connection of internal voids, avoiding the cycle of “void enlargement–stress concentration–crack propagation”. This study provides a scientific basis for the engineering application of cement soil in a dry environment. Full article
(This article belongs to the Special Issue Advanced Geomaterials and Reinforced Structures (Second Edition))
Show Figures

Figure 1

42 pages, 3601 KB  
Article
THMD Coupling Modelling and Crack Propagation Analysis of Coal Rock Under In Situ Liquid Nitrogen Fracturing
by Qiang Li, Yunbo Li, Dangyu Song, Rongqi Wang, Jienan Pan, Zhenzhi Wang and Chengtao Wang
Fractal Fract. 2026, 10(4), 274; https://doi.org/10.3390/fractalfract10040274 (registering DOI) - 21 Apr 2026
Abstract
Liquid nitrogen (LN2) fracturing is a highly promising stimulation technology for unconventional reservoirs. Understanding its in situ fracture network formation mechanism is essential for engineering practice. This study investigates coal rock fracturing driven by the synergistic effect of thermal stress and [...] Read more.
Liquid nitrogen (LN2) fracturing is a highly promising stimulation technology for unconventional reservoirs. Understanding its in situ fracture network formation mechanism is essential for engineering practice. This study investigates coal rock fracturing driven by the synergistic effect of thermal stress and fluid pressure during LN2 injection. A coupled thermal–hydraulic–mechanical–damage (THMD) numerical model is developed, incorporating in situ stress conditions and LN2 phase change behavior. Through true triaxial LN2 fracturing simulations validated against physical experiments, the multi-field dynamic coupling behavior is systematically analyzed, revealing the synergistic mechanism of fracture propagation and permeability enhancement under cryogenic conditions. The results show the following: (1) The proposed model effectively reproduces the true triaxial LN2 fracturing process, with simulation results in good agreement with physical experiments. (2) LN2 fracturing exhibits distinct stage-wise characteristics: cryogenic temperatures induce thermal stress that triggers micro-crack initiation; the self-enhancing effects of damage and permeability significantly promote fracture propagation; fluid pressure then becomes the dominant driving force. (3) Coal rock damage follows a four-stage evolution—wellbore crack initiation, stable propagation, unstable propagation, and through-going failure—ultimately forming a complex spatial fracture network. (4) The horizontal stress ratio is a key factor controlling fracture morphology: a single dominant fracture forms under a high stress difference, whereas a multi-directional complex network develops under equal confining pressure. Fractal analysis reveals significant anisotropy and a non-monotonic stress response in the fracture complexity, reflecting structural evolution from multi-directional propagation to main channel connection. This study provides theoretical support for understanding LN2 fracturing mechanisms and optimizing field treatment parameters. Full article
24 pages, 5026 KB  
Article
Influence of Sintering and Heat Treatment on the Microstructure, Mechanical Properties, and Tribological Performance of AlTiN-Coated PM M42 High-Speed Steel
by Zijun Qi, Yi Chen, Ji Li, Yongde Huang, Qian Wang, Qi Wei, Xiaofeng Yang and Qiang Liu
Materials 2026, 19(8), 1667; https://doi.org/10.3390/ma19081667 (registering DOI) - 21 Apr 2026
Abstract
Preparing a highly wear-resistant AlTiN coating on a powder metallurgy (PM) M42 high-speed steel substrate is a key strategy to enhance tool performance and meet the demands of efficient machining. This study adopted a process route comprising substrate preparation, heat treatment regulation, and [...] Read more.
Preparing a highly wear-resistant AlTiN coating on a powder metallurgy (PM) M42 high-speed steel substrate is a key strategy to enhance tool performance and meet the demands of efficient machining. This study adopted a process route comprising substrate preparation, heat treatment regulation, and arc-PVD deposition of AlTiN coatings to systematically investigate the influence of sintering temperature (1130, 1160, and 1190 °C) and austenitizing time (1150 °C for 0, 15, 60, and 120 min) on the microstructure and mechanical properties of the substrate, as well as on the tribological performance of the AlTiN coatings. The results indicate that elevating the sintering temperature promotes densification of the matrix, with Vickers hardness increasing from 366 HV to 462 HV and bending strength (σ) increasing from 1064 MPa to 1310 MPa. The predominant carbide phases identified are MC, M2C, and M6C. During austenitizing, microstructural changes consistent with a progressive transformation from M2C to MC and M6C carbides were indicated by SEM and XRD analyses. Precipitation strengthening was most evident after 60 min, with hardness reaching 868 HV. In contrast, bending strength (σ) exhibited a progressive decline with increasing austenitizing time, decreasing from 1310 MPa to 1015 MPa after 120 min, illustrating a clear trade-off between hardness and toughness. The wear behavior of the coating is governed synergistically by substrate hardness, bending strength (σ), coating–substrate interfacial adhesion strength (LC), and carbide phase transformation. Elevated substrate hardness enhances anti-wear performance; bending strength influences crack propagation and spallation tendency; and LC determines the efficiency of interfacial load transfer. The carbide phase evolution appears to modulate the coating’s wear behavior by regulating both the microstructure and mechanical properties of the substrate. Among the six sample conditions evaluated, the A3 sample (sintered at 1190 °C and austenitized for 120 min) exhibited the lowest wear rate (2.38 × 10−6 mm3·N−1·m−1), demonstrating superior wear resistance. These findings provide a reference for process optimization and rational design of M42/AlTiN composite coating systems. Full article
(This article belongs to the Special Issue Advance in Metallurgical Process Engineering)
Show Figures

Figure 1

23 pages, 3169 KB  
Article
Phase-Field Damage Modeling of Electromechanical Fracture in MEMS Piezoelectric Films
by Xuanyi Chen, Yuhan Zhang, Yu Xue, Yangjie Shi and Jiaxing Cheng
Materials 2026, 19(8), 1662; https://doi.org/10.3390/ma19081662 (registering DOI) - 21 Apr 2026
Abstract
Piezoelectric thin films have been widely used in micro-electromechanical systems (MEMSs), such as sensors, actuators, and resonant devices. Electromechanically driven fractures can severely degrade device performance and reliability. In this work, a phase-field damage model is developed for MEMS piezoelectric thin films under [...] Read more.
Piezoelectric thin films have been widely used in micro-electromechanical systems (MEMSs), such as sensors, actuators, and resonant devices. Electromechanically driven fractures can severely degrade device performance and reliability. In this work, a phase-field damage model is developed for MEMS piezoelectric thin films under coupled electromechanical loading, incorporating pre-existing defects via an equivalent local fracture toughness. Microcracks and micro-voids arising from manufacturing defects are integrated into the model through an effective local fracture toughness, enabling a unified description of their roles in crack initiation and propagation. The proposed model is implemented in ABAQUS by means of a user-defined element (UEL) subroutine and solved using a staggered scheme. Numerical results show that the level of pre-existing defects, the applied electric potential, and the polarization direction all exert significant effects on fracture behavior. As the defect parameter Dc increases from 0 to 0.10, the reaction force decreases from 87.8 N to 86.3 N, indicating reduced fracture resistance due to manufacturing-induced defects. In addition, the reaction force changes from 90.3 N at −500 V to 86.3 N at +500 V, while it decreases from 102.9 N to 87.1 N as the polarization angle β increases from 0° to 90°. These results demonstrate that pre-existing defects and electromechanical loading jointly govern crack evolution in MEMS piezoelectric thin films. The present study provides a useful numerical tool for fracture analysis, reliability assessment, and structural design of MEMS piezoelectric devices containing manufacturing defects. Full article
(This article belongs to the Section Electronic Materials)
22 pages, 1419 KB  
Article
A Multi-Scale Simulation and Process Optimization Study on the Thread Rolling of TC4DT(ELI) Titanium Alloy High-Strength Fasteners for Cutting-Edge Equipment Applications
by Quanchao Xiong, Zhongpeng Zheng, Jie Wang, Shaowei Feng, Hui Liu, Hai Liu and Wenping Yu
J. Manuf. Mater. Process. 2026, 10(4), 139; https://doi.org/10.3390/jmmp10040139 - 20 Apr 2026
Abstract
TC4DT (ELI) is a damage-tolerant titanium alloy characterized by high fracture toughness and slow crack propagation rates, and is, therefore, considered one of the standard materials for model fasteners in modern equipment. However, its high yield strength leads to excessive tool wear and [...] Read more.
TC4DT (ELI) is a damage-tolerant titanium alloy characterized by high fracture toughness and slow crack propagation rates, and is, therefore, considered one of the standard materials for model fasteners in modern equipment. However, its high yield strength leads to excessive tool wear and forming defects. This paper presents a complete FE simulation framework to investigate the thread-rolling process of TC4DT(ELI) bolts M16 × 1.5. Using the actual geometries of the workpiece and rollers, an elasto-plastic three-dimensional finite element model was built in ABAQUS/Explicit to perform verification simulations, with the theoretical blank diameter and forming force as the reference benchmarks. The simulation results agreed well with the actual industrial data. This study carried out single-factor analyses of the effect of three important process parameters—the roll speed, friction coefficient, and initial temperature—on the resulting stress–strain distribution, forming force, and thread formation depth. A modal analysis was performed in ANSYS Workbench to check the structural integrity and avoid resonance while operating. According to the results, the optimized parameters decreased the maximum forming force by 14.8% and improved thread filling. Compared with experimental data, the simulation error in the blank diameter was controlled within 1.2%. The present work, a reliable numerical underpinning for replacing expensive and time-consuming trial-and-error processes, forms a basis for high-performance titanium alloy fasteners and assists in the wider application of such fasteners in modern equipment and any advanced manufacturing industries. Full article
20 pages, 3133 KB  
Article
Interfacial Friction-Controlled Fiber Failure Modes for Toughness Enhancement of Engineered Cementitious Composites
by Dachuan Zhang, Yingzi Yang, Zhendi Wang and Ling Wang
Materials 2026, 19(8), 1643; https://doi.org/10.3390/ma19081643 - 20 Apr 2026
Abstract
Despite extensive advancements in Engineered Cementitious Composites (ECCs), mixture design remains predominantly empirical, due to the absence of a quantitative parameter directly linking fiber–matrix interfacial mechanics to strain-hardening performance. This study identifies fiber–matrix interfacial friction as a quantifiable parameter and establishes a micromechanics-guided [...] Read more.
Despite extensive advancements in Engineered Cementitious Composites (ECCs), mixture design remains predominantly empirical, due to the absence of a quantitative parameter directly linking fiber–matrix interfacial mechanics to strain-hardening performance. This study identifies fiber–matrix interfacial friction as a quantifiable parameter and establishes a micromechanics-guided interfacial regulation framework to enhance the toughness of ECC by regulating fiber failure modes. First, a critical fiber–matrix interfacial frictional stress, (τ0)crit, corresponding to the transition between fiber pull-out and fracture, was theoretically derived based on energy dissipation maximization during crack propagation. A back-calculation approach was further developed to determine interfacial frictional stress (τ0) directly from tensile stress–crack opening responses under single-crack tension, eliminating reliance on single-fiber pull-out testing. Then, τ0 was tuned toward (τ0)crit through interfacial regulation using fly ash. Experimental results demonstrate that the toughness of ECC is maximized when τ0 approaches (τ0)crit, confirming the validity of the proposed toughness enhancement mechanism. The study establishes an explicit mechanistic linkage between interfacial micromechanics and macroscopic strain-hardening performance, providing a predictive and quantitative design pathway that transcends empirical mixture adjustment. Full article
(This article belongs to the Section Construction and Building Materials)
Show Figures

Graphical abstract

6 pages, 1260 KB  
Proceeding Paper
Evaluation of Fire Resistance and Heat Propagation Delay in Flame-Retardant Battery Pack Cases for Electric Vehicles
by Hyun Soo Kim, Eulyong Ha, Younghyun Kim, Changyeon Lee, Sungwook Kang and Jaewoong Kim
Eng. Proc. 2026, 136(1), 1; https://doi.org/10.3390/engproc2026136001 - 20 Apr 2026
Abstract
The fire resistance and thermal propagation delay of a flame-retardant battery pack case (BPC) were investigated in this study for electric vehicles. Following the Lithium-ion traction battery pack and system for electric vehicles, Part 3: Safety requirements and test methods 31467.3-2015 standards, the [...] Read more.
The fire resistance and thermal propagation delay of a flame-retardant battery pack case (BPC) were investigated in this study for electric vehicles. Following the Lithium-ion traction battery pack and system for electric vehicles, Part 3: Safety requirements and test methods 31467.3-2015 standards, the BPC specimen was exposed to 500–600 °C for 15 min. Six thermocouples monitored the non-exposed surface, which reached a maximum of 149.7 °C, below the 150 °C limit. No flame occurred during or after heating, and the structure maintained integrity without cracks. The results confirm the flame-retardant BPC’s excellent thermal shielding and demonstrate its potential to enhance EV battery safety by delaying heat transfer and preventing secondary ignition. Full article
Show Figures

Figure 1

16 pages, 6938 KB  
Article
Response and Failure of Pillar–Backfill Composite Materials Under Cyclic Loading: The Role of Pillar Width
by Qinglin Shan, Changrui Shao, Hengjie Luan, Sunhao Zhang, Chuming Pang, Yujing Jiang and Lujie Wang
Materials 2026, 19(8), 1625; https://doi.org/10.3390/ma19081625 - 17 Apr 2026
Viewed by 181
Abstract
In the deep mining of metal mines, the stability of pillar–backfill composite materials (PBCMs) under cyclic loading is crucial for preventing dynamic disasters in goafs. Although previous studies have extensively investigated backfill materials under static loading, the damage evolution mechanism of PBCM under [...] Read more.
In the deep mining of metal mines, the stability of pillar–backfill composite materials (PBCMs) under cyclic loading is crucial for preventing dynamic disasters in goafs. Although previous studies have extensively investigated backfill materials under static loading, the damage evolution mechanism of PBCM under cyclic disturbance—particularly the coupled effects of pillar width and disturbance amplitude—remains insufficiently understood. To address this gap, this study explored the mechanical properties and damage evolution of PBCM under cyclic loading using an indoor testing system. Tests were conducted on composite specimens with varying pillar widths (6, 9, 12, 15 mm) and disturbance amplitudes (3, 4, 5 MPa), combined with acoustic emission (AE), digital image correlation (DIC), and scanning electron microscopy (SEM). Results show that wide-pillar specimens (≥12 mm) exhibit significantly improved bearing strength and deformation modulus, with increases of nearly 90% and over 40%, respectively, compared to narrow-pillar specimens. Notably, wide pillars maintain over 95% strength stability even under 5 MPa cyclic disturbances. Narrow pillars are prone to localized damage concentration with high-frequency AE signals and shear failure, while wide pillars exhibit uniform damage development. Failure morphology confirms that pillar size dictates failure mode: narrow pillars undergo sudden through failure, whereas wide pillars display progressive composite failure, with fewer damage-induced cavities and directional crack propagation along maximum shear stress. These findings provide a theoretical basis for stope structure optimization and dynamic disaster prevention in deep mines. Full article
Show Figures

Graphical abstract

24 pages, 6083 KB  
Article
Shear Creep Failure Characteristics of Cement-Grouted Sandstone Structural Planes
by Wenqi Ding, Fengshu Li, Qingzhao Zhang, Chenjie Gong and Dong Zhou
Buildings 2026, 16(8), 1585; https://doi.org/10.3390/buildings16081585 - 17 Apr 2026
Viewed by 194
Abstract
The rheological behavior of rock masses governs long-term stability, yet the time-dependent properties of grouted structural planes remain insufficiently quantified. Graded shear creep tests were conducted on artificially split sandstone structural planes with controlled grout thicknesses, complemented by scanning electron microscopy (SEM), to [...] Read more.
The rheological behavior of rock masses governs long-term stability, yet the time-dependent properties of grouted structural planes remain insufficiently quantified. Graded shear creep tests were conducted on artificially split sandstone structural planes with controlled grout thicknesses, complemented by scanning electron microscopy (SEM), to clarify creep evolution and long-term shear strength. The results show that the total shear creep displacement of grouted specimens exhibits limited sensitivity to grout thickness, while the ratio of long-term to theoretical shear strength increases by approximately 10% at a grout thickness of 2 mm; this strengthening effect, however, diminishes at greater thicknesses. Moreover, the creep rate evolution of grouted specimens differs fundamentally from that of ungrouted specimens, with about 60% of grouted samples exhibiting an accelerated creep stage characterized by a U-shaped rate curve. The failure mode shifts from asperity-controlled slip in ungrouted structural planes to damage concentrated at the grout–rock interface in grouted specimens. SEM observations further reveal that micro-defects at this interface initiate and propagate cracks, ultimately governing the macroscopic creep failure process. Overall, this study establishes an isochronous curve-based method for determining long-term strength and demonstrates that interface micromechanics critically control the long-term performance of grouted rock masses. These findings provide practical guidance for grouting reinforcement in underground engineering. Full article
Show Figures

Figure 1

17 pages, 4366 KB  
Article
Influence of Maximum Nominal Size on Macro- and Meso-Mechanical Properties of Cement-Stabilized Macadam
by Wei Zhou, Changqing Deng and Huiqi Huang
Materials 2026, 19(8), 1611; https://doi.org/10.3390/ma19081611 - 17 Apr 2026
Viewed by 207
Abstract
The nominal maximum aggregate size (NMAS) plays a critical role in determining the mechanical performance of cement-stabilized macadam (CSM), yet its meso-mechanical influence mechanism remains insufficiently understood. In this study, three skeleton-dense CSM mixtures with different NMAS values were designed, and a combined [...] Read more.
The nominal maximum aggregate size (NMAS) plays a critical role in determining the mechanical performance of cement-stabilized macadam (CSM), yet its meso-mechanical influence mechanism remains insufficiently understood. In this study, three skeleton-dense CSM mixtures with different NMAS values were designed, and a combined experimental–numerical approach was adopted to investigate the macro- and meso-scale mechanical behavior. Uniaxial compression tests and aggregate crushing value tests were conducted to evaluate strength development and load-transfer characteristics, while a three-dimensional discrete element method (DEM) model incorporating realistic aggregate morphology was established to analyze the evolution of contact forces and crack propagation. The results show that increasing NMAS significantly improves the mechanical performance of CSM. Compared with CSM-30, the 7-day compressive strength of CSM-40 and CSM-50 increased by approximately 10.3% and 37.3%, respectively. The stress–strain response indicates that mixtures with larger NMAS exhibit higher stiffness and a higher strain. At the meso-scale, a larger NMAS promotes the formation of a more efficient force-chain network dominated by coarse aggregates. Strong contacts were predominantly carried by aggregates larger than 9.5 mm, and in CSM-50, the proportion of strong contacts in the 37.5–53 mm fraction exceeded 90%, indicating that the largest particles likely form the primary load-bearing skeleton. In addition, increasing NMAS delayed crack initiation, reduced crack propagation rate, and decreased the total number of cracks at failure. These findings demonstrate that macroscopic strength improvement is closely associated with meso-scale optimization of the aggregate skeleton and enhanced load-transfer efficiency. This study provides a mechanistic basis for NMAS selection and gradation optimization in semi-rigid base materials. Full article
Show Figures

Figure 1

19 pages, 6783 KB  
Article
Experimental Study on the Mechanical Properties and Microstructural Characteristics of Pumice Concrete Reinforced with Nanocomposite Materials
by Ruiyan Qin, Hailong Wang and Mingwei Fang
Buildings 2026, 16(8), 1579; https://doi.org/10.3390/buildings16081579 - 16 Apr 2026
Viewed by 232
Abstract
Natural pumice can reduce the self-weight of concrete, but its high porosity, high water absorption, and weak interfacial bonding tend to limit the strength and durability of lightweight aggregate concrete. To address this issue, this study proposes a method for preparing and applying [...] Read more.
Natural pumice can reduce the self-weight of concrete, but its high porosity, high water absorption, and weak interfacial bonding tend to limit the strength and durability of lightweight aggregate concrete. To address this issue, this study proposes a method for preparing and applying reinforced pumice lightweight aggregates, namely, using nano-SiO2-modified fly ash to construct a nanocomposite material at the micro-interface for the reinforcement treatment of natural pumice aggregates, and reveals the mechanism by which this treatment enhances the performance of lightweight aggregate concrete. Through aggregate performance tests, compressive strength tests, XRD, SEM, and freeze–thaw cycle tests, the effects of the reinforced pumice aggregate on the performance of lightweight concrete were systematically investigated. The results show that after the reinforcement treatment, the water absorption of the pumice aggregate decreases by 17.6%, and the cylinder compressive strength increases by 34.3%. As the replacement ratio of reinforced pumice increases, both the early-age and later-age compressive strengths of the concrete continuously improve. When all the pumice aggregate is reinforced, the 3 d and 28 d compressive strengths increase by 35.1% and 33.44%, respectively. Meanwhile, the reinforced pumice effectively improves the interfacial bonding between the aggregate and the cement paste, reducing the width of the interfacial transition zone by 32%, enhancing the matrix compactness, and delaying crack propagation. The study demonstrates that the reinforced pumice aggregate possesses favorable characteristics, not only effectively improving the mechanical properties and freeze–thaw resistance of lightweight concrete but also providing a new technical pathway for the high-performance utilization of porous lightweight aggregates, offering a reference for the resource utilization of industrial solid waste and engineering applications in cold regions. Full article
(This article belongs to the Section Building Materials, and Repair & Renovation)
Show Figures

Figure 1

26 pages, 3134 KB  
Article
Shear Mechanical Properties and Damage Deterioration of Anchored Sandstone–Concrete Under Freeze–Thaw Cycles
by Taoying Liu, Qifan Zeng, Wenbin Cai and Ping Cao
Sensors 2026, 26(8), 2458; https://doi.org/10.3390/s26082458 - 16 Apr 2026
Viewed by 210
Abstract
Acoustic emission (AE) and digital image correlation (DIC) techniques enable real-time capture of damage signals and full-field deformation at anchored rock–concrete interfaces under shear loading, which is critical for quantitatively characterizing freeze–thaw (F-T) degradation and preventing geological disasters in cold regions. This study [...] Read more.
Acoustic emission (AE) and digital image correlation (DIC) techniques enable real-time capture of damage signals and full-field deformation at anchored rock–concrete interfaces under shear loading, which is critical for quantitatively characterizing freeze–thaw (F-T) degradation and preventing geological disasters in cold regions. This study synchronously monitored full-shear-process AE signals using a broadband AE system (150 kHz resonant frequency, 5 MS/s sampling) and captured high-precision full-field deformation via a 5-megapixel monocular DIC system (25 fps). F-T cycle and direct shear tests were conducted on sandstone–concrete anchored specimens with varying F-T cycles and anchor depths to investigate their effects on shear mechanical properties, AE characteristics and failure modes. Results show that AE peak ring count first decreases by 44.9% then increases by 56.5%, while cumulative ring count exhibits a three-stage evolution. Shear crack proportion first decreases then increases, with tensile failure remaining dominant throughout. DIC reveals that F-T cycles shift failure from crack propagation to surface delamination and interface slip, while different anchor depths induce distinct failure patterns. This study confirms that AE and DIC can accurately characterize F-T degradation, providing a reliable non-destructive monitoring method for cold-region anchorage engineering. Full article
23 pages, 5306 KB  
Article
Experimental and Numerical Study of Stirrup Fatigue
by Abdelwaheb Zeidi, Khaled Elleuch, Şaban Hakan Atapek, Jaroslaw Konieczny, Krzysztof Labisz and Janusz Ćwiek
Materials 2026, 19(8), 1603; https://doi.org/10.3390/ma19081603 - 16 Apr 2026
Viewed by 213
Abstract
Fatigue failure in scaffolding components poses significant risks to worker safety, particularly in high-altitude construction environments. This study investigates the fatigue behavior of scaffolding stirrups, a critical structural element prone to premature failure. The objective is to analyze the fatigue damage mechanisms in [...] Read more.
Fatigue failure in scaffolding components poses significant risks to worker safety, particularly in high-altitude construction environments. This study investigates the fatigue behavior of scaffolding stirrups, a critical structural element prone to premature failure. The objective is to analyze the fatigue damage mechanisms in stirrups through a combined experimental and numerical approach. Mechanical characterization and micro-hardness testing were conducted to assess the material properties of the stirrup, while finite element modeling (FEM) was employed to simulate its performance under cyclic loading. The Johnson–Cook material model was utilized to compare experimental hysteresis curves with FEM results, validating the numerical approach. Additionally, the Extended Finite Element Method (XFEM) was applied to model crack initiation and propagation. Results reveal that material hardening and fatigue crack growth are the primary causes of stirrup failure, with distinct fatigue zones and crack paths identified. The study quantifies the relationship between crack growth stages and stirrup bending, providing insights into the failure process. These findings contribute to improving the safety and lifespan of scaffolding systems by identifying key factors influencing stirrup durability. Full article
(This article belongs to the Special Issue Physical Metallurgy of Metals and Alloys (4th Edition))
Show Figures

Graphical abstract

24 pages, 1806 KB  
Article
Study on the Optimization Method of TBM Disk Cutter Spacing in Jointed Rock Mass
by Pengfei Song, Zhiwen Tan, Bingquan Liu, Chengzhi Yi, Jia Shi, Daibiao Yin, Yunchong Peng, Junning Xie and Junfeng Liu
Infrastructures 2026, 11(4), 137; https://doi.org/10.3390/infrastructures11040137 - 15 Apr 2026
Viewed by 113
Abstract
This paper investigates the influence of three key parameters, which are the spacing of cutters, the dip angle of joints and the spacing of joints on the load evolution process of jointed rock masses from the perspective of rock-breaking mechanics. Furthermore, how variations [...] Read more.
This paper investigates the influence of three key parameters, which are the spacing of cutters, the dip angle of joints and the spacing of joints on the load evolution process of jointed rock masses from the perspective of rock-breaking mechanics. Furthermore, how variations in cutter spacing and joint characteristics affect cutting efficiency is studied from a macroscopic viewpoint, focusing on indicators such as specific energy (SE) for crack propagation and rock fragment formation. Based on the research results, a novel optimization approach for cutter spacing in jointed rock mass conditions is proposed. The optimal cutter spacings under varying joint conditions are calculated, and the effects of joint spacing and dip angle on cutter spacing optimization are systematically discussed. The results show that when the joint dip angle is 60°, the cutter spacing is 100 mm, and the joint spacing is 30 mm, the rock fragmentation efficiency reaches the highest. It is also found that the influence of the joint dip angle on the optimal cutter spacing is greater than that of the joint spacing. When the joint spacing is 70 mm, the corresponding optimal cutter spacing is 100.7 mm. When the joint dip angle increases from 0° to 60°, the optimal cutter spacing gradually increases to 112.8 mm. When the joint spacing is greater than 60 mm, the optimal hammer spacing of the hammer gradually decreases. Full article
23 pages, 20741 KB  
Article
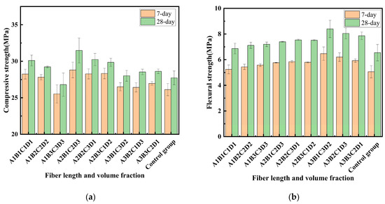
Mechanical Properties of Basalt–Polypropylene Hybrid Fiber-Reinforced Red Mud–Coal Metakaolin Geopolymer
by Jiuyu Zhao, Guangzhong Yu, Luorui Hu, Yinghao Dong, Haoran Liu, Chao Guo and Yongbao Wang
Materials 2026, 19(8), 1578; https://doi.org/10.3390/ma19081578 - 14 Apr 2026
Viewed by 477
Abstract
Red mud-based composites show great potential in industrial solid waste utilization in response to the growing demand for low-carbon building materials. However, red mud–coal metakaolin geopolymers (RCGs) exhibit high brittleness and poor crack resistance, which limit their application in practical engineering. In order [...] Read more.
Red mud-based composites show great potential in industrial solid waste utilization in response to the growing demand for low-carbon building materials. However, red mud–coal metakaolin geopolymers (RCGs) exhibit high brittleness and poor crack resistance, which limit their application in practical engineering. In order to improve the strength and toughness of RCGs, this study proposes a hybrid reinforcement strategy combining basalt fiber (BF) and polypropylene fiber (PPF). Effects of fiber length and fiber content on the mechanical properties of RCG were systematically investigated by orthogonal experimental design and response surface methodology (RSM). The microstructural characteristics were also analyzed using SEM, EDS, and XRD. Results show that fiber incorporation effectively enhances the mechanical properties and toughness of RCG, and BF length is the key factor influencing the strength of RCG. The optimal fiber ratio (BF: 11 mm, 0.23%; PPF: 6 mm, 0.20%) increases 9.52% of 28-day compressive strengths and 18.93% of 28-day flexural strengths. Microstructural analysis shows fibers bridging, interfacial stress transfer, and pull-out, which inhibit crack propagation. However, excessive fiber content may reduce matrix continuity. This manuscript provides a theoretical basis for optimizing red mud-based geopolymer composites and promotes the resource utilization of industrial solid waste. Full article
(This article belongs to the Section Construction and Building Materials)
Show Figures

Graphical abstract

Back to TopTop